Next Article in Journal
Research Status, Methods and Prospects of Air-Assisted Spray Technology
Next Article in Special Issue
Gamma-Aminobutyric Acid-Mediated Alkalinity Stress Alleviation in Lollo Rosso Lettuce under Diverse Light Spectra
Previous Article in Journal
Transcriptome Sequence Analysis of Defense Response of Resistant and Susceptible Bottle Gourd to Powdery Mildew
Previous Article in Special Issue
Physiological Response of Pea (Pisum sativum L.) Plants to Foliar Application of Biostimulants
 
 
Font Type:
Arial Georgia Verdana
Font Size:
Aa Aa Aa
Line Spacing:
Column Width:
Background:
Article

Polyphenolic Acid Changes in Stem Cuttings of Rosa Cultivars in Relation to Phenological Stage and Rooting Enhancers

by
Marta Joanna Monder
* and
Andrzej Pacholczak
Section of Ornamental Plants, Warsaw University of Life Sciences, 159 Nowoursynowska St., 02-787 Warsaw, Poland
*
Author to whom correspondence should be addressed.
Agronomy 2023, 13(5), 1405; https://doi.org/10.3390/agronomy13051405
Submission received: 25 March 2023 / Revised: 30 April 2023 / Accepted: 17 May 2023 / Published: 19 May 2023

Abstract

Biostimulants and rooting enhancers, i.e., auxins, affect many aspects of plant development. The experiment in this paper focused on the response of single-node rose semi-woody cuttings to rhizogenesis-enhancing preparations based on plant extracts in terms of changes in polyphenolic acid content. The shoots were cut at four stages of flowering development: (i) flower buds closed, (ii) open flower, (iii) immediately after petal shedding, (iv) 7–14 days after petal shedding. The experimental material consisted of six old, once-flowering rose cultivars (‘Duchesse d’Angoulême’, ‘Hurdals’, ‘Maiden’s Blush’, ‘Mousseuse Rouge’, Rosa beggeriana ‘Polstjårnan’, R. helenae ‘Semiplena’). The following rooting-enhancers were applied: commercial powder containing (i) 0.4% indolebutyric acid (IBA) or (ii) 0.2% naphthalene acetic acid (NAA) or commercial plant-extract mixtures named in the experiment, i.e., (iii) Seaweed Preparation, (iv) Humic Preparation, and (v) Plant Preparation, and (vi) the control cuttings, which remained untreated. The level of polyphenolic acids was determined before and after rooting. The content of polyphenolic acids had a tendency to decrease during the period of rhizogenesis for all cultivars and all phenological stages. Changes in polyphenolics were affected by all the rooting enhancers, but the contents of these compounds before and after rooting was not found to unambiguously correlate with either the final rooting percentage or quality of cuttings.

1. Introduction

The adventitious root formation in process of rhizogenesis in roses depends on many aspects widely tested and discussed in literature, such as rooting enhancers [1,2], rooting substrates [3,4,5], and phenological phase of stock plants [6,7,8]. Historical roses are especially difficult to propagate, with the process of rhizogenesis lasting for a minimum of 12 weeks and connected with low quality of rooted cuttings [5,6,9].
Adventitious root formation is a complicate process running in response to different environmental signals, including stress factors [10], and regulated by hormones [10,11,12] and molecular frames [10,11]. It is a basic process in asexual cloning and includes two general phases: (i) root induction and (ii) formation. While the first phase requires higher auxin concentration, the second phase is decelerated by high auxin content and associated with anatomical changes [13]. In stem cuttings of trees and shrubs, the quantity of reserves is often a restraining Indicator decisive for the survival and initial growth stage of cutting [14]. In the process of rhizogenesis, the fluctuations in level of reducing and total carbohydrates in leaves and shoots of rose cuttings is addicted to the phenological stage of stock plants, the taxa [7], and the rooting enhancers used [15,16]. From a biochemical perspective, rhizogenesis involves phenolic compounds that may influence on the activity of certain enzymes engaged in root formation [17,18].
Polyphenols are a various group of compounds that includes phenolic acids, flavonoids, stilbenoids, and lignans [19]. Phenolic acids may be split into two groups considering their structure: derivatives of benzoic acid (hydroxybenzoic acids, C6–C1) and derivatives of cinnamic acid (hydroxycinnamic acids, C6–C3) [20]. Phenolic acids synthetized by plants are strong antioxidants and may be partially responsible for scavenging harmful reactive oxygen species (ROS) appearing under abiotic stress [21]. The accumulation of phenolic acids has been noted in reaction to various types of abiotic stresses, e.g., temperature [22], nanoparticles, pesticides [23], wounding, and graft incompatibility [24]. Moreover, the phenolic acids are playing a major role in plant resistance to the pathogens, e.g., as the important signaling molecules in plant response to the reaction on microbial attack and a factor in induced defense mechanisms [25]. The synthesis of phenolic acids and their by-products is also connected with the plant–microbe symbiosis system [26].
Phenolic compounds are supposed to accelerate metabolism by stimulating respiratory rate in mitochondria. Their action is also associated with decreasing cytoplasm viscosity, which makes the transport of compounds within and outside cells easier, as well as stabilizing the products of biochemical reactions [27]. IAA oxidation at the rooting initiation phase (i) seems to be associated with auxin response. Root formation (ii) may be encouraged by IAA oxidation products, in particular when merged with the phenolic compounds included in stem tissues [28]. The role of phenolic compounds relies on inhibiting IAA oxidase, securing autogenous auxin against oxidation, and thereby raising its content. These phenolic compounds are capable of building also phenol-IAA complexes, which are recognized as rooting cofactors and catalysts of auxin metabolism. Phenolic compounds may as well contribute to a rise in the array of auxin receptors [18,29] and attend in the formation of lining cell walls [30]. Michalak [31] showed that they contribute to the activity of some enzymes participating in redox reactions as well as to the defense system against joint action of several stressors. Moreover, some endogenous phenolic acids in roots nodule regulate morphogenesis of Vigna mungo by induction of the Rhizobium bacteria to IAA production [32].
The application of agents containing endogenous auxins, such as indole butyric acid or naphthalene acetic acid, has been a routine practice in propagation by cuttings [33]. The EU Council Directives recommend using integrated methods of sustainable cultivation and pest and disease control in plant production (no. 91/414/EEC, 2009/128/WE) [34,35]. Preparation of natural origin, including plant and seaweed extracts, are preferred by the National Organic Program USDA [36] and Organic Materials Review Institute [37]. Research on the effect of these ecological products on the physiological processes in plants focus mainly on agricultural crops and fruit plants [38], while rarely involving rooting of cuttings or broadly ornamental plants [5,9,15,16,39,40,41]. Specific commercial rooting agents, based on seaweed or plant extracts and recommended for rooting and replanting, are chosen to the presented experiments on roses: Bio Rhizotonic (Canna Continental, Los Angeles, CA, USA) [42], Root JuiceTM (BioBizz Worldwide B.V., Groningen, THE Netherlands) [43] and Bio Roots (General Hydroponics Europe, Fleurance, France) [44,45]. These above contain numerous biologically active compounds which make them qualify as humic substances (Table 1). They may be widely used in plant care and protection. The application of humic substances results in higher accumulation of nutrient in the cuttings’ tissues and forceful influences on metabolic processes [46].
Historical roses are used to maintain both biodiversity and heritage, and due to their potential universal use and ecological function [47]. The propagation by single-node leafy stem cuttings is the easiest, yet economical, and because of that, it is the standard method in rose propagation. Unfortunately, for old cultivated taxa and species of roses, the above-mentioned method has, in practice, varying effectiveness depending on the taxa, and it is frequently ineffective. The process of adventitious root formation in old roses is often long [7] regardless of the rooting enhancers used [48,49]. During rhizogenesis, cuttings are exposed to stress factors. Their reaction depends on numerous elements, e.g., the age [46] and physiological [7,41] and anatomical status of stock plants [8,40,50]. Adventitious roots may form in various ways in rose taxa [8,40,50,51] and in taxa of other genera [12] in reaction to wounding [47].
In the case of historical roses cuttings, the important role of the phenological stage of stock plant has been proven [7,8] to be connected with their physiological [5,9,15,16,52] and anatomical changes [8,40,51] before and after the rooting of cuttings. This work focuses on the response of six once blooming historical rose cuttings prepared from shoots in various phenology flowering development stage [7] to preparations based on plant origin in the process of rhizogenesis in terms of changes in polyphenolic acid content in plant material. The experiment is a continuation of ongoing work on understanding the biological basis of the rhizogenesis processes in difficult-rooting roses.

