Quantitative Analysis of Source-Sink Relationships in Two Potato Varieties under Different Nitrogen Application Rates
Abstract
1. Introduction
2. Materials and Methods
2.1. Site Overview
2.2. Experiment Design
2.3. Crop Management
2.4. Yield Measurement and Calculation of Nitrogen Use Efficiency
2.5. Quantification of Source-Sink Relationship
2.6. Determination of Growth Stages
2.7. Statistical Analysis
3. Results
3.1. Yield and Its Components
3.2. Nitrogen Use Efficiency, Nitrogen Uptake Efficiency, and Nitrogen Utilization Efficiency
3.3. Source and Sink Growth

| Year | N Rate (kg·ha−1) | Varieties | Estimated Parameter of Source | Estimated Parameter of Sink | Cb/Ca | ||||||||
|---|---|---|---|---|---|---|---|---|---|---|---|---|---|
| Ca | tea | tma | Amaxa | R2 | Cb | teb | tmb | Amaxb | R2 | ||||
| 2019 | 0 | J | 31.5 | 94 (9/8) | 54 (7/30) | 0.53 | 0.95 | 107.7 | 97 (9/11) | 74 (8/19) | 2.37 | 0.95 | 3.42 |
| Y | 11.4 | 56 (7/27) | 10 (6/21) | 0.31 | 0.97 | 59.0 | 87 (8/27) | 54 (7/25) | 1.13 | 0.94 | 5.16 | ||
| 150 | J | 50.3 | 92 (9/10) | 50 (7/30) | 0.84 | 0.99 | 172.2 | 96 (9/14) | 75 (8/24) | 4.12 | 0.98 | 3.42 | |
| Y | 21.4 | 55 (8/10) | 6 (6/22) | 0.63 | 0.97 | 117.4 | 88 (9/12) | 57 (8/12) | 2.32 | 0.98 | 5.49 | ||
| 300 | J | 82.3 | 86 (9/13) | 46 (8/4) | 1.46 | 0.96 | 206.0 | 88 (9/15) | 67 (8/25) | 5.07 | 0.98 | 2.50 | |
| Y | 24.0 | 50 (8/10) | 2 (6/23) | 0.88 | 0.97 | 133.5 | 83 (9/12) | 51 (8/11) | 2.63 | 0.99 | 5.56 | ||
| 2020 | 0 | J | 14.8 | 66 (8/19) | 37 (7/21) | 0.35 | 0.98 | 57.1 | 90 (9/12) | 67 (8/20) | 1.33 | 0.97 | 3.85 |
| Y | 9.3 | 46 (8/5) | 17 (7/7) | 0.29 | 0.95 | 27.4 | 82 (9/10) | 49 (8/8) | 0.54 | 0.95 | 2.96 | ||
| 150 | J | 28.5 | 61 (8/21) | 30 (7/21) | 0.70 | 0.97 | 86.3 | 84 (9/13) | 64 (8/24) | 2.24 | 0.97 | 3.03 | |
| Y | 14.1 | 48 (8/10) | 17 (7/10) | 0.42 | 0.95 | 36.4 | 81 (9/12) | 48 (8/10) | 0.73 | 0.96 | 2.58 | ||
