Abstract
Nitrogen (N) is one of the most limiting nutrients for cereal production, especially in wheat, which is one of the main crops cultivated globally. To achieve high yields, wheat requires a certain amount of nitrogen (N), as N deficiency can lead to a decrease in yield and thus reduce income for farmers. In contrast, excessive applications of N fertilizer can be detrimental to both terrestrial and aquatic environments. To optimize N fertilizer applications in wheat, a three-year field experiment was conducted to evaluate the impact of different N fertilization strategies on various N-related physiological and agronomic traits. Moreover, to optimize N utilization efficiency while maintaining crop productivity, a mixture of five winter wheat varieties was used to mitigate the possible impact of environmental constraints. These strategies were based on a simultaneous increase in N fertilization and N fertilizer fractionation at key stages of plant development in a soil conservation agriculture (SCA) system in which legumes were grown prior to the cultivation of the main crop. In this SCA system, we observed that 200 kgN·ha−1 was optimal for both N use efficiency (NUE) and aerial and grain biomass production. Moreover, we found that at this level of N fertilization, of the application strategies, a 40%/40%/20% split application at full tillering, at the first node, and at booting, respectively, appeared to be the best option for the highest plant productivity.
1. Introduction
Wheat (Triticum aestivum L.) is one of the most cultivated crops in Europe. It is also the most important crop throughout the world. According to a report by the Food and Agriculture Organization (FAO) in 2022, global wheat production was at 777 million tons [1], and of this production, 32.9 million tons were produced in France [2]. Moreover, France is the fourth greatest wheat exporter in the world. Currently, wheat producers are extensively utilizing mineral fertilizers, together with mixed varieties, to obtain high yields. However, such highly productive agriculture can result in major threats to the environment when mineral N fertilizers are applied in excess to the soil [3].
Among the macronutrients that are essential for plant growth and development, N is one of the most important as it is used to synthesize all proteins in grain crops such as wheat, including the proteins present in storage organs [4,5]. The incorporation of N into storage organs, which represent one of the main sources of proteins for many living organisms, including humans, involves three main biological processes occurring in the plant, namely, absorption, assimilation, and remobilization [6,7]. Within most agricultural systems, in the 0–30 cm loamy soil layer, the amount of total N (organic and mineral) can represent up to 3 to 5 tons per hectare [8]. However, the bioavailable N fractions for a crop, i.e., the mineral forms of N, which are nitrate (NO3−) and ammonium (NH4+), are often limited to existing in quantities of 10 to 300 kg·ha−1 [9,10]. Exploiting this source of N to limit the costly overuse of synthetic fertilizers, which can be detrimental to the environment, is possible when conservation agriculture practices are used instead of conventional practices [11].
Soil conservation agriculture (SCA) was developed to maintain or even improve yields while at the same time preserving both the environment and the soil properties [12,13]. Compared to crop production based on tillage (conventional tillage: CT), no-till practices reduce labor time, fuel usage [14], and greenhouse gas emissions [15,16] and promote soil microorganism diversity [17]. In particular, tillage reduction that is combined with the use of cover crops enhances the symbiotic interactions between crops and the microbial and fungal communities present in the rhizosphere, both in a temporal and structural manner [18,19]. Moreover, in SCA, the use of cover crops increases the quantity of soil organic matter, notably organic N, which is further mineralized in a form readily usable by the crop to ensure its optimal growth and development [20]. Under such conditions, N mineralization is enhanced over a longer period, which in the end meets plant N requirements more efficiently and limits losses through leaching or volatilization [21], particularly for spring cultivation. Another key aspect of SCA development is the use of a mixture of wheat cultivars, instead of a single cultivar. It has been suggested that the use of such a mixture of cultivars increases the capacity of wheat to overcome biotic and abiotic stresses [22,23]. In line with this hypothesis, increases in crop yield, grain quality, and disease resistance have often been observed when mixed cultivars are used [23,24,25]. The use of a mixture of cultivars also indicates that there is a need to exploit more extensively the existing genetic variability in wheat varieties to select those exhibiting the highest N use efficiency [3,26].
In France, when SCA is used by farmers, several key factors need to be optimized to achieve yields comparable to those obtained with traditional tillage systems (more than 10 tons of grain per ha), specifically in the most productive deep clayey loamy soils. Under SCA conditions, we have previously demonstrated that wheat and maize nitrogen use efficiency (NUE), photosynthetic nitrogen use efficiency (PNUE), and water use efficiency (WUE) are not limiting when compared to these values whilst using intensive plowing systems and that they could be even higher [27,28,29]. In the present study, we have thus conducted field trials based on the SCA practices currently used in France. These practices are based on two or three splits of N fertilizers at key stages of wheat development, depending on the amounts of N fertilizers applied [30]. Thus, assessing the impact of these different modes of N fertilizer application on plant agronomic performance can allow us to determine which N level and splitting pattern are optimal for obtaining the highest yields [31]. Determining these optimal conditions will ultimately allow us to minimize the possible environmental damage generally occurring when N fertilizer is applied in excess [32]. Moreover, sowing different genotypes may increase biodiversity and lead to ecological services, which represents a pivotal feature of SCA. However, when using mixed wheat varieties under SCA, N fertilization should be better fine-tuned as each of these varieties could have different needs during their developmental cycle. Consequently, they could asynchronously reach these needs during plant growth and development by interacting more efficiently with the environment, notably by coping with various biotic and abiotic stresses [33].
To achieve this objective, field experiments were conducted over three years to find the best N rate for a mixture of five different wheat varieties under SCA and to determine if this N rate could be more efficient if different N splitting patterns were applied throughout the crop cycle.
2. Materials and Methods
This study was performed using a SCA system, which was characterized by the use of legume cover crops prior to the cultivation of the main crop consisting of a mixture of five different wheat varieties. Such a mixture was used to optimize yield while mitigating the possible negative impact of environmental constraints on crop productivity, which can occur when a single cultivar is grown. During plant growth and development, key physiological parameters related to NUE and agronomic traits related to biomass and grain production were measured when different levels of N fertilization and modes of N fertilizer splitting were applied.
2.1. Site Characteristics
This study was carried out in an experimental field located in the Hauts-de-France region (Voyennes; latitude: 49.757098°; longitude: 2.995365°; altitude: 68 m) (Figure 1A). The 0–30 cm soil layer (NF ISO 31-101) is characterized by 43.67% coarse silt, 25.28% fine silt, 19.5% clay, 9.38% fine sand, 2.53% coarse sand, 0.45% total limestone (CaCO3) (NF ISO 31-107), 0.84% organic carbon (NF ISO 14235), 1.46% organic matter (NF ISO 14235), and a pH of 8.1 (NF ISO 10390).
Figure 1.
Geographical and climatic environment of the study area. (A) This study was carried out in the city of Voyennes (80), Hauts de France region (latitude: 49.757098°; longitude: 2.995365°; altitude: 68 m). (B) The crop cycle of wheat received 2714.2 GDD (growing degree day) and 434.5 mm of water in 2019, (C) 2715.2 GDD and 411.0 mm of water in 2020, and (D) 2512.8 GDD and 572.0 mm of water in 2021. (B–D) The climate records from 2019 to 2021 indicated an average daily temperature of 11.3 °C with an average cumulative rainfall per year of 610.7 mm.
The climate in this region is continental (type D according to Koppen climate classification). From 2019 to 2021, the climate records indicated an average daily temperature of 11.3 °C (Figure 1). The average cumulative annual rainfall was 610.7 mm. Dominated by industrial-oriented agricultural crops, such as potatoes, beets, peas, and wheat, this plot has historically recorded SCA practices for 8 years (2014) since stopping tillage (plow + rotary harrow). Using SCA, the farmers establish a spring cover crop: a mixture of spring oats (IAPAR 61, Caussade Semences, Lescar, France), common vetch (Carelie, Semences de France, La Chapelle d’Armentières, France), berseem clover (LORENA, Semences de France, La Chapelle d’Armentières, France), Camelina, Abyssinian mustard, fava bean, phacelia, field pea, and sunflower.
2.2. Experimental Design
The field experiment was conducted using a randomized complete block design that involved 6 microplots (1 per mode of N fertilization), each with 5 replicates for each microplot (N = 6 × 5 = 30) in 2019, and then 8 microplots (1 per mode of N fertilization), each with 5 replicates for each microplot (N = 8 × 5 = 40) in 2020 and 2021, respectively. The same field was used over the 3 years and 2 microplots were added in 2020 and 2021, following the results obtained in 2019. There was a distance of 1 m between the different microplots and of 1.50 m between the 5 replicates (Figure 2B–D).
Figure 2.
Presentation of the experimental design showing (A) the different levels of N fertilization (kg·ha−1) and the different N fertilization splitting patterns (%). Presentation of the different modes of N fertilization. Field trials performed in (B) 2019, (C) 2020, and (D) 2021. N0 = 0 kgN·ha−1 (control); N50S1 = 50 kgN·ha−1; N100S1 = 100 kgN·ha−1; N150S1 = 150 kgN·ha−1; N200S1 = 200 kgN·ha−1; N200S2 = 200 kgN·ha−1; N200S3 = 200 kgN·ha−1; N250S1 = 250 kgN·ha−1; and S1, S2, and S3 = N splitting pattern expressed in % of the total N applied with S1 = 40/40/20; S2 = 50/30/20; and S3 = 50/50/0, respectively.