2. Materials and Methods

2.1. Stock Plants and Experiment Establishment

The stock plants constituted in experiment constituted of six taxa of historical roses cuttings that were selected for the experiment [48,53,54]:
(A)
‘Duchesse d’Angoulême’, Hybrid Gallica (Jean-Pierre Vibert, France 1821);
(B)
‘Hurdals’, Alba/Hybrid Villosa (Germany/Norway; unknown origin);
(C)
‘Maiden’s Blush’, Alba (unknown origin, before 1400);
(D)
‘Mousseuse Rouge’, Moss (unknown origin, before 1842);
(E)
Rosa beggeriana ‘Polstjårnan’ (Wasastjarna, Finland 1937) (unknown origin, Valdemar Petersen);
(F)
Rosa helenae ‘Semiplena’ (Figure 1).
The 5–7 year-old-rose stock shrubs grew in the National Collection of Rose Cultivars in the Polish Academy of Sciences Botanical Garden, Centre of Biological Diversity Conservation in Powsin, Warsaw, Poland. The shrubs were cultivated in optimal conditions. The shoots for the cuttings were cut during four phenological stages in relation to the BBCH scale [55], marked in the manuscript by the letter P:
  • P1—54 504, just before of flowering (flower buds closed);
  • P2—69 605, full flowering (at least 50% of flowers opened);
  • P3—69 629, end of flowering (immediately after petal shedding);
  • P4—70 701, fruit set: start of hip growth [55] (7–14 days after shedding petals) (Figure 2A).
The single-node leafy stem cuttings were cut at the morning and planted in plastic multipot trays, with single-pot dimensions of 6.5 × 6.5 cm and a volume of 98 cm3, in peat-sand medium (v:v 1:1; pH 6–6.5). The peat was bought (Karaska company; Karaska, Poland) and the sand (fraction of grain size: 1.25–2.00 mm) extracted from the River Vistula (Poland). The planted cuttings after appropriately treatment were inserted in a plastic nursery tunnel (23–25 °C, ambient relative humidity 80–90%) in the farm of M & M Kryt in Wola Prażmowska (51.56° N, 20.28° E), Poland.
The rose cuttings from each phenological stage were prepared with the use: (1) powder with 0.4% IBA and (2) powder with 0.2% NAA, where both powders were appended by plunging the 1 cm basal part of a cutting; (3) three-fold fertigation with 0.6% Seaweed Preparation (on the first day, 10 and 20 days later); (4) fertigation once with 0.4% Humic Preparation; (5) fertigation with 0.02% Plant Preparation. The fertigation was done for 10 cm3 per one pot (98 cm3). The untreated cuttings served as the control (1) (Table 1; Figure 3).

2.2. Assessment of Growth Parameters in Rose Cuttings

The stem cuttings were rooted for 12 weeks, then carefully were taken off from multipots, and the remnants of the medium were washed with water out. Rooting percentage was assessed in relation to the number of prepared cuttings (i) [49], and root architecture were evaluated as rooting degree in valuation scale (Figure 2B) [5,9,15,16,49]. The cuttings were also weighted (analytical balance, PS 6000/C/2, RADWAG, Radom, Poland) and the total leaf area was measured, including the stock plant leaf and all leaves on the growing young shoot (leaf area meter, AM 300, ADC BioScientific, Ltd., Hoddesdon, UK).
The rooting percentage, number of cuttings with retained stock plant leaf [%] (ii), and cuttings with a growing shoot [%] (iii) were assessed according to the number of planted (i) or rooted (ii, iii) cuttings [9].

2.3. Biochemical Analysis

Plant material for polyphenolic acid determinations (stems and leaves) was kept frozen at −18 °C until the date of analysis. The total content of the polyphenolic acids was determined in plant material from cuttings from all the phenological stages of the shoot, before (the day of preparation and planting of the cuttings) and after rooting (12 weeks later, after rooting). The colorimetric method with Arnow’s reagent was used ([56], Polish Norm PN-91/R-87019). Absorbance was measured on Shimadzu UV-1601 PC spectrophotometer at the wave length of 490 nm in regards the reference sample test. The content of polyphenolic acids was calculated into caffeic acid. Tri-fold extracts were assessed for each treatment, and three measurements were made for each extract. The analyses were conducted in the Section of Ornamental Plants, Warsaw University of Life Sciences (WULS), Warsaw, Poland.

2.4. Statistical Analysis

The test involved six treatments in four phenological stages of stock plants. The cuttings of each phenological stage consisted of four replications, each replication containing 10 cuttings. In total, 960 single-node cuttings were prepared for each rose taxa. The multipots with cuttings were arranged as randomized complete block design (RCBD) separately for each phenological stage and taxa. For data analysis, one- and two-way (phase, treatment) analyses of variance (ANOVA), taking the significance level α = 0.05, were conducted using STATISTICA 13.3 (StatSoft, Cracow, Poland) software. The percentage values were transformed by calculating the Bliss function ARCSIN(x)1/2 or y = x2 + (x2 + 1)2 to compare the means before statistical analyses [57].
The Pearson correlation coefficient between the content of polyphenolic acids and the rooting percentage, cuttings with retained stock plant leaf, cuttings with growing shoots as well as rooting degree, total leaf area, and weight of rooted cuttings were examined separately for each combination. The Pearson correlation was conducted with the use of SPSS (IBM, Armonk, NY, USA). Correlation significance at p < 0.05 was determined (0.30–0.49–restrained; 0.50–0.69–high; >0.70–very high) [57].

3. Results

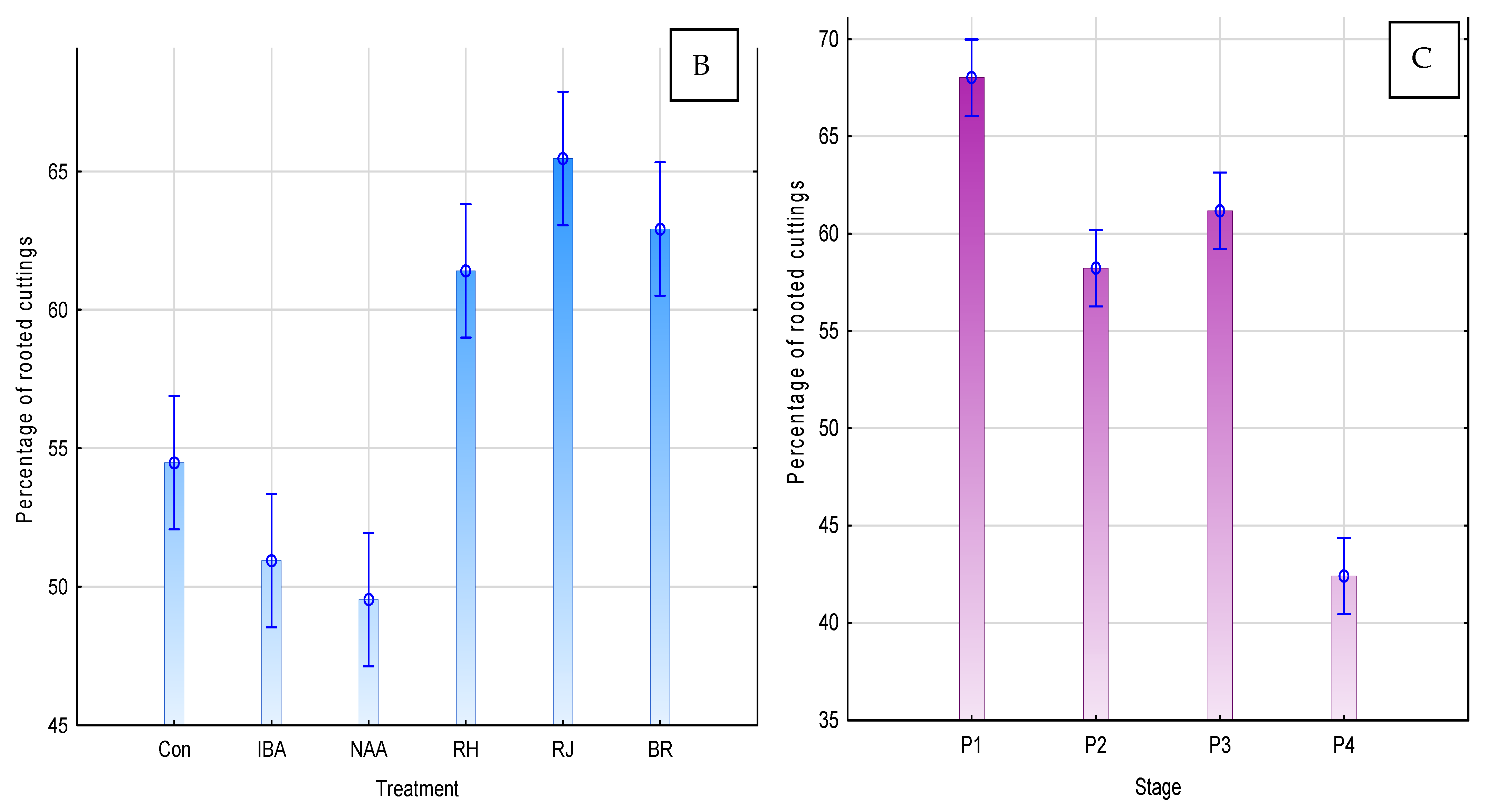
The rooting percentage varied in relation to taxa and used rooting enhancers (Figure 4A,B). However, the key role in rooting cuttings play phenological stage of shoots (Figure 4C). The further details of growth parameters are presented in Figures S1–S6.
Phenolic acid content varied significantly in the six taxa of historical roses (‘Duchesse d’Angoulême’, ‘Hurdal’, ‘Maiden’s Blush’, ‘Mousseuse Rouge’, Rosa helenae ‘Semiplena’, Rosa beggeriana ‘Polstjårnan’). Moreover, the content of polyphenolic acids in cuttings before rooting, measured in plant material derived from shoots’ four phenological stages, was significantly rife and changed taking account the taxa and phenological stage of harvested shoots. As for results obtained for cuttings prior to rooting, the means for their shoots in subsequent phases can be distinguished into the following groups: low (‘Hurdals’, ‘Mousseuse Rouge’), average (‘Polstjårnan’, ‘Semiplena’), and high (‘Duchesse d’Angoulême’, ‘Maiden’s Blush’) (Figure 5A).
In the next step of the experiment, the results showed the key influence of the phenological stage of shoots on the content of phenolic acids after rooting (Figure 5). Additionally, the results differed not only in relation to the taxa and phenological stage of stem cut for cuttings but also to the rooting enhancers used (Figure 5B).

