Effects of Different Organic Fertilizers on Sweet Potato Growth and Rhizosphere Soil Properties in Newly Reclaimed Land
Abstract
:1. Introduction
2. Materials and Methods
2.1. Experimental Sites Description
2.2. Collection of Organic/Chemical Fertilizer
2.3. Experimental Design and Data Collection
2.4. Measurement of Soil and Plant Parameters
2.4.1. Measurement of Plant Parameters
2.4.2. Measurement of Soil Physical and Chemical Property
2.5. Soil Metagenome Sequencing and Analysis
2.6. Statistical Analysis
3. Results and Discussion
3.1. Effects of Different Amendments on Biomass of Sweet Potato
3.2. Effects of Different Organic/Chemical Amendments on Soil pH and Organic Matters Contents
3.3. Effects of Different Amendments on the Selected Nutrient Concentrations
3.3.1. Change in the Total N
3.3.2. Change in Available P
3.3.3. Change in Available K
3.3.4. Change in Exchangeable Ca and Mg Contents
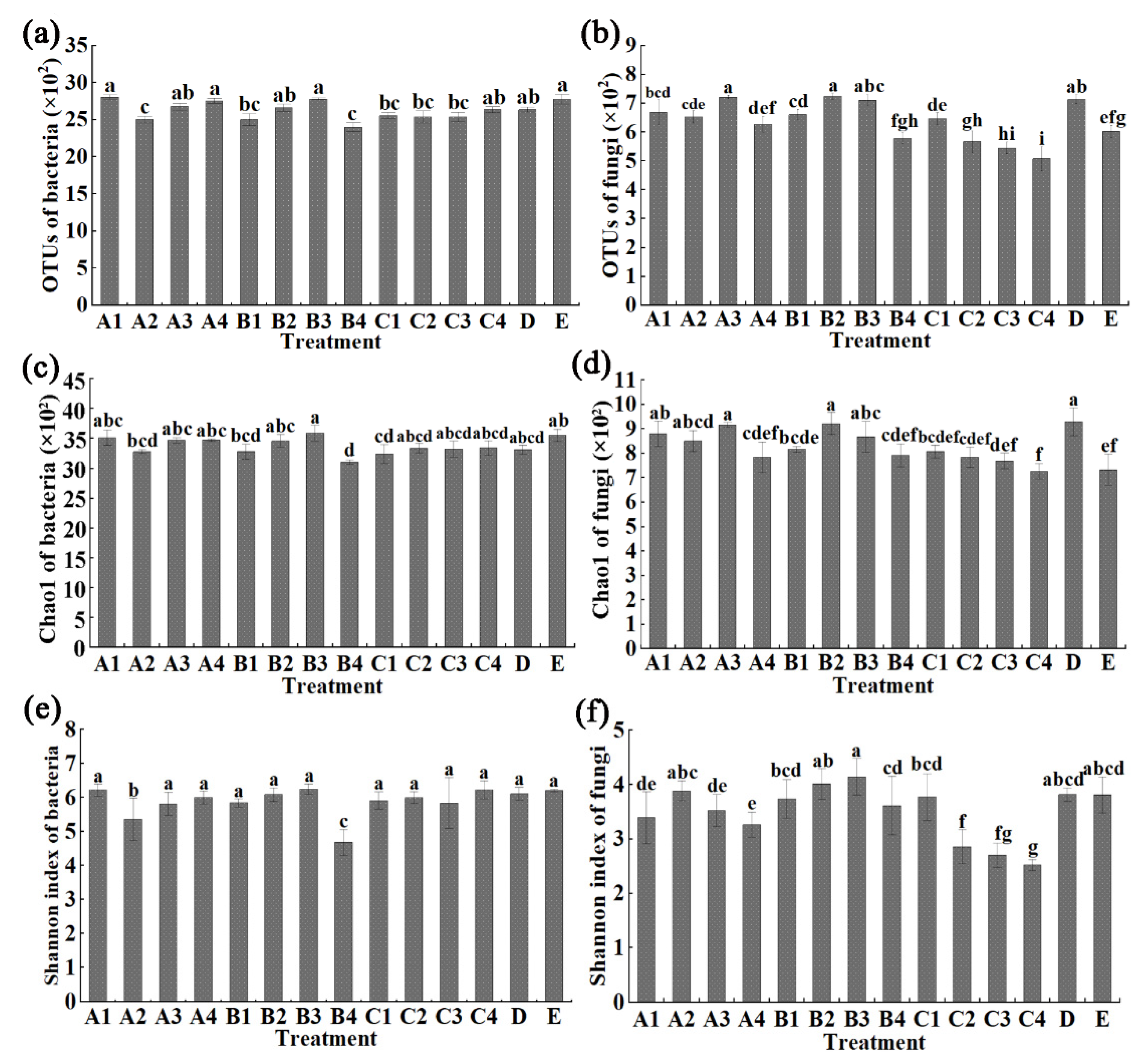
3.4. Effects of Different Organic/Chemical Amendments in Microbial Community Diversity
3.5. Effects of Different Organic/Chemical Amendments in Soil Microbial Community Structure
3.6. Effects of Different Organic/Chemical Amendments in Rhizosphere Microbiome and Biomarker
4. Conclusions
Supplementary Materials
Author Contributions
Funding
Institutional Review Board Statement
Informed Consent Statement
Data Availability Statement
Conflicts of Interest
References
- Neela, S.; Fanta, S.W. Review on nutritional composition of orange-fleshed sweet potato and its role in management of vitamin A deficiency. Food Sci. Nutr. 2019, 7, 1920–1945. [Google Scholar] [CrossRef] [PubMed] [Green Version]
- Fan, W.; Zhang, M.; Zhang, H.; Zhang, P. Improved tolerance to various abiotic stresses in transgenic sweet potato (Ipomoea batatas) expressing spinach betaine aldehyde dehydrogenase. PLoS ONE 2012, 7, e37344. [Google Scholar] [CrossRef] [PubMed] [Green Version]
- Hossain, A. Research on biogenic control of Dickeya dadantii causing stem and root rot of sweet potato through Bacillus and biosynthesized nanoparticles. Ph.D. Thesis, Zhejiang University, Hangzhou, China, 2020. [Google Scholar]
- Wang, Z.; Shi, H.; Lou, L.; Ma, W.; Shen, J.; Chen, W. Effect of Different Fertilization Methods on Fertility and Yield of Crop in Newly Reclaimed Red Soil. Chin. J. Soil Sci. 2019, 50, 1378–1383. [Google Scholar]
- Xu, X.; Zhang, Y.; Wang, J.; Zhang, H.; Tang, Z.; Zhang, A.; Li, H.; Liu, Q. Soil nutrient status and soil fertility evaluation of farmland in three main sweet potato regions in China. Soil Fert. Sci. China 2021, 5, 27–33. [Google Scholar]