Two variables were considered during the complete cultural wheat cycle represented by (i) the level of N fertilization and (ii) the splitting patterns of N fertilization (Figure 2A). The different doses used annually were always the same: N0, 0 kg·ha−1 (control); N50, 50 kg·ha−1; N100, 100 kg·ha−1; N150, 150 kg·ha−1; N200, 200 kg·ha−1; and N250, 250 kg·ha−1 (Figure 2A). However, in the second and third years of this study (2020 and 2021), we applied three different nitrogen fertilizer fractionations of the N200 dose, which in the first year of this study (2019) resulted in the best yield with the best NUE and NUtE for the lower dose of N fertilizer (N200). Thus, we hypothesized that NUE and NUtE could be relevant indicators for achieving the highest wheat yields in SCA, and we applied three splitting variations as S1 (40%/40%/20%), S2 (50%/30%/20%), and S3 (50%/50%/0%) for the first, the second, and the third fertilizer applications, respectively, as presented in Figure 2B–D.
For the 15N-labelling experiments, N fertilization was performed manually in each microplot, excluding controls (N0). The N fertilizer, composed of ammonium nitrate granules (≥98.5%) (VWR international SAS; Radnor, USA), was enriched to 1% 15N (15NH415NO3; E0 = 1%; A = 1.366; CORTECNET ≥98%; lot: MBBB5993V) [34]. This was dissolved in tap water for a 2 L·m−2 supply. The control was dissolved in the same amount of water as that used for the different modes of N fertilization presented above. The three applications were carried out according to the development of wheat: full tillering (Zadok 29: after 140 days from sowing); the first node (Zadok 31: after 200 days from sowing); and booting (flag leaf sheath extension, Zadok 41: after 220 days from sowing) [35]. Details concerning the number of days between each nitrogen supply are presented in Table S1.
2.3. Seed Preparation and Crop Management
Winter wheat (Triticum aestivum L., soft type) was sown over the 3 years of the experiment with an inter-row of 15 cm and approximately 200 plants·m−2. The sowing dates were the 23rd of October 2018, the 26th of October 2019, and the 6th of November 2020. Sowing was carried out by GPS with a real-time kinematic system (RTK system uses a fixed base station and a rover to reduce the tractor’s position error, and the base station transmits correction data to the tractor for centimetric precision).
Five mixed varieties of winter wheat seeds were sown: Chevignon (Saaten Union, Isernhagen, Allemagne), Fructidor (Unisigma, Froissy, France), Dakotana (KWS Momont, Einbeck, Allemagne), Terroire (Florimond Desprez, Cappelle-en-Pévèle, France), and Lyrik (Agri-Obtentions, Guyancourt, France), with approximately 40 grains·m−2 for each variety [23,24,25]. Over the three years of the experiment, the main crop directly preceding the wheat crop, which was grown from April to August, was pea (Pisum sativum L. var. Zonvert, Syngenta). The technical management of the phytosanitary treatments of the wheat plant mixture was carried out by the farmer in a conventional manner (herbicide use, fungicides, and insecticides). The phytosanitary treatment of the crops was managed in a strictly equivalent manner throughout the experimental design. Superficial tillage was carried out following mulching of the pea cover crop and direct seeding of wheat according to the SCA guidelines [12]. No potassium or phosphorus fertilization was applied during the cultivation of the wheat.
2.4. Data Collection and Chemical Analysis
2.4.1. Determination of Nitrogen Fluxes in the Plant
Each year, plant samplings (vegetative organs and grains) were carried out at plant maturity (Zadoks 99) [35]. In each of the five microplots of 1 m2, 1 out of the 5 rows was harvested to obtain the 5 replicates for data analysis. The grains were separated from the shoots. Shoot and grain samples were dried in a ventilated oven at 40 °C for 3 days and then weighed to determine total aboveground and grain dry biomass (NAVIGATOR XT NVT3201 OHAUS). Each shoot and grain sample was then ground into a powder (0.02 mm) before being analyzed for total N content and 15N isotopic enrichment using a CN elemental analyzer (Dumas combustion method, Flash EA 1112, Thermo ELECTRON, Germany) coupled with an isotopic ratio mass spectrometer (IRMS) (DELTA-V IRMS, Thermo ELECTRON, Germany).
2.4.2. Soil Sampling and Chemical Analyses
Each year, two soil samples were collected to determine the N content as follows: one sample was collected in early March before the first N fertilizer application, and the other sample was collected on the day of harvest. On each of these two sampling dates, three soil cores were collected at depths of 0–30 cm and 30–60 cm. Soil sampling was performed randomly in each microplot using a precision soil auger of 2 cm in diameter (Agro-sonde VMA3H18/7; AGRO-Systèmes, France). The soil samples were then sieved (2 mm mesh sieve) and divided into two parts, one for analysis of total N content and the other for mineral (NO3− and NH4+) N content.
To determine total soil N, the sieved soil samples were dried in a ventilated oven at 35 °C for 72 h and ground using a ball mill (MM 400; Retsch, Germany). Total N and 15N enrichment were measured as described for the analysis of the plant samples.
For the soil N mineral content measurements, samples of 20 g of fresh soil were extracted with 100 mL of 1 M KCl (Potassium chlorure ≥ 99.5%, Honeywell Chemicals, NJ, USA). After stirring for 1 h 30 min, the extracts were centrifuged for 7 min at 4000 rpm. Finally, the supernatant was extracted and analyzed by a continuous flow analytical system with a colorimetric method at the LDAR laboratory (Laon, France) [36,37]. The bulk densities of the soil and humidity were determined after drying the soil samples in an oven at 105 °C for 72 h. (EIJKELKAMP 070153NN; Agrisearch Equipment, The Netherlands). The soil mineral N was used to calculate the parameters related to plant NUE nitrogen efficiency parameters [38].
2.5. Calculations and Data Analysis
Labeled fertilizer N recovery (15NREC) parameters were calculated according to [39]:
where Nt is the total N content of the plant at maturity (kg·ha−1), 15NF is the %15N in the fertilized plants, 15NNF is the %15N in the non-fertilized plants, 15NFe is the %15N in the fertilizer, and F is the amount of fertilizer added to the soil (kgN·ha−1). Additionally, %Ndff is the percentage of N derived from the fertilizer recovered in the plant.
Nitrogen efficiency parameters were calculated according to Moll et al. and Martinez-Feria et al. [40,41] using the following formulas:
According to Moll [40], nitrogen use efficiency (NUE) is represented by two components: N uptake efficiency (NUpE) and N utilization efficiency (NUtE). Nitrogen use efficiency was calculated by dividing grain biomass (GB) (kg·ha−1) by the amount of N derived from the fertilizer (Nf) (kg·ha−1) plus the N remaining in the soil after harvest (Nr) (kg·ha−1) plus the N remaining in the unfertilized control plant (Nc) (kg·ha−1). NUtE was calculated by dividing grain biomass (GB) by the plant N content (NT) (kg·ha−1). NUpE was determined by dividing the plant N content (NT) by the N derived from the fertilizer (Nf) plus the remaining soil N after harvest (Nr) plus the N remaining in the unfertilized control plant (Nc).
After checking the normality of the data distribution, data from each year were analyzed separately after verifying the significant effect of the “year of experimentation” (i.e., 2020 and 2021) as an explanatory variable regarding the studied parameters. All of the parameters were analyzed using an analysis of variance (ANOVA) test, followed by Tukey’s HSD.
All statistical analyses were performed using the “car”, “ggplot2″, “gridExtra”, “Matrix”, “MuMIn”, “reshape2″, and “stats” packages in the R software environment version 3.4.1 (R Core Team, 2017).
3. Results
3.1. Grain Production and Nitrogen Uptake According to Fertilization Mode
The effect of different N fertilization strategies (combined levels of N fertilization and N splitting) on grain biomass production in a mixture composed of five wheat cultivars was studied over three consecutive years of a field experiment (Figure 3). First of all, we found that the “year of experimentation” (i.e., 2020 and 2021) had a significant impact, as an explanatory variable, on both crop yield and NUE-related traits. The first preliminary trial was conducted in 2019 to determine the level of N fertilization for which grain production was the highest. In this trial, a single mode of N splitting (S1) was used, corresponding to 40%/40%/20% spanning the plant developmental period at the full tillering (Zadok 29), first node (Zadok 31), and booting (flag leaf sheath extending, Zadok 41) stages, respectively. The highest grain production was obtained with 200 kgN·ha−1 and was thus used in the two subsequent years, during which the best yield was also obtained (N200S1). In addition, we observed that with S1, there was a gradual increase of up to 51% in grain production from N0 to N200, even though the final yields were variable from one year to the other. We also observed that over the three years of the experiment, higher amounts of N fertilizer (250 kgN·ha−1) did not improve grain production, as 15% and 6% decreases in yield were obtained in 2019 and 2020, respectively (i.e., when comparing yields between N200S1 and N250S1).
Figure 3.
