Crop Residue Removal Effects on Soil Erosion and Phosphorus Loss in Purple Soils Region, Southwestern China
Abstract
1. Introduction
2. Materials and Methods
2.1. Study Area
2.2. Experments Setting
2.3. Soil Sampling
2.4. Soil Physical Properties
2.4.1. Aggregate Indices Calculation
2.4.2. Saturated Hydraulic Conductivity
2.5. Soil Loss Simulation
2.6. Soil Total Phosphorus
2.6.1. TP in the Soil
2.6.2. TP in the Aggregates
2.7. Leaching Experiment
2.8. Statistical Analysis
3. Results
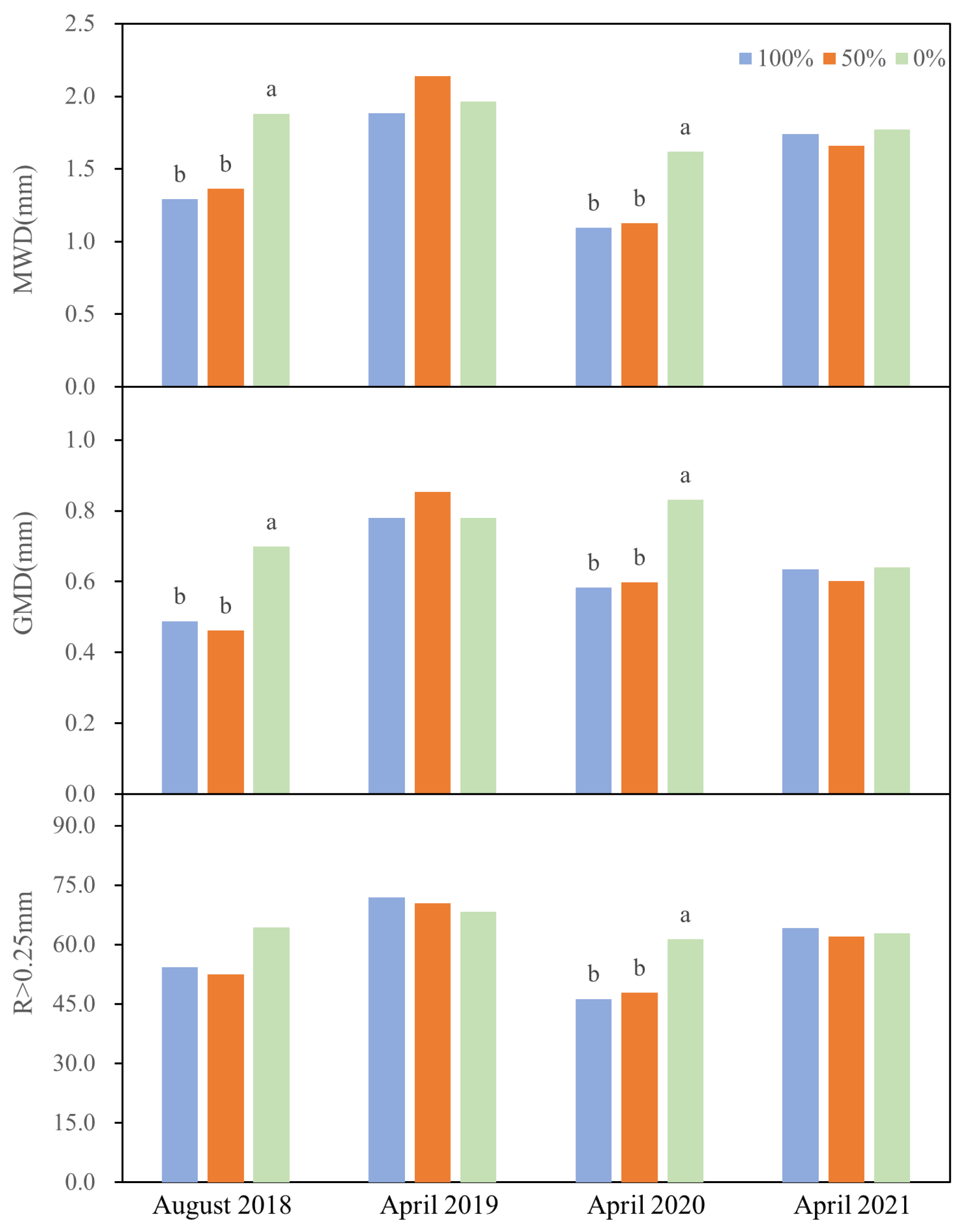
3.1. Water Stability of Soil Aggregates
3.1.1. Parameters of Wet Sieving
3.1.2. Mass Distribution of Soil Aggregates
3.1.3. Saturated Hydraulic Conductivity
3.2. RUSLE 2
3.3. TP Content
3.3.1. Soil TP Concentration
3.3.2. TP Content Percentage of Aggregates
3.4. GMC and GMCd
3.5. TP Concentration of Leaching Liquid
4. Discussion
4.1. Impact of Crop Residue on Soil Aggregate Distribution and Stability
4.2. Impact of Crop Residue on Soil Erosion
4.3. Impact of Straw on TP of Aggregates
5. Conclusions
Author Contributions
Funding
Conflicts of Interest
References
- Zhu, B.; Wang, T.; You, X.; Gao, M.-R. Nutrient release from weathering of purplish rocks in the Sichuan Basin, China. Pedosphere 2008, 18, 257–264. [Google Scholar] [CrossRef]
- He, X.; Zheng, Z.; Li, T.; He, S.; Zhang, X.; Wang, Y.; Huang, H.; Yu, H.; Liu, T.; Lin, C. Transport of colloidal phosphorus in runoff and sediment on sloping farmland in the purple soil area of south-western China. Environ. Sci. Pollut. Res. 2019, 26, 24088–24098. [Google Scholar] [CrossRef] [PubMed]
- Lin, C.; Tu, S.; Huang, J.; Chen, Y. The effect of plant hedgerows on the spatial distribution of soil erosion and soil fertility on sloping farmland in the purple-soil area of China. Soil Tillage Res. 2009, 105, 307–312. [Google Scholar] [CrossRef]
- Zhong, S.; Han, Z.; Duo, J.; Ci, E.; Ni, J.; Xie, D.; Wei, C. Relationships between the lithology of purple rocks and the pedogenesis of purple soils in the Sichuan Basin, China. Sci. Rep. 2019, 9, 13272. [Google Scholar] [CrossRef]
- Guo, Z.L.; Zhong, C.; Cai, C.F.; Ding, S.W.; Wang, Z.M. Nitrogen competition in contour hedgerow systems in subtropical China. Nutr. Cycl. Agroecosyst. 2008, 81, 71–83. [Google Scholar] [CrossRef]
- Fang, Y.R.; Wu, Y.; Xie, G.H. Crop residue utilizations and potential for bioethanol production in China. Renew. Sustain. Energy Rev. 2019, 113, 109288. [Google Scholar] [CrossRef]
- Yin, H.; Zhao, W.; Li, T.; Cheng, X.; Liu, Q. Balancing straw returning and chemical fertilizers in China: Role of straw nutrient resources. Renew. Sustain. Energy Rev. 2018, 81, 2695–2702. [Google Scholar] [CrossRef]
