Accumulation of Alkaloids in Different Tall Fescue KY31 Clones Harboring the Common Toxic Epichloë coenophiala Endophyte under Field Conditions
Abstract
1. Introduction
2. Materials and Methods
2.1. Plant Materials: Clone Pair Development
2.2. Field Study
2.3. Alkaloid Measurements
2.4. Statistical Analysis
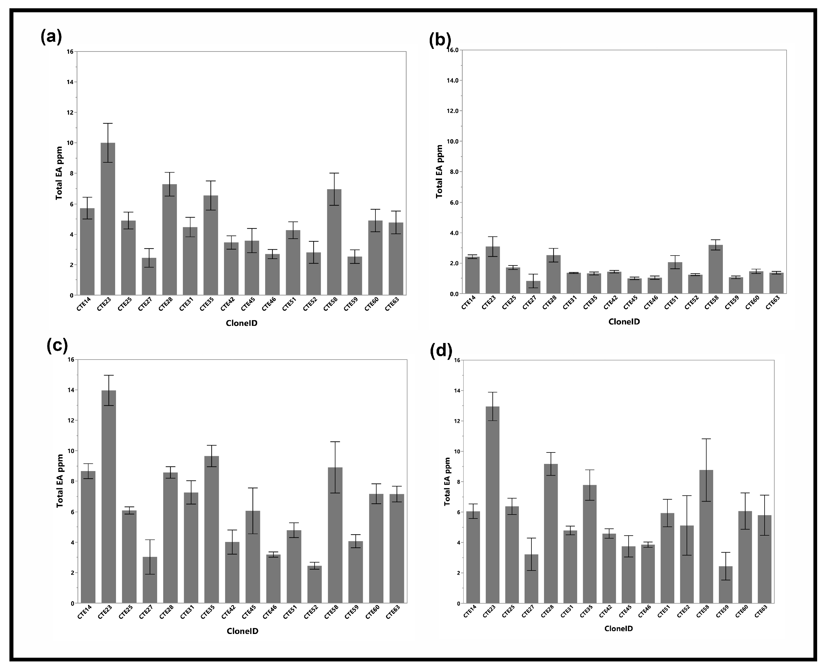
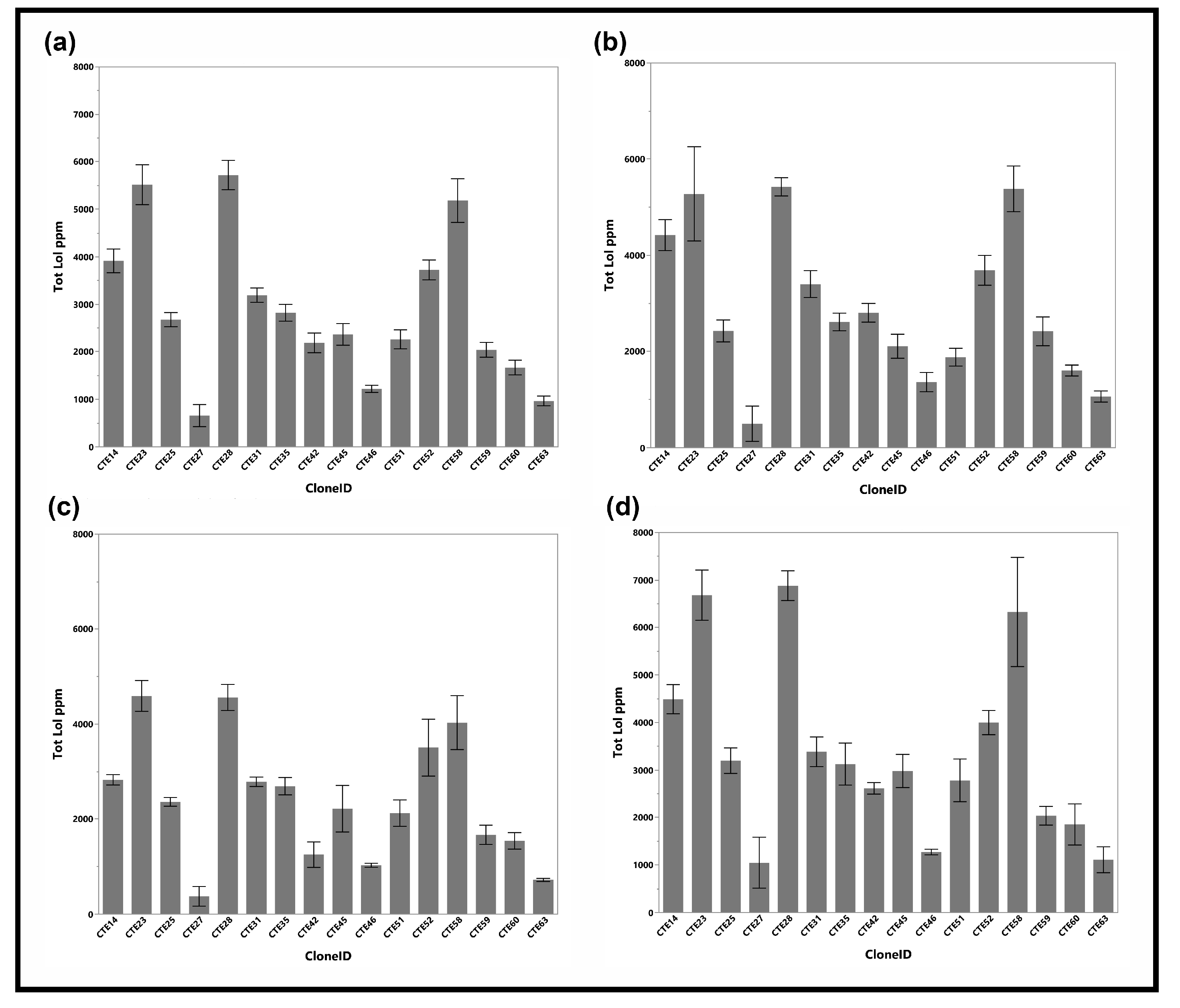
3. Results
4. Discussion
Supplementary Materials
Author Contributions
Funding
Data Availability Statement
Acknowledgments
Conflicts of Interest
Author’s Statement
References
- Saikkonen, K.; Phillips, T.; Faeth, S.; McCulley, R.; Saloniemi, I.; Helander, M. Performance of endophyte infected tall fescue in Europe and North America. PLoS ONE 2016, 11, e0157382. [Google Scholar] [CrossRef] [PubMed]
- Ball, D.M.; Lacefield, G.; Hoveland, C. The Wonder Grass—The Story of Tall Fescue in the United States; Oregon Tall Fescue Commission: Salem, OR, USA, 2019. [Google Scholar]
- Lee, K.; Missaoui, A.; Mahmud, K.; Presley, H.; Lonnee, M. Interaction between grasses and Epichloë endophytes and its significance to botic and abiotic stress tolerance and the rhizosphere. Microorganisms 2021, 9, 2186. [Google Scholar] [CrossRef]
- Schardl, S.L.; Leuchtmann, A.; Spiering, M. Symbioses of grasses with seedborne fungal endophytes. Annu. Rev. Plant Biol. 2004, 55, 315–340. [Google Scholar] [CrossRef] [PubMed]
- Schardl, C.L.; Young, C.; Pan, J.; Florea, S.; Takach, J.; Panaccione, D.; Farman, M.; Webb, J.S.; Jaromczyk, J.; Charlton, N.; et al. Currencies of mutualisms: Sources of alkaloid genes in vertically transmitted epichloae. Toxins 2013, 5, 1064–1088. [Google Scholar] [CrossRef] [PubMed]
- Tanaka, A.; Takemoto, D.; Chujo, T.; Scott, B. Fungal endophytes of grasses. Curr. Opin. Plant Biol. 2012, 15, 462–468. [Google Scholar] [CrossRef]
- Caradus, J.R.; Johnson, L.J. Epichloë fungal endophytes—From a biological curiosity in wild grasses to an essential component of resilient high performing regrass and fescue pastures. J. Fungi 2020, 6, 322. [Google Scholar] [CrossRef]
- Card, S.D.; Bastías, D.A.; Caradus, J.R. Antagonism to plant pathogens by Epichloë fungal endophytes—A review. Plants 2021, 10, 1997. [Google Scholar] [CrossRef]
- Bush, L.P.; Cornelius, P.; Buckner, R.; Chapman, R.; Burrus, P.; Kennedy, C.; Jones, T.; Saunders, M. Association of N-acetyl loline and N-formyl loline with Epichloë typhina in tall fescue. Crop Sci. 1982, 22, 941–943. [Google Scholar] [CrossRef]