- Li, X.Q.; Li, D.Y.; Yan, J.L.; Zhang, Y.; Wang, H.; Zhang, J.Z.; Ahmed, T.; Li, B. Effect of Plant-Growth-Promoting Fungi on Eggplant (Solanum melongena L.) in New Reclamation Land. Agriculture 2021, 11, 1036. [Google Scholar] [CrossRef]
- Li, X.Q.; Yan, J.L.; Li, D.Y.; Jiang, Y.G.; Zhang, Y.; Wang, H.; Zhang, J.Z.; Ahmed, T.; Li, B. Isolation and Molecular Characterization of Plant-Growth-Promoting Bacteria and Their Effecton Eggplant (Solanummelongena) Growth. Agriculture 2021, 11, 1258. [Google Scholar] [CrossRef]
- Li, X.Q.; Su, Y.; Ahmed, T.; Ren, H.Y.; Javed, M.R.; Yao, Y.L.; An, Q.L.; Yan, J.L.; Li, B. Effects of different organic fertilizers on improving soil from newly reclaimed land to crop soil. Agriculture 2021, 11, 560. [Google Scholar] [CrossRef]
- FAO. FAO/Unesco Soil Map of the World, Revised Legend, with Corrections and Updates; World Soil Resources Report 60; Reprinted with Updates as Technical Paper 20; FAO: Rome, Italy; ISRIC: Wageningen, The Netherlands, 1997. [Google Scholar]
- Shi, J.P.; Song, G. Soil type database of China: A nationwide soil dataset based on the second national soil survey. China Sci. Data 2016, 1, 1–12. [Google Scholar]
- Qu, B.P.; Liu, Y.X.; Sun, X.Y.; Li, S.Y.; Wang, S.Y.; Xiong, K.Y.; Yun, B.H.; Zhang, H. Effect of various mulches on soil physic-co-Chemical properties and tree growth (Sophora japonica) in urban tree pits. PLoS ONE 2019, 14, e0210777. [Google Scholar] [CrossRef] [Green Version]
- Ren, H.Y.; Wang, H.Y.; Qi, X.J.; Yu, Z.P.; Zheng, X.L.; Zhang, S.W.; Wang, Z.S.; Zhang, M.C.; Ahmed, T.; Li, B. The Damage Caused by Decline Disease in Bayberry Plants through Changes in Soil Properties, Rhizosphere Microbial Community Structure and Metabolites. Plants 2021, 10, 2083. [Google Scholar] [CrossRef]
- Ren, H.Y.; Wang, H.Y.; Yu, Z.P.; Zhang, S.W.; Qi, X.J.; Sun, L.; Wang, Z.S.; Zhang, M.C.; Ahmed, T.; Li, B. Effect of Two Kinds of Fertilizers on Growth and Rhizosphere Soil Properties of Bayberry with Decline Disease. Plants 2021, 10, 2386. [Google Scholar] [CrossRef] [PubMed]
- Baran, A.; Mierzwa-Hersztek, M.; Gondek, K.; Tarnawski, M.; Szara, M.; Gorczyca, O.; Koniarz, T. The influence of the quantity and quality of sediment organic matter on the potential mobility and toxicity of trace elements in bottom sediment. Environ. Geochem. Health 2019, 41, 2893–2910. [Google Scholar] [CrossRef] [PubMed] [Green Version]
- Lusiba, S.; Odhiambo, J.; Ogola, J. Effect of biochar and phosphorus fertilizer application on soil fertility: Soil physical and chemical properties. Arch. Agron. Soil Sci. 2017, 63, 477–490. [Google Scholar] [CrossRef]