- Liu, J.G.; Diamond, J. China’s environment in a globalizing world. Nature 2005, 435, 1179–1186. [Google Scholar] [CrossRef]
- Bhattacharyya, P.; Chakraborty, A.; Bhattacharya, B.; Chakrabarti, K. Evaluation of MSW compost as a component of integrated nutrient management in wetland rice. Compos. Sci. Util. 2003, 11, 343–350. [Google Scholar] [CrossRef]
- Korsaeth, A.; Eltun, R. Nitrogen mass balances in conventional, integrated and ecological cropping systems and the relationship between balance calculations and nitrogen runoff in an 8-year field experiment in Norway. Agric. Ecosyst. Environ. 2000, 79, 199–214. [Google Scholar] [CrossRef]
- Vitousek, P.M.; Naylor, R.; Crews, T.; David, M.B.; Drinkwater, L.E.; Holland, E.; Johnes, P.J.; Katzenberger, J.; Martinelli, L.A.; Matson, P.A.; et al. Nutrient Imbalances in Agricultural Development. Science 2009, 324, 1519–1520. [Google Scholar] [CrossRef] [PubMed]
- Dalzell, B.J.; Johnson, J.M.F.; Tallaksen, J.; Allan, D.L.; Barbour, N.W. Simulated Impacts of Crop Residue Removal and Tillage on Soil Organic Matter Maintenance. Soil Sci. Soc. Am. J. 2013, 77, 1349–1356. [Google Scholar] [CrossRef]
- Riedell, W.E.; Osborne, S.L.; Dagel, K.J. Maize Residue Removal and Cover Crop Effects on Subsequent Soybean Crops. Agron. J. 2017, 109, 2762–2770. [Google Scholar] [CrossRef]
- Ding, X.; Xue, Y.; Lin, M.; Liu, Y. Effects of Precipitation and Topography on Total Phosphorus Loss from Purple Soil. Water 2017, 9, 315. [Google Scholar] [CrossRef]
- Wei, O.; Cai, G.-Q.; Huang, H.-B.; Geng, X.-J. Temporal-spatial distribution of agricultural diffuse nitrogen pollution and relationship with soil respiration and nitrification. Huan Jing Ke Xue 2014, 35, 2411–2418. [Google Scholar]
- Guo, Z.; Liu, H.; Hua, K.; Wang, D.; He, C. Long-term straw incorporation benefits the elevation of soil phosphorus availability and use efficiency in the agroecosystem. Span. J. Agric. Res. 2018, 16, e1101. [Google Scholar] [CrossRef]
- Fu, B.; Chen, L.; Huang, H.; Qu, P.; Wei, Z. Impacts of crop residues on soil health: A review. Environ. Pollut. Bioavailab. 2021, 33, 164–173. [Google Scholar] [CrossRef]
- Sims, J.T.; Edwards, A.C.; Schoumans, O.F.; Simard, R.R. Integrating soil phosphorus testing into environmentally based agricultural management practices. J. Environ. Qual. 2000, 29, 60–71. [Google Scholar] [CrossRef]
- Bos, J.; Williams, M.; Smith, D.; Armstrong, S.; Harmel, D. Long-term effect of poultry litter application on phosphorus balances and runoff losses. J. Environ. Qual. 2021, 50, 639–652. [Google Scholar] [CrossRef]
- Lin, C.; Defu, L.; Linxu, S.; Yujie, C.; Ge, Z. Research on nutrient export mechanism of runoff from yellow-brown soil slopes under different rain intensity. Environ. Sci. 2013, 34, 2151–2158. (In Chinese) [Google Scholar] [CrossRef]
