The Effects of Paclobutrazol Seed Soaking on Biomass Production and Yield Formation in Direct-Seeded Rice
Abstract
1. Introduction
2. Materials and Methods
2.1. Experiment Site, Time, and Materials
2.2. Experimental Design
2.3. Sampling and Measurements
2.3.1. Seedling Emergence Rate
2.3.2. Seedling Quality
Plumpness (mg·cm−1) = shoot dry weight/seedling height;
Strong seedling index = stem base width × plumpness.
2.3.3. Tiller Dynamics
2.3.4. Efficient Leaf Area
2.3.5. Chlorophyll Content
2.3.6. Net Photosynthetic Rate
2.3.7. Dry Matter
2.3.8. Yield and Yield Components
2.4. Data Analysis
3. Results
3.1. Effects of Paclobutrazol Seed Soaking on the Seedling Emergence Rate and Seedling Quality in Direct-Seeded Rice
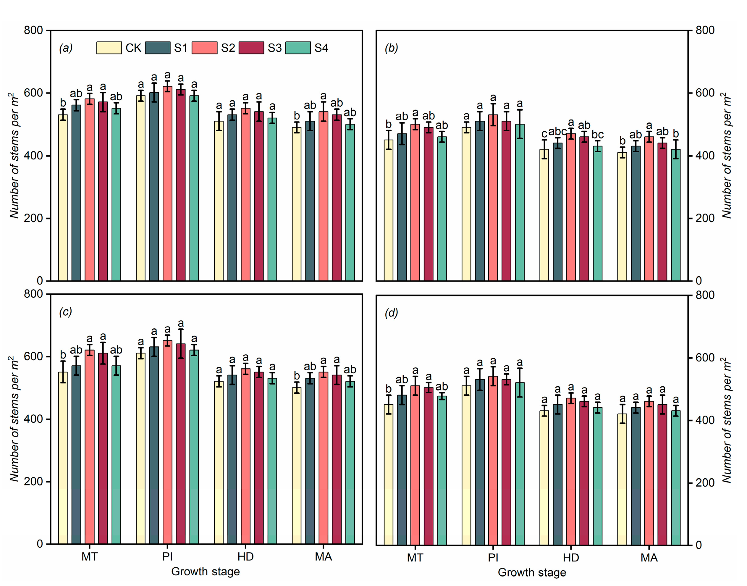
3.2. Effects of Paclobutrazol Seed Soaking on the Stem Tiller Dynamics in Direct-Seeded Rice
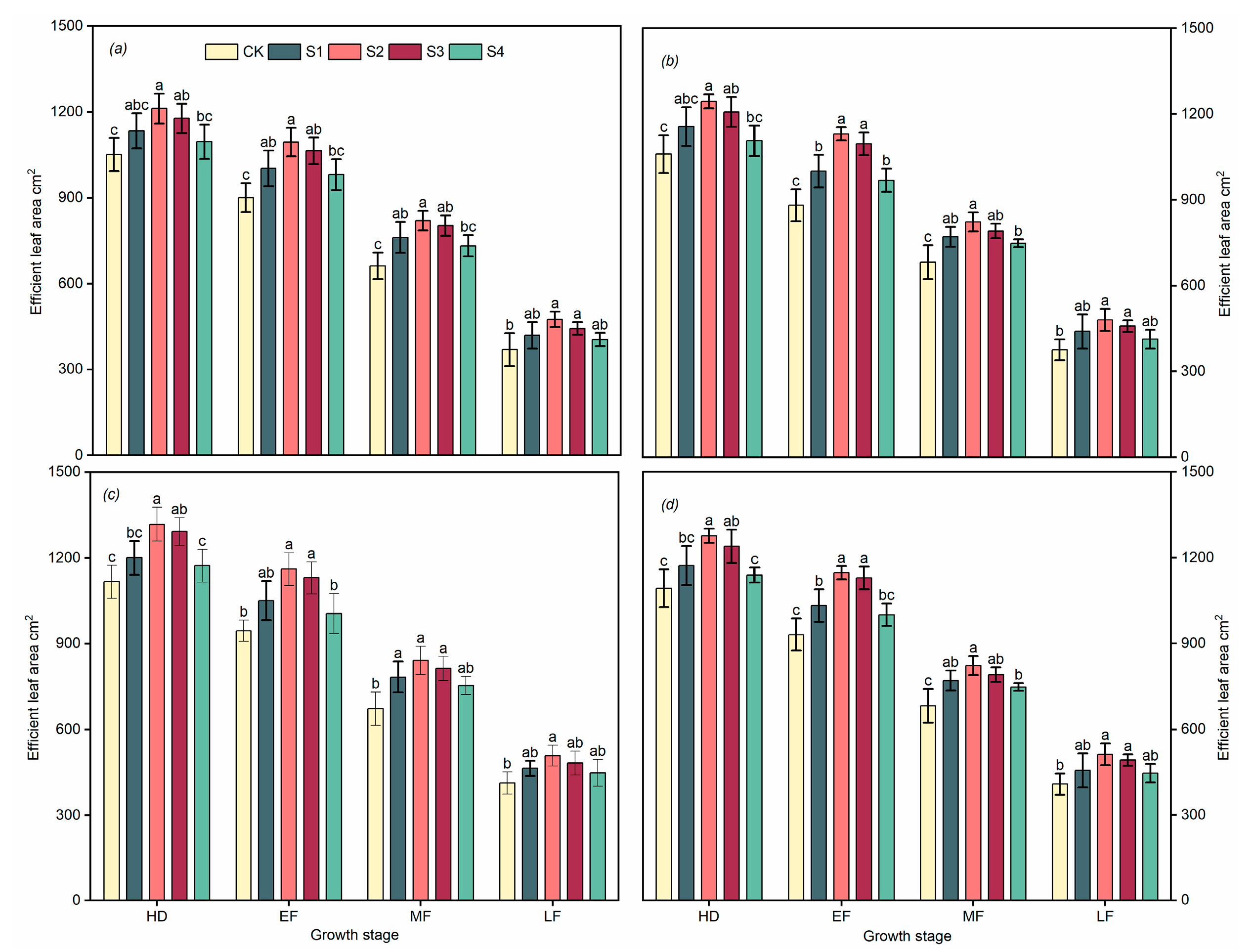
3.3. Effects of Paclobutrazol Seed Soaking on the Efficient Leaf Area in Direct-Seeded Rice
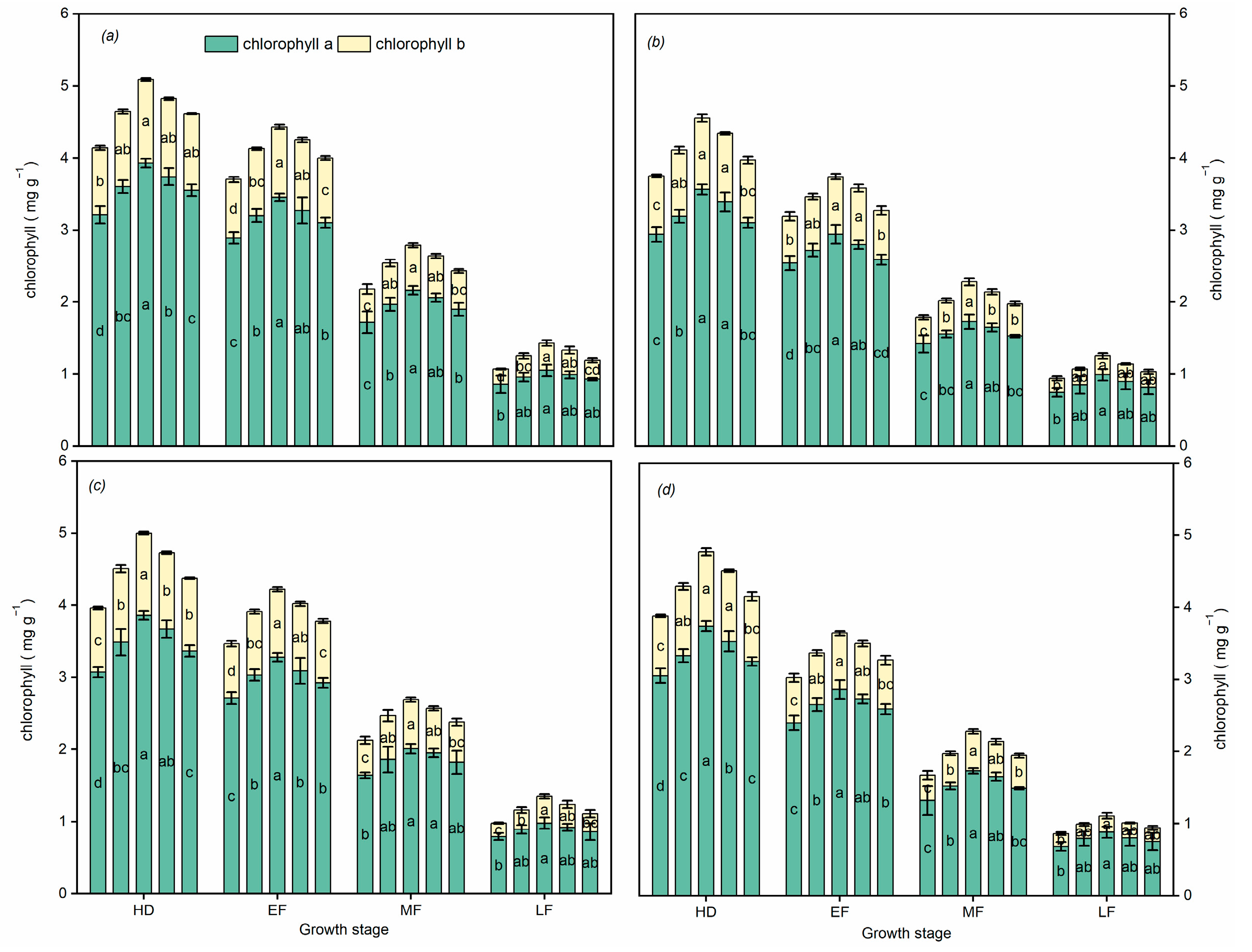
3.4. Effects of Paclobutrazol Seed Soaking on Chlorophyll Content in Direct-Seeded Rice
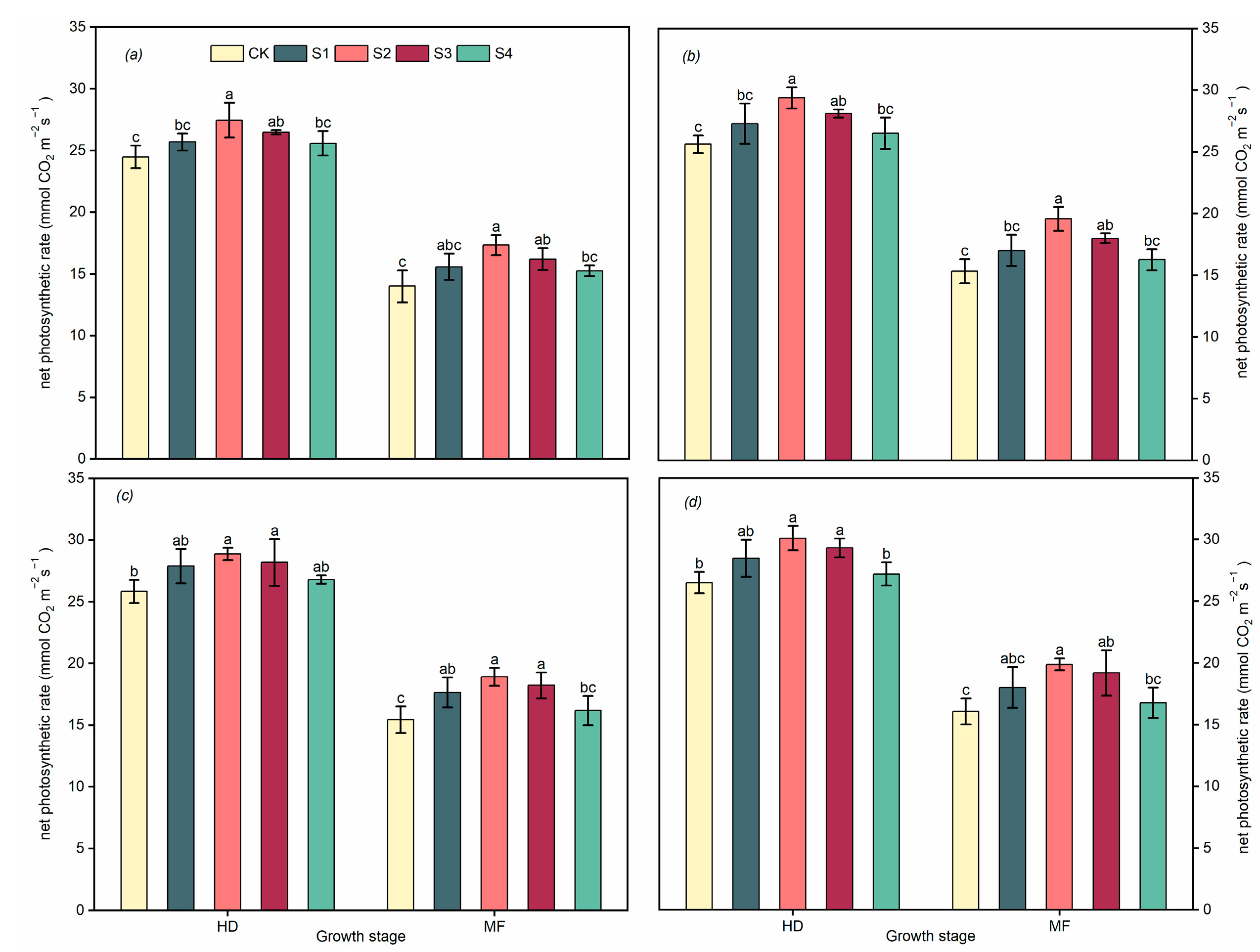
3.5. Effects of Paclobutrazol Seed Soaking on Net Photosynthetic Rate in Direct-Seeded Rice
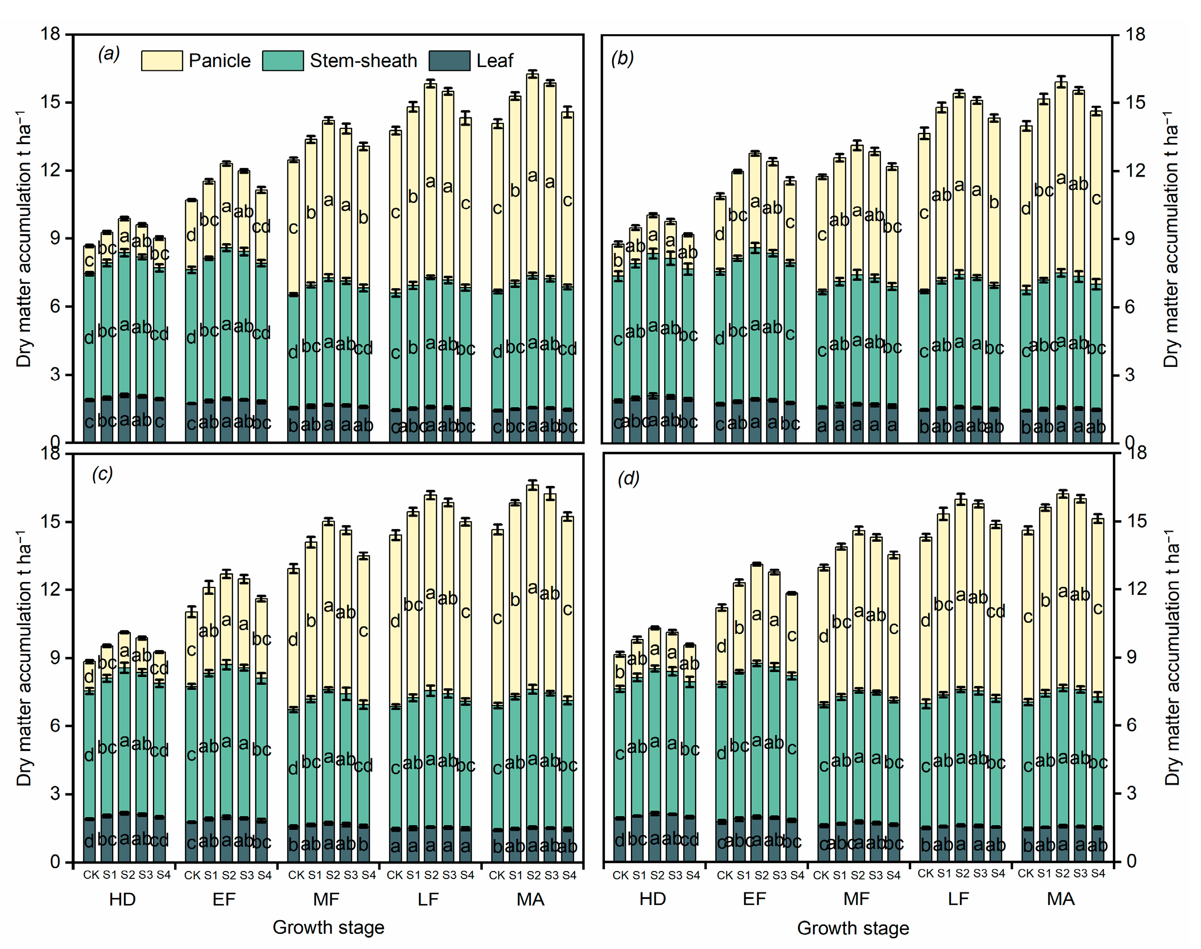
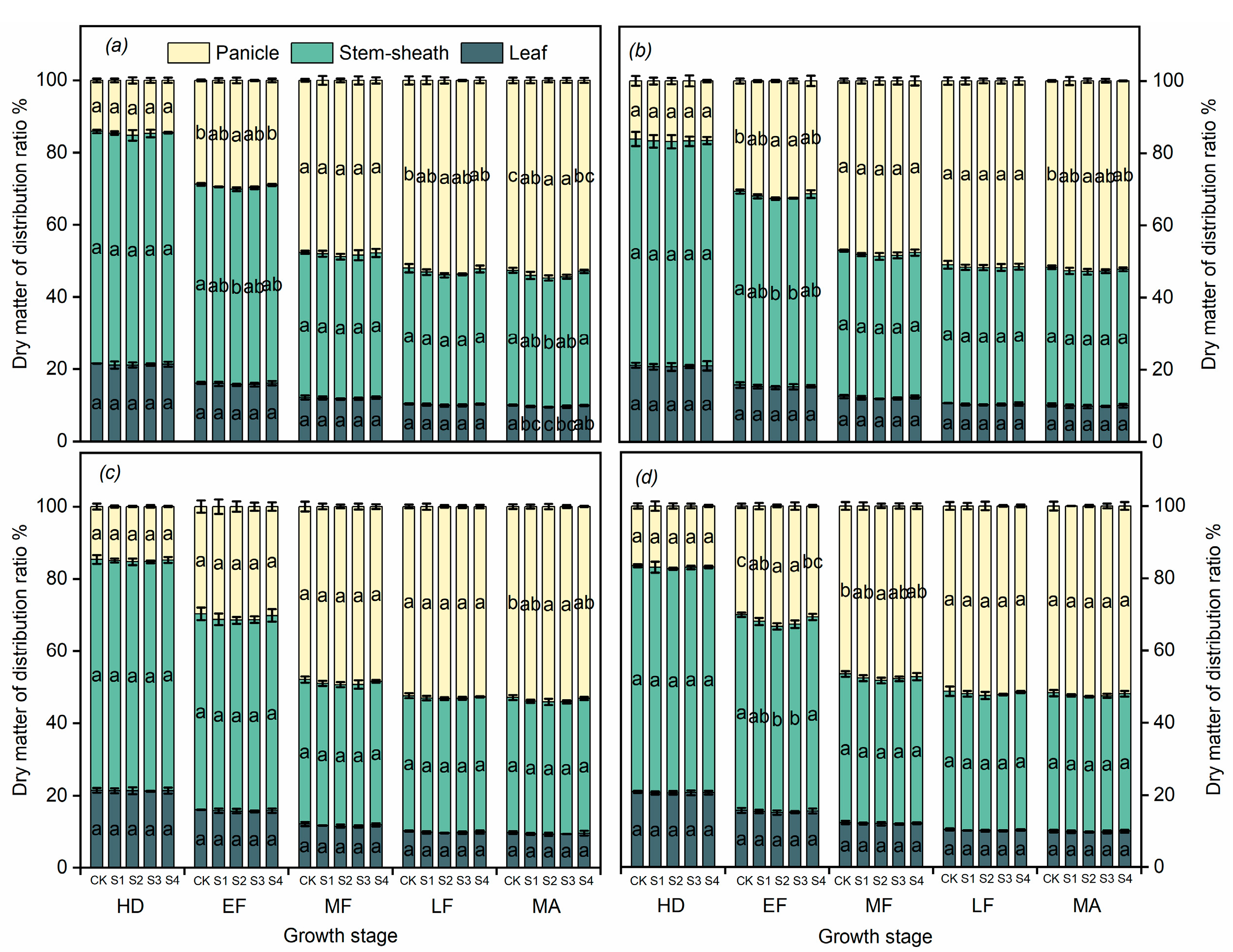
3.6. Effects of Paclobutrazol Seed Soaking on Dry Matter Accumulation, Distribution, and Translocation in the Direct-Seeded Rice
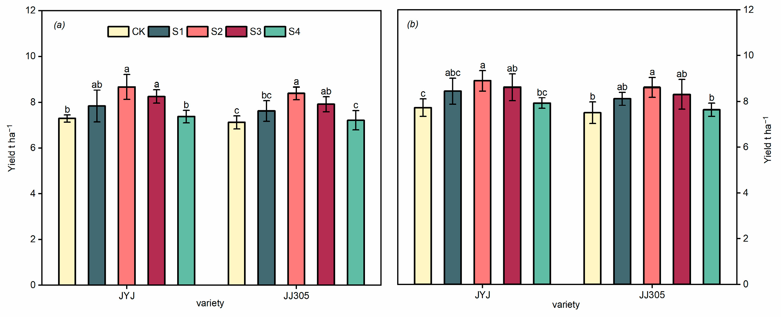
3.7. Effects of Paclobutrazol Seed Soaking on Yield and Yield Components in Direct-Seeded Rice
4. Discussion
5. Conclusions
Author Contributions
Funding
Data Availability Statement
Acknowledgments
Conflicts of Interest
References
- Carrijo, D.R.; Lundy, M.E.; Linquist, B.A. Rice yields and water use under alternate wetting and drying irrigation: A meta-analysis. Field Crop. Res. 2017, 203, 173–180. [Google Scholar] [CrossRef]
- Rao, M.S.; Umamaheswari, R.; Priti, K.; Rajinikanth, R.; Grace, G.N.; Kamalnath, M.; Prabu, P.; Kumar, R.M.; Chaya, M.K. Vidyashree Role of Biopesticides in the Management of Nematodes and Associated Diseases in Horticultural Crops. Plant Soil Microbes 2016, 117–148. [Google Scholar] [CrossRef]
- Peng, S.; Khush, G.S.; Virk, P.; Tang, Q.; Zou, Y. Progress in ideotype breeding to increase rice yield potential. Field Crop. Res. 2008, 108, 32–38. [Google Scholar] [CrossRef]