| 300 | J | 39.1 | 63 (8/30) | 33 (7/31) | 0.95 | 0.98 | 100.0 | 77 (9/12) | 59 (8/26) | 2.94 | 0.97 | 2.56 | |
| Y | 15.9 | 49 (8/18) | 15 (7/15) | 0.47 | 0.94 | 43.0 | 71 (9/9) | 47 (8/16) | 1.08 | 0.96 | 2.71 | ||
| 2021 | 0 | J | 16.4 | 62 (8/13) | 26 (7/8) | 0.38 | 0.96 | 83.6 | 91 (9/11) | 65 (8/16) | 1.80 | 0.97 | 5.10 |
| Y | 12.5 | 55 (8/10) | 13 (6/29) | 0.34 | 0.93 | 80.9 | 83 (9/7) | 60 (8/15) | 1.91 | 0.92 | 6.47 | ||
| 150 | J | 41.3 | 78 (9/1) | 22 (7/7) | 0.77 | 0.96 | 182.9 | 88 (9/11) | 62 (8/16) | 4.05 | 0.96 | 4.43 | |
| Y | 22.0 | 49 (8/8) | 9 (6/29) | 0.68 | 0.94 | 119.1 | 80 (9/8) | 54 (8/13) | 2.72 | 0.97 | 5.42 | ||
| 300 | J | 72.3 | 71 (9/1) | 38 (7/30) | 1.57 | 0.96 | 257.6 | 82 (9/12) | 62 (8/23) | 6.74 | 0.98 | 3.56 | |
| Y | 34.9 | 52 (8/13) | 22 (7/17) | 0.98 | 0.97 | 170.1 | 76 (9/6) | 55 (8/16) | 4.38 | 0.96 | 4.87 | ||
| Year | N Rate (kg·ha−1) | Varieties | Estimated Parameter of Shoot | Estimated Parameter of Tuber | ||||||||
|---|---|---|---|---|---|---|---|---|---|---|---|---|
| Ca | tea | tma | Amaxa | R2 | Cb | teb | tmb | Amaxb | R2 | |||
| 2019 | 0 | J | 235.2 | 96 (9/10) | 40 (7/16) | 3.54 | 0.96 | 500.9 | 97 (9/11) | 70 (8/15) | 10.23 | 0.95 |
| Y | 110.7 | 51 (7/22) | 9 (6/20) | 3.30 | 0.98 | 236.8 | 85 (8/25) | 48 (7/19) | 4.35 | 0.93 | ||
| 150 | J | 339.9 | 73 (8/22) | 38 (7/20) | 7.05 | 0.98 | 821.5 | 96 (9/14) | 71 (8/20) | 17.85 | 0.98 | |
| Y | 222.1 | 49 (8/1) | 13 (6/29) | 6.65 | 0.97 | 474.4 | 87 (9/11) | 51 (8/6) | 8.66 | 0.98 | ||
| 300 | J | 522.6 | 63 (8/21) | 35 (7/28) | 13.03 | 0.96 | 1016.9 | 88 (9/15) | 63 (8/21) | 22.72 | 0.98 | |
| Y | 235.8 | 45 (8/5) | 1 (6/22) | 9.48 | 0.98 | 549.7 | 83 (9/12) | 45 (8/5) | 10.19 | 0.98 | ||
| 2020 | 0 | J | 120.5 | 65 (8/18) | 32 (7/16) | 2.76 | 0.98 | 289.5 | 89 (9/11) | 65 (8/18) | 6.53 | 0.97 |
| Y | 80.8 | 46 (8/5) | 15 (7/5) | 2.56 | 0.94 | 119.6 | 81 (9/9) | 44 (8/3) | 2.29 | 0.95 | ||
