Variation Characteristics and Expression State of Nitrogen and Phosphorus Metering Ratio of Rice in Black Soil under Film Mulching and Irrigation Methods
Abstract
:1. Introduction
2. Materials and Methods
2.1. Experimental Site
2.2. Field Management and Experiment Treatments
2.3. Observations and Measurements
- (1)
- Soil nitrogen content
- (2)
- Biomass, nitrogen, and phosphorus content of rice plants
- (3)
- Grain yield
2.4. Statistical Analysis
3. Results
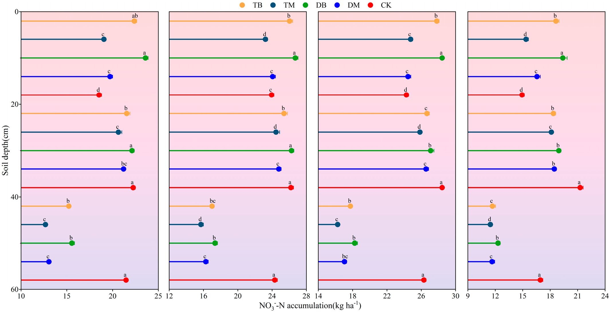
3.1. Soil Inorganic Nitrogen Accumulation under Different Treatments
3.2. Nitrogen Absorption of Rice under Different Treatments
3.3. N/P of Rice under Different Treatments
3.4. Relationship between Soil-Crop Nitrogen Transport and N/P of Rice
4. Discussion
5. Conclusions
Author Contributions
Funding
Data Availability Statement
Conflicts of Interest
References
- Han, X.; Zou, W.; Yan, J.; Li, N.; Li, Y.; Wang, J.; Li, L. Ecology in agriculture and long-term research guide protection of black soil and agricultural sustainable development in Northeast China. Bull. Chin. Acad. Sci. 2019, 34, 362–370. [Google Scholar]
- Li, H.; Shi, W.; Wang, B.; An, T.; Li, S.; Li, S.; Wang, J. Comparison of the modeled potential yield versus the actual yield of maize in Northeast China and the implications for national food security. Food Secur. 2017, 9, 99–114. [Google Scholar] [CrossRef]
- Tong, Y.; Liu, J.; Li, X.; Sun, J.; Herzberger, A.; Wei, D.; Zhang, W.; Dou, Z.; Zhang, F. Cropping system conversion led to organic carbon change in China’s Mollisols Regions. Sci. Rep. 2017, 7, 18064. [Google Scholar] [CrossRef]
- Wang, S.; Xu, X.; Huang, L. Spatial and temporal variability of soil erosion in Northeast China from 2000 to 2020. Remote Sens. 2023, 15, 225. [Google Scholar] [CrossRef]
- Zhu, Y.; Li, W.; Wang, D.; Wu, Z.; Shang, P. Spatial pattern of soil erosion in relation to land use change in a rolling hilly region of Northeast China. Land 2022, 11, 1253. [Google Scholar] [CrossRef]
- Bélanger, G.; Claessens, A.; Ziadi, N. Grain N and P relationships in maize. Field Crops Res. 2012, 126, 1–7. [Google Scholar] [CrossRef]
- Anas, M.; Liao, F.; Verma, K.; Sarwar, M.; Mahmood, A.; Chen, Z.; Li, Q.; Zeng, X.; Liu, Y.; Li, Y. Fate of nitrogen in agriculture and environment: Agronomic, eco-physiological and molecular approaches to improve nitrogen use efficiency. Biol. Res. 2022, 53, 47. [Google Scholar] [CrossRef]
- Franklin, O.; Cambui, C.; Gruffman, L.; Palmroth, S.; Oren, R.; Näsholm, T. The carbon bonus of organic nitrogen enhances nitrogen use efficiency of plants. Plant Cell Environ. 2017, 40, 25–35. [Google Scholar] [CrossRef]
- Hirsch, P.; Mauchline, T. The importance of the microbial N cycle in soil for crop plant nutrition. Adv. Appl. Microbiol. 2015, 93, 45–71. [Google Scholar]
- Sardans, J.; Rivas-Ubach, A.; Penuelas, J. Factors affecting nutrient concentration and stoichiometry of forest trees in Catalonia (NE Spain). For. Ecol. Manag. 2011, 262, 2024–2034. [Google Scholar] [CrossRef]