- Timper, P.; Gates, R.; Bouton, J. The response of Pratylenchus spp. in tall fescue infected with different strains of the fungal endophyte Neotyphodium ceonophialum. Nematology 2005, 7, 105–110. [Google Scholar] [CrossRef]
- Bacon, C.W.; Porter, J.; Robbins, J.; Luttrell, E. Epichloe typhina from toxic tall fescue grasses. Appl. Environ. Microbiol. 1977, 34, 576–581. [Google Scholar] [CrossRef]
- Fletcher, L.R.; Harvey, I. An sssociation of a Lolium endophyte with ryegrass staggers. New Zealand Vet. J. 2011, 29, 185–186. [Google Scholar] [CrossRef]
- Schardl, C.L.; Young, C.; Faulkner, J.; Florea, S.; Pan, J. Chemotypic diversity of epichloae, fungal symbionts of grasses. Fungal Ecol. 2012, 5, 331–344. [Google Scholar] [CrossRef]
- Moon, C.D.; Craven, K.; Leuchtmann, A.; Clement, L.; Schardl, C. Prevalence of interspecific hybrids amongst asexual fungal endophytes of grasses. Mol. Ecol. 2004, 13, 1455–1467. [Google Scholar] [CrossRef]
- Young, C.A.; Tapper, B.A.; May, K.; Moon, C.; Schardl, C.; Scott, B. Indole-diterpene biosynthetic capability of epichloe endophytes as predicted by ltm gene analysis. Appl. Environ. Microbiol. 2009, 75, 2200–2211. [Google Scholar] [CrossRef]
- Young, C.A.; Hume, D.; McCulley, R. Forages and pastures symposium: Fungal endophytes of tall fescue and perennial ryegrass: Pasture friend or foe? J. Anim. Sci. 2013, 91, 2379–2394. [Google Scholar] [CrossRef]
- Tsai, H.F.; Liu, J.; Staben, C.; Christensen, M.; Latch, G.; Siegel, M.; Schardl, C. Evolutionary diversification of fungal endophytes of tall fescue grass by hybridization with Epichloe species. Proc. Natl. Acad. Sci. USA 1994, 91, 2542–2546. [Google Scholar] [CrossRef]
- Leuchtmann, A.; Bacon, C.W.; Schardl, C.; White, J.; Tadych, M. Nomenclatural realignment of Neotyphodium species with genus Epichloë. Mycologia 2014, 106, 202–215. [Google Scholar] [CrossRef]
- Fribourg, H.A.; Hannaway, D.; West, C. Tall Fescue for the Twenty-first Century—Agrononmy Monograph; ASA, CSSA, SSSA: Madison, WI, USA, 2010. [Google Scholar]
- Bacon, C.W. Toxic endophyte-infected tall fescue and range grasses: Historic perspectives. J. Anim. Sci. 1995, 3, 861–870. [Google Scholar] [CrossRef]
- Foote, A.P.; Harmon, D.; Brown, K.; Strickland, J.; McLeod, K.; Bush, L.; Klotz, J. Constriction of bovine vasculature caused by endophyte-infected tall fescue seed extract is similar to pure ergovaline. J. Anim. Sci. 2011, 90, 1603–1609. [Google Scholar] [CrossRef]