3.1. Rosa ‘Duchesse d’Angoulême’ Response

The total content of polyphenolic acids in the plant material of ‘Duchesse d’Angoulême’ was at a higher level in stage P1 than P2–P4 cuttings before rooting. The content of phenolic acids was decreased during the rhizogenesis process in P1, P3, and P4 cuttings (Figure 6A).
In the case of P1 and P3 cuttings, phenolic acid content increased after treatment with 0.4% Humic Preparation and 0.02% Plant Preparation. The level of content phenolic acids did not differ between P4 cuttings treated with rooting enhancers and the control. However, the level of phenolic acids in P2 cuttings was increased after rooting, and all rooting enhancers caused a decrease in the content of phenolic acids (Figure 6A).

3.2. Rosa ‘Hurdal’ Response

The total content of polyphenolic acids in the plant material of ‘Hurdal’ cuttings was at a similar level before rooting in P2, P3, and P4 cuttings (Figure 6B) and higher in P1. The measurements after rooting showed a decrease of content in P1 but an increase in P2 and P3 cuttings (Figure 6B). The cuttings of P4 stage did not root (Figure S2).
The use of IBA, NAA, 0.6% Seaweed Preparation, and 0.4% Humic Preparation contributed to higher polyphenolic acid content in P1 cuttings. In the case of P2 and P3, all rooting agents caused the content of these compounds to increase (Figure 6B).

3.3. Rosa ‘Maiden’s Blush’ Response

Polyphenolic acids content was highest in cuttings before rooting at stage P1 and lowest in P3 and P4 cuttings. The level of polyphenolic acid content was decreased in ‘Maiden’s Blush’ cuttings for all phenological stages P1–P4 in the rooting process (Figure 7A).
In the case of P1 cuttings, the watering of 0.4% Humic Preparation and 0.02% Plant Preparation caused the content of polyphenolic acids to increase, whereas the use of 0.6% Seaweed Preparation to decrease. P2 cuttings treated with all rooting enhancers excluding 0.4% Humic Preparation reacted with a rise in the content of polyphenolic acids. In the case of P3 cuttings, all rooting enhancers apart from the 0.02% Plant Preparation increased tested compounds. Watering with 0.02% Plant Preparation caused increased levels of polyphenolic acid content in P4 cuttings, while the use of NAA and 0.6% Seaweed Preparation decreased their content in relation to control cuttings (Figure 7A).

3.4. Rosa ‘Mousseuse Rouge’ Response

Polyphenolic acids content in cuttings before rooting was higher for stage P2 compared to P1 cuttings. The level of polyphenolic acid content was decreased in ‘Mousseuse Rouge’ P1–P3 stage cuttings in the rooting process (Figure 7B).
All of the tested rooting enhancers effect on raising the polyphenolic acid content, but the response of cuttings differed depending on the phenological stage of shoots. The content level was not affected for P1 treated with 0.4% Humic Preparation; P2 with 0.4% Humic Preparation and 0.02% Plant Preparation; P3 with IBA; and P4 with 0.02% Plant Preparation (Figure 7B).

3.5. Rosa beggeriana ‘Polstjårnan’ Response

Polyphenolic acids content in cuttings before rooting was higher in stages P1 and P3 compared to P2 and P4. Its level was increased in ‘Polstjårnan’ cuttings of stages P2–P4 in the rooting process compared with P1 and P3, which maintained similar values (Figure 8A).
In the case of rooted P1 cuttings, the use of IBA caused polyphenolic acid content to increase, while watering with 0.4% Humic Preparation and 0.02% Plant Preparation caused it to decrease. All of the rooting enhancers decreased the content of polyphenolic acids in P2 cuttings. Treatment with 0.6% Seaweed Preparation caused an increase, while 0.4% Humic Preparation and 0.2% Plant Preparation a decrease the level of polyphenolic acids in P3 cuttings. The rooting enhancers did not influence the tested content in the case of P4 cuttings (Figure 8A).

3.6. Rosa helenae ‘Semiplena’ Response

Polyphenolic acid content in cuttings before rooting was higher in stages P1, P3, and P4 compared to P2 cuttings. Its level was increased in ‘Semiplena’ cuttings from stages P1, P3, and P4 in the rooting process compared with P2, for which it maintained a similar level (Figure 8B).
When it comes to rooted P1 cuttings, only the fertigation of 0.02% Plant Preparation affected polyphenolic acid content, decreasing it compared to the control. All rooting enhancers increased the level of polyphenolic acids in stage P2 cuttings. The dipping in IBA and NAA decreased, and while the watering of 0.02% Plant Preparation increased, the level of polyphenolic acids content in P3 cuttings. In the case of P4 cuttings, only the use of 0.6% Seaweed Preparation increased the tested compounds in relation to the control cuttings (Figure 8B).

3.7. Correlation between Polyphenolic Acids and the Effectiveness of Rhizogenesis

Correlation analysis performed for the rooted stem cuttings ‘Duchesse d’Angoulême’, ‘Hurdal’, ‘Maiden’s Blush’, and Rosa helenae ‘Semiplena’, derived from shoots at four phenological stages of flowering development, showed multiple relationships between the changes in polyphenolic acids content before and after rooting and the rooting percentage, rooting architecture, weight of cutting, total leaf area, and percentage of rooted cuttings with retained stock plant leaf and with growing new shoots, both in control cuttings and after rooting enhancers application. In the case of Rosa beggeriana ‘Polstjårnan’, correlation analysis of the rooted cuttings derived from shoots in phenological stages P1, P3, and P4 presented a relationship between the rise in the percentage of rooted cuttings and the content of polyphenolic acids, before and after rooting. The decrease in polyphenolic acids was related to an increase in the rooting percentage P3 cuttings. Moreover, for all taxa, the correlation analyses showed a difference in the effect of rooting agents in relation to phenological stage. Rooting enhancers considerably affected both effectiveness and quality of cuttings (Figure 9, Figure 10, Figure 11, Figure 12, Figure 13 and Figure 14).
Correlation analysis for ‘Duchesse d’Angoulême’ control cuttings did not show any relationship between the rise in the rooting percentage and the contents of polyphenolic acids before the rooting process (Figure 9).
When it comes to ‘Hurdal’, the correlation analysis of control cuttings proved a relationship between the rise in the percentage of forming roots cuttings and the contents of polyphenolic acids before the rooting process only in P3 stage cuttings (Figure 10). Cuttings from stage P4 were not considered due to lack of root formation (Figure S2).
The correlation analysis of control cuttings ‘Maiden’s Blush’ showed the relationship between the rise in the percentage of forming roots cuttings and the contents of polyphenolic acids before the rooting process to decrease for P3 stage and increase for P1 and P2 (Figure 11).
Control cuttings of ‘Mousseuse Rouge’ cut from shoots of all phenological stages showed a significant correlation between the rooting percentage and content of polyphenolic acids (Figure 12).
The use of rooting enhancers of the cuttings Rosa beggeriana ‘Polstjårnan’ changed both the rooting percentage and quality of cuttings at all phenology stages (Figure 13).
In R. helenae ‘Semiplena’, the higher polyphenolic content in cuttings at stages P1 and P3, before rooting, were correlated with a higher percentage of rooted cuttings, while the decrease in polyphenolic acids in P2 and P4 was correlated with an increase in the rooting percentage (Figure 14).