Bar plots showing grain yield according to different modes of N fertilization (N0 to N250) combined with N splitting (S1, S2, and S3) over three consecutive years. Different letters on top of the bars correspond to significant differences (p < 0.05) between the levels of N fertilization applied. See Materials and Methods and Figure 2 for the meaning of the abbreviations.
The impact of the different modes of N fertilization on grain N content was then analyzed (Figure 4). The pattern of grain N accumulation was similar to that observed for grain yield except in the N250S1 treatment, for which the grain N content was slightly higher than that obtained in the N200S1 treatment in 2021. One could therefore conclude that for the grain N content, the N200S1 treatment can be considered the most efficient.
Figure 4.
Bar plots showing the N grain content according to different modes of N fertilization (N0 to N250) combined with N splitting (S1, S2 and S3) over three consecutive years. Different letters on top of the bars correspond to significant differences (p < 0.05) between the levels of N fertilization applied. See Materials and Methods and Figure 2 for the meaning of the abbreviations.
To calculate the traits related to the NUE of the wheat mixture, additional phenotypic traits were measured in parallel. They were represented by total plant biomass (including the grain), vegetative shoot biomass (leaves, stover, spathes, rachis), and the amount of N remobilized to the grain (Table S2). These measures allowed us to observe that, of the treatments, the N200S1 treatment resulted in the greatest N remobilization over the three years of the experiment. Moreover, this treatment also appeared to be the best mode of N splitting for vegetative and total biomass production and for the amount of N taken up by the plants. Such results confirm the efficiency of the N200S1 treatment already observed for the yield-related traits.
3.2. Impact of N Fertilization Management on Nitrogen Use Efficiency
The impact of the different levels of N fertilization and splitting patterns on NUE was different over the three years of the field trials (Figure 5). In 2019, NUE in the N200S1 treatment was significantly higher than that obtained in the N250S1 treatment, as well as in the N100S1 and N150S1 treatments ranging from a 28 to 31 kg grain N unit of N (Figure 5A). Comparable results were obtained in 2020 and 2021, where we observed that NUE with N200S1 was even higher compared to that with the N200S2, N200S3, and N250S1 (when more N was applied to the soil with the same mode of N splitting) treatments.
Figure 5.
Nitrogen use efficiency (NUE) in a mixture of wheat varieties according to different levels of N fertilization (N0 to N250) and N splitting patterns (S1, S2, and S3) over the three years of field trials: (A) 2019, (B) 2020, and (C) 2021. Different letters on top of the box plots correspond to significant differences (p < 0.05) between each mode of N fertilization. See Materials and Methods and Figure 2 for the meaning of the abbreviations.
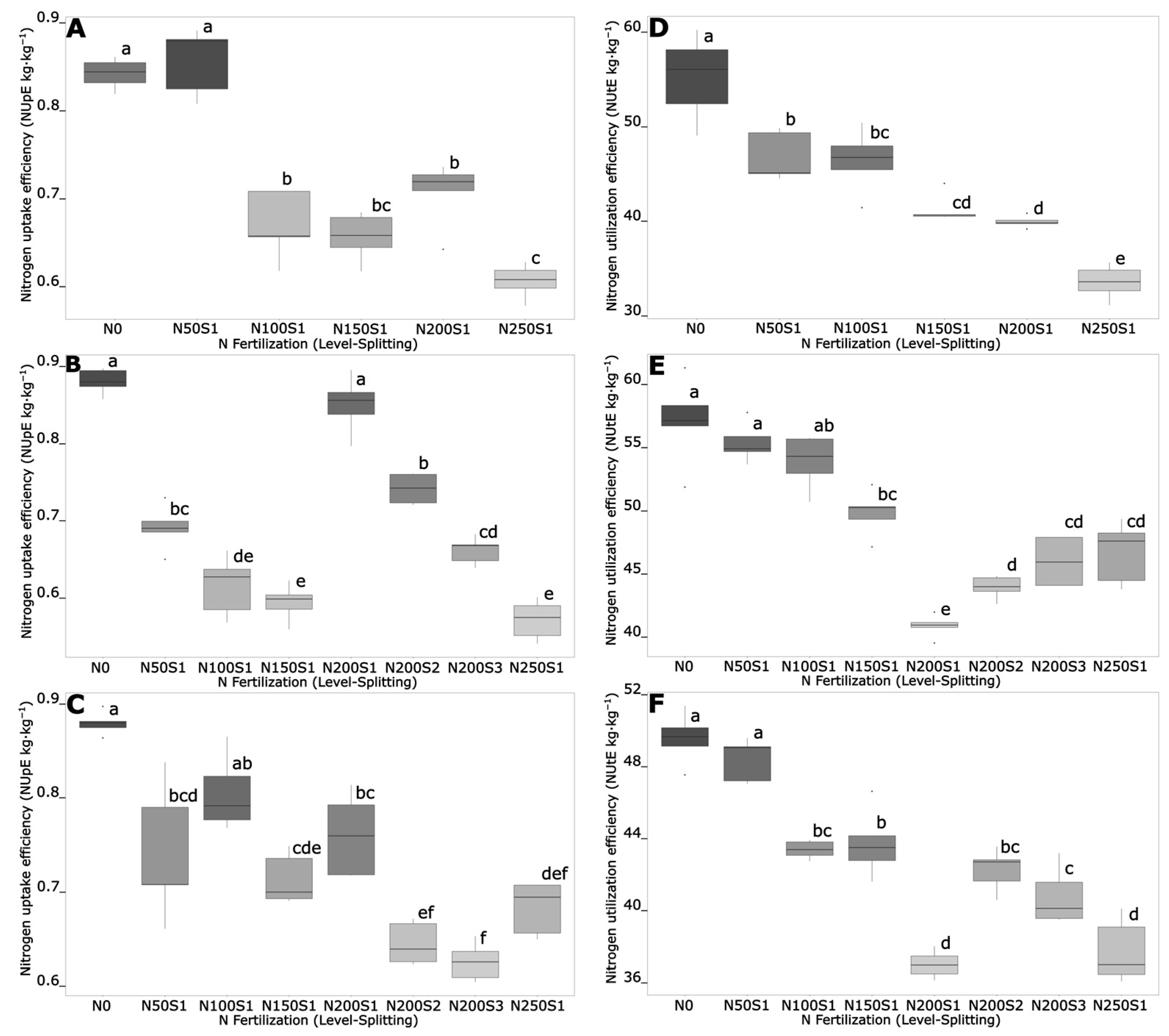
When the two main components of NUE, namely, nitrogen uptake efficiency (NUpE) and nitrogen utilization efficiency (NUtE), were calculated, we observed that at N200, NUpE was the highest in the S1 treatment compared to in the S2, S3, and N250S1 treatments. Such a result was obtained over the three years of the experiment, even though the maximum value for NUpE was variable from one year to the other, ranging from 0.7 to 0.9 kg of plant N per kg of total available N represented by “Nf + Nr + Nc” (see Section 2.5 in Materials and Methods and Figure 6A–C). In contrast, we observed that NUtE at N200 was lower in the S1 treatment than in the S2 and S3 treatments. In the N250S1 treatment, NUtE was variable from one year to the other, notably in 2019, when it was the lowest compared to that of the other treatments. Additionally, we found that without additional fertilization (N0), or when low levels of N fertilizer were applied (N50S1), NUtE was much higher than it was in most of the other treatments (Figure 6D–F).
Figure 6.
Nitrogen uptake (NUpE) and utilization efficiencies (NUtE) in a mixture of wheat varieties according to different levels of N fertilization (N0 to N250) and N splitting patterns (S1, S2, and S3) over three years in (A,D) 2019, (B,E) 2020, and (C,F) 2021. Different letters on top of the box plots correspond to significant differences (p < 0.05) between each mode of N fertilization. See Materials and Methods and Figure 2 for the meaning of the abbreviations.