- Liu, H.; Hussain, S.; Zheng, M.; Peng, S.; Huang, J.; Cui, K.; Nie, L. Dry direct-seeded rice as an alternative to transplanted-flooded rice in Central China. Agron. Sustain. Dev. 2014, 35, 285–294. [Google Scholar] [CrossRef]
- Pandey, S.; Suphanchaimat, N.; Velasco, M.L.E. The patterns of spread and economics of a labor-saving innovation in rice production: The case of direct seeding in Northeast Thailand. Q. J. Int. Agric. 2012, 54, 333–356. [Google Scholar] [CrossRef]
- Peng, S.; Tang, Q.; Zou, Y. Current Status and Challenges of Rice Production in China. Plant Prod. Sci. 2009, 12, 3–8. [Google Scholar] [CrossRef]
- Nawaz, A.; Rehman, A.U.; Rehman, A.; Ahmad, S.; Siddique, K.H.; Farooq, M. Increasing sustainability for rice production systems. J. Cereal Sci. 2021, 103, 103400. [Google Scholar] [CrossRef]
- Xin, F.; Xiao, X.; Dong, J.; Zhang, G.; Zhang, Y.; Wu, X.; Li, X.; Zou, Z.; Ma, J.; Du, G.; et al. Large increases of paddy rice area, gross primary production, and grain production in Northeast China during 2000–2017. Sci. Total Environ. 2020, 711, 135183. [Google Scholar] [CrossRef]
- Farooq, M.; Siddique, K.H.; Rehman, H.; Aziz, T.; Lee, D.-J.; Wahid, A. Rice direct seeding: Experiences, challenges and opportunities. Soil Tillage Res. 2011, 111, 87–98. [Google Scholar] [CrossRef]
- Kuai, J.; Li, X.-Y.; Yang, Y.; Zhou, G.-S. Effects of paclobutrazol on biomass production in relation to resistance to lodging and pod shattering in Brassica napus L. J. Integr. Agric. 2017, 16, 2470–2481. [Google Scholar] [CrossRef]
- Sinniah, U.R.; Wahyuni, S.; Syahputra, B.S.A.; Gantait, S. A potential retardant for lodging resistance in direct seeded rice (Oryza sativa L.). Can. J. Plant Sci. 2012, 92, 13–18. [Google Scholar] [CrossRef]
- Garg, N.K.; Maheshwari, C.; Changan, S.S.; Kumar, V.; Kumar, A.; Singh, A.; Ali, K.; Tyagi, A. Paclobutrazol induced physio-biochemical manifestations to ameliorate water deficit stress in rice (Oryza sativa). Indian J. Agric. Sci. 2019, 89, 1832–1836. [Google Scholar] [CrossRef]
- Wu, H.; Chen, H.; Zhang, Y.; Zhang, Y.; Zhu, D.; Xiang, J. Effects of 1-aminocyclopropane-1-carboxylate and paclobutrazol on the endogenous hormones of two contrasting rice varieties under submergence stress. Plant Growth Regul. 2018, 87, 109–121. [Google Scholar] [CrossRef]
