Comparison and Evaluation of Low-Temperature Tolerance of Different Soybean Cultivars during the Early-Growth Stage
Abstract
1. Introduction
2. Materials and Methods
2.1. Low-Temperature Treatment and Recovery at the Seedling Stage
2.2. Determination of Plant Dry Weight
2.3. Malondialdehyde Content Determination
2.4. Determination of Peroxidae Activity
2.5. Proline Content Determination
2.6. Soluble Protein Content Determination
2.7. Soluble Sugar Content Determination
2.8. Comprehensive Evaluation and Grey Relational Degree Analysis
2.9. Statistical Analysis
3. Results
3.1. Effect of Low-Temperature Stress on Seed Germination
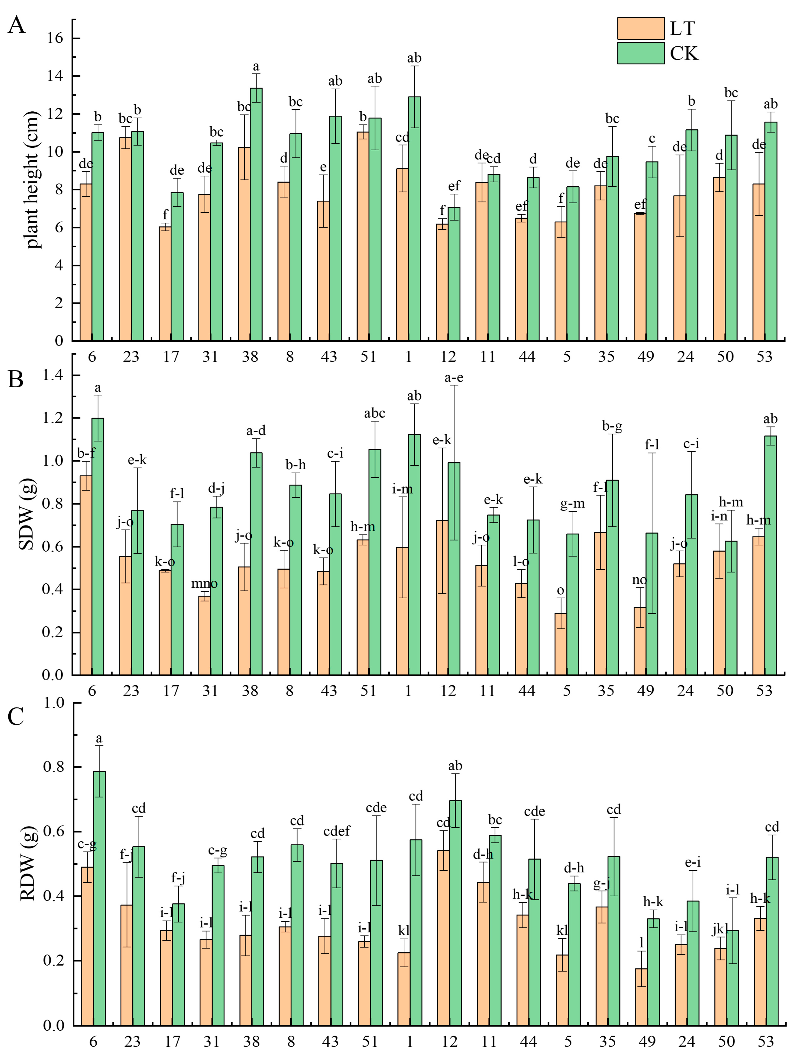
3.2. Effects of Low-Temperature Stress on Plant Height and Dry Matter Weight of Different Soybean Cultivars in the Seedling Stage
3.3. Effects of Low Temperature on Oxidative Stress of Different Soybean Cultivars
3.4. Effect of Low Temperature on the Content of Osmotic Regulating Substances in Different Soybean Cultivars
3.5. Comprehensive Analysis
3.6. Grey Correlation Degree Analysis
3.7. Correlation Analysis between the Germination and Seedling Stages
3.8. Temperature-Recovery Treatment
4. Discussion
4.1. Identification and Improvement of Plant Cold Tolerance
4.2. Changes in MDA and Antioxidant Enzymes
4.3. Accumulation of Compatible Solutes
4.4. Screening of Cold Tolerance Indices at the Seedling Stage
5. Conclusions
Supplementary Materials
Author Contributions
Funding
Data Availability Statement
Conflicts of Interest
References
- Cunicelli, M.J.; Bhandari, H.S.; Chen, P.Y.; Sams, C.E.; Mian, M.A.R.; Mozzoni, L.A.; Smallwood, C.J.; Pantalone, V.R. Effect of a Mutant Danbaekkong Allele on Soybean Seed Yield, Protein, and Oil Concentration. J. Am. Oil Chem. Soc. 2019, 96, 927–935. [Google Scholar] [CrossRef]
- Zhang, S.S.; Hao, D.R.; Zhang, S.Y.; Zhang, D.; Wang, H.; Du, H.P.; Kan, G.Z.; Yu, D.Y. Genome-wide association mapping for protein, oil and water-soluble protein contents in soybean. Mol. Genet. Genom. 2021, 296, 91–102. [Google Scholar] [CrossRef] [PubMed]
- Food and Agriculture Organization of the United Nations. Available online: https://www.fao.org/home/zh (accessed on 5 June 2023).