3.3. Monitoring Plant N Uptake and Accumulation Using 15N-Labelling Experiments
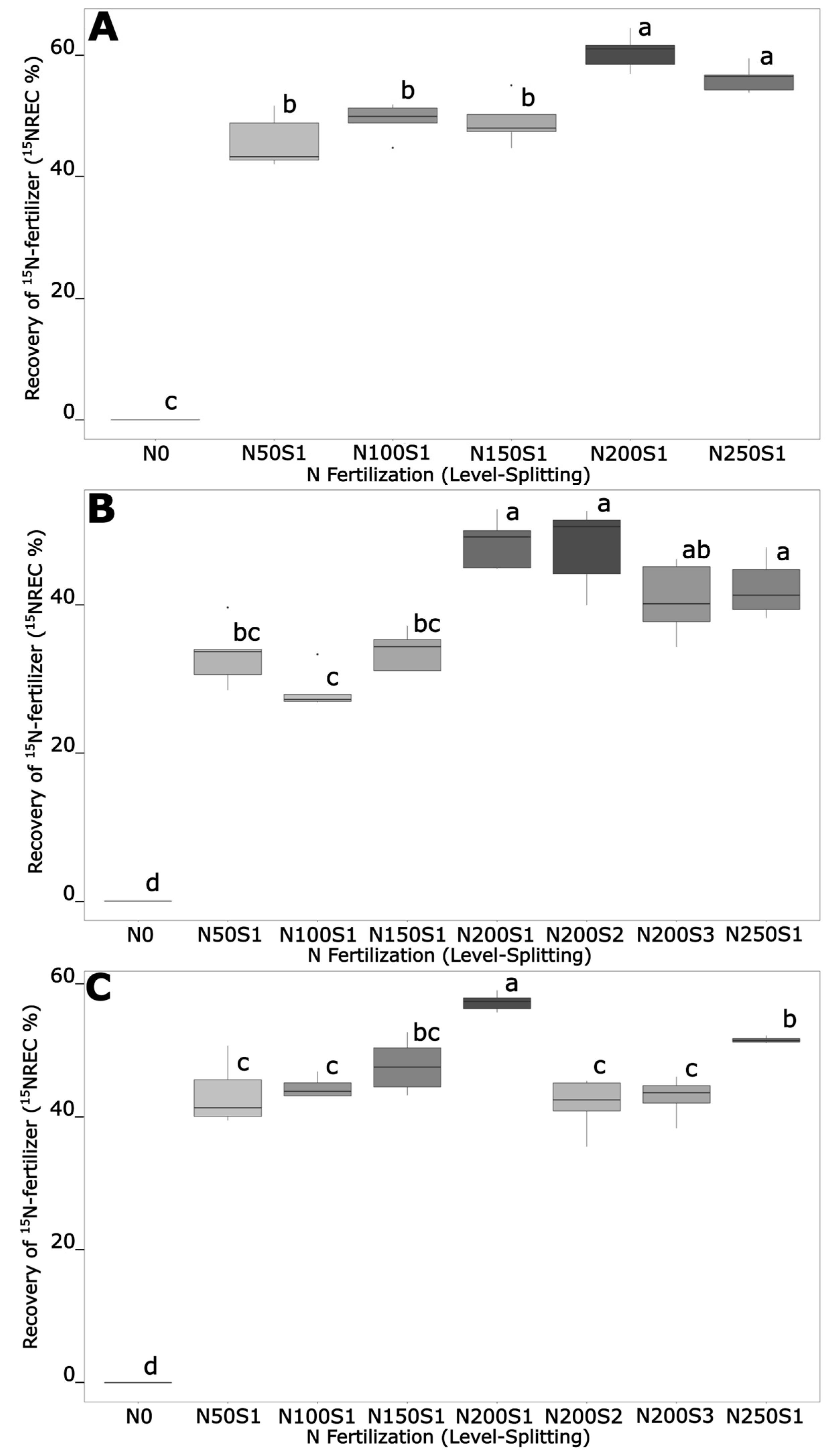
In total, 15N recovery, which corresponds to the amount of fertilizer recovered by a plant, was quantified using a 15N-labelling experiment performed in the field over the three years of the experiment. In 2019, we found that %15NREC was significantly higher in the N200S1 and N250S1 treatments than in the other treatments (Figure 7A). In 2020, %15NREC was not significantly different between the three split applications at N200 (Figure 7B). In 2021, we found that the %15NREC in the N200S1 treatment was slightly higher than that in the N250S1 treatment but much higher than that in the N200S2 and N200S3 treatments (Figure 7C).
Figure 7.
Labelled fertilizer N recovery (%15NREC) according to different levels of N fertilization (N0 to N250) and N splitting patterns (S1, S2, and S3) in a mixture of wheat varieties grown over 3 years of field trials. (A) 2019, (B) 2020, and (C) 2021. Different letters on top of the box plots correspond to significant differences (p < 0.05) between each mode of N fertilization. See Materials and Methods and Figure 2 for the meaning of the abbreviations.
When the 15N recovery was expressed as %Ndff, which represents the percentage of total plant N derived from fertilizer, a similar trend occurred over the three years of the experiment. This trend was mostly characterized by an increase in %Ndff proportional to the level of N fertilization (Figure 8). However, in 2020, in the N200S1 treatment, Ndff was significantly lower than it was in the N200S2 and N250S1 treatments, whereas in 2021, %Ndff was significantly higher than it was in the N200S2 treatment and significantly lower than in the N250S1 treatment. Nevertheless, the values for %Ndff in the N200S1 treatment were not different or only slightly different when compared to those obtained in the N200S3 treatment, both in 2020 and in 2021.
Figure 8.
Amount of N uptake derived from the fertilizer inside the plant (%Ndff) according to different levels of N fertilization (N0 to N250) and N splitting patterns (S1, S2, and S3) in a mixture of wheat varieties grown over 3 years of field trials. (A) 2019, (B) 2020, and (C) 2021. Different letters on top of the box plots correspond to significant differences (p < 0.05) between each mode of N fertilization. See Materials and Methods and Figure 2 for the meaning of the abbreviations.
4. Discussion
In this study, the impact of different levels of N fertilization and split applications was investigated while considering the sustainable agriculture directives of the French farming policy, recommending the use of the lowest amount of N fertilizers to attain the highest yield. In a loamy clayey soil, which occurs in the most productive French agricultural regions, we showed that when using a mixture of five wheat varieties instead of one, 200 kgN·ha−1 and the N splitting application of 40% at full tillering, 40% at the first node, and 20% at booting allowed us to obtain the highest NUE, grain production, and grain N content. Although, for the same splitting pattern, similar or better yields were obtained with 250 kgN·ha−1, but NUE was not improved. Therefore, with this latter mode of N fertilization, although crop productivity can be increased, it is likely that the risk of N leaching, known to be detrimental to the environment, will also increase. In addition, to obtain optimal plant performances, we found that the mode of N fertilizer splitting was more or at least as important than the amount of added N fertilizer when testing other modes of N fertilizer fractionation, notably when 200 kgN·ha−1 was applied.
4.1. N Split Applications Are a Key Factor for Optimizing Wheat Productivity and Nitrogen Uptake
The development of new N fertilization strategies based on SCA provides a way to optimize crop productivity when adverse environmental conditions, such as climate change and soil acidification, are occurring. Adopting these strategies relies on the assessment of key agronomic traits, such as vegetative and grain biomass production, as well as their N content. In agreement with the results of previous studies [42], our results showed that when 200 kgN·ha−1 was applied to the soil, a 40%/40%/20% (S1) split application at full tillering, at the first node, and at booting, respectively, allowed us to obtain both the highest yields and a maximum N uptake. In addition, we showed that the impact of N splitting on plant agronomic performance strongly depended on the mode of N splitting, as three successive splits of 50%, 30%, and 20% (S2) or two successive splits of 50% and 50% (S3) were less efficient. In wheat, it is likely that with S2 and S3, the two first splits have a negative impact on the dynamics of N accumulation, notably when they contain high amounts of N fertilizers in the first application at tillering (e.g., 50 kgN·ha−1). It is known that such an excess of N at tillering leads to an increase in crop photosynthetic capacity [43]. It has also been shown that providing an excess of N at tillering when the N200S2 treatment is used leads to the production of a number of unproductive tillers [44]. To benefit from their increased photosynthetic capacity, the plants will thus require higher amounts of N at the beginning of stem elongation [5], which is not the case with S2, probably because the second fertilizer application (30%) will not be sufficient to ensure rapid stem elongation and later to fill the grain. Consequently, the nutrients taken up by the plant will promote early vegetative growth rather than grain filling [45], and a limited N uptake during grain filling will force the plant to N translocation during this period [46].
Moreover, we observed that both plant productivity and plant N content were not different between the S2 and S3 treatments at N200. This finding demonstrates the importance of the third N fertilizer application at the swelling stage during the grain-filling period [35,47]. It is thus likely that the two-step splitting strategy at the early stages of plant growth enhances vegetative biomass production at the expense of grain development. Consequently, an additional third N split can be a way to boost plant productivity by promoting the export of dry matter from the vegetative organs to the grain, which in turn will allow increased grain production [48,49].
Our results are in agreement with those of a number of previous studies in which the importance of an N-splitting strategy has been highlighted, but only when a single wheat variety has been used [50,51]. For example, Belete et al. showed that the three-step splitting strategy (25% at sowing, 50% at tillering, and 25% at booting) allowed the best wheat yield to be obtained [52]. In other studies, it has been concluded that the level of N fertilization is the main driver of grain production [53,54]. However, as genetic variability can have an important impact on yield [55,56,57], both N fertilizer application and N splitting need to be considered for a given variety [58,59,60]. Therefore, the mixture of wheat varieties used in this study has the benefit of mitigating yield variations that can occur when growing single varieties. The fact that such a mixture allowed us to obtain relative stability of agronomic and eco-physiological traits, such as yield, NUE, NUtE, and grain N content over the three years of the experiment further supports this conclusion.