- Platt, B.F.; Kolb, D.J.; Kunhardt, C.G.; Milo, S.P.; New, L.G. Burrowing Through the Literature: The Impact of Soil-Disturbing Vertebrates on Physical and Chemical Properties of Soil. Soil Sci. 2016, 181, 175–191. [Google Scholar] [CrossRef]
- Wu, L.Y.; Wen, C.Q.; Qin, Y.J.; Yin, H.Q.; Tu, Q.C.; Nostrand, J.D.V.; Yuan, T.; Yuan, M.T.; Deng, Y.; Zhou, J.Z. Phasing amplicon sequencing on Illumina Miseq for robust environmental microbial community analysis. BMC Microbiol. 2015, 15, 125. [Google Scholar] [CrossRef] [Green Version]
- Martin, M. Cutadapt removes adapter sequences from high-throughput sequencing reads. EMBnet. J. 2011, 17, 10–12. [Google Scholar] [CrossRef]
- Reyon, D.; Tsai, S.Q.; Khayter, C.; Foden, J.A.; Sander, J.D.; Joung, J.K. FLASH assembly of TALENs for high-throughput genome editing. Nat. Biotechnol. 2012, 30, 460–465. [Google Scholar] [CrossRef]
- Rognes, T.; Flouri, T.; Nichols, B.; Quince, C.; Mahé, F. VSEARCH: A versatile open source tool for metagenomics. PeerJ. 2016, 4, e2584. [Google Scholar] [CrossRef]
- Caporaso, J.G.; Kuczynski, J.; Stombaugh, J.; Bittinger, K.; Bushman, F.D.; Costello, E.K.; Fierer, N.; Peña, A.G.; Goodrich, J.K.; Gordon, J.I. QIIME allows analysis of high-throughput community sequencing data. Nat. Methods. 2010, 7, 335–336. [Google Scholar] [CrossRef] [Green Version]
- Wang, Q.; Garrity, G.M.; Tiedje, J.M.; Cole, J.R. Naive Bayesian classifier for rapid assignment of rRNA sequences into the new bacterial taxonomy. Appl. Environ. Microbiol. 2007, 73, 5261–5267. [Google Scholar] [CrossRef] [Green Version]
- Lobo, I. Basic Local Alignment Search Tool (BLAST). J. Mol. Biol. 2008, 215, 403–410. [Google Scholar]
- Chao, J.; Bunge, J. Estimatin the number of species in a stochastic abundance model. Biometrics 2002, 58, 531–539. [Google Scholar] [CrossRef] [PubMed]
- Hill, T.C.; Walsh, K.A.; Harris, J.A.; Moffett, B.F. Using ecological diversity measures with bacterial communities. FEMS Micorbiol. Ecol. 2003, 43, 1–11. [Google Scholar] [CrossRef] [PubMed]
- Nedunchezhiyan, M.; Sinhababu, D.P.; Sahu, P.K. Effect of soil amendments and irrigation regimes on minimum tillage planted sweet potato (Ipomoea batatas) in rice (Oryza sativa) fallows under lowland conditions. Indian J. Agric. Sci. 2014, 84, 371–375. [Google Scholar]
- Zhao, W.R.; Li, J.Y.; Jiang, J.; Lu, H.L.; Hong, Z.N.; Qian, W.; Xu, R.K.; Deng, K.Y.; Guan, P. The mechanisms underlying the reduction in aluminum toxicity and improvements in the yield of sweet potato (Ipomoea batatas L.) After organic and inorganic amendment of an acidic ultisol. Agric. Ecosys. Environ. 2020, 288, 106716. [Google Scholar] [CrossRef]