- Wang, L.B.; Liu, L.J.; Ma, Y.L.; Li, S.; Dong, S.K.; Zu, W. Transcriptome profilling analysis characterized the gene expression patterns responded to combined drought and heat stresses in soybean. Comput. Biol. Chem. 2018, 77, 413–429. [Google Scholar] [CrossRef] [PubMed]
- De Oliveira, M.R.; Wu, C.J.; Harrison, D.; Florez-Palacios, L.; Acuna, A.; Da Silva, M.P.; Ravelombola, S.F.; Winter, J.; Rupe, J.; Shakiba, E.; et al. Response to selection to different breeding methods for soybean flood tolerance. Crop Sci. 2022, 62, 648–660. [Google Scholar] [CrossRef]
- Anwar, A.; Kim, J.K. Transgenic Breeding Approaches for Improving Abiotic Stress Tolerance: Recent Progress and Future Perspectives. Int. J. Mol. Sci. 2020, 21, 2695. [Google Scholar] [CrossRef]
- Yan, P.; Chen, C.X.; Xu, T.J.; Dong, Z.Q. A novel plant growth regulator ameliorates chilling tolerance for spring maize in Northeast China. Plant Growth Regul. 2020, 91, 249–261. [Google Scholar] [CrossRef]
- Meng, A.J.; Wen, D.X.; Zhang, C.Q. Maize Seed Germination Under Low-Temperature Stress Impacts Seedling Growth Under Normal Temperature by Modulating Photosynthesis and Antioxidant Metabolism. Front. Plant Sci. 2022, 13, 843033. [Google Scholar] [CrossRef]
- Luo, T.; Sheng, Z.W.; Zhang, C.N.; Li, Q.; Liu, X.Y.; Qu, Z.J.; Xu, Z.H. Seed Characteristics Affect Low-Temperature Stress Tolerance Performance of Rapeseed (Brassica napus L.) during Seed Germination and Seedling Emergence Stages. Agronomy 2022, 12, 1969. [Google Scholar] [CrossRef]
- Lamichhane, J.R.; Constantin, J.; Schoving, C.; Maury, P.; Debaeke, P.; Aubertot, J.N.; Durr, C. Analysis of soybean germination, emergence, and prediction of a possible northward establishment of the crop under climate change. Eur. J. Agron. 2020, 113, 125972. [Google Scholar] [CrossRef]
- Hu, J.; Guan, Y.; Wang, Z. Seed Science; China Agriculture Press: Beijing, China, 2014. [Google Scholar]
- Vertucci, C.W.; Leopold, A.C. Dynamics of imbibition by soybean embryos. Plant Physiol. 1983, 72, 190–193. [Google Scholar] [CrossRef]
- Flores, P.C.; Yoon, J.S.; Kim, D.Y.; Seo, Y.W. Effect of chilling acclimation on germination and seedlings response to cold in different seed coat colored wheat (Triticum aestivum L.). BMC Plant Biol. 2021, 21, 252. [Google Scholar] [CrossRef]
- Lee, D.H.; Lee, C.B. Chilling stress-induced changes of antioxidant enzymes in the leaves of cucumber: In gel enzyme activity assays. Plant Sci. 2000, 159, 75–85. [Google Scholar] [CrossRef] [PubMed]
- Devireddy, A.R.; Tschaplinski, T.J.; Tuskan, G.A.; Muchero, W.; Chen, J.G. Role of Reactive Oxygen Species and Hormones in Plant Responses to Temperature Changes. Int. J. Mol. Sci. 2021, 22, 8843. [Google Scholar] [CrossRef]
- Popov, V.N.; Naraikina, N.V. Change of Antioxidant Enzyme Activity during Low-Temperature Hardening of Nicotiana tabacum L. and Secale cereale L. Russ. J. Plant Physiol. 2020, 67, 898–905. [Google Scholar] [CrossRef]