4.2. Nitrogen Use Efficiency Is Different According to the Level of N Fertilization and N Split Application
It is generally acknowledged that NUE decreases when N fertilization increases [61]. In the present investigation, we observed that compared to the other two splitting treatments (N200S2 and N200S3, and the N250S1 fertilization protocol treatment), the N200S1 treatment led to the best NUE. The same outcome occurred for NUpE, whereas the opposite was found for NUtE. According to Litke et al. [62], NUpE and NUtE in wheat are distinct indicators highlighting different physiological processes that directly impact the variation in NUE, with NUpE being predominant in wheat [63]. When the N200 (S1, S2, and S3) and N250S1 treatments were compared, we observed that grain yield, NUE, and NUpE were the highest during the N200S1 treatment, while NUtE was the lowest. Experiments in which 15N labeling is performed often show that plants receiving more N fertilizer take up more N from the soil [64]. Plant uptake of native soil N can be boosted, either by an increase in native bulk soil N mineralization or by plant-mediated processes, such as increased root growth and the rhizosphere N-priming effect [64,65,66]. Native soil N-priming dynamics are thought to be affected by soil type, fertilizer type, and environmental factors [67,68,69,70,71,72,73].
The decrease in NUtE could also be due to a lower photosynthetic activity occurring during N remobilization from the shoots to the grain, leading to an increase in grain yield [74]. However, Ayadi et al. [75] showed that NUpE was the main driver of NUE at low N supplies, whereas NUtE was the main driver when the N supply was high.
Interestingly, in our three consecutive field trials, NUpE in N200S1 was higher than the levels obtained in N200S3 and N250S1, which both gave similar values for the trait. This result indicates that splitting had the most important impact on NUpE at the same or at different levels of N fertilization. We also observed that in 2020, NUpE was higher in the N200S2 treatment than in the N200S3 treatment. In the later treatment, the same amount of N fertilizer was supplied in two consecutive splits (50%/50%) before the first node stage; this probably led to N deficiency at the end of the plant developmental cycle. Consequently, less N was translocated to the grain, which resulted in a yield loss. Moreover, this two-split strategy (N200S3) led to inefficient use of the N fertilizer, resulting in soil toxicity, which presumably occurred due to excess N [76]. However, such a strategy is often recommended to meet the demand for winter wheat [77]. Our results are also in agreement with those of Bhardwaj et al. [78], who assessed the impact of six N application strategies on the performance of five different wheat varieties. In this study, it was shown that yield and N uptake were significantly higher when N was provided in three successive applications, rather than in two or a single application.
4.3. Variation in 15N-Recovery and 15N-Net Uptake
The best 15N recovery (15NREC) was always obtained in the N200S1 treatment, irrespective of the year of the experiment, indicating that it is the mode of N fertilization that allowed for the highest increase in the applied N by the plant. This result highlights the importance of the mode of N fertilization on 15NREC in wheat. Jia et al. [79] also observed that the application of 210 kgN·ha−1 was optimal for obtaining both the highest 15NREC and yield. However, Wan et al. [80] showed that applying much less N fertilizer (120 kgN·ha−1) with an appropriate N-splitting protocol improved 15NREC and, in some cases, wheat productivity. In 2021, when the three modes of 2021 N splitting were compared, the best 15NREC was obtained with S1. Similar results were obtained by Liu et al. [47] when they assessed the variation in 15NREC in wheat using two different splitting patterns (N1: 50%/50%/0% and N2: 35%/35%/30%). The results from this study showed that the 15NREC in the N2 treatment was significantly higher than that in the N1 treatment. In fact, an adequate N supply and proper timing are both essential for obtaining an optimal N uptake that matches plant needs [81]. In 2020, we did not observe any difference in 15NREC, irrespective of the level of N fertilization. This result can be explained by the dry climatic conditions that occurred throughout that year. A similar result was observed by Celette et al. in a Mediterranean region [82]; thus, it is likely that the limited water availability induced a strong reduction in N fertilizer recovery and N translocation efficiency [33] due to the lack of synchronization between the supply of N fertilizer and the plant demand [83], which can also be related to the type of N fertilizer applied to the soil [84].
Quantification of Ndff allowed us to determine the net contribution of the N fertilizer according to total N uptake. Although there were some slight variations from one year to the other, a linear relationship between Ndff and the level of fertilization rate was generally observed, except for the three split applications at N200, for which there was practically no variation except in the N200S1 treatment, for which the Ndff was much lower, as was the NUtE. In fact, if the total plant N content (NT) increases while the Ndff is not modified or decreases, then an additional source of N, presumably originating from soil organic N mineralization, is the origin of the values obtained for the 15N-labelled fertilizer uptake. However, it is likely that such a process of N mineralization did not occur in 2021, thus indicating that environmental conditions can have a strong impact on residual soil N availability [85].
One can therefore conclude that the N-splitting pattern did not have any significant impact on plant N-fertilizer uptake, at least in the N200 treatment. Similar results were obtained by Chen et al. [86], who observed that there was a concomitant increase in Ndff and in the level of N fertilization. In contrast, it has been reported that three successive N applications increase the proportion of N fertilizer taken up by winter wheat [87], and the N is further translocated to the grain [88,89]. The discrepancy between our results and those of other authors could be due to the type of soil used in the experiment, as loamy and clay soils are believed to have a higher soil N availability and stronger nutrient retaining capacity with increased N fertilization [90], whereas sandy soils are characterized by lower Ndff and higher N loss, even at high levels of N fertilization [91].
5. Conclusions
When the simultaneous impacts of N fertilization and N splitting on the productivity of a mixture of five wheat varieties was studied, we observed that the 40%40%20% N splitting had a greater positive impact on both grain yield and NUE; even high amounts of N fertilizers were used to attain maximum grain yield. However, we observed that for NUE-related traits, such as N fertilizer uptake and recovery, there was some variability according to the year of the experiment, and this result was likely due to different environmental conditions. Nevertheless, one can conclude that SCA using mixed wheat varieties, instead of a single variety, is a promising strategy for optimizing N fertilizer application while maintaining high yields. To achieve this result, the N splitting-strategy needs to be adapted to the type of soil and to the fluctuating climatic conditions, notably when precipitation is below the standards for optimal wheat productivity, as has been occurring in the present study. Testing different forms of mineral N will also be necessary in determining which will be the best to obtain high yields with the lowest amount. To help fine-tune the selected splitting strategy, predictive forecasting tools can be simultaneously used (e.g., FARMSTAR, N-Tester) to optimize the most efficient and sustainable approach of N fertilization when single or mixed wheat varieties are grown.
Supplementary Materials
The following supporting information can be downloaded at: https://www.mdpi.com/article/10.3390/agronomy13051295/s1, Table S1: Number of days after sowing for each N fertilization supply until harvest; Table S2: Vegetative and total plant biomass and their N contents in the different modes of N fertilization in the three successive years of the experiment. Different letters correspond to significant differences at p < 0.05. See Materials and Methods and Figure 2 for the meaning of the abbreviations.
Author Contributions
K.A., A.A., L.K., T.T., B.H. and F.D. implemented the research plan as well as the analytical framework; A.A., K.A., L.K., D.R., D.M., B.R., M.C., F.S. and E.B. collected data in the field and performed the laboratory work; A.A. and K.A. performed all statistical analyses; L.E. provided maps and GIS support. A.A., K.A., led the paper writing. All co-authors discussed the results, provided feedback, and commented on the initial version of the manuscript. All authors have read and agreed to the published version of the manuscript.
Funding
This research was funded by “Région HAUTS DE FRANCE 14.8% + ADEME 14.8% (FREME N°00053, Convention 20006332), Agence de l’eau ARTOIS PICARDIE 50% (Dossier N°97891) and 20% by PERIG—Agriculteurs/Association Terre de Picardie”.
Institutional Review Board Statement
Not applicable.
Informed Consent Statement
Not applicable.
Data Availability Statement
The data will be available from the corresponding author following a reasonable request.
Acknowledgments
The authors would like to thank all the students who have contributed to this work since 2019 through their internships. They also thank the PERI-G team and the farmers for their trust, their time, and their support in setting up and monitoring the scientific research platform within their plots.
Conflicts of Interest
The authors declare no conflict of interest.
References
- FAO. Crop Prospects and Food Situation #3, September 2022; FAO: Rome, Italy, 2022; ISBN 978-92-5-136962-3. Available online: http://www.fao.org/documents/card/en/c/cc2300en (accessed on 6 October 2022).
- Charrière, P.; Prost, C. Grandes Cultures. Cultures de Printemps: Rendements et Productions Attendus en Baisse; Report No.: n°2022-111; Agreste Infos Rapides; Agreste; La Statistique Agricole: Paris, France, 2022; Available online: https://agreste.agriculture.gouv.fr/agreste-web/disaron/IraGcu22111/detail/ (accessed on 6 December 2022).