- Khunpon, B.; Cha-Um, S.; Faiyue, B.; Uthaibutra, J.; Saengnil, K. Paclobutrazol mitigates salt stress in indica rice seedlings by enhancing glutathione metabolism and glyoxalase system. Biologia 2018, 73, 1267–1276. [Google Scholar] [CrossRef]
- Sajjad, Y. Application of Plant Growth Regulators in Ornamental Plants: A Review. Pak. J. Agric. Sci. 2017, 54, 327–333. [Google Scholar] [CrossRef]
- Kumar, R.; Sarawgi, A.; Ramos, C.; Amarante, S.; Ismail, A.; Wade, L. Partitioning of dry matter during drought stress in rainfed lowland rice. Field Crop. Res. 2006, 98, 1–11. [Google Scholar] [CrossRef]
- Assuero, S.; Lorenzo, M.; Ramírez, N.P.; Velázquez, L.; Tognetti, J. Tillering promotion by paclobutrazol in wheat and its relationship with plant carbohydrate status. N. Z. J. Agric. Res. 2012, 55, 347–358. [Google Scholar] [CrossRef]
- Yim, K.-O.; Kwon, Y.W.; Bayer, D.E. Growth Responses and Allocation of Assimilates of Rice Seedlings by Paclobutrazol and Gibberellin Treatment. J. Plant Growth Regul. 1997, 16, 35–41. [Google Scholar] [CrossRef]
- Kamran, M.; Ahmad, S.; Ahmad, I.; Hussain, I.; Meng, X.; Zhang, X.; Javed, T.; Ullah, M.; Ding, R.; Xu, P.; et al. Paclobutrazol Application Favors Yield Improvement of Maize Under Semiarid Regions by Delaying Leaf Senescence and Regulating Photosynthetic Capacity and Antioxidant System During Grain-Filling Stage. Agronomy 2020, 10, 187. [Google Scholar] [CrossRef]
- Mehmood, M.Z.; Qadir, G.; Afzal, O.; Din, A.M.U.; Raza, M.A.; Khan, I.; Hassan, M.J.; Awan, S.A.; Ahmad, S.; Ansar, M.; et al. Paclobutrazol Improves Sesame Yield by Increasing Dry Matter Accumulation and Reducing Seed Shattering Under Rainfed Conditions. Int. J. Plant Prod. 2021, 15, 337–349. [Google Scholar] [CrossRef]
- Lü, W.S.; Huang, G.Q.; Shao, Z.Y.; Zeng, Y.J.; Shi, Q.H.; Pan, X.H.; Wei, S.J. Straw substrate with decomposition agent im-proving seedling quality and yield of machine-transplanted rice. Trans. Chin. Soc. Agric. Eng. 2017, 33, 195–202. (In Chinese) [Google Scholar] [CrossRef]
- Arnon, D.I. Copper enzymes in isolated chloroplasts. Polyphenoloxidase in Beta vulgaris. Plant Physiol. 1949, 24, 1–15. [Google Scholar] [CrossRef]
- Chung, N.-J. Elongation habit of mesocotyls and coleoptiles in weedy rice with high emergence ability in direct-seeding on dry paddy fields. Crop. Pasture Sci. 2010, 61, 911–917. [Google Scholar] [CrossRef]