- Liu, Z.X.; Chen, X.M.; Jing, Y.; Li, Q.X.; Zhang, J.B.; Huang, Q.R. Effects of biochar amendment on rapeseed and sweet potato yields and water stable aggregate in upland red soil. Catena 2014, 123, 45–51. [Google Scholar] [CrossRef]
- Wang, D.F.; Chen, X.G.; Tang, Z.H.; Liu, M.; Jin, R.; Zhang, A.J.; Zhao, P. Application of humic acid compound fertilizer for increasing sweet potato yield and improving the soil fertility. J. Plant Nutr. 2022, 45, 1933–1941. [Google Scholar] [CrossRef]
- Zhang, S.; Wang, R.; Yang, X.; Sun, B.; Li, Q. Soil aggregation and aggregating agents as affected by long term contrasting management of an Anthrosol. Sci. Rep. 2016, 6, 39107. [Google Scholar] [CrossRef] [Green Version]
- Asghar, W.; Kataoka, R. Green manure incorporation accelerates enzyme activity, plant growth, and changes in the fungal community of soil. Arch. Microbiol. 2022, 204, 7. [Google Scholar] [CrossRef]
- Ali, L.; Manzoor, N.; Li, X.; Naveed, M.; Nadeem, S.M.; Waqas, M.R.; Khalid, M.; Abbas, A.; Ahmed, T.; Li, B. Impact of Corn Cob-Derived Biochar in Altering Soil Quality, Biochemical Status and Improving Maize Growth under Drought Stress. Agronomy. 2021, 11, 2300. [Google Scholar] [CrossRef]
- Still, S.M. Yield Comparison of Sweet Potatoes Grown in Four Commercial Organic Soils. Hortscience 2019, 54, S236. [Google Scholar]
- Bednik, M.; Medyńska-Juraszek, A.; Dudek, M.; Kloc, S.; Kręt, A.; Łabaz, B.; Waroszewski, J. Wheat straw biochar and NPK fertilization efficiency in sandy soil reclamation. Agronomy 2020, 10, 496. [Google Scholar] [CrossRef] [Green Version]
- Xie, X.; Xiang, Q.; Wu, T.; Zhu, M.; Xu, F.; Xu, Y.; Pu, L. Impacts of Agricultural Land Reclamation on Soil Nutrient Contents, Pools, Stoichiometry, and Their Relationship to Oat Growth on the East China Coast. Land 2021, 10, 355. [Google Scholar] [CrossRef]
- Merzlaya, G.E.; Afanasiev, R.A. Agrochemical Aspects of Using Sewage Sludge for Reclamation of Land for Various Purposes. Agrokhimiya 2020, 8, 70–77. [Google Scholar]
- Tenic, E.; Ghogare, R.; Dhingra, A. Biochar—a panacea for agriculture or just carbon? Horticulturae 2020, 6, 37. [Google Scholar] [CrossRef]
- Lim, S.-S.; Yang, H.I.; Park, H.-J.; Park, S.-I.; Seo, B.-S.; Lee, K.-S.; Lee, S.-H.; Lee, S.-M.; Kim, H.-Y.; Ryu, J.-H. Land-use management for sustainable rice production and carbon sequestration in reclaimed coastal tideland soils of South Korea: A review. Soil Sci. Plant Nutr. 2020, 66, 60–75. [Google Scholar] [CrossRef]