| 150 | J | 245.1 | 58 (8/18) | 27 (7/18) | 6.30 | 0.97 | 461.9 | 83 (9/12) | 63 (8/23) | 11.86 | 0.98 | |
| Y | 124.3 | 47 (8/9) | 15 (7/8) | 3.80 | 0.94 | 160.5 | 80 (9/11) | 43 (8/5) | 3.10 | 0.96 | ||
| 300 | J | 320.1 | 58 (8/25) | 29 (7/27) | 8.23 | 0.98 | 543.4 | 76 (9/11) | 58 (8/25) | 15.56 | 0.97 | |
| Y | 138.2 | 47 (8/16) | 14 (7/14) | 4.23 | 0.95 | 188.2 | 70 (9/8) | 44 (8/13) | 4.53 | 0.96 | ||
| 2021 | 0 | J | 135.1 | 61 (8/12) | 16 (6/28) | 3.24 | 0.96 | 397.6 | 90 (9/10) | 62 (8/13) | 8.23 | 0.97 |
| Y | 104.1 | 52 (8/7) | 4 (6/20) | 3.33 | 0.95 | 318.3 | 82 (9/6) | 55 (8/10) | 7.02 | 0.92 | ||
| 150 | J | 340.1 | 74 (8/28) | 13 (6/28) | 6.98 | 0.96 | 958.8 | 86 (9/9) | 61 (8/15) | 21.18 | 0.95 | |
| Y | 196.9 | 46 (8/5) | 4 (6/24) | 7.09 | 0.96 | 485.6 | 79 (9/7) | 50 (8/9) | 10.52 | 0.97 | ||
| 300 | J | 533.2 | 58 (8/19) | 31 (7/23) | 13.89 | 0.96 | 1278.6 | 81 (9/11) | 59 (8/20) | 31.61 | 0.98 | |
| Y | 295.6 | 53 (8/14) | 12(7/7) | 8.28 | 0.97 | 694.6 | 75 (9/5) | 52(8/13) | 16.90 | 0.96 | ||
3.4. Source and Sink Activity
3.5. Source-Sink Relationships
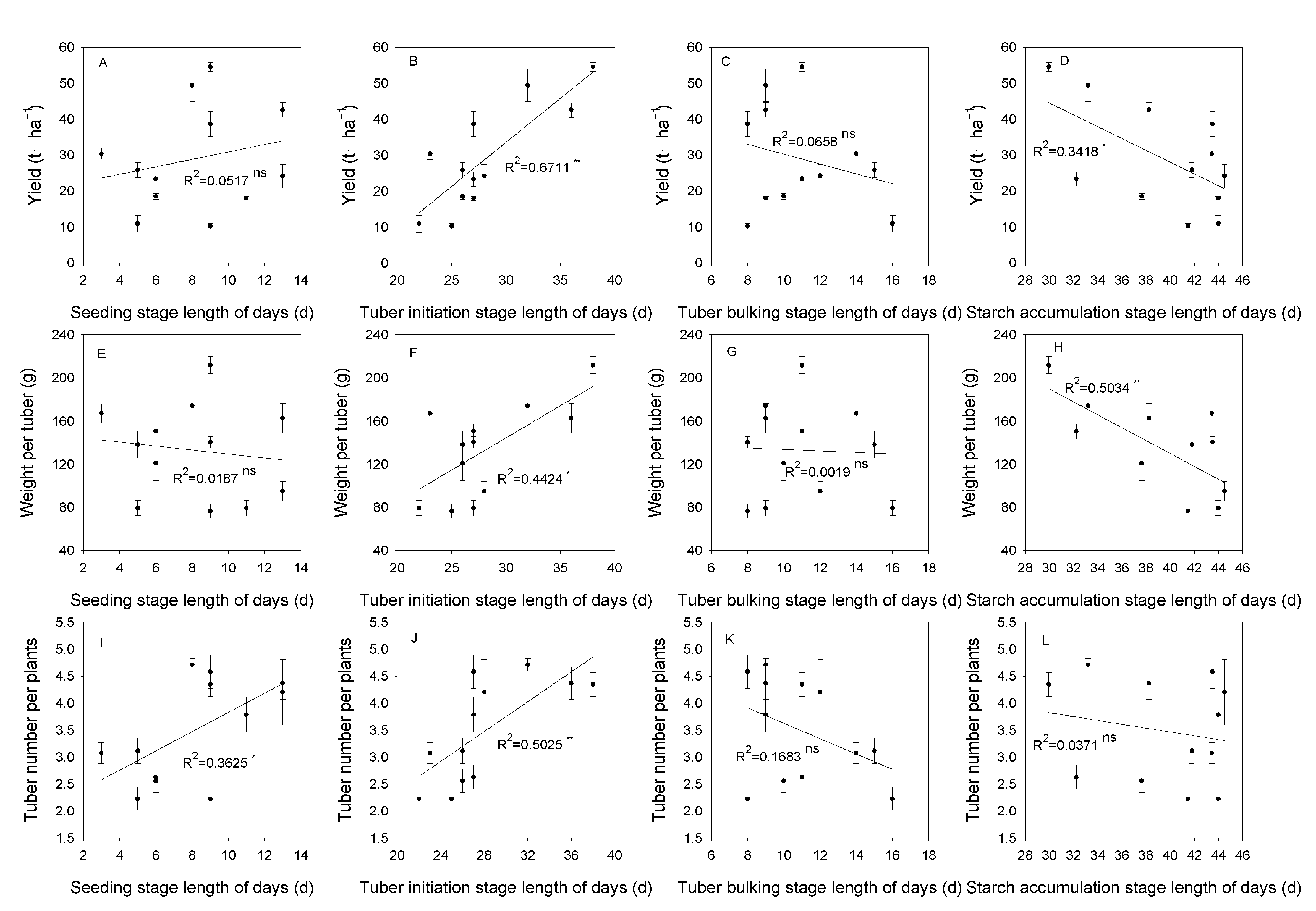
3.6. Growth Stages and Its Relationship to Yield
4. Discussion
4.1. Yield and Its Component Factors
4.2. Nitrogen Use Efficiency
4.3. Sources, Sink Capacity, and Activity
4.4. Source-Sink Relationship
4.5. Growth Stage
5. Conclusions
Author Contributions
Funding
Data Availability Statement
Acknowledgments
Conflicts of Interest
References
- Angus, J. Nitrogen supply and demand in Australian agriculture. Aust. J. Exp. Agric. 2001, 41, 277–288. [Google Scholar] [CrossRef]
- Eickhout, B.; Bouwman, A.V.; Van Zeijts, H. The role of nitrogen in world food production and environmental sustainability. Agric. Ecosyst. Environ. 2006, 116, 4–14. [Google Scholar] [CrossRef]
- FAOSTAT. FAO Statistical Database. 2023. Available online: https://www.fao.org/faostat/zh/#data/QCL (accessed on 29 March 2023).