- Huang, M.; Zou, Y.; Jiang, P.; Xia, B.; Feng, Y.; Cheng, Z.; Mo, Y. Yield Component Differences between Direct-Seeded and Transplanted Super Hybrid Rice. Plant Prod. Sci. 2011, 14, 331–338. [Google Scholar] [CrossRef]
- Huang, S.; Luo, H.; Ashraf, U.; Abrar, M.; He, L.; Zheng, A.; Wang, Z.; Zhang, T.; Tang, X. Seed Treatment with Paclobutrazol Affects Early Growth, Photosynthesis, Chlorophyll Fluorescence and Physiology of Rice. Appl. Ecol. Environ. Res. 2019, 17, 999–1012. [Google Scholar] [CrossRef]
- Anwar, S.; Lei, H.; Kuai, J.; Khan, S.; Fahad, S.; Zhou, G. Soaking seeds of winter rapeseed with Quizalofop-P-Ethyl alters plant growth and improves yield in a rice-rapeseed cropping system. Field Crop. Res. 2017, 208, 11–17. [Google Scholar] [CrossRef]
- Lin, Y.T.; Zhang, J.H.; Hu, J.J.; Zhu, L.F.; Cao, X.C.; Yu, S.M.; Jin, Q.Y. Effects of different seedling substrates on physiological characters and grain yield of mechanized-transplanted rice. J. Agric. Eng. 2016, 32, 18–26. (In Chinese) [Google Scholar] [CrossRef]
- Sun, L.M.; Hussain, S.; Liu, H.Y.; Peng, S.B.; Huang, J.L.; Cui, K.H.; Nie, L.X. Implications of low sowing rate for hybrid rice varieties under dry direct-seeded rice system in Central China. Field Crop. Res. 2015, 175, 87–95. [Google Scholar] [CrossRef]
- Huang, M.; Yang, C.; Ji, Q.; Jiang, L.; Tan, J.; Li, Y. Tillering responses of rice to plant density and nitrogen rate in a subtropical environment of southern China. Field Crop. Res. 2013, 149, 187–192. [Google Scholar] [CrossRef]
- Ao, H.; Peng, S.; Zou, Y.; Tang, Q.; Visperas, R.M. Reduction of unproductive tillers did not increase the grain yield of irrigated rice. Field Crop. Res. 2010, 116, 108–115. [Google Scholar] [CrossRef]
- Kim, J.; Shon, J.; Lee, C.-K.; Yang, W.; Yoon, Y.; Yang, W.-H.; Kim, Y.-G.; Lee, B.-W. Relationship between grain filling duration and leaf senescence of temperate rice under high temperature. Field Crop. Res. 2011, 122, 207–213. [Google Scholar] [CrossRef]
- Ajigboye, O.O.; Murchie, E.; Ray, R.V. Foliar application of isopyrazam and epoxiconazole improves photosystem II efficiency, biomass and yield in winter wheat. Pestic. Biochem. Physiol. 2014, 114, 52–60. [Google Scholar] [CrossRef] [PubMed]