4. Discussion

In the research established on historical rose taxa (‘Duchesse d’Angoulême’–Gallica, ‘Hurdals’–Alba/Villosa, ‘Maiden’s Blush’–Alba, ‘Mousseuse Rouge’–Moss, Rosa beggeriana ‘Polstjårnan’, R. helenae ‘Semiplena’), the phenological stage of the shoots from which the cuttings were taken made an essential difference to the content of polyphenolic acids. However, a complicated correlation was found between the contents of polyphenolic acids at the moment of taking cuttings and the efficiency of rhizogenesis and quality of cuttings. Additionally, root formation enhancers influenced the results significantly. The reason for such complicated and inconclusive results may be the diversity of processes in which polyphenolic acids are involved [19], as well as the complicated mechanisms of action of plant extract preparations, which are not fully understood. However, the role of phenolic compounds in process of rhizogenesis may be positive and connected with, e.g., (i) stimulating auxins production, (ii) activity as rooting cofactor, and (iii) comprehensive interaction leading to biochemical reaction and lignin formation. The negative effect of phenolic compounds in root formation is associated with stimulating IAA oxidation [58]. The rosmarinic and p-comaric acids were determined in callus and adventitious roots of Basilicum polystachyon (L.) Moench [59]. Additionally, the higher ability to root formation in young individuals and the immature phase to mature phase transition were proved in research on forests woody plants [60]. This similarity may be considered in higher rooting ability in shoots of earliest flowering phase (flower buds closed) in roses [7]. However, the mechanism which regulates ability or loosing ability to root formation remains unknown [60].
In this experiment, a decrease in the content of polyphenolic acids in the process of rhizogenesis was observed in rooted cuttings of all cultivars, harvested in different phenological stages. Pacholczak et al. [61] studied root formation in stem cuttings of Physocarpus opulifolius ‘Red Baron’, and in the first year, they found a decrease of polyphenolic acids in cuttings treated with the water IBA solution, while in the second year an increase in polyphenolics occurred in the same plant material [62]. Phenolic compounds are connected with plant response to biotic and abiotic stresses [19], including wounding by grafting [24]. Caffeic acid methylation forms ferulic acid, which, together with p-coumaric acid, is a precursor of the important natural polymer lignin [20]. Lignin biosynthesis is the important factor in plant growth and development [63] because of their key role in cell walls also in the case of abiotic stresses action [64,65].
In roses, agents containing plant extract affected the content of polyphenolic compounds, which increased in ‘Semiplena’ cuttings made in phase P2 and P3 and treated with Seaweed Preparation and Humic Preparation. Similarly, in smoke tree cuttings, phenolics increased after the application of biostimulator Route [66]. Different results were obtained in ‘Polstjarnan’, for which the above-mentioned biostimulators decreased the phenolics’ content in Figure S3 cuttings, similarly to tomato and red pepper treated with Asahi SL, a biostimulator reported to hasten plant response to stress and improve plant quality [67].
No important changes after using AlgaminoPlant and HumiPlant were found in the content of polyphenolic acids during root formation in Cotinus coggygria ‘Young Lady’ cuttings [68]. However, during the rhizogenesis of Physocarpus opulifolius, increases in the polyphenolic acid level in the plant material treated with AminoTotal and AlgaminoPlant were observed [39]. In roses, the application of the other preparations of plant origin and 0.4% IBA caused in a decrease in this parameter. The treating of basil with AminoPlant and Goëmar Goteo decreased the level of polyphenolic acids in the above-ground plant part (in the fresh herb) [69]. The level of these compounds increased in sunflower leaves after the use of a 5% extract from Sargassum wighti [70]. Elevated content of phenolic compounds affects the activity of certain enzymes participating in redox reactions as well as a plant’s general defense system when several stressors are activated [25,26], as happens during the rooting of Rosa cuttings.
Two ways of working are ascribed to phenolic compounds: they may operate as competing oxidation substrates for IAA-oxydase instead of IAA or they may function as free radical scavengers [71]. Higher amounts of these phenolic substances mean more IAA in plant tissues. However, the results of this work showed that the contents of polyphenolic acids did not correlate with percentage of rooted cuttings or anatomical changes [16,40,41], which might suggest that they were present in sufficient amounts to initiate rhizogenesis. Even the lowest content of phenolics did not cause negative changes in the effectiveness of root formation of rose cuttings. In summary, the phenolic acids concentration has no direct effect on rooting. However, the monophenols and m-diphenols, due to stimulation IAA oxidation, decrease adventitious root formation ability in plants [58]. The promotion or inhibition of root formation in the case of phenolic compounds depends on their chemical type and physiological and biochemical role [58,59].
Since scientists and farmers are searching for more ecological and sustainable cultivation technologies, the possibility of using preparation of natural origin, including biostimulants and seaweed preparations, in the root formation of cuttings of various ornamental plants is being examined [72]. The majority of biopreparations produced from majority algae species may contain auxins or its derivatives in different concentrations [73,74]. Kelpac and Seamac used as rooting preparation may provide cuttings with enough auxins to stimulate rhizogenesis [75]. The seaweed extracts may also stimulate cuttings to produce auxins [58]. The biologically active component in seaweed extracts, e.g., polysaccharides, polyphenols, and phytohormones, promote the growth under stressed and normal conditions [76].
The plant extract preparations may be advised in the ecological cultivation at different stages of plant production in farming and horticulture [34,35,36,37]. The advisability of using biostimulants including plant extract preparations for enhancing root formation in woody plants nursery production has been described before in the rose ‘Duchesse d’Angoulême’ [45], ‘Hurdals’ [5], and ‘Maiden’s Blush’ [9], which are generally difficult to root and for which the process of rhizogenesis lasts a long time. The improvement of root formation and effectiveness of rhizogenesis processes of rose cuttings harvested in properly phenology stage of stock plant and additionally watering with preparation of plant origin by circa 30% relative to the untreated control might have been due to supplementation of unknown rooting cofactors and IAA-like compounds present in the agents as well as other factors, such as more nutrients provided to the cuttings [46].

5. Conclusions

The phenological stage of flowering development in stock plants shoots harvested for cuttings has a dominant effect on the polyphenolic acid content for all the researched taxa of genus Rosa (‘Duchesse d’Angoulême’, ‘Hurdals’, ‘Maiden’s Blush’, ‘Mousseuse Rouge’, Rosa beggeriana ‘Polstjårnan’, R. helenae ‘Semiplena’), regardless of their origin.
With respect to the level of polyphenolic acid content after rooting, the activity of IBA, NAA, and natural-origin preparations changed for each phenological stage and taxa. The increase or decrease in polyphenolic acid content was not clearly related to an improvement in rooting effectiveness or growth parameters of cuttings (rooting degree, weight of cutting, leaf area, percentage of cuttings with lived green stock plant leaf and with growing young shoot). However, the tendency for polyphenolic acids to increase (‘Duchesse d`Angoulême’, ‘Hurdal’, ‘Mousseuse Rouge’) or decrease (‘Maiden’s Blush’, ‘Polstjarnan’, Semiplena’) in relation to control cuttings may also be observed after the use of rooting enhancers. Identification of phenolic compounds may bring knowledge about the detailed mechanisms of their action.

Supplementary Materials

The following supporting information can be downloaded at: https://www.mdpi.com/article/10.3390/agronomy13051405/s1, Figure S1. Growth parameters: (A) percentage of rooted cuttings (%), (B) rooting degree (valuation scale), (C) fresh weight (g), (D) percentage of cuttings with retained stock plant leaf and (E) new shoot, (F) total leaf area (mm2) of Rosa ‘Duchesse d’Angoulême’. Phenological stages: P1, flower buds closed; P2, at least 50% of flowers opened; P3, immediately after petals shedding; P4, 7–14 days after shedding petals. Treatment: Bef, before rooting; Con, control; IBA, 0.4% IBA; NAA, 0.2% NAA; RH, 0.6% Seaweed Preparation; RJ, 0.4% Humic Preparation; BR, 0.02% Plant Preparation. Vertical bars indicate 95% confidence intervals for the means (two-way ANOVA). Figures (A) and (B) according to data published [49]. Figure S2. Growth parameters: (A) percentage of rooted cuttings (%), (B) rooting degree (valuation scale), (C) fresh weight (g), (D) percentage of cuttings with retained stock plant leaf and (E) new shoot, (F) total leaf area (mm2) of Rosa ‘Hurdal’. Phenological stages: P1, flower buds closed; P2, at least 50% of flowers opened; P3, immediately after petals shedding; P4, 7–14 days after shedding petals. Treatment: Bef, before rooting; Con, control; IBA, 0.4% IBA; NAA, 0.2% NAA; RH, 0.6% Seaweed Preparation; RJ, 0.4% Humic Preparation; BR, 0.02% Plant Preparation. Vertical bars indicate 95% confidence intervals for the means (two-way ANOVA). Figures (A)–(F) according to data published [5]. Figure S3. Growth parameters: (A) percentage of rooted cuttings (%), (B) rooting degree (valuation scale), (C) fresh weight (g), (D) percentage of cuttings with retained stock plant leaf and (E) new shoot, (F) total leaf area (mm2) of Rosa ‘Maiden’s Blush’. Phenological stages: P1, flower buds closed; P2, at least 50% of flowers opened; P3, immediately after petals shedding; P4, 7–14 days after shedding petals. Treatment: Bef, before rooting; Con, control; IBA, 0.4% IBA; NAA, 0.2% NAA; RH, 0.6% Seaweed Preparation; RJ, 0.4% Humic Preparation; BR, 0.02% Plant Preparation. Vertical bars indicate 95% confidence intervals for the means (two-way ANOVA). Figures (A)–(F) according to data published [9]. Figure S4. Growth parameters: (A) percentage of rooted cuttings (%), (B) rooting degree (valuation scale), (C) fresh weight (g), (D) percentage of cuttings with retained stock plant leaf and (E) new shoot, (F) total leaf area (mm2) of Rosa ‘Mousseuse Rouge’. Phenological stages: P1, flower buds closed; P2, at least 50% of flowers opened; P3, immediately after petals shedding; P4, 7–14 days after shedding petals. Treatment: Bef, before rooting; Con, control; IBA, 0.4% IBA; NAA, 0.2% NAA; RH, 0.6% Seaweed Preparation; RJ, 0.4% Humic Preparation; BR, 0.02% Plant Preparation. Vertical bars indicate 95% confidence intervals for the means (two-way ANOVA). Figure S5. Growth parameters: (A) percentage of rooted cuttings (%), (B) rooting degree (valuation scale), (C) fresh weight (g), (D) percentage of cuttings with retained stock plant leaf and (E) new shoot, (F) total leaf area (mm2) of Rosa beggeriana ‘Polstjårnan’. Phenological stages: P1, flower buds closed; P2, at least 50% of flowers opened; P3, immediately after petals shedding; P4, 7–14 days after shedding petals. Treatment: Bef, before rooting; Con, control; IBA, 0.4% IBA; NAA, 0.2% NAA; RH, 0.6% Seaweed Preparation; RJ, 0.4% Humic Preparation; BR, 0.02% Plant Preparation. Vertical bars indicate 95% confidence intervals for the means (two-way ANOVA). Figures (A) and (B) according to data published [51]. Figure S6. Growth parameters: (A) percentage of rooted cuttings (%), (B) rooting degree (valuation scale), (C) fresh weight (g), (D) percentage of cuttings with retained stock plant leaf and (E) new shoot, (F) total leaf area (mm2) of Rosa helenae ‘Semiplena’. Phenological stages: P1, flower buds closed; P2, at least 50% of flowers opened; P3, immediately after petals shedding; P4, 7–14 days after shedding petals. Treatment: Bef, before rooting; Con, control; IBA, 0.4 % IBA; NAA, 0.2% NAA; RH, 0.6% Seaweed Preparation; RJ, 0.4% Humic Preparation; BR, 0.02 % Plant Preparation. Vertical bars indicate 95% confidence intervals for the means (two-way ANOVA). Figures (A) and (B) according to data published [51].

Author Contributions

Conceptualization, M.J.M.; methodology, M.J.M. and A.P.; software, M.J.M.; validation, M.J.M.; formal analysis, M.J.M. and A.P.; investigation, M.J.M. and A.P.; resources, M.J.M. and A.P.; data curation, M.J.M. and A.P.; writing—original draft preparation, M.J.M. and A.P.; writing—review and editing, M.J.M. and A.P.; visualization, M.J.M.; supervision, M.J.M.; project administration, M.J.M.; funding acquisition, M.J.M. All authors have read and agreed to the published version of the manuscript.