- Lin, C.; Linxu, S.; Yujie, C.; Biao, Z.; Xiaoming, Z.; Defu, L. Research on phosphorus loss patterns in yellow-brown soil slopes under simulated rainfall conditions. J. Agro-Environ. Sci. 2013, 32, 49–55. (In Chinese) [Google Scholar]
- Sims, J.T. Phosphorus soil testing: Innovations for water quality protection. Commun. Soil Sci. Plant Anal. 1998, 29, 1471–1489. [Google Scholar] [CrossRef]
- Szerlag, K.D.; Elavarthi, M.; Siebecker, M.G.; Gu, C.; McCrone, C.; Sparks, D.L. Systematic Study of Legacy Phosphorus (P) Desorption Mechanisms in High-P Agricultural Soils. Minerals 2022, 12, 458. [Google Scholar] [CrossRef]
- Chen, M.; Li, Y.; Wang, C.; Walter, T. An investigation of the effects of humic acid on soil erosion and loss of phosphorus from soil to runoff: Experiment and modeling. Geoderma 2022, 427, 116121. [Google Scholar] [CrossRef]
- Dunkerley, D. The case for increased validation of rainfall simulation as a tool for researching runoff, soil erosion, and related processes. Catena 2021, 202, 105283. [Google Scholar] [CrossRef]
- Wang, J.; Wang, D.; Zhang, G.; Wang, Y.; Wang, C.; Teng, Y.; Christie, P. Nitrogen and phosphorus leaching losses from intensively managed paddy fields with straw retention. Agric. Water Manag. 2014, 141, 66–73. [Google Scholar] [CrossRef]
- Zhang, P.; He, Y.; Ren, T.; Wang, Y.; Liu, C.; Li, N.; Li, L. The Crop Residue Removal Threshold Ensures Sustainable Agriculture in the Purple Soil Region of Sichuan, China. Sustainability 2021, 13, 3799. [Google Scholar] [CrossRef]
- Cao, D.; Lan, Y.; Sun, Q.; Yang, X.; Chen, W.; Meng, J.; Wang, D.; Li, N. Maize straw and its biochar affect phosphorus distribution in soil aggregates and are beneficial for improving phosphorus availability along the soil profile. Eur. J. Soil Sci. 2021, 72, 2165–2179. [Google Scholar] [CrossRef]
- Li, Y.; Wang, J.; Shao, M.a. Earthworm inoculation and straw return decrease the phosphorus adsorption capacity of soils in the Loess region, China. J. Environ. Manag. 2022, 312, 114921. [Google Scholar] [CrossRef]
- Wang, S.L.; Liu, Y.H.; Song, X.L.; Wei, S.B.; Li, J.P.; Nie, J.J.; Qin, D.L.; Sun, X.Z. Effects of cotton straw returning on soil organic carbon, nitrogen, phosphorus and potas-sium contents in soil aggregates. Ying Yong Sheng Tai Xue Bao 2016, 27, 3944–3952. [Google Scholar] [CrossRef]
- Matula, S.; Mihalikova, M.; Lufinkova, J.; Batkova, K. The role of the initial soil water content in the determination of unsaturated soil hydraulic conductivity using a tension infiltrometer. Plant Soil Environ. 2015, 61, 515–521. [Google Scholar] [CrossRef]
- Kinnell, P.I.A. Event soil loss, runoff and the Universal Soil Loss Equation family of models: A review. J. Hydrol. 2010, 385, 384–397. [Google Scholar] [CrossRef]