- Ahmad, I.; Kamran, M.; Su, W.; Haiqi, W.; Ali, S.; Bilegjargal, B.; Ahmad, S.; Liu, T.; Cai, T.; Han, Q. Application of Uniconazole Improves Photosynthetic Efficiency of Maize by Enhancing the Antioxidant Defense Mechanism and Delaying Leaf Senescence in Semiarid Regions. J. Plant Growth Regul. 2018, 38, 855–869. [Google Scholar] [CrossRef]
- Liu, Y.; Fang, Y.; Huang, M.; Jin, Y.; Sun, J.; Tao, X.; Zhang, G.; He, K.; Zhao, Y.; Zhao, H. Uniconazole-induced starch accumulation in the bioenergy crop duckweed (Landoltia punctata) II: Transcriptome alterations of pathways involved in carbohydrate metabolism and endogenous hormone crosstalk. Biotechnol. Biofuels 2015, 8, 64. [Google Scholar] [CrossRef] [PubMed]
- Fletcher, R.A.; Gilley, A.; Sankhla, N.; Davis, T.D. Triazoles as Plant Growth Regulators and Stress Protectants. Hortic. Rev. 2000, 24, 55–138. [Google Scholar] [CrossRef]
- Luo, H.; He, L.; DU, B.; Wang, Z.; Zheng, A.; Lai, R.; Tang, X. Foliar application of selenium (Se) at heading stage induces regulation of photosynthesis, yield formation, and quality characteristics in fragrant rice. Photosynthetica 2019, 57, 1007–1014. [Google Scholar] [CrossRef]
- Duan, M.Y.; Cheng, S.R.; Lu, R.H.; Lai, R.F.; Zheng, A.X.; Ashraf, U.; Fan, P.S.; DU, B.; Luo, H.W.; Tang, X.R. Effect of Foliar Sodium Selenate on Leaf Senescence of Fragrant Rice in South China. Appl. Ecol. Environ. Res. 2019, 17, 3343–3351. [Google Scholar] [CrossRef]
- Ma, G.-H.; Yuan, L.-P. Hybrid rice achievements, development and prospect in China. J. Integr. Agric. 2015, 14, 197–205. [Google Scholar] [CrossRef]
- Peng, S.; Cassman, K.G.; Virmani, S.S.; Sheehy, J.; Khush, G.S. Yield Potential Trends of Tropical Rice since the Release of IR8 and the Challenge of Increasing Rice Yield Potential. Crop. Sci. 1999, 39, 1552–1559. [Google Scholar] [CrossRef]
- Cheng, F.; Bin, S.; Iqbal, A.; He, L.; Wei, S.; Zheng, H.; Yuan, P.; Liang, H.; Ali, I.; Xie, D.; et al. High Sink Capacity Improves Rice Grain Yield by Promoting Nitrogen and Dry Matter Accumulation. Agronomy 2022, 12, 1688. [Google Scholar] [CrossRef]
- Tahir, I.S.A.; Nakata, N. Remobilization of Nitrogen and Carbohydrate from Stems of Bread Wheat in Response to Heat Stress during Grain Filling. J. Agron. Crop. Sci. 2005, 191, 106–115. [Google Scholar] [CrossRef]
- Huang, W.D.; Shen, T.; Han, Z.H.; Liu, S. Influence of paclobutrazol on photosynthesis rate and dry matter partitioning in the apple tree. J. Plant Nutr. 1995, 18, 901–910. [Google Scholar] [CrossRef]