Funding

This research was granted funding by the National Science Centre, project no. NN 310008240.

Institutional Review Board Statement

Not applicable.

Informed Consent Statement

Not applicable.

Data Availability Statement

The data supporting the conclusions will be made available by the authors on the request.

Acknowledgments

We thank you the commercial nursery M. & M. Kryt in Wola Prażmowska for possibility conducting experiment and their professional staff assistance.

Conflicts of Interest

The authors declare no conflict of interest.

References

  1. Pivetta, K.F.L.; Pereira, F.M.; Banzatto, D.A.; Grabiano, T.T. Effect of type of cutting and indolbutyric acid on the rooting of rose (Rosa sp. ‘Red Succes’) leaf cuttings during two seasons. Acta Hortic. 1999, 482, 333–338. [Google Scholar] [CrossRef]
  2. Hoşafçi, H.; Arslan, N.; Sarihan, E.O. Propagation of dog rose (Rosa canina L.) plants by softwood cuttings. Acta Hortic. 2005, 690, 139–142. [Google Scholar] [CrossRef]
  3. Ercişli, S.; Eşitken, A.; Anapali, O.; Şahin, U. Effects of substrate and IBA-concentration on adventitious root formation on hardwood cuttings of Rosa dumalis. Acta Hortic. 2005, 751, 149–152. [Google Scholar] [CrossRef]
  4. Cárdenaz-Navarro, R.; López-Perez, L. Vegetative propagation of rose: Effects of substrate, light and leaf persistence. Sci. Agropecu. 2011, 2, 203–211. [Google Scholar] [CrossRef]
  5. Monder, M.J.; Niedzielski, M.; Woliński, K. The pivotal role of phenological stages enhanced by plant origin preparations in the process of rhizogenesis of Rosa ‘Hurdal’ stem cuttings. Agriculture 2022, 12, 158. [Google Scholar] [CrossRef]
  6. Pihlajaniemi, H.; Siurainen, M.; Rautio, P.; Laine, K.; Peteri, S.L.; Huttunen, S. Field evaluation of phenology and success of hardy, micropropagated old shrub roses in northern Finland. Acta Agric. Scand. B Soil Plant Sci. 2005, 55, 275–286. [Google Scholar] [CrossRef]
  7. Monder, M.J.; Niedzielski, M.; Woliński, K.; Pacholczak, A. The impact of seasonal changes in plant tissue on rhizogenesis of stem cuttings of the once flowering roses. Not. Bot. Horti Agrobot. 2016, 44, 92–99. [Google Scholar] [CrossRef]
  8. Monder, M.J.; Kozakiewicz, P.; Jankowska, A. Effect of anatomical structure of shoots in different flowering phase on rhizogenesis of once-blooming roses. Not. Bot. Horti Agrobot. 2017, 45, 408–416. [Google Scholar] [CrossRef]
  9. Monder, M.J.; Niedzielski, M.; Woliński, K. Effect of phenological stage and rooting enhancers on physiological parameters in stem cuttings in the process of rhizogenesis of Rosa × alba ‘Maiden’s Blush’. Agriculture 2020, 10, 572. [Google Scholar] [CrossRef]
  10. Mhimdi, M.; Pérez-Pérez, J.M. Understanding of adventitious root formation: What can we learn from comparative genetics? Front. Plant Sci. 2020, 11, 582020. [Google Scholar] [CrossRef]
  11. Atkinson, J.A.; Rasmussen, A.; Traini, R.; Voß, U.; Sturrock, C.; Mooney, S.J.; Wells, D.M.; Bennet, M.J. Branching out in roots: Uncovering form, function, and regulation. Plant Physiol. 2014, 166, 538–550. [Google Scholar] [CrossRef] [PubMed]
  12. Lakehal, A.; Chaabouni, S.; Cavel, E.; Le Hir, R.; Ranjan, A.; Raneshan, Z.; Novák, O.; Păcurar, D.I.; Perrone, I.; Jobert, F.; et al. A molecular framework for the control of adventitious rooting by the TIR1/AFB2-Aux/IAA-dependent auxin signaling in Arabidopsis. Mol. Plant 2019, 12, 1499–1514. [Google Scholar] [CrossRef] [PubMed]
  13. Costa, C.T.; Almeida, M.R.; Ruedell, C.M.; Schwambach, J.; Maraschin, F.S.; Fett-Neto, A.G. When stress and development go hand in hand: Main hormonal controls of adventitious rooting in cuttings. Front. Plant Sci. 2013, 4, 133. [Google Scholar] [CrossRef]
  14. Okoro, O.O.; Grace, J. The physiology of rooting Populus cuttings. Physiol. Plant. 1976, 36, 133–138. [Google Scholar] [CrossRef]
  15. Monder, M.J.; Pacholczak, A. Preparations of plant origin enhance carbohydrate content in plant tissues of rooted cuttings of rambler roses: Rosa beggeriana ‘Polstjärnan’ and Rosa helenae ‘Semiplena’. Acta Agric. Scand. B Soil Plant Sci. 2018, 68, 189–198. [Google Scholar] [CrossRef]
  16. Monder, M.J.; Pacholczak, A. Rhizogenesis and concentration of carbohydrates in cuttings harvested at different phenological stages of once-blooming rose shrubs and treated with rooting stimulants. Biol. Agric. Hortic. 2020, 36, 55–73. [Google Scholar] [CrossRef]
  17. Bhattacharya, N.C. Enzyme activities during adventitious rooting. In Adventitious Root Formation in Cuttings; Davis, T.D., Haissig, B.E., Sankhala, N., Eds.; Dioscorides Press: Portland, OR, USA, 1988; pp. 88–101. [Google Scholar]
  18. Fu, Z.; Xu, P.; He, S.; Teixeira da Silva, J.A.; Tanaka, M. Dynamic changes in enzyme activities and phenolic content during in vitro rooting of tree peony (Paeonia suffruticosa Andr.) plantlets. Intern. J. Sci. Tech. 2011, 5, 252–265. [Google Scholar]
  19. Šamec, D.; Karalija, E.; Šola, I.; Vujčić Bok, V.; Salopek-Sondi, B. The role of polyphenols in abiotic stress response: The influence of molecular structure. Plants 2021, 10, 118. [Google Scholar] [CrossRef]
  20. Goleniowski, M.E.; Bonfill, M.; Cusido, R.; Palazon, J. Phenolic acids. In Natural Products; Ramawat, K., Mérillon, J.M., Eds.; Springer Science and Business Media: Berlin/Heidelberg, Germany, 2013; pp. 1951–1973. [Google Scholar]
  21. Bistgani, Z.E.; Hashemi, M.; Dacosta, M.; Craker, L.; Maggi, F.; Morshedloo, M.R. Effect of salinity stress on the physiological characteristics, phenolic compounds and antioxidant activity of Thymus vulgaris L. and Thymus daenensis Celak. Ind. Crops Prod. 2019, 135, 311–320. [Google Scholar] [CrossRef]
  22. Zhou, P.; Li, Q.; Liu, G.; Xu, N.; Yang, Y.; Zeng, W.; Chen, A.; Wang, S. Integrated analysis of transcriptomic and metabolomic data reveals critical metabolic pathways involved in polyphenol biosynthesis in Nicotiana tabacum under chilling stress. Funct. Plant Biol. 2018, 46, 30–43. [Google Scholar] [CrossRef]
  23. Sharma, A.; Thakur, S.; Kumar, V.; Kanwar, M.K.; Kesavan, A.K.; Thukral, A.K.; Bhardwaj, R.; Alam, P.; Ahmad, P. Pre-sowing seed treatment with 24-epibrassinolide ameliorates pesticide stress in Brassica juncea L. through the modulation of stress markers. Front. Plant Sci. 2016, 7, 1569. [Google Scholar] [CrossRef] [PubMed]
  24. Almeida, L.F.P.; Gomes, S.M.; Vasconcelos, R.G.; Yamanishi, O.K.; Alencar, C.M. Anatomy and histochemistry of araticum (Annona crassiflora Mart.) on three Annonaceae rootstocks. Am. J. Plant Sci. 2014, 5, 2440–2447. [Google Scholar] [CrossRef]
  25. van Loon, L.C. Systemic induced resistance. In Mechanisms of Resistance to Plant Diseases; Slusarenko, A.J., Fraser, R.S.S., Van Loon, L.C., Eds.; Kluwer Academic Publishers: Dordrecht, The Netherlands, 2000; pp. 521–574. [Google Scholar]
  26. Mandal, S.M.; Chakraborty, D.; Dey, S. Phenolic acids act as signaling molecules in plant-microbe symbioses. Plant Signal. Behav. 2010, 5, 359–368. [Google Scholar] [CrossRef] [PubMed]
  27. Gawrońska, H.; Przybysz, A.; Szalacha, E.; Słowiński, A. Physiological and molecular mode of action of Asahi SL biostimulator under optimal and stress conditions. In Biostimulators in Modern Agriculture: General Aspects; Gawrońska, H., Ed.; Wieś Jutra: Warszawa, Poland, 2008; pp. 54–76. [Google Scholar]
  28. Günes, T. Peroxidase and IAA-oxidase activities during rooting in cuttings of three poplar species. Turk. J. Bot. 2000, 24, 97–101. [Google Scholar]
  29. Davis, T.D.; Haissig, B.E.; Sankhla, N. Adventitious root formation in cuttings. In Advances in Plant Sciences Series; Discorides Press: Portland, OR, USA, 1988. [Google Scholar]
  30. Przybysz, A.; Gawrońska, H.; Gajc-Wolska, J. Biological mode of action of a nitrophenolates-based biostimulant: Case study. Front. Plant Sci. 2014, 5, 1–15. [Google Scholar] [CrossRef] [PubMed]
  31. Michalak, A. Phenolic compounds and their antioxidant activity in plants growing under heavy metal stress. Pol. J. Environ. Stud. 2006, 15, 523–530. [Google Scholar]
  32. Mandal, S.M.; Mandal, M.; Das, A.K.; Pati, B.R.; Ghosh, A.K. Stimulation of indoleacetic acid production in a Rhizobium isolate of Vigna mungo by root nodule phenolic acids. Arch. Microbiol. 2009, 191, 389–393. [Google Scholar] [CrossRef]
  33. Hartmann, H.T.; Kester, D.E.; Davies, F.T.; Geneve, R.L. Plant Propagation, Principles and Practices; Prentice-Hall: Englewood Cliffs, NJ, USA, 2011. [Google Scholar]
  34. European Union. Directive 2009/128/EC of the European Parliament and of the Council of 21 October 2009 Establishing a Framework for Community Action to Achieve the Sustainable Use of Pesticides. Off. J. Eur. Union 2009, L309, 71–86. [Google Scholar]
  35. European Union. Regulation (EC) No 1107/2009 of the European Parliament and of the Council of 21 October 2009 Concerning the Placing of Plant Protection Products on the Market and Repealing Council Directives 79/117/EEC and 91/414/EEC. Off. J. Eur. Union 2009, L309, 1–50. [Google Scholar]
  36. USDA. United States Department of Agriculture. National Organic Program. 2017. Available online: https://www.ams.usda.gov/about-ams/programs-offices/national-organic-program (accessed on 16 March 2017).
  37. OMRI. Organic Materials Review Institute. OMRI Products List, Web Edition. Organic Materials Review Institute. Available online: https://www.omri.org/omri-lists (accessed on 28 July 2021).
  38. Rathore, S.S.; Chaudhary, D.R.; Boricha, G.N.; Ghosh, A.; Bhatt, B.P.; Zadope, S.T.; Patolia, J.S. Effect of seaweed extract on growth, yield and nutrient uptake of soybean (Glycine max) under rainfed conditions. S. Afr. J. Bot. 2009, 75, 351–355. [Google Scholar] [CrossRef]
  39. Pacholczak, A.; Szydło, W.; Petelewicz, P.; Szulczyk, K. The effect if Algaminoplant on rhizogenesis in stem cuttings of Physocarpus opulifolius ‘Dart’s Gold’ and ‘Red Baron’. Acta Sci. Pol. Hortorum Cultus 2013, 12, 105–116. [Google Scholar]
  40. Monder, M.J.; Kozakiewicz, P.; Jankowska, A. The role of plant origin preparations and phenological stage in anatomy structure changes in the rhizogenesis of Rosa ‘Hurdal’. Front. Plant Sci. 2021, 12, 696998. [Google Scholar] [CrossRef] [PubMed]
  41. Monder, M.J.; Pacholczak, A. Rhizogenesis and contents of polyphenolic acids in cuttings of old rose cultivars treated with rooting stimulants. Acta Hortic. 2019, 1232, 99–104. [Google Scholar] [CrossRef]
  42. Canna Continental. Bio Rhizotonic. 2021. Available online: https://www.canna.ca/biorhizotonic (accessed on 28 July 2021).