- Ramos, C. Effect of agricultural practices on the nitrogen losses to the environment. In Fertilizers and Environment, Proceedings of the International Symposium “Fertilizers and Environment”; Salamanca, Spain, 26–29 September 1994, Springer: Berlin/Heidelberg, Germany, 1996; pp. 355–361. [Google Scholar]
- Stulen, I.; Perez-Soba, M.; De Kok, L.; Van der Eerden, L. Impact of gaseous nitrogen deposition on plant functioning. New Phytol. 1998, 139, 61–70. [Google Scholar] [CrossRef]
- Giles, J. Nitrogen study fertilizes fears of pollution. Nature 2005, 433, 791–792. [Google Scholar] [CrossRef]
- Rosolem, C.A.; Ritz, K.; Cantarella, H.; Galdos, M.V.; Hawkesford, M.J.; Whalley, W.R.; Mooney, S.J. Enhanced plant rooting and crop system management for improved N use efficiency. Adv. Agron. 2017, 146, 205–239. [Google Scholar]
- China Rural Statistical Yearbook. 2021. Available online: http://cnki.nbsti.net/CSYDMirror/trade/yearbook/Single/N2021120010?z=Z009 (accessed on 13 October 2021). (In Chinese).
- Compilation of National Agricultural Product Cost Income Data. Available online: https://www.yearbookchina.com/naviBooklist-YZQGN-0.html (accessed on 23 November 2021). (In Chinese).
- Wang, C.; Zang, H.; Liu, J.; Shi, X.; Li, S.; Chen, F.; Chu, Q. Optimum nitrogen rate to maintain sustainable potato production and improve nitrogen use efficiency at a regional scale in China. A meta-analysis. Agron. Sustain. Dev. 2020, 40, 1–14. [Google Scholar] [CrossRef]
- Zhang, H.; Jing, W.; Zhao, B.; Wang, W.; Xu, Y.; Zhang, W.; Gu, J.; Liu, L.; Wang, Z.; Yang, J. Alternative fertilizer and irrigation practices improve rice yield and resource use efficiency by regulating source-sink relationships. Field Crops Res. 2021, 265, 108124. [Google Scholar] [CrossRef]
- Li, Z.; Pinson, S.R.; Stansel, J.W.; Paterson, A.H. Genetic dissection of the source-sink relationship affecting fecundity and yield in rice (shape Oryza sativa L.). Mol. Breed. 1998, 4, 419–426. [Google Scholar] [CrossRef]
- Yasari, E.; Mozafari, S.; Shafiee, E.; Foroutan, A. Evaluation of sink-source relationship of soybean cultivars at different dates of sowing. Res. J. Agric. Biol. Sci 2009, 5, 786–793. [Google Scholar]
- Durand, M.; Mainson, D.; Porcheron, B.; Maurousset, L.; Lemoine, R.; Pourtau, N. Carbon source–sink relationship in Arabidopsis thaliana: The role of sucrose transporters. Planta 2018, 247, 587–611. [Google Scholar] [CrossRef]
- Wei, H.; Meng, T.; Li, X.; Dai, Q.; Zhang, H.; Yin, X. Sink-source relationship during rice grain filling is associated with grain nitrogen concentration. Field Crops Res. 2018, 215, 23–38. [Google Scholar] [CrossRef]
- Hassanzadehdelouei, M.; Ul-Allah, S.; Madani, A. Cotton fiber quality response to nitrogen depends on source-sink process, boll growth habit, and weather condition. Ind. Crops Prod. 2022, 186, 115279. [Google Scholar] [CrossRef]
- Liu, G.; Yang, Y.; Guo, X.; Liu, W.; Xie, R.; Ming, B.; Xue, J.; Wang, K.; Li, S.; Hou, P. Coordinating maize source and sink relationship to achieve yield potential of 22.5 Mg ha-1. Field Crops Res. 2022, 283, 108544. [Google Scholar] [CrossRef]
- Archontoulis, S.V.; Miguez, F.E. Nonlinear regression models and applications in agricultural research. Agron. J. 2015, 107, 786–798. [Google Scholar] [CrossRef]