- Read, J.C.; Camp, B. The Effect of the Fungal Endophyte Acremonium Coenophialum in Tall Fescue on Animal Performance, Toxicity, and Stand Maintenance. Agron. J. 1986, 78, 848–850. [Google Scholar] [CrossRef]
- Bouton, J.H.; Gates, R.; Hoveland, C. Selection for persistence in endophyte-free Kentucky 31 tall fescue. Crop Sci. 2001, 41, 1026–1028. [Google Scholar] [CrossRef]
- Adcock, R.A.; Hill, N.; Bouton, J.; Boerma, H.; Ware, G. Symbiont regulation and reducing ergot alkaloid concentration by breeding endophyte-infected tall fescue. J. Agric. Food Chem. 1997, 45, 691–704. [Google Scholar] [CrossRef]
- Berry, D.; Lee, K.; Winter, D.; Mace, W.; Becker, Y.; Nagabhyru, P.; Treindl, A.; Bogantes, E.; Young, C.; Leuchtmann, A.; et al. Cross-species transcriptomics identifies core regulatory changes differentiating the asymptomatic asexual and virulent sexual life cycles of grass-symbiotic Epichloë fungi. G3 Genes|Genomes|Genet. 2022, 12, jkac043. [Google Scholar] [CrossRef] [PubMed]
- Chujo, T.; Scott, B. Histone H3K9 and H3K27 methylation regulates fungal alkaloid biosynthesis in a fungal endophyte-plant symbiosis. Mol. Microbiol. 2014, 92, 413–434. [Google Scholar] [CrossRef] [PubMed]
- Helander, M.; Phillips, T.; Faeth, S.; Bush, L.; McCulley, R.; Saloniemi, I.; Saikkonen, K. Alkaloid quantities in endophyte-infected tall fescue are affected by the plant-fungus combination and environment. J. Chem. Ecol. 2016, 42, 118–126. [Google Scholar] [CrossRef]
- Lin, W.; Kuang, Y.; Wang, J.; Duan, D.; Xu, W.; Tian, P.; Nzabanita, C.; Wang, M.; Li, M.; Ma, B. Effects of seasonal variation on the alkaloids of different ecotypes of Epichloë endophyte-Festuca sinensis associations. Front. Microbiol. 2019, 10, 1695. [Google Scholar] [CrossRef]
- Hill, N.S.; Bouton, J.; Thompson, F.; Hawkins, L.; Hoveland, C.; McCann, M. Performance of tall fescue germplasms bred for high- and low-ergot alkaloids. Crop Sci. 2002, 42, 518–523. [Google Scholar] [CrossRef]
- Takach, J.E.; Mittal, S.; Swoboda, G.; Bright, S.; Trammell, M.; Hopkins, A.; Young, C. Genotypic and chemotypic diversity of Neotyphodium endophytes in tall fescue from Greece. Appl. Environ. Microbiol. 2012, 78, 5501–5510. [Google Scholar] [CrossRef]
- Yates, S.G.; Powell, R. Analysis of ergopeptine alkaloids in endophyte-infected tall fescue. J. Agri. Food Chem. 2002, 36, 337–340. [Google Scholar] [CrossRef]