- Criquet, S.; Braud, A. Effects of organic and mineral amendments on available P and phosphatase activities in a degraded Mediterranean soil under short-term incubation experiment. Soil Till. Res. 2008, 98, 164–174. [Google Scholar] [CrossRef]
- Yuan, J.H.; Wang, Y.; Zhao, X.; Chen, H.; Chen, G.L.; Wang, S.Q. Seven years of biochar amendment has a negligible effect on soil available P and a progressive effect on organic C in paddy soils. Biochar 2022, 4, 1. [Google Scholar] [CrossRef]
- Fernandes, A.M.; Ribeiro, N.P.; Assunção, N.S.; da Silva Nunes, J.G.; Sorroche, C.P.; Leonel, M. Impact of nitrogen and green manure on yield and quality of sweet potato in sandy soil: A Brazilian case study. J. Agric. Food Res. 2021, 4, 100131. [Google Scholar] [CrossRef]
- Jiang, X.M.; Zhang, F.H.; Li, J.H.; Fan, H.; Cheng, Z.B.; Wang, K.Y. Effects of bio-organic fertilizer on soil microbiome against Verticillium dahliae. Int. J. Agric. Biol. 2016, 18, 923–931. [Google Scholar]
- Asaf, S.; Numan, M.; Khan, A.L.; Al-Harrasi, A. Sphingomonas: From diversity and genomics to functional role in environmental remediation and plant growth. Crit. Rev. Biotechnol. 2020, 40, 138–152. [Google Scholar] [CrossRef]
- Ibrahim, E.; Zhang, M.; Zhang, Y.; Hossain, A.; Qiu, W.; Chen, Y.; Wang, Y.; Wu, W.; Sun, G.; Li, B. Green-synthesization of silver nanoparticles using endophytic bacteria isolated from garlic and its antifungal activity against wheat Fusarium head blight pathogen Fusarium graminearum. Nanomaterials 2020, 10, 219. [Google Scholar] [CrossRef] [PubMed] [Green Version]
- Basanta, R.; de Varennes, A.; Diaz-Ravina, M. Microbial community structure and biomass of a mine soil with different organic and inorganic treatments and native plants. J. Soil Sci. Plant Nutr. 2017, 17, 839–852. [Google Scholar] [CrossRef] [Green Version]
- Li, L.; Li, T.; Meng, H.; Xie, Y.; Zhang, J.; Hong, J. Effects of Seven-Year Fertilization Reclamation on Bacterial Community in a Coal Mining Subsidence Area in Shanxi, China. Int. J. Environ. Res. Public Health. 2021, 18, 12504. [Google Scholar] [CrossRef]
- Moon, J.Y.; Son, C.H.; Joung, K.H.; Kim, Y.G.; Chang, Y.H.; Choi, D.Y.; Cho, H.J.; Heo, J.Y.; Lee, Y.H. Soil microbial communities and growth of sweet potato (Ipomoea batatas L.) in paddy and upland soils. Korean J. Soil. Sci. Fert. 2020, 53, 140–149. [Google Scholar] [CrossRef]
- Gao, Z.; Hu, Y.; Han, M.; Xu, J.; Wang, X.; Liu, L.; Tang, Z.; Jiao, W.; Jin, R.; Liu, M. Effects of continuous cropping of sweet potatoes on the bacterial community structure in rhizospheric soil. BMC Microbiol. 2021, 21, 121. [Google Scholar] [CrossRef] [PubMed]