  43. BioBizz Worldwide, B.V. Root JuiceTM. 2017. Available online: http://www.biobizz.com/products/#root%c2%b7juice (accessed on 19 January 2017).
  44. T.A. Terra Aquatica. Pro Roots. Homepage General Hydroponics Europe/T.A. Terra Aquatica. 2021. Available online: https://www.eurohydro.com/proroots (accessed on 1 July 2021).
  45. Certificaat Bio Roots. No: C8008445INP-01.2013. 2014. Available online: /http://www.eurohydro.com/pdf/certif-bioboosters.pdf/ (accessed on 19 January 2017).
  46. Nardi, S.; Pizzeghello, D.; Schaivon, M.; Ertani, A. Plant biostimulants: Physiological responses induced by protein hydrolyzed-based products and humic substances in plant metabolism. Sci. Agric. 2015, 73, 18–23. [Google Scholar] [CrossRef]
  47. Gustavsson, L.A. Rosen Leksikon; Rosinante Forlag A/S.: Kopenhaga, Denmark, 1999. [Google Scholar]
  48. Ginova, A.; Tsvetkov, I.; Kondakova, V. Rosa damascena Mill.—An overview for evaluation of propagation methods. Bulg. J. Agric. Sci. 2012, 18, 514–556. [Google Scholar]
  49. Monder, M.J.; Niedzielski, M.; Woliński, K. Effect of rooting preparations on protein, chlorophyll and carotenoid content in leaves of Rosa gallica ‘Duchesse d`Angoulême’ cuttings. Dendrobiology 2014, 72, 29–40. [Google Scholar] [CrossRef]
  50. Winkelmann, T.; Spethmann, W.; Seegert, A. Propagation of 285-year-old alley linden (Tilia × vulgaris) trees via long cuttings. Eur. J. Hortic. Sci. 2020, 85, 160–168. [Google Scholar] [CrossRef]
  51. Monder, M.J.; Kozakiewicz, P.; Jankowska, A. Anatomical structure changes in stem cuttings of rambler roses induced with plant origin preparations. Sci. Hortic. 2019, 255, 242–254. [Google Scholar] [CrossRef]
  52. Druege, U.; Hilo, A.; Pérez-Pérez, J.M.; Klopotek, Y.; Acosta, M.; Shahinnia, F.; Zerche, S.; Franken, P.; Hajirezaei, M.R. Molecular and physiological control of adventitious rooting in cuttings: Phytohormone action meets resource allocation. Ann. Bot. 2019, 123, 929–949. [Google Scholar] [CrossRef]
  53. Quest-Ritson, C.; Quest-Ritson, B. The Royal Horticultural Society Encyclopedia of Roses; Penguin Company: London, UK, 2013. [Google Scholar]
  54. Rosenverzeichnis Rosarium Sangerhausen; 3Auflage: Sangerhausen, Germany, 1988.
  55. Meier, U.; Bleiholder, H.; Brumme, H.; Bruns, E.; Mehring, B.; Proll, T.; Wiegand, J. Phenological growth stages of roses (Rosa sp.): Codification and description according to the BBCH scale. Ann. Appl. Biol. 2008, 154, 231–238. [Google Scholar] [CrossRef]
  56. (PTF) Polskie Towarzystwo Farmakologiczne. Farmakopea Polska (Polish Pharmacopoeia V); PTF: Warsaw, Poland, 1999; Volume 5, pp. 445–446. [Google Scholar]
  57. Wójcik, A.R.; Laudański, Z. Planowanie i Wnioskowanie Statystyczne w Doświadczalnictwie. (Statistical Planning and Concluding in Experimental Works); PWN: Warsaw, Poland, 1989; p. 130. [Google Scholar]
  58. Denaxa, N.-K.; Tsafouros, A.; Roussos, P.A. Chapter 11—Role of phenolic compounds in adventitious root formation. In Plant Biology, Sustainability and Climate Change, Environmental, Physiological and Chemical Controls of Adventitious Rooting in Cuttings; Husen, A., Ed.; Academic Press: Cambridge, MA, USA, 2022; pp. 251–288. [Google Scholar] [CrossRef]
  59. Das, S.; Sultana, K.W.; Chandra, I. Adventitious rhizogenesis in Basilicum polystachyon (L.) Moench callus and HPLC analysis of phenolic acids. Acta Physiol. Plant. 2021, 43, 146. [Google Scholar] [CrossRef]
  60. Kumari, A.; Gogna, M.; Mehta, S.; Husen, A. Chapter 18—Adventitious root formation in cuttings and effects of maturation. In Plant Biology, Sustainability and Climate Change, Environmental, Physiological and Chemical Controls of Adventitious Rooting in Cuttings; Husen, A., Ed.; Academic Press: Cambridge, MA, USA, 2022; pp. 397–420. [Google Scholar] [CrossRef]
  61. Pacholczak, A.; Nowakowska, K.; Pietkiewicz, S. The effects of synthetic auxin and a seaweed-based biostimulator on physiological aspects of rhizogenesis in ninebark stem cuttings. Not. Bot. Horti Agrobot. 2016, 44, 85–91. [Google Scholar] [CrossRef]
  62. Pacholczak, A.; Szydło, W.; Pijus, J. Effect of Asahi SL preparation on rhizogenesis in stem cuttings of Physocarpus opulifolius ‘Dart’s Gold’ and ‘Diabolo’. Ann. WULS Hortic. Landsc. Archit. 2010, 31, 11–17. [Google Scholar]
  63. Schuetz, M.; Benske, A.; Smith, R.A.; Watanabe, Y.; Tobimatsu, Y.; Ralph, J.; Demura, T.; Ellis, B.; Samuels, A.L. Laccases direct lignification in the discrete secondary cell wall domains of protoxylem. Plant Physiol. 2014, 166, 798–807. [Google Scholar] [CrossRef] [PubMed]
  64. Liu, Q.; Luo, L.; Zheng, L. Lignins: Biosynthesis and biological functions in plants. Int. J. Mol. Sci. 2018, 19, 335. [Google Scholar] [CrossRef] [PubMed]
  65. Osterc, G.; Štefančič, A.; Solar, A.; Štampar, F. Potential involvement of flavonoids in the rooting response of chestnut hybrid (Castanea crenata × Castanea sativa) clones. Aust. J. Exp. Agric. 2007, 47, 96–102. [Google Scholar] [CrossRef]
  66. Pacholczak, A.; Petelewicz, P.; Jagiełło-Kubiec, K.; Ilczuk, A. The effect of two biopreparations on rhizogenesis in stem cuttings of Cotinus coggygria Scop. Eur. J. Hortic. Sci. 2015, 80, 183–189. [Google Scholar] [CrossRef]
  67. Cwalina-Ambroziak, B.; Amarowicz, R. Effects of biological and fungicidal environmental protection on chemical composition of tomato and red pepper fruits. Pol. J. Environ. Stud. 2012, 21, 831–836. [Google Scholar]
  68. Pacholczak, A.; Szydło, W.; Zagórska, K.; Petelewicz, P. The effect of biopreparations on the rooting of stem cuttings in Cotinus coggygria ‘Young Lady’. Ann. WULS 2012, 33, 33–41. [Google Scholar]
  69. Rosłon, W.; Osińska, E.; Bączek, K.; Węglarz, Z. The influence of organic-mineral fertilizers on field and raw materials quality of chosen plants of the Lamiaceae family from organic cultivation. Acta Sci. Pol. Hortorum Cultus 2011, 10, 147–158. [Google Scholar]
  70. Akila, N.; Jeyadoss, T. The potential of seaweed liquid fertilizer on the growth and antioxidant enhancement of Helianthus annuus L. Orient. J. Chem. 2010, 26, 1353–1360. [Google Scholar]
  71. Osterc, G.; Štampar, F. Initial cutting length modifies polyphenol profile in Castanea cuttings during the root formation process. Eur. J. Hortic. Sci. 2008, 73, 201–204. [Google Scholar]
  72. Khan, W.; Rayrath, U.P.; Subramanian, S.; Jithesh, M.N.; Rayorath, P.; Hodges, D.M.; Critchley, A.T.; Craigie, J.S.; Norrie, J.; Prithiviraj, B. Seaweed extracts as biostimulants of plant growth and development. J. Plant Growth Regul. 2009, 28, 386–399. [Google Scholar] [CrossRef]
  73. Crouch, I.J.; Van Staden, J. Evidence for the presence of plant growth regulators in commercial seaweed products. Plant Growth Regul. 1993, 13, 21–29. [Google Scholar] [CrossRef]
  74. Thorsen, M.K.; Woodward, M.; McKenzie, B.M. Kelp (Laminaria digitata) increases germination and affects rooting and plant vigour in crops and native plants from an arable grassland in the Outer Hebrides, Scotland. J. Coast. Conserv. 2010, 14, 239–247. [Google Scholar] [CrossRef]
  75. Stirk, W.A.; Van Staden, J. Comparison of cytokinin- and auxin-like activity in some commercially used seaweed extracts. J. Appl. Phycol. 1997, 8, 503–508. [Google Scholar] [CrossRef]
  76. Deolu-Ajayi, A.O.; van der Meer, I.M.; van der Werf, A.; Karlova, R. The power of seaweeds as plant biostimulants to boost cropproduction under abiotic stress. Plant Cell Environ. 2022, 45, 2537–2553. [Google Scholar] [CrossRef]
Figure 1. Historical rose taxa in conducted experiment: (A) ‘Duchesse d’Angoulême’, (B) ‘Hurdal’, (C) ‘Maiden’s Blush’, (D) ‘Mousseuse Rouge’, (E) Rosa helenae ‘Semiplena’, (F) Rosa beggeriana ‘Polstjårnan’.
Figure 1. Historical rose taxa in conducted experiment: (A) ‘Duchesse d’Angoulême’, (B) ‘Hurdal’, (C) ‘Maiden’s Blush’, (D) ‘Mousseuse Rouge’, (E) Rosa helenae ‘Semiplena’, (F) Rosa beggeriana ‘Polstjårnan’.
Agronomy 13 01405 g001
Figure 2. The single-node leaf cutting prepared for experiment, the terms and phenological stages of shoots in flowering period for cuttings’ harvesting in experiment (A) [55] and (B) the five-point evaluation scale for assessing the quality of the root system (degree of rooting): 1—callus tissue only, without any roots; 2—measurably one or a few short root; 3—a few longer roots; 4—roots visibly advanced in growth, various in length; 5—long and well developed roots, leading to form a root ball [5].
Figure 2. The single-node leaf cutting prepared for experiment, the terms and phenological stages of shoots in flowering period for cuttings’ harvesting in experiment (A) [55] and (B) the five-point evaluation scale for assessing the quality of the root system (degree of rooting): 1—callus tissue only, without any roots; 2—measurably one or a few short root; 3—a few longer roots; 4—roots visibly advanced in growth, various in length; 5—long and well developed roots, leading to form a root ball [5].
Agronomy 13 01405 g002
Figure 3. Treatment of rose cuttings prepared from each phenological stage of stock plant. The untreated cuttings were watered with water only a water in the term of watering of preparations.
Figure 3. Treatment of rose cuttings prepared from each phenological stage of stock plant. The untreated cuttings were watered with water only a water in the term of watering of preparations.
Agronomy 13 01405 g003
Figure 4. The means of rooting percentage (%) of six taxa of roses treated with rooting enhancers (A), means for treatment (B), and stage (C) for all taxa. Treatment: Bef, before rooting; Con, control; IBA, 0.4% IBA; NAA, 0.2% NAA; RH, 0.6% Seaweed Preparation; RJ, 0.4% Humic Preparation; BR, 0.02% Plant Preparation. Phenological stages: P1, flower buds closed; P2, at least 50% of flowers opened; P3, immediately after petals shedding; P4, 7–14 days after shedding petals. Vertical bars indicate 95% confidence intervals for the means (two-way ANOVA).
Figure 4. The means of rooting percentage (%) of six taxa of roses treated with rooting enhancers (A), means for treatment (B), and stage (C) for all taxa. Treatment: Bef, before rooting; Con, control; IBA, 0.4% IBA; NAA, 0.2% NAA; RH, 0.6% Seaweed Preparation; RJ, 0.4% Humic Preparation; BR, 0.02% Plant Preparation. Phenological stages: P1, flower buds closed; P2, at least 50% of flowers opened; P3, immediately after petals shedding; P4, 7–14 days after shedding petals. Vertical bars indicate 95% confidence intervals for the means (two-way ANOVA).
Agronomy 13 01405 g004aAgronomy 13 01405 g004b