- Cormier, F.; Foulkes, J.; Hirel, B.; Gouache, D.; Moënne-Loccoz, Y.; Le Gouis, J. Breeding for increased nitrogen-use efficiency: A review for wheat (T. aestivum L.). Plant Breed. 2016, 135, 255–278. [Google Scholar] [CrossRef]
- Ladha, J.K.; Tirol-Padre, A.; Reddy, C.K.; Cassman, K.G.; Verma, S.; Powlson, D.S.; van Kessel, C.; de B. Richter, D.; Chakraborty, D.; Pathak, H. Global nitrogen budgets in cereals: A 50-year assessment for maize, rice and wheat production systems. Sci. Rep 2016, 6, 19355. [Google Scholar] [CrossRef] [PubMed]
- Hamnér, K.; Weih, M.; Eriksson, J.; Kirchmann, H. Influence of nitrogen supply on macro- and micronutrient accumulation during growth of winter wheat. Field Crops Res. 2017, 213, 118–129. [Google Scholar] [CrossRef]
- Miller, A.J.; Cramer, M.D. Root Nitrogen Acquisition and Assimilation. Plant Soil 2005, 274, 1–36. [Google Scholar] [CrossRef]
- Kong, L.; Xie, Y.; Hu, L.; Feng, B.; Li, S. Remobilization of vegetative nitrogen to developing grain in wheat (Triticum aestivum L.). Field Crops Res. 2016, 196, 134–144. [Google Scholar] [CrossRef]
- Colomb, B. Guide de la Fertilisation Raisonnée; Editions France Agricole: Paris, France, 2017. [Google Scholar]
- Choudhary, A.K.; Thakur, S.K.; Suri, V.K. Technology Transfer Model on Integrated Nutrient Management Technology for Sustainable Crop Production in High-Value Cash Crops and Vegetables in Northwestern Himalayas. Commun. Soil Sci. Plant Anal. 2013, 44, 1684–1699. [Google Scholar] [CrossRef]
- Fowler, D.; Coyle, M.; Skiba, U.; Sutton, M.A.; Cape, J.N.; Reis, S.; Sheppard, L.J.; Jenkins, A.; Grizzetti, B.; Galloway, J.N.; et al. The global nitrogen cycle in the twenty-first century. Phil. Trans. R. Soc. B 2013, 368, 20130164. [Google Scholar] [CrossRef]
- Erisman, J.W.; Sutton, M.A.; Galloway, J.; Klimont, Z.; Winiwarter, W. How a century of ammonia synthesis changed the world. Nat. Geosci. 2008, 1, 636–639. [Google Scholar] [CrossRef]
- Wezel, A.; Bellon, S.; Doré, T.; Francis, C.; Vallod, D.; David, C. Agroecology as a science, a movement and a practice. A review. Agron. Sustain. Dev. 2009, 29, 503–515. [Google Scholar] [CrossRef]
- Calegari, A.; Tiecher, T.; Hargrove, W.L.; Ralisch, R.; Tessier, D.; de Tourdonnet, S.; de Fátima Guimarães, F.; dos Santos, D.R. Long-term effect of different soil management systems and winter crops on soil acidity and vertical distribution of nutrients in a Brazilian Oxisol. Soil Tillage Res. 2013, 133, 32–39. [Google Scholar] [CrossRef]
- Gozubuyuk, Z.; Sahin, U.; Celik, A. Operational and yield performances and fuel-related CO2 emissions under different tillage-sowing practices in a rainfed crop rotation. Int. J. Environ. Sci. Technol. 2020, 17, 4563–4576. [Google Scholar] [CrossRef]
- Six, J.; Ogle, S.M.; Jay Breidt, F.; Conant, R.T.; Mosier, A.R.; Paustian, K. The potential to mitigate global warming with no-tillage management is only realized when practised in the long term: Greenhouse gas mitigation by long-term no-tillage. Glob. Chang. Biol. 2004, 10, 155–160. [Google Scholar] [CrossRef]
- Mangalassery, S.; Sjögersten, S.; Sparkes, D.L.; Sturrock, C.J.; Craigon, J.; Mooney, S.J. To what extent can zero tillage lead to a reduction in greenhouse gas emissions from temperate soils? Sci. Rep. 2015, 4, 4586. [Google Scholar] [CrossRef] [PubMed]
- Nunes, M.R.; van Es, H.M.; Schindelbeck, R.; Ristow, A.J.; Ryan, M. No-till and cropping system diversification improve soil health and crop yield. Geoderma 2018, 328, 30–43. [Google Scholar] [CrossRef]
- Kabiri, V.; Raiesi, F.; Ghazavi, M.A. Tillage effects on soil microbial biomass, SOM mineralization and enzyme activity in a semi-arid Calcixerepts. Agric. Ecosyst. Environ. 2016, 232, 73–84. [Google Scholar] [CrossRef]
- Verzeaux, J.; Hirel, B.; Dubois, F.; Lea, P.J.; Tétu, T. Agricultural practices to improve nitrogen use efficiency through the use of arbuscular mycorrhizae: Basic and agronomic aspects. Plant Sci. 2017, 264, 48–56. [Google Scholar] [CrossRef]
- Pecci Canisares, L.; Grove, J.; Miguez, F.; Poffenbarger, H. Long-term no-till increases soil nitrogen mineralization but does not affect optimal corn nitrogen fertilization practices relative to inversion tillage. Soil Tillage Res. 2021, 213, 105080. [Google Scholar] [CrossRef]
- Spiess, E.; Humphrys, C.; Richner, W.; Schneider, M.K.; Piepho, H.-P.; Chervet, A.; Prasuhn, V. Does no-tillage decrease nitrate leaching compared to ploughing under a long-term crop rotation in Switzerland? Soil Tillage Res. 2020, 199, 104590. [Google Scholar] [CrossRef]
- Mengistu, N.; Baenziger, P.S.; Nelson, L.A.; Eskridge, K.M.; Klein, R.N.; Baltensperger, D.D.; Elmore, R.W. Grain Yield Performance and Stability of Cultivar Blends vs. Component Cultivars of Hard Winter Wheat in Nebraska. Crop Sci. 2010, 50, 617–623. [Google Scholar] [CrossRef]
- Fang, Y.; Xu, B.; Liu, L.; Gu, Y.; Liu, Q.; Turner, N.C.; Li, F.M. Does a mixture of old and modern winter wheat cultivars increase yield and water use efficiency in water-limited environments? Field Crops Res. 2014, 156, 12–21. [Google Scholar] [CrossRef]
- Cossani, C.M.; Sadras, V.O. Symmetric response to competition in binary mixtures of cultivars associates with genetic gain in wheat yield. Evol. Appl. 2021, 14, 2064–2078. [Google Scholar] [CrossRef] [PubMed]
- Sarandon, S.J.; Sarandon, R. Mixture of Cultivars: Pilot Field Trial of an Ecological Alternative to Improve Production or Quality of Wheat (Triticum aestivum). J. Appl. Ecol. 1995, 32, 288–294. [Google Scholar] [CrossRef]
- Hirel, B.; Le Gouis, J.; Ney, B.; Gallais, A. The challenge of improving nitrogen use efficiency in crop plants: Towards a more central role for genetic variability and quantitative genetics within integrated approaches. J. Exp. Bot. 2007, 58, 2369–2387. [Google Scholar] [CrossRef] [PubMed]
- Habbib, H.; Hirel, B.; Verzeaux, J.; Roger, D.; Lacoux, J.; Lea, P.; Dubois, F.; Tétu, T. Investigating the Combined Effect of Tillage, Nitrogen Fertilization and Cover Crops on Nitrogen Use Efficiency in Winter Wheat. Agronomy 2017, 7, 66. [Google Scholar] [CrossRef]
- Habbib, H.; Hirel, B.; Spicher, F.; Dubois, F.; Tétu, T. In Winter Wheat (Triticum Aestivum L.), No-Till Improves Photosynthetic Nitrogen and Water-Use Efficiency. J. Crop Sci. Biotechnol. 2020, 23, 39–46. [Google Scholar] [CrossRef]
- Habbib, H.; Verzeaux, J.; Nivelle, E.; Roger, D.; Lacoux, J.; Catterou, M.; Hirel, B.; Dubois, F.; Tétu, T. Conversion to No-Till Improves Maize Nitrogen Use Efficiency in a Continuous Cover Cropping System. PLoS ONE 2016, 11, e0164234. [Google Scholar] [CrossRef]
- Arvalis [L’actu d’Arvalis] Comment Gérer la Fertilisation Azotée des Blés Conduits en ACS ? Available online: https://www.terre-net.fr/agriculture-de-conservation/article/207624/comment-gerer-la-fertilisation-azotee-des-bles-conduits-en-acs- (accessed on 9 December 2022).