- Yin, X.; Goudriaan, J.; Lantinga, E.A.; Vos, J.; Spiertz, H.J. A flexible sigmoid function of determinate growth. Ann. Bot. 2003, 91, 361–371. [Google Scholar] [CrossRef] [PubMed]
- Yin, X.; Guo, W.; Spiertz, J.H. A quantitative approach to characterize sink–source relationships during grain filling in contrasting wheat genotypes. Field Crops Res. 2009, 114, 119–126. [Google Scholar] [CrossRef]
- Shi, W.; Xiao, G.; Struik, P.C.; Jagadish, K.S.; Yin, X. Quantifying source-sink relationships of rice under high night-time temperature combined with two nitrogen levels. Field Crops Res. 2017, 202, 36–46. [Google Scholar] [CrossRef]
- Mao, L.; Zhang, L.; Sun, X.; van der Werf, W.; Evers, J.B.; Zhao, X.; Zhang, S.; Song, X.; Li, Z. Use of the beta growth function to quantitatively characterize the effects of plant density and a growth regulator on growth and biomass partitioning in cotton. Field Crops Res. 2018, 224, 28–36. [Google Scholar] [CrossRef]
- Muleta, H.D.; Aga, M.C. Role of nitrogen on potato production: A review. J. Plant Sci. 2019, 7, 36–42. [Google Scholar]
- Moll, R.; Kamprath, E.; Jackson, W. Analysis and interpretation of factors which contribute to efficiency of nitrogen utilization 1. Agron. J. 1982, 74, 562–564. [Google Scholar] [CrossRef]
- Meng, L. Potato Tuber Formation Mechanism and Its Response to Cultivars and Nitrogen Content. Ph.D. Thesis, Inner Mongolia Agricultural University, Hohhot, China, 2020. (In Chinese). [Google Scholar]
- Men, F.; Liu, M. Potato Cultivation Physiology; China Agriculture Press: Beijing, China, 1995. (In Chinese) [Google Scholar]
- Bowen, W.; Cabrera, H.; Barrera, V.H.; Baigorria, G. Simulating the response of potato to applied nitrogen. In Impact on a Changing World: Program Report 1997–1998; CIP: Lima, Perú, 1999; pp. 381–386. [Google Scholar]
- Möller, K.; Habermeyer, J.; Zinkernagel, V.; Reents, H.-J. Impact and interaction of nitrogen and Phytophthora infestans as yield-limiting and yield-reducing factors in organic potato (Solanum tuberosum L.) crops. Potato Res. 2006, 49, 281–301. [Google Scholar] [CrossRef]
- Jatav, A.; Kushwah, S.; Naruka, I. Performance of potato varieties for growth, yield, quality and economics under different levels of nitrogen. Adv. Res. 2017, 9, 1–9. [Google Scholar] [CrossRef]
- Blumenthal, J.M.; Baltensperger, D.D.; Cassman, K.G.; Mason, S.C.; Pavlista, A.D. Importance and effect of nitrogen on crop quality and health. In Nitrogen in the Environment; Elsevier: Amsterdam, The Netherlands, 2008; pp. 51–70. [Google Scholar]
- Sharma, U.; Arora, B. Effect of nitrogen, phosphorus and potassium application on yield of potato tubers (Solatium tuberosum L.). J. Agric. Sci. 1987, 108, 321–329. [Google Scholar] [CrossRef]
- Lynch, D.; Rowberry, R. Population density studies with Russet Burbank II. The effect of fertilization and plant density on growth, development and yield. Am. Potato J. 1977, 54, 57–71. [Google Scholar] [CrossRef]
- Kleinkopf, G.; Westermann, D.; Dwelle, R. Dry Matter Production and Nitrogen Utilization by Six Potato Cultivars 1. Agron. J. 1981, 73, 799–802. [Google Scholar] [CrossRef]