- Ramazan, S.; Qazi, H.A.; Dar, Z.A.; John, R. Low temperature elicits differential biochemical and antioxidant responses in maize (Zea mays) genotypes with different susceptibility to low temperature stress. Physiol. Mol. Biol. Plants 2021, 27, 1395–1412. [Google Scholar] [CrossRef] [PubMed]
- Miao, Y.; Ren, J.; Zhang, Y.Z.Y.; Chen, X.; Qi, M.; Li, T.; Zhang, G.; Liu, Y. Effect of low root-zone temperature on photosynthesis, root structure and mineral element absorption of tomato seedlings. Sci. Hortic. 2023, 315, 111956. [Google Scholar] [CrossRef]
- Zhao, Y.Q.; Han, Q.H.; Ding, C.B.; Huang, Y.; Liao, J.Q.; Chen, T.; Feng, S.L.; Zhou, L.J.; Zhang, Z.W.; Chen, Y.E.; et al. Effect of Low Temperature on Chlorophyll Biosynthesis and Chloroplast Biogenesis of Rice Seedlings during Greening. Int. J. Mol. Sci. 2020, 21, 1390. [Google Scholar] [CrossRef]
- Wang, W.X.; Chen, L.M.; Liu, Y.Q.; Zeng, Y.J.; Wu, Z.M.; Tan, X.M.; Shi, Q.H.; Pan, X.H.; Zeng, Y.H. Effects of humidity-cold combined stress at the seedling stage in direct-seeded indica rice. Environ. Exp. Bot. 2021, 191, 104617. [Google Scholar] [CrossRef]
- Rehman, T.; Tabassum, B.; Yousaf, S.; Sarwar, G.; Qaisar, U. Consequences of Drought Stress Encountered During Seedling Stage on Physiology and Yield of Cultivated Cotton. Front. Plant Sci. 2022, 13, 906444. [Google Scholar] [CrossRef]
- Korkmaz, A.; Dufault, R.J. Differential cold stress duration and frequency treatment effects on muskmelon seedling and field growth and yield. Eur. J. Hortic. Sci. 2004, 69, 12–20. [Google Scholar]
- Hoagland, D.R.; Arnon, D.I. The water culture method for growing plants without soil. In California Agricultural Experiment Station Circular; University of Michigan Library: Ann Arbor, MI, USA, 1950. [Google Scholar]
- Zhang, Z.A.; Zhang, M.S. Experimental Guidance of Plant Physiology; China Agricultural Science and Technology Press: Beijing, China, 2004. [Google Scholar]
- Wang, X.K.; Huang, J.L. Principles and Techniques of Plant Physiological Biochemical Experiment; Higher Education Press: Beijing, China, 2015. [Google Scholar]
- Bates, L.S.; Waldren, R.P.; Teare, I.D. Rapid determination of proline for water stress studies. Plant Soil 1973, 39, 305–307. [Google Scholar] [CrossRef]
- Li, H.S.; Sun, Q. Principles and Techniques of Plant Physiological Biochemical Experiment; Higher Education Press: Beijing, China, 2000. [Google Scholar]
- Wang, M.; Wang, W.; Wu, L.F. Application of a new grey multivariate forecasting model in the forecasting of energy consumption in 7 regions of China. Energy 2022, 243, 123024. [Google Scholar] [CrossRef]
- Radha, B.; Sunitha, N.C.; Sah, R.P.; Azharudheen, M.T.P.; Krishna, G.K.; Umesh, D.K.; Thomas, S.; Anilkumar, C.; Upadhyay, S.; Kumar, A.; et al. Physiological and molecular implications of multiple abiotic stresses on yield and quality of rice. Front. Plant Sci. 2023, 13, 996514. [Google Scholar] [CrossRef] [PubMed]