- Pampana, S.; Masoni, A.; Ercoli, L.; Mariotti, M.; Arduini, I. Effects of nitrogen splitting and source on durum wheat. Cereal Res. Commun. 2013, 41, 338–347. [Google Scholar] [CrossRef]
- Nadeem, M.Y.; Zhang, J.; Zhou, Y.; Ahmad, S.; Ding, Y.; Li, G. Quantifying the Impact of Reduced Nitrogen Rates on Grain Yield and Nitrogen Use Efficiency in the Wheat and Rice Rotation System of the Yangtze River Region. Agronomy 2022, 12, 920. [Google Scholar] [CrossRef]
- Giuliani, M.M.; Giuzio, L.; De Caro, A.; Flagella, Z. Relationships between Nitrogen Utilization and Grain Technological Quality in Durum Wheat: I. Nitrogen Translocation and Nitrogen Use Efficiency for Protein. Agron. J. 2011, 103, 1487–1494. [Google Scholar] [CrossRef]
- Casabianca, H. L’azote 15 N dans les sols. Analusis 1999, 27, 207–208. [Google Scholar] [CrossRef]
- Lancashire, P.D.; Bleiholder, H.; Boom, T.V.D.; Langelüddeke, P.; Stauss, R.; Weber, E.; Witzenberger, A. A uniform decimal code for growth stages of crops and weeds. Ann. Appl. Biol. 1991, 119, 561–601. [Google Scholar] [CrossRef]
- Jones, M.N. Nitrate reduction by shaking with cadmium: Alternative to cadmium columns. Water Res. 1984, 18, 643–646. [Google Scholar] [CrossRef]
- Slawyk, G.; MacIsaac, J.J. Comparison of two automated ammonium methods in a region of coastal upwelling. Deep Sea Res. Oceanogr. Abstr. 1972, 19, 521–524. [Google Scholar] [CrossRef]
- Ruisi, P.; Giambalvo, D.; Di Miceli, G.; Frenda, A.S.; Saia, S.; Amato, G. Tillage Effects on Yield and Nitrogen Fixation of Legumes in Mediterranean Conditions. Agron. J. 2012, 104, 1459–1466. [Google Scholar] [CrossRef]
- Hauck, R.D.; Bremner, J.M. Use of Tracers For Soil And Fertilizer Nitrogen Research. In Advances in Agronomy; Elsevier: Amsterdam, The Netherlands, 1976; pp. 219–266. ISBN 978-0-12-000728-8. Available online: https://linkinghub.elsevier.com/retrieve/pii/S0065211308605568 (accessed on 31 August 2022).
- Moll, R.H.; Kamprath, E.J.; Jackson’, W.A. Analysis and Interpretation of Factors Which Contribute to Efficiency of Nitrogen Utilizatilon’. Agron. J. 1982, 74, 562–564. [Google Scholar] [CrossRef]
- Martinez-Feria, R.A.; Castellano, M.J.; Dietzel, R.N.; Helmers, M.J.; Liebman, M.; Huber, I.; Archontoulis, S.V. Linking crop- and soil-based approaches to evaluate system nitrogen-use efficiency and tradeoffs. Agric. Ecosyst. Environ. 2018, 256, 131–143. [Google Scholar] [CrossRef]
- Zhang, Z.; Zhang, Y.; Shi, Y.; Yu, Z. Optimized split nitrogen fertilizer increase photosynthesis, grain yield, nitrogen use efficiency and water use efficiency under water-saving irrigation. Sci. Rep. 2020, 10, 20310. [Google Scholar] [CrossRef]
- Abid, M.; Tian, Z.; Ata-Ul-Karim, S.T.; Cui, Y.; Liu, Y.; Zahoor, R.; Jiang, D.; Dai, T. Nitrogen Nutrition Improves the Potential of Wheat (Triticum aestivum L.) to Alleviate the Effects of Drought Stress during Vegetative Growth Periods. Front. Plant Sci. 2016, 7, 981. [Google Scholar] [CrossRef]
- Zhang, L.; He, X.; Liang, Z.; Zhang, W.; Zou, C.; Chen, X. Tiller development affected by nitrogen fertilization in a high-yielding wheat production system. Crop Sci. 2020, 60, 1034–1047. [Google Scholar] [CrossRef]
- Barunawati, N.; Hettwer Giehl, R.F.; Bauer, B.; Von Wirén, N. The influence of inorganic nitrogen fertilizer forms on micronutrient retranslocation and accumulation in grains of winter wheat. Front. Plant Sci. 2013, 4, 320. [Google Scholar] [CrossRef]
- Muurinen, S.; Kleemola, J.; Peltonen-Sainio, P. Accumulation and Translocation of Nitrogen in Spring Cereal Cultivars Differing in Nitrogen Use Efficiency. Agron. J. 2007, 99, 441–449. [Google Scholar] [CrossRef]
- Liu, Z.; Gao, F.; Liu, Y.; Yang, J.; Zhen, X.; Li, X.; Li, Y.; Zhao, J.; Li, J.; Qian, B.; et al. Timing and splitting of nitrogen fertilizer supply to increase crop yield and efficiency of nitrogen utilization in a wheat–peanut relay intercropping system in China. Crop J. 2019, 7, 101–112. [Google Scholar] [CrossRef]
- Haile, D.; Nigussie, D.; Ayana, A. Nitrogen use efficiency of bread wheat: Effects of nitrogen rate and time of application. J. Soil Sci. Plant Nutr. 2012, 12, 389–410. [Google Scholar] [CrossRef]
- Xu, H.; Wu, Z.; Xu, B.; Sun, D.; Hassan, M.A.; Cai, H.; Wu, Y.; Yu, M.; Chen, A.; Li, J.; et al. Optimized Phosphorus Application Alleviated Adverse Effects of Short-Term Low-Temperature Stress in Winter Wheat by Enhancing Photosynthesis and Improved Accumulation and Partitioning of Dry Matter. Agronomy 2022, 12, 1700. [Google Scholar] [CrossRef]
- Ercoli, L.; Masoni, A.; Pampana, S.; Mariotti, M.; Arduini, I. As durum wheat productivity is affected by nitrogen fertilisation management in Central Italy. Eur. J. Agron. 2013, 44, 38–45. [Google Scholar] [CrossRef]
- López-Bellido, L.; López-Bellido, R.J.; Redondo, R. Nitrogen efficiency in wheat under rainfed Mediterranean conditions as affected by split nitrogen application. Field Crops Res. 2005, 94, 86–97. [Google Scholar] [CrossRef]
- Belete, F.; Dechassa, N.; Molla, A.; Tana, T. Effect of split application of different N rates on productivity and nitrogen use efficiency of bread wheat (Triticum aestivum L.). Agric. Food Secur. 2018, 7, 92. [Google Scholar] [CrossRef]
- Abedi, T.; Alemzadeh, A.; Kazemeini, S.A. Wheat Yield and Grain Protein Response to Nitrogen Amount and Timing. Aust. J. Crop Sci. 2011, 5, 330–336. [Google Scholar] [CrossRef]
- Shi, R.; Zhang, Y.; Chen, X.; Sun, Q.; Zhang, F.; Römheld, V.; Zou, C. Influence of long-term nitrogen fertilization on micronutrient density in grain of winter wheat (Triticum aestivum L.). J. Cereal Sci. 2010, 51, 165–170. [Google Scholar] [CrossRef]
- Beral, A.; Rincent, R.; Gouis, J.L.; Girousse, C.; Allard, V. Wheat individual grain-size variance originates from crop development and from specific genetic determinism. PLoS ONE 2020, 15, e0230689. Available online: https://journals.plos.org/plosone/article?id=10.1371/journal.pone.0230689 (accessed on 9 September 2022). [CrossRef]
- Schierenbeck, M.; Alqudah, A.M.; Lohwasser, U.; Tarawneh, R.A.; Simón, M.R.; Börner, A. Genetic dissection of grain architecture-related traits in a winter wheat population. BMC Plant Biol. 2021, 21, 417. [Google Scholar] [CrossRef]
- Hawkesford, M.J.; Griffiths, S. Exploiting genetic variation in nitrogen use efficiency for cereal crop improvement. Curr. Opin. Plant Biol. 2019, 49, 35–42. [Google Scholar] [CrossRef] [PubMed]
- Gate, P. Ecophysiologie du blé: De la Plante à la Culture. Technique et Doc; Lavoisier: Paris, France, 1995. [Google Scholar]
- Justes, E.E.; Bedoussac, L.; Prieur, L. Est-il possible d’améliorer le rendement et la teneur en protéines du blé en Agriculture Biologique au moyen de cultures intermédiaires ou de cultures associées? Innov. Agron. 2009, 4, 165–176. [Google Scholar]
- Adeyemi, O.; Keshavarz-Afshar, R.; Jahanzad, E.; Battaglia, M.L.; Luo, Y.; Sadeghpour, A. Effect of Wheat Cover Crop and Split Nitrogen Application on Corn Yield and Nitrogen Use Efficiency. Agronomy 2020, 10, 1081. [Google Scholar] [CrossRef]
- Vidican, R.; Mălinaș, A.; Rotar, I.; Kadar, R.; Deac, V.; Mălinaș, C. Assessing Wheat Response to N Fertilization in a Wheat–Maize–Soybean Long-Term Rotation through NUE Measurements. Agronomy 2020, 10, 941. [Google Scholar] [CrossRef]
- Litke, L.; Gaile, Z.; Ruža, A. Effect of nitrogen rate and forecrop on nitrogen use efficiency in winter wheat (Triticum aestivum). EMU DSpace 2019, 17(2), 582–592. [Google Scholar] [CrossRef]
- Rahimizadeh, M.; Kashani, A.; Zare-Feizabadi, A.; Koocheki, A.R.; Nassiri-Mahallati, M. Nitrogen Use Efficiency of Wheat as Affected by Preceding Crop, Application Rate of Nitrogen and Crop Residues. Aust. J. Crop Sci. 2010, 4, 363–368. [Google Scholar] [CrossRef]