Figure 5. Content of polyphenolic acids (mg·g−1 DW) in plant material of Rosa cultivars cuttings prepared from four phenological stages of shoots before (Bef) and after 12 weeks rooting in control (Con) (A) and in relations to treatment by rooting enhancers (B). Phenological stages: P1, flower buds closed; P2, at least 50% of flowers opened; P3, immediately after petals shedding; P4, 7–14 days after shedding petals. Treatment: Bef, before rooting; Con, control; IBA, 0.4% IBA; NAA, 0.2% NAA; RH, 0.6% Seaweed Preparation; RJ, 0.4% Humic Preparation; BR, 0.02% Plant Preparation. Vertical bars indicate 95% confidence intervals for the means (two-way ANOVA).
Figure 5. Content of polyphenolic acids (mg·g−1 DW) in plant material of Rosa cultivars cuttings prepared from four phenological stages of shoots before (Bef) and after 12 weeks rooting in control (Con) (A) and in relations to treatment by rooting enhancers (B). Phenological stages: P1, flower buds closed; P2, at least 50% of flowers opened; P3, immediately after petals shedding; P4, 7–14 days after shedding petals. Treatment: Bef, before rooting; Con, control; IBA, 0.4% IBA; NAA, 0.2% NAA; RH, 0.6% Seaweed Preparation; RJ, 0.4% Humic Preparation; BR, 0.02% Plant Preparation. Vertical bars indicate 95% confidence intervals for the means (two-way ANOVA).
Agronomy 13 01405 g005
Figure 6. Content of polyphenolic acids (mg·g−1 DW) in plant material of Rosa ‘Duchesse d’Angoulême’ (A) and ‘Hurdals’ (B) cuttings prepared from four phenological stages of shoots before and after rooting by treatment by rooting enhancers. Phenological stage: P1, flower buds closed; P2, at least 50% of flowers opened; P3, immediately after petals shedding; P4, 7–14 days after shedding petals. Treatment: Bef, before rooting; Con, control; IBA, 0.4% IBA; NAA, 0.2% NAA; RH, 0.6% Seaweed Preparation; RJ, 0.4% Humic Preparation; BR, 0.02% Plant Preparation. Vertical bars indicate 95% confidence intervals for the means (two-way ANOVA).
Figure 6. Content of polyphenolic acids (mg·g−1 DW) in plant material of Rosa ‘Duchesse d’Angoulême’ (A) and ‘Hurdals’ (B) cuttings prepared from four phenological stages of shoots before and after rooting by treatment by rooting enhancers. Phenological stage: P1, flower buds closed; P2, at least 50% of flowers opened; P3, immediately after petals shedding; P4, 7–14 days after shedding petals. Treatment: Bef, before rooting; Con, control; IBA, 0.4% IBA; NAA, 0.2% NAA; RH, 0.6% Seaweed Preparation; RJ, 0.4% Humic Preparation; BR, 0.02% Plant Preparation. Vertical bars indicate 95% confidence intervals for the means (two-way ANOVA).
Agronomy 13 01405 g006
Figure 7. Content of polyphenolic acids (mg·g−1 DW) in plant material of Rosa ‘Maiden’s Blush’ (A) and ‘Mousseuse Rouge’ (B) cuttings prepared from four phenological stages of shoots before and after rooting by treatment by rooting enhancers. Phenological stages: P1, flower buds closed; P2, at least 50% of flowers opened; P3, immediately after petals shedding; P4, 7–14 days after shedding petals. Treatment: Bef, before rooting; Con, control; IBA, 0.4% IBA; NAA, 0.2% NAA; RH, 0.6% Seaweed Preparation; RJ, 0.4% Humic Preparation; BR, 0.02% Plant Preparation. Vertical bars indicate 95% confidence intervals for the means (two-way ANOVA).
Figure 7. Content of polyphenolic acids (mg·g−1 DW) in plant material of Rosa ‘Maiden’s Blush’ (A) and ‘Mousseuse Rouge’ (B) cuttings prepared from four phenological stages of shoots before and after rooting by treatment by rooting enhancers. Phenological stages: P1, flower buds closed; P2, at least 50% of flowers opened; P3, immediately after petals shedding; P4, 7–14 days after shedding petals. Treatment: Bef, before rooting; Con, control; IBA, 0.4% IBA; NAA, 0.2% NAA; RH, 0.6% Seaweed Preparation; RJ, 0.4% Humic Preparation; BR, 0.02% Plant Preparation. Vertical bars indicate 95% confidence intervals for the means (two-way ANOVA).
Agronomy 13 01405 g007
Figure 8. Content of polyphenolic acids (mg·g−1 DW) in plant material of Rosa beggeriana ‘Polstjårnan’ (A) and R. helenae ‘Semiplena’ (B) cuttings prepared from four phenological stages of shoots before and after rooting by treatment by rooting enhancers. Phenological stages: P1, flower buds closed; P2, at least 50% of flowers opened; P3, immediately after petals shedding; P4, 7–14 days after shedding petals. Treatment: Bef, before rooting; Con, control; IBA, 0.4% IBA; NAA, 0.2% NAA; RH, 0.6% Seaweed Preparation; RJ, 0.4% Humic Preparation; BR, 0.02% Plant Preparation. Vertical bars indicate 95% confidence intervals for the means (two-way ANOVA).
Figure 8. Content of polyphenolic acids (mg·g−1 DW) in plant material of Rosa beggeriana ‘Polstjårnan’ (A) and R. helenae ‘Semiplena’ (B) cuttings prepared from four phenological stages of shoots before and after rooting by treatment by rooting enhancers. Phenological stages: P1, flower buds closed; P2, at least 50% of flowers opened; P3, immediately after petals shedding; P4, 7–14 days after shedding petals. Treatment: Bef, before rooting; Con, control; IBA, 0.4% IBA; NAA, 0.2% NAA; RH, 0.6% Seaweed Preparation; RJ, 0.4% Humic Preparation; BR, 0.02% Plant Preparation. Vertical bars indicate 95% confidence intervals for the means (two-way ANOVA).
Agronomy 13 01405 g008aAgronomy 13 01405 g008b
Figure 9. The part of correlation matrices between content of polyphenolic acids and growth parameters in Rosa ‘Duchesse d’Angouleme’. Marked correlations are significant at p < 0.05, presented in color scale: 0.1–0.29—very low; 0.30–0.49—low; 0.50–0.69—restrained; 0.70–0.89—high; >0.90—very high.
Figure 9. The part of correlation matrices between content of polyphenolic acids and growth parameters in Rosa ‘Duchesse d’Angouleme’. Marked correlations are significant at p < 0.05, presented in color scale: 0.1–0.29—very low; 0.30–0.49—low; 0.50–0.69—restrained; 0.70–0.89—high; >0.90—very high.
Agronomy 13 01405 g009
Figure 10. The part of correlation matrices between content of polyphenolic acids and growth parameters in Rosa ‘Hurdal’. Marked correlations are significant at p < 0.05, presented in color scale: 0.1–0.29—very low; 0.30–0.49—low; 0.50–0.69—restrained; 0.70–0.89—high; >0.90—very high.
Figure 10. The part of correlation matrices between content of polyphenolic acids and growth parameters in Rosa ‘Hurdal’. Marked correlations are significant at p < 0.05, presented in color scale: 0.1–0.29—very low; 0.30–0.49—low; 0.50–0.69—restrained; 0.70–0.89—high; >0.90—very high.
Agronomy 13 01405 g010
Figure 11. The part of correlation matrices between content of polyphenolic acids and growth parameters in Rosa ‘Maiden’s Blush’. Marked correlations are significant at p < 0.05, presented in color scale: 0.1–0.29—very low; 0.30–0.49—low; 0.50–0.69—restrained; 0.70–0.89—high; >0.90—very high.
Figure 11. The part of correlation matrices between content of polyphenolic acids and growth parameters in Rosa ‘Maiden’s Blush’. Marked correlations are significant at p < 0.05, presented in color scale: 0.1–0.29—very low; 0.30–0.49—low; 0.50–0.69—restrained; 0.70–0.89—high; >0.90—very high.
Agronomy 13 01405 g011
Figure 12. The part of correlation matrices between content of polyphenolic acids and growth parameters in Rosa ‘Mousseuse Rouge’. Marked correlations are significant at p < 0.05, presented in color scale: 0.1–0.29—very low; 0.30–0.49—low; 0.50–0.69—restrained; 0.70–0.89—high; >0.90—very high.
Figure 12. The part of correlation matrices between content of polyphenolic acids and growth parameters in Rosa ‘Mousseuse Rouge’. Marked correlations are significant at p < 0.05, presented in color scale: 0.1–0.29—very low; 0.30–0.49—low; 0.50–0.69—restrained; 0.70–0.89—high; >0.90—very high.
Agronomy 13 01405 g012
Figure 13. The part of correlation matrices between content of polyphenolic acids and growth parameters in Rosa beggeriana ‘Polstjårnan’. Marked correlations are significant at p < 0.05, presented in color scale: 0.1–0.29—very low; 0.30–0.49—low; 0.50–0.69—restrained; 0.70–0.89—high; >0.90—very high.
Figure 13. The part of correlation matrices between content of polyphenolic acids and growth parameters in Rosa beggeriana ‘Polstjårnan’. Marked correlations are significant at p < 0.05, presented in color scale: 0.1–0.29—very low; 0.30–0.49—low; 0.50–0.69—restrained; 0.70–0.89—high; >0.90—very high.
Agronomy 13 01405 g013
Figure 14. The part of correlation matrices between content of polyphenolic acids and growth parameters in Rosa helenae ‘Semiplena’. Marked correlations are significant at p < 0.05, presented in color scale: 0.1–0.29—very low; 0.30–0.49—low; 0.50–0.69—restrained; 0.70–0.89—high; >0.90—very high.
Figure 14. The part of correlation matrices between content of polyphenolic acids and growth parameters in Rosa helenae ‘Semiplena’. Marked correlations are significant at p < 0.05, presented in color scale: 0.1–0.29—very low; 0.30–0.49—low; 0.50–0.69—restrained; 0.70–0.89—high; >0.90—very high.
Agronomy 13 01405 g014
Table 1. Preparation used in the experiment on the roses.
Table 1. Preparation used in the experiment on the roses.
Name in WorkTrade NameContentcNotification
IBAUkorzeniacz Aaqua (Himal, Poland)0.4% indolebutyric acid (IBA)Commercial rooting powder
NAAUkorzeniacz Baqua (Himal, Poland)0.2% naphthalene acetic acid (NAA)Commercial rooting powder
Seaweed PreparationBio Rhizotonic
[42]
organic matter, seaweed extracts (N 0.6%, P 0.2%, K 0.6% vitamins e.g., B1, B2; other natural active components)Organic Materials Review Institute [37]
Humic PreparationRoot JuiceTM
[43]
humic acids and seaweed extracts (N 0.1%, P2O5 0.1%, K2O 0.1%, Mg 0.03%, Fe 0.013%, Mn 0.002%, Zn 0.004%, B 0.025%, Cu 0.001%)Organic Materials Review Institute [37], National Organic Program (NOP); Control Union Certified EU; Good Soil Quality Mark; Point Vert; Clean Green Certified
Plant PreparationBio Roots
[44]
organic matter 84%, seaweed species extracts 10%, fruit oil up to 1%; humic acids 1%; pectinate 1%; sodium alginate 3%; amino acids, oligosaccharinsRegulation EC No 834/2007 on organic agriculture. Certificaat Bio Roots. No: C8008445INP-01.2013.2 [45]
Disclaimer/Publisher’s Note: The statements, opinions and data contained in all publications are solely those of the individual author(s) and contributor(s) and not of MDPI and/or the editor(s). MDPI and/or the editor(s) disclaim responsibility for any injury to people or property resulting from any ideas, methods, instructions or products referred to in the content.