- Blankenship, J.D.; Spiering, M.; Wilkinson, H.; Fannin, F.; Bush, L.; Schardl, C. Production of loline alkaloids by the grass endophyte, Neotyphodium uncinatum, in defined media. Phytochem. 2001, 58, 395–401. [Google Scholar] [CrossRef]
- Pan, J.; Bhardwaj, M.; Nagabhyru, P.; Grossman, R.; Schardl, C. Enzymes from fungal and plant origin required for chemical dversification of insecticidal loline alkaloids in grass-Epichloë symbiota. PLoS ONE 2014, 9, e115590. [Google Scholar] [CrossRef]
- Newman, J.A.; Gillis, S.; Hager, H. Costs, benefits, parasites and mutualists: The use and abuse of the mutualism–parasitism continuum concept for “Epichloë” fungi. Philos. Theory Pract. Biol. 2022, 14, 9. [Google Scholar] [CrossRef]
- Saikkonen, K.; Faeth, S.; Helander, M.; Sullivan, T. Fungal endophytes: A continuum of interactions with host plants. Annu. Rev. Ecol. Syst. 1998, 29, 319–343. [Google Scholar] [CrossRef]
- Saikkonen, K.; Saari, S.; Helander, M. Defensive mutualism between plants and endophytic fungi? Fungal Divers. 2010, 41, 101–113. [Google Scholar] [CrossRef]
- Koga, H.; Christensen, M.; Bennett, R. Incompatibility of some grass-Acremonium endophyte associations. Mycol. Res. 1993, 97, 1237–1244. [Google Scholar] [CrossRef]
- Christensen, M.J. Endophyte compatibility in perennial ryegrass, meadow fescue, and tall fescue: A short review. In Neotyphodium Grass Interaction; Springer: Cham, Switzerland, 1997; pp. 45–48. [Google Scholar]
- Eaton, C.J.; Cox, M.; Ambrose, B.; Becker, M.; Hesse, U.; Schardl, C.; Scott, B. Disruption of signaling in a fungal-grass symbiosis leads to pathogenesis. Plant Physiol. 2010, 153, 1780–1794. [Google Scholar] [CrossRef]
- Tanaka, A.; Takemoto, D.; Hyon, G.-S.; Park, P.; Scott, B. NoxA activation by the small GTPase RacA is required to maintain a mutualistic symbiotic association between Epichloë festucae and perennial ryegrass. Mol. Microbiol. 2008, 68, 1165–1178. [Google Scholar] [CrossRef]
- Eaton, C.J.; Cox, M.; Scott, B. What triggers grass endophytes to switch from mutualism to pathogenism? Plant Sci. 2011, 180, 190–195. [Google Scholar] [CrossRef]
- Nagabhyru, P.; Dinkins, R.; Schardl, C. Transcriptomics of Epichloë-grass symbioses in host vegetative and reproductive stages. Mol. Plant Microbe Interact. 2019, 32, 194–207. [Google Scholar] [CrossRef]
- Christensen, M.J.; Zhang, X.; Scott, B. Regulation switching of Epichloe typhina within elongating perennial ryegrass leaves. Mycol. Res. 2008, 112, 1056–1062. [Google Scholar] [CrossRef]