- Jenkinson, D.; Fox, R.; Rayner, J. Interactions between fertilizer nitrogen and soil nitrogen: The so-called “priming” effect. J. Soil Sci. 2006, 36, 425–444. [Google Scholar] [CrossRef]
- Ashraf, M.; Mahmood, T.; Azam, F.; Qureshi, R.M. Comparative effects of applying leguminous and non-leguminous green manures and inorganic N on biomass yield and nitrogen uptake in flooded rice (Oryza sativa L.). Biol. Fertil. Soils 2004, 40, 147–152. [Google Scholar] [CrossRef]
- Schimel, J.P.; Bennett, J. Nitrogen Mineralization: Challenges of a Changing Paradigm. Ecology 2004, 85, 591–602. [Google Scholar] [CrossRef]
- Liu, X.-J.A.; van Groenigen, K.J.; Dijkstra, P.; Hungate, B.A. Increased plant uptake of native soil nitrogen following fertilizer addition—Not a priming effect? Appl. Soil Ecol. 2017, 114, 105–110. [Google Scholar] [CrossRef]
- Recous, S.; Fresneau, C.; Faurie, G.; Mary, B. The fate of labelled15N urea and ammonium nitrate applied to a winter wheat crop. Plant Soil 1988, 112, 205–214. [Google Scholar] [CrossRef]
- Rowlings, D.W.; Scheer, C.; Liu, S.; Grace, P.R. Annual nitrogen dynamics and urea fertilizer recoveries from a dairy pasture using 15N; effect of nitrification inhibitor DMPP and reduced application rates. Agric. Ecosyst. Environ. 2016, 216, 216–225. [Google Scholar] [CrossRef]
- Westerman, R.L.; Kurtz, L.T. Priming Effect of 15N-Labeled Fertilizers on Soil Nitrogen in Field Experiments. Soil Sci. Soc. Am. J. 1973, 37, 725–727. [Google Scholar] [CrossRef]
- Hgaza, V.K.; Diby, L.N.; Oberson, A.; Tschannen, A.; Tié, B.T.; Sangakkara, U.R.; Aké, S.; Frossard, E. Nitrogen Use by Yam as Affected by Mineral Fertilizer Application. Agron. J. 2012, 104, 1558–1568. [Google Scholar] [CrossRef]
- Glendining, M.J.; Poulton, P.R.; Powlson, D.S.; Jenkinson, D.S. Fate of 15N-labelled fertilizer applied to spring barley grown on soils of contrasting nutrient status. Plant Soil 1997, 195, 83–98. [Google Scholar] [CrossRef]
- Ghaley, B.B.; Høgh-Jensen, H.; Christiansen, J.L. Recovery of nitrogen fertilizer by traditional and improved rice cultivars in the Bhutan Highlands. Plant Soil 2010, 332, 233–246. [Google Scholar] [CrossRef]
- Nehe, A.S.; Misra, S.; Murchie, E.H.; Chinnathambi, K.; Singh Tyagi, B.; Foulkes, M.J. Nitrogen partitioning and remobilization in relation to leaf senescence, grain yield and protein concentration in Indian wheat cultivars. Field Crops Res. 2020, 251, 107778. [Google Scholar] [CrossRef] [PubMed]
- Ayadi, S.; Jallouli, S.; Chamekh, Z.; Zouari, I.; Landi, S.; Hammami, Z.; Ben Azaiez, F.E.; Baraket, M.; Esposito, S.; Trifa, Y. Variation of Grain Yield, Grain Protein Content and Nitrogen Use Efficiency Components under Different Nitrogen Rates in Mediterranean Durum Wheat Genotypes. Agriculture 2022, 12, 916. [Google Scholar] [CrossRef]
- Khan, Z.; Nauman Khan, M.; Luo, T.; Zhang, K.; Zhu, K.; Rana, M.S.; Hu, L.; Jiang, Y. Compensation of high nitrogen toxicity and nitrogen deficiency with biochar amendment through enhancement of soil fertility and nitrogen use efficiency promoted rice growth and yield. GCB Bioenergy 2021, 13, 1765–1784. [Google Scholar] [CrossRef]
- Ma, Q.; Wang, M.; Zheng, G.; Yao, Y.; Tao, R.; Zhu, M.; Ding, J.; Li, C.; Guo, W.; Zhu, X. Twice-split application of controlled-release nitrogen fertilizer met the nitrogen demand of winter wheat. Field Crops Res. 2021, 267, 108163. [Google Scholar] [CrossRef]
- Bhardwaj, V.; Yadav, V.; Chauhan, B.S. Effect of nitrogen application timings and varieties on growth and yield of wheat grown on raised beds. Arch. Agron. Soil Sci. 2010, 56, 211–222. [Google Scholar] [CrossRef]
- Jia, S.; Wang, X.; Yang, Y.; Dai, K.; Meng, C.; Zhao, Q.; Zhang, X.; Zhang, D.; Feng, Z.; Sun, Y.; et al. Fate of labeled urea-15N as basal and topdressing applications in an irrigated wheat–maize rotation system in North China Plain: I winter wheat. Nutr. Cycl. Agroecosystems 2011, 90, 331–346. [Google Scholar] [CrossRef]
- Wan, X.; Wu, W.; Shah, F. Nitrogen fertilizer management for mitigating ammonia emission and increasing nitrogen use efficiencies by 15N stable isotopes in winter wheat. Sci. Total Environ. 2021, 790, 147587. [Google Scholar] [CrossRef] [PubMed]
- Limon-Ortega, A.; Sayre, K.D.; Francis, C.A. Wheat Nitrogen Use Efficiency in a Bed Planting System in Northwest Mexico. Agron. J. 2000, 92, 303–308. [Google Scholar] [CrossRef]
- Celette, F.; Findeling, A.; Gary, C. Competition for nitrogen in an unfertilized intercropping system: The case of an association of grapevine and grass cover in a Mediterranean climate. Eur. J. Agron. 2009, 30, 41–51. [Google Scholar] [CrossRef]
- Chen, X.; Zhang, F.; Römheld, V.; Horlacher, D.; Schulz, R.; Böning-Zilkens, M.; Wang, P.; Claupein, W. Synchronizing N Supply from Soil and Fertilizer and N Demand of Winter Wheat by an Improved Nmin Method. Nutr. Cycl. Agroecosyst 2006, 74, 91–98. [Google Scholar] [CrossRef]
- Pampana, S.; Mariotti, M. Durum Wheat Yield and N Uptake as Affected by N Source, Timing, and Rate in Two Mediterranean Environments. Agronomy 2021, 11, 1299. [Google Scholar] [CrossRef]
- Alcoz, M.M.; Hons, F.M.; Haby, V.A. Nitrogen Fertilization Timing Effect on Wheat Production, Nitrogen Uptake Efficiency, and Residual Soil Nitrogen. Agron. J. 1993, 85, 1198–1203. [Google Scholar] [CrossRef]
- Chen, Z.; Wang, H.; Liu, X.; Chen, X.; Lu, D.; Jia, Y.; Zhou, J. Spatial and temporal nitrogen applications for winter wheat in a loamy soil in south-eastern China. Nutr. Cycl. Agroecosyst 2017, 109, 43–55. [Google Scholar] [CrossRef]
- Riga, A.; Fischer, V.; Van Praag, H.J. Fate of fertilizer nitrogen applied to winter wheat as Na15NO3 and (15NH4)2SO4 studied in microplots through a four-course rotation: 1. influence of fertilizer splitting on soil and fertilizer nitrogen. Soil Sci. 1980, 130, 88–99. [Google Scholar] [CrossRef]
- Zhang, Z.; Yu, Z.; Zhang, Y.; Shi, Y. Split nitrogen fertilizer application improved grain yield in winter wheat (Triticum aestivum L.) via modulating antioxidant capacity and 13C photosynthate mobilization under water-saving irrigation conditions. Ecol. Process. 2021, 10, 21. [Google Scholar] [CrossRef]
- Zhang, Y.; Dai, X.; Jia, D.; Li, H.; Wang, Y.; Li, C.; Xu, H.; He, M. Effects of plant density on grain yield, protein size distribution, and breadmaking quality of winter wheat grown under two nitrogen fertilisation rates. Eur. J. Agron. 2016, 73, 1–10. [Google Scholar] [CrossRef]
- Quan, Z.; Li, S.; Zhang, X.; Zhu, F.; Li, P.; Sheng, R.; Chen, X.; Zhang, L.-M.; He, J.-Z.; Wei, W.; et al. Fertilizer nitrogen use efficiency and fates in maize cropping systems across China: Field 15N tracer studies. Soil Tillage Res. 2020, 197, 104498. [Google Scholar] [CrossRef]
- Wang, Y.; Li, C.; Li, Y.; Zhu, L.; Liu, S.; Yan, L.; Feng, G.; Gao, Q. Agronomic and environmental benefits of nutrient expert on maize and rice in Northeast China. Env. Sci. Pollut. Res. 2020, 27, 28053–28065. [Google Scholar] [CrossRef]
Disclaimer/Publisher’s Note: The statements, opinions and data contained in all publications are solely those of the individual author(s) and contributor(s) and not of MDPI and/or the editor(s). MDPI and/or the editor(s) disclaim responsibility for any injury to people or property resulting from any ideas, methods, instructions or products referred to in the content. |
© 2023 by the authors. Licensee MDPI, Basel, Switzerland. This article is an open access article distributed under the terms and conditions of the Creative Commons Attribution (CC BY) license (https://creativecommons.org/licenses/by/4.0/).