- Witcombe, J.R.; Hollington, P.A.; Howarth, C.J.; Reader, S.; Steele, K.A. Breeding for abiotic stresses for sustainable agriculture. Philos. Trans. R. Soc. B—Biol. Sci. 2008, 363, 703–716. [Google Scholar] [CrossRef] [PubMed]
- Wu, C.J.; Zeng, A.L.; Chen, P.Y.; Hummer, W.; Mokua, J.; Shannon, J.G.; Nguyen, H.T. Evaluation and development of flood-tolerant soybean cultivars. Plant Breed. 2017, 136, 913–923. [Google Scholar] [CrossRef]
- Hamayun, M.; Khan, S.A.; Iqbal, A.; Hussain, A.; Lee, I.J. Screening of Soybean Cultivars for Salinity Tolerance under Hydroponic Conditions. Fresenius Environ. Bull. 2019, 28, 7955–7963. [Google Scholar]
- Alsajri, F.A.; Singh, B.; Wijewardana, C.; Irby, J.T.; Gao, W.; Reddy, K.R. Evaluating Soybean Cultivars for Low- and High-Temperature Tolerance During the Seedling Growth Stage. Agronomy 2019, 9, 13. [Google Scholar] [CrossRef]
- Song, S.Q.; Yang, Q.L.; Wang, D.; Lv, Y.J.; Xu, W.H.; Wei, W.W.; Liu, X.D.; Yao, F.Y.; Cao, Y.J.; Wang, Y.J.; et al. Relationship between seed morphology, storage substance and chilling tolerance during germination of dominant maize hybrids in Northeast China. Acta Agron. Sin. 2022, 48, 726–738. [Google Scholar] [CrossRef]
- He, Z.; Webster, S.; He, S.Y. Growth-defense trade-offs in plants. Curr. Biol. CB 2022, 32, R634–R639. [Google Scholar] [CrossRef]
- Shi, Y.; Phan, H.; Liu, Y.J.; Cao, S.Y.; Zhang, Z.H.; Chu, C.C.; Schlappi, M.R. Glycosyltransferase OsUGT90A1 helps protect the plasma membrane during chilling stress in rice. J. Exp. Bot. 2020, 71, 2723–2739. [Google Scholar] [CrossRef]
- Schlappi, M.R.; Jackson, A.K.; Eizenga, G.C.; Wang, A.J.; Chu, C.C.; Shi, Y.; Shimoyama, N.; Boykin, D.L. Assessment of Five Chilling Tolerance Traits and GWAS Mapping in Rice Using the USDA Mini-Core Collection. Front. Plant Sci. 2017, 8, 957. [Google Scholar] [CrossRef] [PubMed]
- Boyle, E.A.; Li, Y.I.; Pritchard, J.K. An Expanded View of Complex Traits: From Polygenic to Omnigenic. Cell 2017, 169, 1177–1186. [Google Scholar] [CrossRef] [PubMed]
- Lv, X.C.; Li, Y.H.; Chen, R.J.; Rui, M.M.; Wang, Y.Z. Stomatal Responses of Two Drought-Tolerant Barley Varieties with Different ROS Regulation Strategies under Drought Conditions. Antioxidants 2023, 12, 790. [Google Scholar] [CrossRef] [PubMed]
- Zhou, Q.; Li, Y.P.; Wang, X.J.; Yan, C.; Ma, C.M.; Liu, J.; Dong, S.K. Effects of Different Drought Degrees on Physiological Characteristics and Endogenous Hormones of Soybean. Plants 2022, 11, 2282. [Google Scholar] [CrossRef]
- Waszczak, C.; Carmody, M.; Kangasjarvi, J. Reactive Oxygen Species in Plant Signaling. Annu. Rev. Plant Biol. 2018, 69, 209–236. [Google Scholar] [CrossRef] [PubMed]
- Buchanan, B.B.; Gruissem, W.; Jones, R.L. Biochemistry and Molecular Biology of Plants; John Wiley & Sons: Hoboken, NJ, USA, 2015. [Google Scholar]