- Zebarth, B.; Tai, G.; Tarn, R.D.; De Jong, H.; Milburn, P. Nitrogen use efficiency characteristics of commercial potato cultivars. Can. J. Plant Sci. 2004, 84, 589–598. [Google Scholar] [CrossRef]
- Ospina, C.; Lammerts van Bueren, E.; Allefs, J.; Engel, B.V.; Van der Putten, P.; Van der Linden, C.; Struik, P. Diversity of crop development traits and nitrogen use efficiency among potato cultivars grown under contrasting nitrogen regimes. Euphytica 2014, 199, 13–29. [Google Scholar] [CrossRef]
- Vos, J. Nitrogen responses and nitrogen management in potato. Potato Res. 2009, 52, 305–317. [Google Scholar] [CrossRef]
- Cohan, J.; Hannon, C.; Houilliez, B.; Gravoueille, J.; Geille, A.; Lampaert, E.; Laurent, F. Effects of potato cultivar on the components of nitrogen use efficiency. Potato Res. 2018, 61, 231–246. [Google Scholar] [CrossRef]
- Mueller, S.M.; Messina, C.D.; Vyn, T.J. Simultaneous gains in grain yield and nitrogen efficiency over 70 years of maize genetic improvement. Sci. Rep. 2019, 9, 9095. [Google Scholar] [CrossRef]
- Masclaux-Daubresse, C.; Chardon, F. Exploring nitrogen remobilization for seed filling using natural variation in Arabidopsis thaliana. J. Exp. Bot. 2011, 62, 2131–2142. [Google Scholar] [CrossRef]
- Li, W.; Xiong, B.; Wang, S.; Deng, X.; Yin, L.; Li, H. Regulation effects of water and nitrogen on the source-sink relationship in potato during the tuber bulking stage. PLoS ONE 2016, 11, e0146877. [Google Scholar] [CrossRef] [PubMed]
- Van Heemst, H. The distribution of dry matter during growth of a potato crop. Potato Res. 1986, 29, 55–66. [Google Scholar] [CrossRef]
- Li, X.; Zhou, Y.; Shuai, P.; Wang, X.; Peng, S.; Wang, F. Source–Sink Balance Optimization Depends on Soil Nitrogen Condition So as to Increase Rice Yield and N Use Efficiency. Agronomy 2023, 13, 907. [Google Scholar] [CrossRef]
- Ciampitti, I.A.; Vyn, T.J. Physiological perspectives of changes over time in maize yield dependency on nitrogen uptake and associated nitrogen efficiencies: A review. Field Crops Res. 2012, 133, 48–67. [Google Scholar] [CrossRef]
- Oliveira, J.S.; Brown, H.E.; Moot, D.J. Assessing potato canopy growth and development at the individual leaf level to improve the understanding of the plant source–sink relations. N. Z. J. Crop Hortic. Sci. 2021, 49, 325–346. [Google Scholar] [CrossRef]
- Lombardo, S.; Pandino, G.; Mauromicale, G. Optimizing nitrogen fertilization to improve qualitative performances and physiological and yield responses of potato (Solanum tuberosum L.). Agronomy 2020, 10, 352. [Google Scholar] [CrossRef]




| Year | Organic Matter (g·kg−1) | Alkali-Hydrolyzable N (mg·kg−1) | Available P (mg·kg−1) | Available K (mg·kg−1) | pH |
|---|---|---|---|---|---|
| 2019 | 9.76 | 43.75 | 16.13 | 123.46 | 8.00 |
| 2020 | 9.40 | 47.12 | 9.20 | 50.69 | 9.01 |
| 2021 | 15.68 | 53.02 | 21.08 | 62.90 | 8.08 |
| Years | N Rate (kg·ha−1) | Varieties | Yield (t·ha−1) | Tuber Number Per Plant | Weight Per Tuber (g) | Commercial Tuber Rate (%) |
|---|---|---|---|---|---|---|
| 2019 | 0 | J | 24.19 c | 4.20 a | 94.92 c | 35.79 c |
| Y | 10.91 d | 2.23 c | 79.36 c | 9.54 d | ||
| 150 | J | 42.56 b | 4.37 a | 162.66 b | 70.01 ab | |
| Y | 25.81 c | 3.11 b | 138.17 b | 59.89 b | ||