- Vu, J.C.V.; Yelenosky, G. Growth and photosynthesis of sweet orange plants treated with paclobutrazol. J. Plant Growth Regul. 1992, 11, 85–89. [Google Scholar] [CrossRef]
- Xu, C.; Zhao, H.; Li, Q.; Liu, X.; Zhang, Z.; Bian, S. Study on dry matter accumulation and leaf response to light and CO2 of maize under irrigation quota. Cereal Res. Commun. 2020, 48, 173–178. [Google Scholar] [CrossRef]
- Man, J.; Shi, Y.; Yu, Z.; Zhang, Y. Dry Matter Production, Photosynthesis of Flag Leaves and Water Use in Winter Wheat Are Affected by Supplemental Irrigation in the Huang-Huai-Hai Plain of China. PLoS ONE 2015, 10, e0137274. [Google Scholar] [CrossRef]
- Zhang, X.; Chen, S.; Sun, H.; Pei, D.; Wang, Y. Dry matter, harvest index, grain yield and water use efficiency as affected by water supply in winter wheat. Irrig. Sci. 2008, 27, 1–10. [Google Scholar] [CrossRef]
- Ying, J.; Peng, S.; He, Q.; Yang, H.; Yang, C.; Visperas, R.M.; Cassman, K.G. Comparison of high-yield rice in tropical and subtropical environments: I. Determinants of grain and dry matter yields. Field Crop. Res. 1998, 57, 71–84. [Google Scholar] [CrossRef]
- Yao, Y.; Yamamoto, Y.; Yoshida, T.; Nitta, Y.; Miyazaki, A. Response of differentiated and degenerated spikelets to top-dressing, shading and day/night temperature treatments in rice cultivars with large panicles. Soil Sci. Plant Nutr. 2000, 46, 631–641. [Google Scholar] [CrossRef]
- Yao, Y.; Yamamoto, Y.; Wang, Y.; Yoshida, T.; Miyazaki, A.; Nitta, Y.; Cai, J. Role of nitrogen regulation in sink and source formation of high-yielding rice cultivars. Soil Sci. Plant Nutr. 2000, 46, 825–834. [Google Scholar] [CrossRef]
- Xu, Y.; Zhang, W.; Ju, C.; Li, Y.; Yang, J.; Zhang, J. Involvement of abscisic acid in fructan hydrolysis and starch biosynthesis in wheat under soil drying. Plant Growth Regul. 2016, 80, 265–279. [Google Scholar] [CrossRef]













| Year | Cultivar | Treatment | Seedling Emergence Rate (%) | Leaf Age (Leaves) | Seeding Height (cm) | Stem Base Width (cm) | Root- Shoot Ratio | Plumpness (mg·cm−1) | Strong Seedling Index |
|---|---|---|---|---|---|---|---|---|---|
| 2021 | JYJ | CK | 72.73 a | 3.60 c | 17.55 a | 0.26 b | 0.28 d | 3.54 c | 0.92 c |
| S1 | 71.82 a | 3.85 bc | 16.63 ab | 0.29 ab | 0.34 bc | 4.12 b | 1.19 bc | ||
| S2 | 70.91 a | 4.30 a | 15.81 bc | 0.33 a | 0.38 a | 4.98 a | 1.62 a | ||