- Tan, Y.; Spiering, M.; Scott, V.; Lane, G.; Christensen, M.; Schmid, J. In planta regulation of extension of an endophytic fungus and maintenance of high metabolic rates in its mycelium in the absence of apical extension. Appl. Environ. Microbiol. 2001, 67, 5377–5383. [Google Scholar] [CrossRef] [PubMed]
- Dinkins, R.D.; Nagabhyru, P.; Graham, M.; Boykin, D.; Schardl, C. Transcriptome response of Lolium arundinaceum to its fungal endophyte Epichloe coenophiala. New Phytol. 2017, 113, 324–337. [Google Scholar] [CrossRef] [PubMed]
- Chakrabarti, M.; Nagabhyru, P.; Schardl, C.; Dinkins, R. Differential gene expression in tall fescue tissues in response to water deficit. Plant Genome 2022, 15, e20199. [Google Scholar] [CrossRef] [PubMed]
- Dinkins, R.D.; Nagabhyru, P.; Young, C.; West, C.; Schardl, C. Transcriptome analysis and differential expression in tall fescue harboring different endophyte strains in response to water deficit. Plant Genome 2019, 12, 180071. [Google Scholar] [CrossRef] [PubMed]
- Nagabhyru, P.; Dinkins, R.; Schardl, C. Transcriptome analysis of Epichloë strains in tall fescue in response to drought stress. Mycologia 2022, 114, 697–712. [Google Scholar] [CrossRef]
- Malinowski, D.P.; Belesky, D. Tall fescue aluminum tolerance is affected by Neotyphodium coenophialum endophyte. J. Plant Nutr. 1999, 22, 1335–1349. [Google Scholar] [CrossRef]
- Malinowski, D.P.; Belesky, D. Adaptations of endophyte-infected cool-season grasses to environmental stresses: Mechanisms of drought and mineral stress tolerance. Crop Sci. 2000, 40, 923–940. [Google Scholar] [CrossRef]
- Arachevaleta, M.; Bacon, C.; Hoveland, C.; Radcliffe, D. Effect of the tall fescue endophyte on plant response to environmental stress. Agron. J. 1989, 81, 83–90. [Google Scholar] [CrossRef]
- Arechavaleta, M.; Bacon, C.; Plattner, R.; Hoveland, C.; Radcliffe, D. Accumulation of ergopeptide alkaloids in symbiotic tall fescue grown under deficits of soil water and ntrogen fertilizer. Appl. Environ. Microbiol. 1992, 58, 857–861. [Google Scholar] [CrossRef]
- Bourguignon, M.; Nelson, J.; Carlisle, E.; Ji, H.; Dinkins, R.; Phillips, T.; McCulley, R. Ecophysiological responses of tall fescue genotypes to fungal endophyte infection, elevated tmperature, and precipitation. Crop Sci. 2015, 55, 2895–2909. [Google Scholar] [CrossRef]