| 300 | J | 54.53 a | 4.35 a | 211.75 a | 83.10 a | |
| Y | 30.35 c | 3.07 b | 167.15 b | 71.86 ab | ||
| 2020 | 0 | J | 14.59 b | 3.65 a | 66.81 b | 14.75 c |
| Y | 6.46 d | 2.03 b | 54.00 c | 1.12 d | ||
| 150 | J | 22.41 a | 3.91 a | 96.30 a | 39.57 b | |
| Y | 8.91 c | 1.96 b | 76.08 b | 13.73 c | ||
| 300 | J | 24.57 a | 3.93 a | 105.63 a | 51.78 a | |
| Y | 8.41 cd | 1.90 b | 74.10 b | 18.22 c | ||
| 2021 | 0 | J | 17.95 cd | 3.78 b | 79.12 c | 29.42 c |
| Y | 10.23 d | 2.22 c | 76.41 c | 21.08 c | ||
| 150 | J | 38.67 b | 4.58 a | 140.27 b | 58.15 b | |
| Y | 18.50 c | 2.56 c | 120.77 b | 53.28 b | ||
| 300 | J | 49.42 a | 4.71 a | 174.15 a | 79.43 a | |
| Y | 23.34 c | 2.63 c | 150.48 b | 61.83 ab | ||
| ANOVA | ||||||
| 2019 | C | *** | *** | ** | ** | |
| R | *** | * | *** | *** | ||
| C × R | ** | ns | ns | ns | ||
| 2020 | C | *** | *** | *** | *** | |
| R | *** | ns | *** | ** | ||
| C × R | ** | ns | ns | ns | ||
| 2021 | C | *** | *** | ns | ns | |
| R | ** | ns | *** | *** | ||
| C × R | ** | ns | ns | ns | ||
| Years | N Rate (kg·ha−1) | Varieties | NUE (g·g N−1) | NUpE (g N·g N−1) | NUtE (g·g N−1) |
|---|---|---|---|---|---|
| 2019 | 150 | J | 16.20 a | 0.055 a | 298.50 a |
| Y | 11.15 b | 0.040 b | 275.03 ab | ||
| 300 | J | 10.10 b | 0.041 b | 245.72 ab | |
| Y | 6.57 c | 0.024 c | 268.86 b | ||
| 2020 | 150 | J | 9.96 a | 0.030 a | 331.09 a |
| Y | 3.89 b | 0.015 c | 261.85 ab | ||
| 300 | J | 5.30 b | 0.022 b | 247.09 b | |
| Y | 2.27 c | 0.010 c | 223.08 ab | ||
| 2021 | 150 | J | 15.54 a | 0.029 a | 534.74 a |
| Y | 11.48 ab | 0.023 ab | 495.73 b | ||
| 300 | J | 9.84 b | 0.022 ab | 452.66 b | |
| Y | 7.79 b | 0.018 b | 439.07 b | ||
| ANOVA | |||||
| 2019 | C | ** | ** | ns | |
| R | *** | ** | * | ||
| C × R | ns | ns | ns | ||
| 2020 | C | *** | *** | * | |
| R | ** | * | ns | ||
| C × R | * | ns | ns | ||
| 2021 | C | * | * | ns | |
| R | * | ns | ns | ||
| C × R | ns | ns | ns | ||
| N Rate (kg·ha−1) | Varieties | Date of Emergence (M/d) | ||
|---|---|---|---|---|
| 2019 | 2020 | 2021 | ||
| 0 | J | 6/6 (36) | 6/14 (36) | 6/12 (37) |
| Y | 6/11 (41) | 6/20 (42) | 6/16 (41) | |
| 150 | J | 6/10 (40) | 6/21 (43) | 6/15 (40) |
| Y | 6/16 (46) | 6/23 (45) | 6/20 (45) | |
| 300 | J | 6/19 (49) | 6/28 (50) | 6/22 (47) |
| Y | 6/21 (51) | 6/30 (52) | 6/25 (50) | |
| Year | N Rate (kg·ha−1) | Varieties | Seeding Stage | Tuber Initiation Stage | Tuber Bulking Stage | Starch Accumulation Stage | ||||||||
|---|---|---|---|---|---|---|---|---|---|---|---|---|---|---|
| Start | Stop | LD | Start | Stop | LD | Start | Stop | LD | Start | Stop | LD | |||
| 2019 | 0 | J | 0 (6/6) | 13 (6/19) | 13 | 13 (6/19) | 41 (7/17) | 28 | 41 (7/17) | 53 (7/29) | 12 | 53 (7/29) | 97 (9/11) | 44 |
| Y | 0 (6/11) | 5 (6/16) | 5 | 5 (6/16) | 27 (7/8) | 22 | 27 (7/8) | 43 (7/24) | 16 | 43 (7/24) | 87 (9/6) | 44 | ||
| 150 | J | 0 (6/10) | 13 (6/23) | 13 | 13 (6/23) | 49 (7/29) | 36 | 49 (7/29) | 58 (8/7) | 9 | 58 (8/7) | 96 (9/14) | 38 | |
| Y | 0 (6/16) | 5 (6/21) | 5 | 5 (6/21) | 31 (7/17) | 26 | 31 (7/17) | 46 (8/1) | 15 | 46 (8/1) | 88 (9/12) | 42 | ||
| 300 | J | 0 (6/19) | 9 (6/28) | 9 | 9 (6/28) | 47 (8/5) | 38 | 47 (8/5) | 58 (8/16) | 11 | 58 (8/16) | 88 (9/15) | 30 | |