| S3 | 69.09 a | 4.15 ab | 15.14 cd | 0.31 ab | 0.36 ab | 4.86 a | 1.52 a | ||
| S4 | 67.28 a | 4.05 ab | 14.22 d | 0.30 ab | 0.32 c | 4.64 a | 1.40 ab | ||
| JJ305 | CK | 73.64 a | 3.45 b | 16.36 a | 0.31 b | 0.28 d | 3.95 d | 1.22 d | |
| S1 | 71.82 a | 3.80 ab | 15.43 ab | 0.33 ab | 0.35 b | 4.63 c | 1.52 c | ||
| S2 | 70.00 a | 4.05 a | 14.56 bc | 0.38 a | 0.37 a | 5.59 a | 2.12 a | ||
| S3 | 69.09 a | 4.00 a | 13.83 c | 0.37 a | 0.35 ab | 5.53 a | 2.03 ab | ||
| S4 | 66.37 a | 3.85 ab | 13.49 c | 0.36 ab | 0.32 c | 5.08 b | 1.80 b | ||
| 2022 | JYJ | CK | 74.55 a | 3.95 b | 19.27 a | 0.27 b | 0.29 c | 3.63 c | 0.97 c |
| S1 | 73.64 a | 4.20 ab | 18.03 b | 0.31 ab | 0.35 ab | 4.25 b | 1.30 b | ||
| S2 | 72.73 a | 4.55 a | 17.41 b | 0.34 a | 0.37 a | 4.99 a | 1.70 a | ||
| S3 | 71.82 a | 4.50 a | 16.34 c | 0.32 a | 0.36 a | 4.99 a | 1.61 a | ||
| S4 | 69.09 a | 4.25 ab | 15.32 d | 0.31 ab | 0.33 b | 4.81 a | 1.51 ab | ||
| JJ305 | CK | 75.46 a | 3.65 b | 17.66 a | 0.33 b | 0.30 d | 4.13 c | 1.35 d | |
| S1 | 73.64 a | 4.05 a | 16.53 ab | 0.36 ab | 0.35 bc | 4.83 b | 1.72 c | ||
| S2 | 71.82 a | 4.30 a | 15.76 b | 0.40 a | 0.37 a | 5.71 a | 2.24 a | ||
| S3 | 70.91 a | 4.20 a | 15.33 bc | 0.37 ab | 0.36 ab | 5.55 a | 2.04 ab | ||
| S4 | 68.19 a | 4.10 a | 14.39 c | 0.36 ab | 0.33 c | 5.33 a | 1.90 bc |
| Year | Cultivar | Treatment | Leaf | Stem-Sheath | Contribution Rate of Dry Matter Translocation to Panicle (%) | ||
|---|---|---|---|---|---|---|---|
| Translocation (t ha−1) | Translocation Rate (%) | Translocation (t ha−1) | Translocation Rate (%) | ||||
| 2021 | JYJ | CK | 0.46 b | 24.34 a | 0.32 c | 5.46 c | 12.58 a |
| S1 | 0.48 ab | 24.69 a | 0.41 b | 6.56 ab | 12.98 a | ||
| S2 | 0.54 a | 25.89 a | 0.48 a | 7.16 a | 13.74 a | ||
| S3 | 0.52 ab | 25.54 a | 0.44 ab | 6.80 ab | 13.40 a | ||
| S4 | 0.47 ab | 24.42 a | 0.37 c | 5.99 bc | 13.05 a | ||
| JJ305 | CK | 0.43 a | 22.97 a | 0.17 c | 3.02 a | 10.41 c | |
| S1 | 0.47 a | 23.77 a | 0.25 abc | 4.00 a | 11.29 abc | ||
| S2 | 0.52 a | 25.00 a | 0.32 a | 4.77 a | 12.46 a | ||
| S3 | 0.51 a | 24.82 a | 0.28 ab | 4.34 a | 11.97 ab | ||
| S4 | 0.46 a | 24.00 a | 0.20 bc | 3.27 a | 10.86 bc | ||
| 2022 | JYJ | CK | 0.48 d | 25.35 b | 0.16 b | 2.86 b | 9.99 c |
| S1 | 0.56 bc | 27.78 a | 0.24 ab | 3.92 ab | 11.32 abc | ||
| S2 | 0.63 a | 29.28 a | 0.32 a | 4.99 a | 12.86 a | ||