- Pan, L.; Cui, S.; Dinkins, R.; Jiang, Y. Plant growth, ion accumulation, and antioxidant enzymes of endophyte-infected and endophyte-free tall fescue to salinity stress. Acta Physiol. Plant. 2021, 43, 1–10. [Google Scholar] [CrossRef]
- Nagabhyru, P.; Dinkins, R.D.; Wood, C.; Bacon, C.; Schardl, C. Tall fescue endophyte effects on tolerance to water-deficit stress. BMC Plant Biol. 2013, 13, 127. [Google Scholar] [CrossRef]
- Malinowski, D.P.; Alloush, G.; Belesky, D. Evidence for chemical changes on the root surface of tall fescue in response to infection with the fungal endophyte Neotyphodium coenophialum. Plant Soil 1998, 205, 1–12. [Google Scholar] [CrossRef]
- Malinowski, D.P.; Belesky, D. Neotyphodium coenophialum-endophyte infection affects the ability of tall fescue to use sparingly available phosphorus. J. Plant Nutr. 1999, 22, 835–853. [Google Scholar] [CrossRef]
- Malinowski, D.P.; Brauer, D.; Belesky, D. The endophyte Neotyphodium coenophialum affects root morphology of tall fescue grown under phosphorus deficiency. J. Agron. Crop Sci. 1999, 183, 53–60. [Google Scholar] [CrossRef]
- De Battista, J.P.; Bouton, J.; Bacon, C.; Siegel, M. Rhizome and herbage production of endophyte-removed tall fescue clones and populations. Agron. J. 1990, 82, 651–654. [Google Scholar] [CrossRef]
- Cheplick, G.P. Host genotype overrides fungal endophyte infection in influencing tiller and spike production of Lolium perenne (Poaceae) in a common garden experiment. Am. J. Bot. 2008, 95, 1063–1071. [Google Scholar] [CrossRef]
- Faville, M.J.; Briggs, L.; Cao, M.; Koulman, A.; Jahufer, M.; Koolaard, J.; Hume, D. A QTL analysis of host plant effects on fungal endophyte biomass and alkaloid expression in perennial ryegrass. Mol. Breed. 2015, 35, 1–18. [Google Scholar] [CrossRef]
- Gagic, M.; Faville, M.; Zhang, W.; Forester, N.; Rolston, M.; Johnson, R.; Ganesh, S.; Koolaard, J.; Easton, H.; Hudson, D.; et al. Seed transmission of Epichloë endophytes in Lolium perenne is heavily influenced by host genetics. Front. Plant Sci. 2018, 9, 1580. [Google Scholar] [CrossRef]
- Bacon, C.W.; Siegel, M. Endophyte parasitism of tall fescue. J. Prod. Agric. 1988, 1, 45–55. [Google Scholar] [CrossRef]
- Ju, H.J.; Hill, N.; Abbott, T.; Ingram, K. Temperature Influences on Endophyte Growth in Tall Fescue. Crop Sci. 2006, 46, 404–412. [Google Scholar] [CrossRef]