Share and Cite

MDPI and ACS Style

Monder, M.J.; Pacholczak, A. Polyphenolic Acid Changes in Stem Cuttings of Rosa Cultivars in Relation to Phenological Stage and Rooting Enhancers. Agronomy 2023, 13, 1405. https://doi.org/10.3390/agronomy13051405

AMA Style

Monder MJ, Pacholczak A. Polyphenolic Acid Changes in Stem Cuttings of Rosa Cultivars in Relation to Phenological Stage and Rooting Enhancers. Agronomy. 2023; 13(5):1405. https://doi.org/10.3390/agronomy13051405

Chicago/Turabian Style

Monder, Marta Joanna, and Andrzej Pacholczak. 2023. "Polyphenolic Acid Changes in Stem Cuttings of Rosa Cultivars in Relation to Phenological Stage and Rooting Enhancers" Agronomy 13, no. 5: 1405. https://doi.org/10.3390/agronomy13051405

APA Style

Monder, M. J., & Pacholczak, A. (2023). Polyphenolic Acid Changes in Stem Cuttings of Rosa Cultivars in Relation to Phenological Stage and Rooting Enhancers. Agronomy, 13(5), 1405. https://doi.org/10.3390/agronomy13051405

Note that from the first issue of 2016, this journal uses article numbers instead of page numbers. See further details here.

Article Metrics

Back to TopTop