| S3 | 0.59 ab | 28.27 a | 0.32 a | 5.03 a | 12.48 ab | ||
| S4 | 0.53 cd | 27.00 ab | 0.22 ab | 3.70 ab | 11.18 bc | ||
| JJ305 | CK | 0.46 c | 23.96 c | 0.13 c | 2.08 c | 9.65 c | |
| S1 | 0.50 b | 24.63 abc | 0.21 b | 3.22 b | 10.80 b | ||
| S2 | 0.55 a | 26.06 a | 0.30 a | 4.43 a | 12.60 a | ||
| S3 | 0.54 a | 25.74 ab | 0.27 a | 4.02 a | 12.03 a | ||
| S4 | 0.48 bc | 24.23 bc | 0.20 b | 3.16 b | 10.86 b | ||
| Dry Matter Accumulation | ||||||
|---|---|---|---|---|---|---|
| HD | EF | MF | LF | MA | ||
| Yield | JYJ | 0.965 ** | 0.976 ** | 0.965 ** | 0.982 ** | 0.983 ** |
| JJ305 | 0.968 ** | 0.947 ** | 0.945 ** | 0.960 ** | 0.965 ** | |
Disclaimer/Publisher’s Note: The statements, opinions and data contained in all publications are solely those of the individual author(s) and contributor(s) and not of MDPI and/or the editor(s). MDPI and/or the editor(s) disclaim responsibility for any injury to people or property resulting from any ideas, methods, instructions or products referred to in the content. |
© 2023 by the authors. Licensee MDPI, Basel, Switzerland. This article is an open access article distributed under the terms and conditions of the Creative Commons Attribution (CC BY) license (https://creativecommons.org/licenses/by/4.0/).
Share and Cite
Gai, D.; Liu, W.; Liang, J.; Guo, L.; Geng, Y.; Zhang, Q.; Du, J.; Gao, J.; Shao, X. The Effects of Paclobutrazol Seed Soaking on Biomass Production and Yield Formation in Direct-Seeded Rice. Agronomy 2023, 13, 1402. https://doi.org/10.3390/agronomy13051402
Gai D, Liu W, Liang J, Guo L, Geng Y, Zhang Q, Du J, Gao J, Shao X. The Effects of Paclobutrazol Seed Soaking on Biomass Production and Yield Formation in Direct-Seeded Rice. Agronomy. 2023; 13(5):1402. https://doi.org/10.3390/agronomy13051402
Chicago/Turabian StyleGai, Dongsheng, Weiyang Liu, Jianuo Liang, Liying Guo, Yanqiu Geng, Qiang Zhang, Juan Du, Jiacong Gao, and Xiwen Shao. 2023. "The Effects of Paclobutrazol Seed Soaking on Biomass Production and Yield Formation in Direct-Seeded Rice" Agronomy 13, no. 5: 1402. https://doi.org/10.3390/agronomy13051402
APA StyleGai, D., Liu, W., Liang, J., Guo, L., Geng, Y., Zhang, Q., Du, J., Gao, J., & Shao, X. (2023). The Effects of Paclobutrazol Seed Soaking on Biomass Production and Yield Formation in Direct-Seeded Rice. Agronomy, 13(5), 1402. https://doi.org/10.3390/agronomy13051402