- Koulman, A.; Lane, G.; Christensen, M.; Fraser, K.; Tapper, B. Peramine and other fungal alkaloids are exuded in the guttation fluid of endophyte-infected grasses. Phytochemistry 2007, 68, 355–360. [Google Scholar] [CrossRef] [PubMed]
- Bush, L.P.; Fannin, F.; Siegel, M.; Dahlman, D.; Burton, H. Chemistry, occurrence and biological effects of saturated pyrrolizidine alkaloids associated with endophyte-grass interactions. Agric. Ecosyst. Environ. 1993, 44, 81–102. [Google Scholar] [CrossRef]
- Rottinghaus, G.E.; Garner, G.; Cornell, C.; Ellis, J. HPLC method for quantitating ergovaline in endophyte-infested tall fescue: Seasonal variation of ergovaline levels in stems with leaf sheaths, leaf blades, and seed heads. J. Agric. Food Chem. 1991, 39, 112–115. [Google Scholar] [CrossRef]






Disclaimer/Publisher’s Note: The statements, opinions and data contained in all publications are solely those of the individual author(s) and contributor(s) and not of MDPI and/or the editor(s). MDPI and/or the editor(s) disclaim responsibility for any injury to people or property resulting from any ideas, methods, instructions or products referred to in the content. |
© 2023 by the authors. Licensee MDPI, Basel, Switzerland. This article is an open access article distributed under the terms and conditions of the Creative Commons Attribution (CC BY) license (https://creativecommons.org/licenses/by/4.0/).
Share and Cite
Dinkins, R.D.; Coe, B.L.; Phillips, T.D.; Ji, H. Accumulation of Alkaloids in Different Tall Fescue KY31 Clones Harboring the Common Toxic Epichloë coenophiala Endophyte under Field Conditions. Agronomy 2023, 13, 356. https://doi.org/10.3390/agronomy13020356
Dinkins RD, Coe BL, Phillips TD, Ji H. Accumulation of Alkaloids in Different Tall Fescue KY31 Clones Harboring the Common Toxic Epichloë coenophiala Endophyte under Field Conditions. Agronomy. 2023; 13(2):356. https://doi.org/10.3390/agronomy13020356
Chicago/Turabian StyleDinkins, Randy D., Brenda L. Coe, Timothy D. Phillips, and Huihua Ji. 2023. "Accumulation of Alkaloids in Different Tall Fescue KY31 Clones Harboring the Common Toxic Epichloë coenophiala Endophyte under Field Conditions" Agronomy 13, no. 2: 356. https://doi.org/10.3390/agronomy13020356
APA StyleDinkins, R. D., Coe, B. L., Phillips, T. D., & Ji, H. (2023). Accumulation of Alkaloids in Different Tall Fescue KY31 Clones Harboring the Common Toxic Epichloë coenophiala Endophyte under Field Conditions. Agronomy, 13(2), 356. https://doi.org/10.3390/agronomy13020356