- Wischmeier, W.H. Relation of Field-Plot Runoff to Management and Physical Factors. Soil Sci. Soc. Am. Proc. 1966, 30, 272–277. [Google Scholar] [CrossRef]
- Wischmeier, W.H.; Mannering, J.V. Relation of Soil Properties to Its Erodibility. Soil Sci. Soc. Am. Proc. 1969, 33, 131–137. [Google Scholar] [CrossRef]
- Wenbo, Z.; Yun, X.; Baoyuan, L. Rainfall Erosivity Estimation Using Daily Rainfall Amounts. Sci. Geogr. Sin. 2002, 22, 705–711. [Google Scholar] [CrossRef]
- Shirazi, M.A.; Boersma, L. A Unifying Quantitative-Analysis of Soil Texture. Soil Sci. Soc. Am. J. 1984, 48, 142–147. [Google Scholar] [CrossRef]
- Liu, B.Y.; Nearing, M.A.; Risse, L.M. Slope Gradient Effects on Soil Loss for Steep Slopes. Trans. Asae 1994, 37, 1835–1840. [Google Scholar] [CrossRef]
- McCool, D.K. Effects of Slope Length and Steepness on Soil-Erosion from Rangelands. In Proceedings of the Workshop on Estimating Erosion and Sediment Yield on Rangelands, Tucson, Arizona, 7–9 March 1981; U.S. Department of Agriculture: Washington, DC, USA, 1982; pp. 73–95. [Google Scholar]
- Wischmeier, W.H. The Usle—Some Reflections. J. Soil Water Conserv. 1984, 39, 105–107. [Google Scholar]
- Li, P.; Zang, Y.; Ma, D.; Yao, W.; Holden, J.; Irvine, B.; Zhao, G. Soil erosion rates assessed by RUSLE and PESERA for a Chinese Loess Plateau catchment under land-cover changes. Earth Surf. Process. Landf. 2020, 45, 707–722. [Google Scholar] [CrossRef]
- Voltoini, M.; Tas, N.; Wang, S.; Brodie, E.L.; Ajo-Franklin, J.B. Quantitative characterization of soil micro-aggregates: New opportunities from sub-micron resolution synchrotron X-ray microtomography. Geoderma 2017, 305, 382–393. [Google Scholar] [CrossRef]
- Xia, R.; Shi, D.; Ni, S.; Wang, R.; Zhang, J.; Song, G. Effects of soil erosion and soil amendment on soil aggregate stability in the cultivated-layer of sloping farmland in the Three Gorges Reservoir area. Soil Tillage Res. 2022, 223, 105447. [Google Scholar] [CrossRef]
- Zhang, P.; Wei, T.; Jia, Z.; Han, Q.; Ren, X. Soil aggregate and crop yield changes with different rates of straw incorporation in semiarid areas of northwest China. Geoderma 2014, 230, 41–49. [Google Scholar] [CrossRef]
- Olson, K.R.; Al-Kaisi, M.M. The importance of soil sampling depth for accurate account of soil organic carbon sequestration, storage, retention and loss. Catena 2015, 125, 33–37. [Google Scholar] [CrossRef]
- Miller, J.J.; Owen, M.L.; Yang, X.M.; Drury, C.F.; Chanasyk, D.S.; Willms, W.D. Water Repellency and Hydrophobicity of Some Major Agricultural Crop Residues. Agron. J. 2019, 111, 3008–3019, Erratum in Agron. J. 2020, 112, 1474. [Google Scholar] [CrossRef]