| Amendments | pH | OMC | NPK Content | Others | Price (CNY/kg) | 
|---|---|---|---|---|---|
| COF | 7.2 | ≥30.0% | 4.0% | — | 0.65 | 
| SM | 7.0 | ≥30.0% | 4.0% | — | 0.55 | 
| MR | 7.5 | 92.5% | 5.4% | Polysaccharide and auxin | 0.25 | 
| CCF | 4.5 | 48.0% | NO3 and K2SO4 | 4.50 | 
| Treatments | Fertilizers | Concentration (g/m2) | Treatments | Fertilizers | Concentration (g/m2) | 
|---|---|---|---|---|---|
| T1 | COF | 0.45 | T8 | SM | 1.35 | 
| T2 | COF | 0.90 | T9 | MR | 1.50 | 
| T3 | COF | 1.35 | T10 | MR | 2.25 | 
| T4 | COF | 1.80 | T11 | MR | 3.00 | 
| T5 | SM | 0.45 | T12 | MR | 3.75 | 
| T6 | SM | 0.75 | T13 | CCF | 0.075 | 
| T7 | SM | 1.05 | T14 | Control | — | 
| Treatments (kg/m2) | ag FW (kg) | bg FW (kg) | Total FW (kg) | pH | OMC (g/kg) | ||||||||||
|---|---|---|---|---|---|---|---|---|---|---|---|---|---|---|---|
| 2019 | 2020 | 2021 | 2019 | 2020 | 2021 | 2019 | 2020 | 2021 | 2019 | 2020 | 2021 | 2019 | 2020 | 2021 | |
| COF (0.45) | * | * | * | * | * | * | * | * | * | ns | ns | ns | * | * | * | 
| COF (0.90) | * | * | * | * | * | * | * | * | * | ns | ns | ns | * | * | * | 
| COF (1.35) | * | * | * | * | * | * | * | * | * | ns | ns | ns | * | * | * | 
| COF (1.80) | * | * | * | * | * | * | * | * | * | ns | ns | ns | * | * | * | 
| SM (0.45) | * | * | * | * | * | * | * | * | * | ns | ns | ns | * | * | * | 
| SM (0.75) | * | * | * | * | * | * | * | * | * | ns | ns | ns | * | * | * | 
| SM (1.05) | * | * | * | * | * | * | * | * | * | ns | ns | ns | * | * | * | 
| SM (1.35) | * | * | * | * | * | * | * | * | * | ns | ns | ns | * | * | * | 
| MR (1.50) | * | * | * | * | * | * | * | * | * | ns | ns | ns | * | * | * | 
| MR (2.25) | * | * | * | * | * | * | * | * | * | ns | ns | ns | * | * | * | 
| MR (3.00) | * | * | * | * | * | * | * | * | * | ns | ns | ns | * | * | * | 
| MR (3.75) | * | * | * | * | * | * | * | * | * | ns | ns | ns | * | * | * | 
| CCF (0.075) | * | * | * | * | * | * | * | * | * | ns | ns | ns | *↓ | ns | ns | 
| Control | - | - | - | - | - | - | - | - | - | - | - | - | - | - | - | 
| Treatments (kg/m2) | Total N (g/kg) | Available P (mg/kg) | Available K (mg/kg) | Exchangeable Ca (cmol (1/2 Ca2+)/kg) | Exchangeable Mg (cmol (1/2 Mg2+)/kg) | ||||||||||
|---|---|---|---|---|---|---|---|---|---|---|---|---|---|---|---|
| 2019 | 2020 | 2021 | 2019 | 2020 | 2021 | 2019 | 2020 | 2021 | 2019 | 2020 | 2021 | 2019 | 2020 | 2021 | |
| COF (0.45) | ns | ns | * | * | * | * | * | * | * | ns | ns | ns | ns | ns | ns | 