- Sugie, A.; Naydenov, N.; Mizuno, N.; Nakamura, C.; Takumi, S. Overexpression of wheat alternative oxidase gene Waox1a alters respiration capacity and response to reactive oxygen species under low temperature in transgenic Arabidopsis. Genes Genet. Syst. 2006, 81, 349–354. [Google Scholar] [CrossRef]
- Wu, P.; Xiao, C.Y.; Cui, J.X.; Hao, B.Y.; Zhang, W.B.; Yang, Z.F.; Ahammed, G.J.; Liu, H.Y.; Cui, H.M. Nitric Oxide and Its Interaction with Hydrogen Peroxide Enhance Plant Tolerance to Low Temperatures by Improving the Efficiency of the Calvin Cycle and the Ascorbate-Glutathione Cycle in Cucumber Seedlings. J. Plant Growth Regul. 2021, 40, 2390–2408. [Google Scholar] [CrossRef]
- Ding, D.X.; Li, J.; Xie, J.M.; Li, N.H.; Bakpa, E.P.; Han, K.N.; Yang, Y.; Wang, C. Exogenous Zeaxanthin Alleviates Low Temperature Combined with Low Light Induced Photosynthesis Inhibition and Oxidative Stress in Pepper (Capsicum annuum L.) Plants. Curr. Issues Mol. Biol. 2022, 44, 2453–2471. [Google Scholar] [CrossRef]
- Gurrieri, L.; Merico, M.; Trost, P.; Forlani, G.; Sparla, F. Impact of Drought on Soluble Sugars and Free Proline Content in Selected Arabidopsis Mutants. Biology 2020, 9, 367. [Google Scholar] [CrossRef]
- Burbulis, N.; Jonytiene, V.; Kupriene, R.; Blinstrubiene, A. Changes in proline and soluble sugars content during cold acclimation of winter rapeseed shoots in vitro. J. Food Agric. Environ. 2011, 9, 371–374. [Google Scholar]
- Liang, G.P.; Li, Y.M.; Wang, P.; Jiao, S.Z.; Wang, H.; Mao, J.; Chen, B.H. VaAPL1 Promotes Starch Synthesis to Constantly Contribute to Soluble Sugar Accumulation, Improving Low Temperature Tolerance in Arabidopsis and Tomato. Front. Plant Sci. 2022, 13, 920424. [Google Scholar] [CrossRef] [PubMed]
- Kishor, P.B.K.; Kumari, P.H.; Sunita, M.S.L.; Sreenivasulu, N. Role of proline in cell wall synthesis and plant development and its implications in plant ontogeny. Front. Plant Sci. 2015, 6, 544. [Google Scholar] [CrossRef]
- Szabados, L.; Savoure, A. Proline: A multifunctional amino acid. Trends Plant Sci. 2010, 15, 89–97. [Google Scholar] [CrossRef] [PubMed]
- Lu, S.J.; He, J.Q.; Yi, S.S.; Liao, Y.; Li, C.H.; Yang, S.G.; Yin, J.M. Establishment and application of a comprehensive assessment system for cold resistance in Denphal-group Dendrobium cultivars. Eur. J. Hortic. Sci. 2021, 86, 289–299. [Google Scholar] [CrossRef]
- Zheng, Y.L.; Feng, Y.L.; Lei, Y.B.; Yang, C.Y. Different photosynthetic responses to night chilling among twelve populations of Jatropha curcas. Photosynthetica 2009, 47, 559–566. [Google Scholar] [CrossRef]
- Pell, E.J.; Eckardt, N.A.; Glick, R.E. Biochemical and molecular basis for impairment of photosynthetic potential. Photosynth. Res. 1994, 39, 453–462. [Google Scholar] [CrossRef]
- Canto, C.D.; Simonin, M.; King, E.; Moulin, L.; Bennett, M.J.; Castrillo, G.; Laplaze, L. An extended root phenotype: The rhizosphere, its formation and impacts on plant fitness. Plant J. 2020, 103, 951–964. [Google Scholar] [CrossRef]