| Y | 0 (6/21) | 3 (6/24) | 3 | 3 (6/24) | 26 (7/17) | 23 | 26 (7/17) | 40 (7/31) | 14 | 40 (7/31) | 83 (9/12) | 43 | ||
| 2020 | 0 | J | 0 (6/14) | 16 (6/29) | 15 | 16 (6/29) | 44 (7/28) | 29 | 44 (7/28) | 54 (8/7) | 10 | 54 (8/7) | 90 (9/12) | 36 |
| Y | 0 (6/20) | 6 (6/26) | 6 | 6 (6/26) | 35 (7/25) | 29 | 35 (7/25) | 51 (8/10) | 16 | 51 (8/10) | 82 (9/10) | 31 | ||
| 150 | J | 0 (6/21) | 14 (7/5) | 14 | 14 (7/5) | 50 (8/10) | 36 | 50 (8/10) | 58 (8/18) | 8 | 58 (8/18) | 84 (9/13) | 26 | |
| Y | 0 (6/23) | 5 (6/28) | 5 | 5 (6/28) | 37 (7/30) | 32 | 37 (7/30) | 54 (8/16) | 17 | 54 (8/16) | 81 (9/12) | 27 | ||
| 300 | J | 0 (6/28) | 13 (7/11) | 13 | 13 (7/11) | 48 (8/15) | 35 | 48 (8/15) | 56 (8/23) | 8 | 56 (8/23) | 77 (9/13) | 21 | |
| Y | 0 (6/30) | 7 (7/7) | 7 | 7 (7/7) | 36 (8/5) | 29 | 36 (8/5) | 50 (8/19) | 14 | 50 (8/19) | 71 (9/9) | 21 | ||
| 2021 | 0 | J | 0 (6/12) | 11 (6/23) | 11 | 11 (6/23) | 38 (7/20) | 27 | 38 (7/20) | 47 (7/29) | 9 | 47 (7/29) | 91 (9/11) | 44 |
| Y | 0 (6/16) | 9 (6/25) | 9 | 9 (6/25) | 34 (7/20) | 25 | 34 (7/20) | 42 (7/28) | 8 | 42 (7/28) | 83 (9/7) | 41 | ||
| 150 | J | 0 (6/15) | 9 (6/24) | 9 | 9 (6/24) | 36 (7/21) | 27 | 36 (7/21) | 44 (7/29) | 8 | 44 (7/29) | 88 (9/11) | 44 | |
| Y | 0 (6/20) | 6 (6/26) | 6 | 6 (6/26) | 32 (7/22) | 26 | 32 (7/22) | 42 (8/1) | 10 | 42 (8/1) | 80 (9/8) | 38 | ||
| 300 | J | 0 (6/22) | 8 (6/30) | 8 | 8 (6/30) | 40 (8/1) | 32 | 40 (8/1) | 49 (8/10) | 9 | 49 (8/10) | 82 (9/12) | 33 | |
| Y | 0 (6/25) | 6 (7/1) | 6 | 6 (7/1) | 33 (7/28) | 27 | 33 (7/28) | 44 (8/8) | 11 | 44 (8/8) | 76 (9/9) | 32 | ||
Disclaimer/Publisher’s Note: The statements, opinions and data contained in all publications are solely those of the individual author(s) and contributor(s) and not of MDPI and/or the editor(s). MDPI and/or the editor(s) disclaim responsibility for any injury to people or property resulting from any ideas, methods, instructions or products referred to in the content. |
© 2023 by the authors. Licensee MDPI, Basel, Switzerland. This article is an open access article distributed under the terms and conditions of the Creative Commons Attribution (CC BY) license (https://creativecommons.org/licenses/by/4.0/).
Share and Cite
Liu, K.; Meng, M.; Zhang, T.; Chen, Y.; Yuan, H.; Su, T. Quantitative Analysis of Source-Sink Relationships in Two Potato Varieties under Different Nitrogen Application Rates. Agronomy 2023, 13, 1083. https://doi.org/10.3390/agronomy13041083
Liu K, Meng M, Zhang T, Chen Y, Yuan H, Su T. Quantitative Analysis of Source-Sink Relationships in Two Potato Varieties under Different Nitrogen Application Rates. Agronomy. 2023; 13(4):1083. https://doi.org/10.3390/agronomy13041083
Chicago/Turabian StyleLiu, Kunyu, Meilian Meng, Tingting Zhang, Youjun Chen, Haotian Yuan, and Taimin Su. 2023. "Quantitative Analysis of Source-Sink Relationships in Two Potato Varieties under Different Nitrogen Application Rates" Agronomy 13, no. 4: 1083. https://doi.org/10.3390/agronomy13041083
APA StyleLiu, K., Meng, M., Zhang, T., Chen, Y., Yuan, H., & Su, T. (2023). Quantitative Analysis of Source-Sink Relationships in Two Potato Varieties under Different Nitrogen Application Rates. Agronomy, 13(4), 1083. https://doi.org/10.3390/agronomy13041083