| COF (0.90) | ns | ns | * | * | * | * | * | * | * | ns | ns | * | ns | ns | ns | 
| COF (1.35) | ns | ns | * | * | * | * | * | * | * | ns | * | * | ns | ns | * | 
| COF (1.80) | * | * | * | * | * | * | ns | * | * | ns | * | * | * | ns | * | 
| SM (0.45) | ns | ns | * | * | * | * | ns | * | * | ns | * | * | *↓ | ns | * | 
| SM (0.75) | ns | ns | * | * | * | * | ns | * | * | ns | * | * | ns | ns | ns | 
| SM (1.05) | * | * | * | * | * | * | * | * | * | ns | * | * | ns | ns | ns | 
| SM (1.35) | ns | * | * | * | * | * | *↓ | * | * | ns | * | * | ns | ns | * | 
| MR (1.50) | ns | ns | * | * | * | * | * | * | * | * | ns | * | ns | ns | ns | 
| MR (2.25) | * | * | * | * | * | * | *↓ | * | * | ns | * | * | *↓ | ns | ns | 
| MR (3.00) | * | * | * | * | * | * | *↓ | * | * | ns | * | * | *↓ | ns | ns | 
| MR (3.75) | ns | * | * | * | * | * | * | * | * | ns | * | * | ns | ns | ns | 
| CCF (0.075) | ns | ns | ns | * | * | * | * | * | * | ns | ns | * | ns | ns | ns | 
| Control | - | - | - | - | - | - | - | - | - | - | - | - | - | - | - | 
| Publisher’s Note: MDPI stays neutral with regard to jurisdictional claims in published maps and institutional affiliations. | 
© 2022 by the authors. Licensee MDPI, Basel, Switzerland. This article is an open access article distributed under the terms and conditions of the Creative Commons Attribution (CC BY) license (https://creativecommons.org/licenses/by/4.0/).
Share and Cite
Li, X.; Li, D.; Lu, Q.; Wang, D.; Ren, X.; Lv, L.; Ahmed, T.; Yan, J.; Li, B. Effects of Different Organic Fertilizers on Sweet Potato Growth and Rhizosphere Soil Properties in Newly Reclaimed Land. Agronomy 2022, 12, 1649. https://doi.org/10.3390/agronomy12071649
Li X, Li D, Lu Q, Wang D, Ren X, Lv L, Ahmed T, Yan J, Li B. Effects of Different Organic Fertilizers on Sweet Potato Growth and Rhizosphere Soil Properties in Newly Reclaimed Land. Agronomy. 2022; 12(7):1649. https://doi.org/10.3390/agronomy12071649
Chicago/Turabian StyleLi, Xuqing, Dingyi Li, Qiujun Lu, Daoze Wang, Xiaoxu Ren, Luqiong Lv, Temoor Ahmed, Jianli Yan, and Bin Li. 2022. "Effects of Different Organic Fertilizers on Sweet Potato Growth and Rhizosphere Soil Properties in Newly Reclaimed Land" Agronomy 12, no. 7: 1649. https://doi.org/10.3390/agronomy12071649
APA StyleLi, X., Li, D., Lu, Q., Wang, D., Ren, X., Lv, L., Ahmed, T., Yan, J., & Li, B. (2022). Effects of Different Organic Fertilizers on Sweet Potato Growth and Rhizosphere Soil Properties in Newly Reclaimed Land. Agronomy, 12(7), 1649. https://doi.org/10.3390/agronomy12071649
 
         
                                                


 
       