- Walne, C.H.; Reddy, K.R. Temperature Effects on the Shoot and Root Growth, Development, and Biomass Accumulation of Corn (Zea mays L.). Agriculture 2022, 12, 443. [Google Scholar] [CrossRef]
- Aidoo, M.K.; Sherman, T.; Lazarovitch, N.; Fait, A.; Rachmilevitch, S. A bell pepper cultivar tolerant to chilling enhanced nitrogen allocation and stress-related metabolite accumulation in the roots in response to low root-zone temperature. Physiol. Plant. 2017, 161, 196–210. [Google Scholar] [CrossRef]
- Jiang, G.Q.; Wang, S.C.; Xie, J.; Tan, P.; Han, L.P. Discontinuous low temperature stress and plant growth regulators during the germination period promote roots growth in alfalfa (Medicago sativa L.). Plant Physiol. Biochem. 2023, 197, 107624. [Google Scholar] [CrossRef]






| No. | Cultivars | Sources |
|---|---|---|
| Ⅰ | Hefeng26(1), Hefeng34(2), Hefeng35(3), Hefeng36(4), Hefeng39(5), Hefeng40(6), Hefeng46(7), Hefeng55(8), Hefeng56(9) Hefeng60(10) Henong67(11), Henong70(12), Henong75(13), Henong76(14) | Jiamusi Branch of Heilongjiang Academy of Agricultural Sciences |
| Ⅱ | Heinong35(15), Heinong37(16), Heinong45(17) Heinong48(18), Heinong49(19), Heinong52(20), Heinong63(21), Heinong64(22), Heinong69(23) Heinong83(24), Heinong85(25) | Soybean Research Institute of Heilongjiang Academy of Agricultural Sciences |
| Ⅲ | Suinong4(26), Suinong26(27), Suinong27(28) Suinong33(29), Suinong34(30), Suinong42(31) Suinong44(32), Suinong71(33), Suinong81(34) Suinong82(35), Suinong94(36), Suinong119(37) | Suihua Branch of Heilongjiang Academy of Agricultural Sciences |
| Ⅳ | Heike59(38), Heike60(39), Heike71(40) Heihe43(41) Heihe49(42) | Heihe Branch of Heilongjiang Academy of Agricultural Sciences |
| Ⅴ | Kenfeng6(43), Kenfeng8(44), Kenfeng14(45) Kenfeng16(46), Kenfeng17(47) Kenfeng20(48) Kendou40(49) | Heilongjiang Academy of Land Reclamation Sciences |
| Ⅵ | Dongnong42(50), Dongnong55(51), Dongnong65(52), Dongnong69(53) Dongnong70(54) | Soybean Research Institute of Northeast Agricultural University |
| Ⅶ | Kennong34(55), Kennong36(56) Kennong38(57), Kennong46(58) | Heilongjiang Bayi Agricultural Reclamation University |
| Ⅷ | Dongsheng3(59) | Northeast Institute of Geography and Agroecology, Chinese Academy of Science |
| Ⅸ | Mufeng7(60) | Mudanjiang Branch of Heilongjiang Academy of Agricultural Sciences |
| MDA | ||
|---|---|---|
| POD | Pearson correlation | 0.146 |
| Significance | 0.086 | |
| Number of cases | 18 | |
| Traits | PC-1 | PC-2 | PC-3 |
|---|---|---|---|
| POD | −0.04473 | −0.34415 | 0.62143 |
| MDA | 0.28397 | −0.3722 | 0.35187 |
| SSs | −0.35347 | −0.24344 | −0.33836 |
| SPs | 0.04621 | 0.27383 | 0.37371 |
| PRO | 0.14732 | 0.41636 | 0.32963 |
| H | 0.40699 | −0.28496 | 0.01509 |
| SDW | 0.54221 | 0.24179 | −0.1644 |
| RDW | 0.54667 | −0.05584 | −0.30231 |
| R/S | −0.10045 | 0.54096 | 0.09252 |
| Eigenvalue | 2.49696 | 2.40266 | 1.42817 |
| Percentage of Variance (%) | 27.74 | 26.69 | 15.87 |