- Sun, P.; Li, X.; Gong, X.; Liu, Y.; Zhang, X.; Wang, L. Carbon, nitrogen and phosphorus ecological stoichiometry of Lateolabrax macultus and Acanthogobius ommaturus in the Estuary of Yangtze River, China. Acta Ecol. Sin. 2014, 34, 196–203. [Google Scholar] [CrossRef]
- Somaweera, K.; Suriyagoda, L.; Sirisena, D.; De Costa, W. Accumulation and partitioning of biomass, nitrogen, phosphorus and potassium among different tissues during the life cycle of rice grown under different water management regimes. Plant Soil 2016, 401, 169–183. [Google Scholar] [CrossRef]
- Zhang, J.; Pang, X.; Wang, Q.; Yang, D.; Qiao, F.; Zhi, D.; Guo, Z. PRDI can maintain aboveground biomass and increase economic benefits in alfalfa through regulating N:P ratios in roots and leaves. Field Crops Res. 2020, 253, 107821. [Google Scholar] [CrossRef]
- Lu, P. Water Productivity and Its Related Ecological Stoichiometry in Carbon, Nitrogen and Phosphorus in Dry-Farming Maize. Master’s Thesis, Lanzhou University, Lanzhou, China, 2017. [Google Scholar]
- Gu, Y.; Han, C.; Kong, M.; Shi, X.; Zdruli, P.; Li, F. Plastic film mulch promotes high alfalfa production with phosphorus-saving and low risk of soil nitrogen loss. Field Crops Res. 2018, 229, 44–54. [Google Scholar] [CrossRef]
- Wang, J.; Liu, X.; Zhang, X.; Li, L.; Lam, S.; Pan, G. Changes in plant C, N and P ratios under elevated [CO2] and canopy warming in a rice-winter wheat rotation system. Sci. Rep. 2019, 9, 5424. [Google Scholar] [CrossRef]
- Zhu, Z.; Ge, T.; Luo, Y.; Liu, S.; Xu, X.; Tong, C.; Shibistova, O.; Guggenberger, G.; Wu, J. Microbial stoichiometric flexibility regulates rice straw mineralization and its priming effect in paddy soil. Soil Biol. Biochem. 2018, 121, 67–76. [Google Scholar] [CrossRef]
- Leghari, S.; Hu, K.; Wei, Y.; Wang, T.; Bhutto, T.; Buriro, M. Modelling water consumption, N fates and maize yield under different water-saving management practices in China and Pakistan. Agric. Water Manag. 2021, 255, 107033. [Google Scholar] [CrossRef]
- Tian, Y.; Shao, D.; Li, S.; Wang, B. Response of rice water requirement to groundwater depths and irrigations simulation in cold region of Northeast China. J. Irrig. Drain. 2019, 38, 68–77. [Google Scholar]
- Chen, P.; Xu, J.; Zhang, Z.; Wang, K.; Li, T.; Wei, Q.; Li, Y. Carbon pathways in aggregates and density fractions in Mollisols under water and straw management: Evidence from 13C natural abundance. Soil Biol. Biochem. 2022, 169, 108684. [Google Scholar] [CrossRef]
- Chen, N.; Li, X.; Shi, H.; Hu, Q.; Zhang, Y.; Leng, X. Effect of biodegradable film mulching on crop yield, soil microbial and enzymatic activities, and optimal levels of irrigation and nitrogen fertilizer for the Zea mays crops in arid region. Sci. Total Environ. 2021, 776, 145970. [Google Scholar] [CrossRef]
- Massaccesi, L.; Feudis, D.; Leccese, A.; Agnelli, A. Altitude and vegetation affect soil organic carbon, basal respiration and microbial biomass in Apennine Forest Soils. Forests 2020, 11, 710. [Google Scholar] [CrossRef]
- Tian, D.; Reich, P.; Chen, H.; Xiang, Y.; Luo, Y.; Shen, Y.; Meng, C.; Han, W.; Niu, S. Global changes alter plant multi-element stoichiometric coupling. New Phytol. 2018, 221, 807–817. [Google Scholar] [CrossRef] [PubMed]