- Ibrahim, V.E.; Osborne, S.L.; Schumacher, T.E.; Riedell, W.E. Corn Residue Removal Effects on Hydraulically Effective Macropores. Commun. Soil Sci. Plant Anal. 2018, 49, 1491–1501. [Google Scholar] [CrossRef]
- Kavian, A.; Gholami, L.; Mohammadi, M.; Spalevic, V.; Falah Soraki, M. Impact of Wheat Residue on Soil Erosion Processes. Not. Bot. Horti Agrobot. Cluj-Napoca 2018, 46, 553–562. [Google Scholar] [CrossRef]
- Zhao, X.; Liu, S.-L.; Pu, C.; Zhang, X.-Q.; Xue, J.-F.; Ren, Y.-X.; Zhao, X.-L.; Chen, F.; Lal, R.; Zhang, H.-L. Crop yields under no-till farming in China: A meta-analysis. Eur. J. Agron. 2017, 84, 67–75. [Google Scholar] [CrossRef]
- Khan, M.N.; Gong, Y.; Hu, T.; Lal, R.; Zheng, J.; Justine, M.F.; Azhar, M.; Che, M.; Zhang, H. Effect of Slope, Rainfall Intensity and Mulch on Erosion and Infiltration under Simulated Rain on Purple Soil of South-Western Sichuan Province, China. Water 2016, 8, 528. [Google Scholar] [CrossRef]
- Luo, B.; Han, Z.; Yang, J.; Wang, Q. Assessment of Erosion Characteristics in Purple and Yellow Soils Using Simulated Rainfall Experiments. Int. J. Environ. Res. Public Health 2022, 19, 357. [Google Scholar] [CrossRef]
- Liu, J.; Sui, P.; Cade-Menun, B.J.; Hu, Y.; Yang, J.; Huang, S.; Ma, Y. Molecular-level understanding of phosphorus transformation with long-term phosphorus addition and depletion in an alkaline soil. Geoderma 2019, 353, 116–124. [Google Scholar] [CrossRef]
- Ranatunga, T.D.; Reddy, S.S.; Taylor, R.W. Phosphorus distribution in soil aggregate size fractions in a poultry litter applied soil and potential environmental impacts. Geoderma 2013, 192, 446–452. [Google Scholar] [CrossRef]
- Klopp, H.W.; Blanco-Canqui, H. Implications of crop residue removal on soil physical properties: A review. Soil Sci. Soc. Am. J. 2022, 86, 979–1001. [Google Scholar] [CrossRef]









| Texture and Property | Value | Unit |
|---|---|---|
| Sand (20–2000 ) | 42 | |
| Silt (2–20 ) | 26 | |
| Clay (<2 ) | 32 | |
| Weight moisture content | 18.65 | |
| Dry density | 1.14 | |
| Total N | 115 | |
| Total P | 420 | |
| SOC | 22.07 | |
| IC | 29.11 |
| Texture and Property | Unit |
|---|---|
| 29 April 2018 | Initial soil sampling |
| 15 May 2018 | Canola residue removal |
| 5 August 2018 | Soil sampling |
| 21 August 2018 | Maize harvesting |
| 28 August 2018 | Maize residue removal |
| 23 April 2019 | Soil sampling and canola harvesting |
| 11 May 2019 | Canola residue removal |
| 18 August 2019 | Maize harvesting |
| 27 August 2019 | Maize residue removal |
| 28 April 2020 | Soil sampling |
| 30 April 2020 | Canola harvesting |
| 1 May 2020 | Canola residue removal |
| 20 August 2019 | Maize harvesting |
| 23 August 2020 | Maize residue removal |