| Cumulative (%) | 27.74 | 54.44 | 70.31 |
| Cultivars | Subordinate Function Value | D Value | ||
|---|---|---|---|---|
| μ1 | μ2 | μ3 | ||
| 6 | 0.5034 | 0.4477 | 0.3158 | 0.4399 |
| 23 | 0.7433 | 0 | 1 | 0.5189 |
| 17 | 0.7999 | 1 | 0.7636 | 0.8676 |
| 31 | 0.5851 | 0.9494 | 0.7235 | 0.7546 |
| 38 | 0.2555 | 0.3601 | 0.6954 | 0.3945 |
| 8 | 0.0244 | 0.2472 | 0.3258 | 0.1770 |
| 43 | 0.2608 | 0.5582 | 0.5246 | 0.4332 |
| 51 | 0.5114 | 0.1661 | 0.5789 | 0.3955 |
| 1 | 0 | 0.0828 | 0.2512 | 0.0881 |
| 12 | 0.5738 | 0.8279 | 0.1536 | 0.5754 |
| 11 | 0.7542 | 0.5646 | 0.6311 | 0.6544 |
| 44 | 0.5036 | 0.949 | 0.4125 | 0.6521 |
| 5 | 0.4774 | 0.6554 | 0.8961 | 0.6394 |
| 35 | 0.3947 | 0.7288 | 0.0332 | 0.4399 |
| 49 | 0.0426 | 0.489 | 0 | 0.2025 |
| 24 | 0.3439 | 0.953 | 0.1422 | 0.5296 |
| 50 | 1 | 0.5942 | 0.5239 | 0.7384 |
| 53 | 0.233 | 0.5768 | 0.4447 | 0.4113 |
| weight | 0.3945 | 0.3797 | 0.2257 | |
| Index | POD | MDA | SSs | SPs | Pro | H | RDW | SDW | R/S |
|---|---|---|---|---|---|---|---|---|---|
| Correlation degree | 0.5902 | 0.6387 | 0.5926 | 0.6755 | 0.7036 | 0.6892 | 0.7506 | 0.7181 | 0.7072 |
| Correlation order | 9 | 7 | 8 | 6 | 4 | 5 | 1 | 2 | 3 |
| GI | ||
|---|---|---|
| D value | Pearson correlation | −0.085 |
| Significance | 0.739 | |
| Number of cases | 18 | |
Disclaimer/Publisher’s Note: The statements, opinions and data contained in all publications are solely those of the individual author(s) and contributor(s) and not of MDPI and/or the editor(s). MDPI and/or the editor(s) disclaim responsibility for any injury to people or property resulting from any ideas, methods, instructions or products referred to in the content. |
© 2023 by the authors. Licensee MDPI, Basel, Switzerland. This article is an open access article distributed under the terms and conditions of the Creative Commons Attribution (CC BY) license (https://creativecommons.org/licenses/by/4.0/).
Share and Cite
Wang, X.; Li, X.; Zhou, Q.; Song, S.; Dong, S. Comparison and Evaluation of Low-Temperature Tolerance of Different Soybean Cultivars during the Early-Growth Stage. Agronomy 2023, 13, 1716. https://doi.org/10.3390/agronomy13071716
Wang X, Li X, Zhou Q, Song S, Dong S. Comparison and Evaluation of Low-Temperature Tolerance of Different Soybean Cultivars during the Early-Growth Stage. Agronomy. 2023; 13(7):1716. https://doi.org/10.3390/agronomy13071716
Chicago/Turabian StyleWang, Xin, Xiaomei Li, Qi Zhou, Shuang Song, and Shoukun Dong. 2023. "Comparison and Evaluation of Low-Temperature Tolerance of Different Soybean Cultivars during the Early-Growth Stage" Agronomy 13, no. 7: 1716. https://doi.org/10.3390/agronomy13071716
APA StyleWang, X., Li, X., Zhou, Q., Song, S., & Dong, S. (2023). Comparison and Evaluation of Low-Temperature Tolerance of Different Soybean Cultivars during the Early-Growth Stage. Agronomy, 13(7), 1716. https://doi.org/10.3390/agronomy13071716