- Minden, V.; Kleyer, M. Internal and external regulation of plant organ stoichiometry. Plant Biol. 2014, 16, 897–907. [Google Scholar] [CrossRef]
- Qi, P.; Wang, X.; Guo, G.; Cai, L.; Wu, J. Effects of subsoiling tillage on N/P ratios in roots, stems, leaves, and aboveground biomass in maize. Trans. CSAE 2021, 37, 82–89. [Google Scholar]
- Reich, P.; Tjoelker, M.; Pregitzer, K.; Wright, I.; Oleksyn, J.; Machado, J. Scaling of respiration to nitrogen in leaves, stems and roots of higher land plants. Ecol. Lett. 2008, 11, 793–801. [Google Scholar] [CrossRef] [PubMed]
- Hooker, H. Liebig’s law of the minimum in relation to general biological problems. Science 1917, 46, 197–204. [Google Scholar] [CrossRef]
- Aulakh, M.; Aulakh, N. Interactions of nitrogen with other nutrients and water: Effect on crop yield and quality, nutrient use efficiency, carbon sequestration, and environmental pollution. Adv. Agron. 2005, 86, 341–409. [Google Scholar]
- Wu, W.; Liu, M.; Wu, X.; Wang, Z.; Yang, H. Effects of deficit irrigation on nitrogen uptake and soil mineral nitrogen in alfalfa grasslands of the inland arid area of China. Agric. Water Manag. 2022, 269, 107724. [Google Scholar] [CrossRef]
- Liang, Y.; Hu, W.; Liu, Y.; Li, Y.; Fang, B. The research progress of ridge cultivation mode in China. China J. Ecol. 2022, 41, 1414–1422. [Google Scholar]
- Leng, X.; Li, X.; Chen, N.; Zhang, J.; Guo, Y.; Ding, Z. Evaluating the effects of biodegradable film mulching and topdressing nitrogen on nitrogen dynamic and utilization in the arid cornfield. Agric. Water Manag. 2021, 258, 107166. [Google Scholar] [CrossRef]
- Ding, F.; Ji, D.; Yan, K.; Dijkstra, F.; Bao, X.; Li, S.; Kuzyakov, Y.; Wang, J. Increased soil organic matter after 28 years of nitrogen fertilization only with plastic film mulching is controlled by maize root biomass. Sci. Total Environ. 2022, 810, 152244. [Google Scholar] [CrossRef] [PubMed]
- Guo, S.; Jiang, R.; Qu, H.; Wang, Y.; Misselbrook, T.; Gunina, A.; Kuzyakov, Y. Fate and transport of urea-N in a rain-fed ridge-furrow crop system with plastic mulch. Soil Tillage Res. 2019, 186, 214–223. [Google Scholar] [CrossRef] [PubMed]
- Wang, K.; Wang, C.; Chen, M.; Misselbrook, T.; Kuzyakov, Y.; Soromotin, A.; Dong, Q.; Feng, H.; Jiang, R. Effects of plastic film mulch biodegradability on nitrogen in the plant-soil system. Sci. Total Environ. 2022, 833, 155220. [Google Scholar] [CrossRef] [PubMed]
- Gu, X.; Li, Y.; Du, Y. Biodegradable film mulching improves soil temperature, water and seed yield of winter oilseed rape (Brassica napus L.). Soil Tillage Res. 2017, 171, 42–50. [Google Scholar] [CrossRef]
- Saglam, M.; Sintim, Y.; Bary, I.; Miles, A.; Ghimire, S.; Inglis, A.; Flury, M. Modeling the effect of biodegradable paper and plastic mulch on soil moisture dynamics. Agric. Water Manag. 2017, 193, 240–250. [Google Scholar] [CrossRef]
- Kou, L.; Chen, W.; Jiang, L.; Dai, X.; Fu, X.; Wang, H.; Li, S. Simulated nitrogen deposition affects stoichiometry of multiple elements in resource-acquiring plant organs in a seasonally dry subtropical forest. Sci. Total Environ. 2018, 624, 611–620. [Google Scholar] [CrossRef]