| 29 April 2021 | Soil sampling and canola harvesting |
| 8 May 2020 | Canola residue removal |
| θ | m |
|---|---|
| θ 0.5° | 0.2 |
| 0.5° θ 1.5° | 0.3 |
| 1.5° θ 2.5° | 0.4 |
| θ 2.5° | 0.5 |
| Time | Removal | Soil Aggregate Soil Particle Size | |||||
|---|---|---|---|---|---|---|---|
| >5 mm | 2–5 mm | 1–2 mm | 0.5–1 mm | 0.25–0.5 mm | <0.25 mm | ||
| August 2018 | 100% | 6.27 | 14.09 b | 8.54 | 12.75 | 12.69 | 45.67 |
| 50% | 7.59 | 14.07 b | 7.60 | 10.80 | 12.47 | 47.47 | |
| 0% | 11.47 | 19.84 a | 10.18 | 11.73 | 11.13 | 35.65 | |
| April 2019 | 100% | 10.97 | 19.05 | 12.23 a | 16.93 | 12.74 | 28.08 |
| 50% | 15.25 | 18.65 | 10.22 b | 14.23 | 12.03 | 29.63 | |
| 0% | 17.99 | 19.33 | 11.35 b | 14.03 | 10.25 | 27.05 | |
| April 2020 | 100% | 3.39 | 11.77 | 6.65 | 13.68 | 10.82 b | 53.70 a |
| 50% | 4.55 | 11.24 | 5.85 | 10.15 | 16.03 a | 52.20 a | |
| 0% | 4.32 | 12.61 | 10.52 | 18.31 | 15.54 a | 38.70 b | |
| April 2021 | 100% | 11.18 | 16.27 | 8.71 | 13.81 | 14.20 | 35.83 |
| 50% | 10.09 | 16.14 | 9.21 | 13.53 | 13.09 | 37.95 | |
| 0% | 11.46 | 16.54 | 9.50 | 13.15 | 12.15 | 37.21 | |
Disclaimer/Publisher’s Note: The statements, opinions and data contained in all publications are solely those of the individual author(s) and contributor(s) and not of MDPI and/or the editor(s). MDPI and/or the editor(s) disclaim responsibility for any injury to people or property resulting from any ideas, methods, instructions or products referred to in the content. |
© 2023 by the authors. Licensee MDPI, Basel, Switzerland. This article is an open access article distributed under the terms and conditions of the Creative Commons Attribution (CC BY) license (https://creativecommons.org/licenses/by/4.0/).
Share and Cite
He, Y.; Yang, K.; Zhuang, W.; Liu, C.; Li, L.; Zhang, C.; Li, M. Crop Residue Removal Effects on Soil Erosion and Phosphorus Loss in Purple Soils Region, Southwestern China. Agronomy 2023, 13, 1137. https://doi.org/10.3390/agronomy13041137
He Y, Yang K, Zhuang W, Liu C, Li L, Zhang C, Li M. Crop Residue Removal Effects on Soil Erosion and Phosphorus Loss in Purple Soils Region, Southwestern China. Agronomy. 2023; 13(4):1137. https://doi.org/10.3390/agronomy13041137
Chicago/Turabian StyleHe, Yuxin, Kaicheng Yang, Wenhua Zhuang, Chao Liu, Longguo Li, Chi Zhang, and Mingming Li. 2023. "Crop Residue Removal Effects on Soil Erosion and Phosphorus Loss in Purple Soils Region, Southwestern China" Agronomy 13, no. 4: 1137. https://doi.org/10.3390/agronomy13041137
APA StyleHe, Y., Yang, K., Zhuang, W., Liu, C., Li, L., Zhang, C., & Li, M. (2023). Crop Residue Removal Effects on Soil Erosion and Phosphorus Loss in Purple Soils Region, Southwestern China. Agronomy, 13(4), 1137. https://doi.org/10.3390/agronomy13041137