- Lu, J.; Yang, M.; Liu, M.; Wang, Y.; Yang, H. Leaf stoichiometry and resorption of N and P in Lucerne at different growth stages under different water supplies. J. Plant Nutr. 2019, 42, 501–511. [Google Scholar] [CrossRef]
- Coskun, D.; Britto, D.; Shi, W.; Kronzucker, H. How plant root exudates shape the nitrogen cycle. Trends Plant Sci. 2017, 22, 661–673. [Google Scholar] [CrossRef]
- Liu, Y.; Fang, Y.; An, S. How C:N:P stoichiometry in soils and plants responds to succession in Robinia pseudoacacia forests on the Loess Plateau, China. For. Ecol. Manag. 2020, 475, 118394. [Google Scholar] [CrossRef]






| Treatment | Irrigation Method | Whether to Covered |
|---|---|---|
| CK | Traditional irrigation | No |
| DM | Ridge irrigation | No |
| DB | Ridge irrigation | Yes |
| TM | Controlled irrigation | No |
| TB | Controlled irrigation | Yes |
| Yield | N/P in Stems | N/P in Leaves | N/P in Panicles | |
|---|---|---|---|---|
| Yield | 1 | −0.727 | −0.404 | −0.902 * |
| N/P in stems | 1 | −0.071 | 0.386 | |
| N/P in leaves | 1 | 0.481 | ||
| N/P in panicles | 1 |
Disclaimer/Publisher’s Note: The statements, opinions and data contained in all publications are solely those of the individual author(s) and contributor(s) and not of MDPI and/or the editor(s). MDPI and/or the editor(s) disclaim responsibility for any injury to people or property resulting from any ideas, methods, instructions or products referred to in the content. |
© 2023 by the authors. Licensee MDPI, Basel, Switzerland. This article is an open access article distributed under the terms and conditions of the Creative Commons Attribution (CC BY) license (https://creativecommons.org/licenses/by/4.0/).
Share and Cite
Li, J.; Liu, J.; Zhang, L.; Cao, X.; Liu, Q.; Cao, R.; Wang, Z.; Dong, Z.; Wang, H.; Sun, W. Variation Characteristics and Expression State of Nitrogen and Phosphorus Metering Ratio of Rice in Black Soil under Film Mulching and Irrigation Methods. Agronomy 2023, 13, 2479. https://doi.org/10.3390/agronomy13102479
Li J, Liu J, Zhang L, Cao X, Liu Q, Cao R, Wang Z, Dong Z, Wang H, Sun W. Variation Characteristics and Expression State of Nitrogen and Phosphorus Metering Ratio of Rice in Black Soil under Film Mulching and Irrigation Methods. Agronomy. 2023; 13(10):2479. https://doi.org/10.3390/agronomy13102479
Chicago/Turabian StyleLi, Jizhen, Jilong Liu, Lingling Zhang, Xiaoqiang Cao, Qianqian Liu, Ran Cao, Zhizhuo Wang, Ze Dong, Hao Wang, and Weili Sun. 2023. "Variation Characteristics and Expression State of Nitrogen and Phosphorus Metering Ratio of Rice in Black Soil under Film Mulching and Irrigation Methods" Agronomy 13, no. 10: 2479. https://doi.org/10.3390/agronomy13102479
APA StyleLi, J., Liu, J., Zhang, L., Cao, X., Liu, Q., Cao, R., Wang, Z., Dong, Z., Wang, H., & Sun, W. (2023). Variation Characteristics and Expression State of Nitrogen and Phosphorus Metering Ratio of Rice in Black Soil under Film Mulching and Irrigation Methods. Agronomy, 13(10), 2479. https://doi.org/10.3390/agronomy13102479
