Effectiveness of Four Synthetic Fungicides in the Control of Post-Harvest Gray Mold of Strawberry and Analyses of Residues on Fruit
Abstract
1. Introduction
2. Materials and Methods
2.1. Field Experimental Trial
2.2. Decay Evaluation
2.3. Fungicide Extraction and Analyses
2.4. Statistical Analysis
3. Results
3.1. Decay Evaluation
3.2. Validation of the Analytical Method
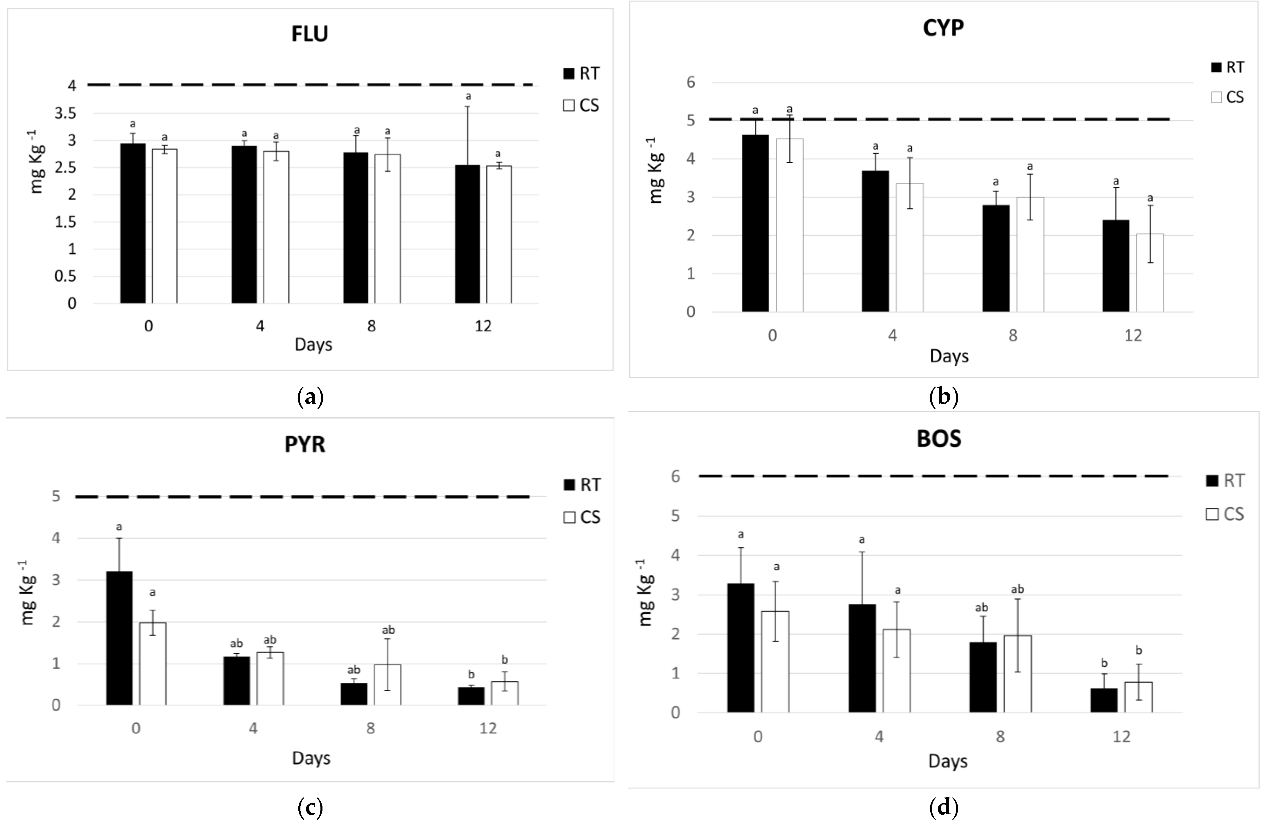
3.3. Fungicide Residues in Fruits
4. Discussion
5. Conclusions
Author Contributions
Funding
Data Availability Statement
Acknowledgments
Conflicts of Interest
References
- Battino, M.; Beekwilder, J.; Denoyes-Rothan, B.; Laimer, M.; McDougall, G.J.; Mezzetti, B. Bioactive compounds in berries relevant to human health. Nutr. Rev. 2009, 67, S145–S150. [Google Scholar] [CrossRef]
- Temperate Fruit Crop Breeding: Germsplasm to Genomics; Hancock, J.F., Ed.; Springer: Dordrecht, The Netherlands, 2008; ISBN 978-1-4020-6906-2. [Google Scholar]
- Xu, D.; Qiao, F.; Xi, P.; Lin, Z.; Jiang, Z.; Romanazzi, G.; Gao, L. Efficacy of pterostilbene suppression of postharvest Gray Mold in table grapes and potential mechanisms. Postharvest Biol. Technol. 2022, 183, 111745. [Google Scholar] [CrossRef]
- Kinay, P.; Mansour, M.F.; Gabler, F.M.; Margosan, D.A.; Smilanick, J.L. Characterization of fungicide-resistant isolates of Penicillium digitatum collected in California. Crop Prot. 2007, 26, 647–656. [Google Scholar] [CrossRef]
- Petrasch, S.; Knapp, S.J.; van Kan, J.A.L.; Blanco-Ulate, B. Grey Mould of strawberry, a devastating disease caused by the ubiquitous necrotrophic fungal pathogen Botrytis cinerea. Mol. Plant Pathol. 2019, 20, 877–892. [Google Scholar] [CrossRef]
- Snowdon, A.L. A Colour Atlas of Post-Harvest Diseases and Disorders of Fruits and Vegetables. 1: General Introduction and Fruits; Wolfe Scientific: London, UK, 1990; ISBN 978-0-7234-0931-1. [Google Scholar]
- Kahramanoğlu, İ.; Panfilova, O.; Kesimci, T.G.; Bozhüyük, A.U.; Gürbüz, R.; Alptekin, H. Control of postharvest Gray Mold at strawberry fruits caused by Botrytis cinerea and improving fruit storability through Origanum onites l. and Ziziphora clinopodioides l. volatile essential oils. Agronomy 2022, 12, 389. [Google Scholar] [CrossRef]
- Cordova, L.G.; Amiri, A.; Peres, N.A. Effectiveness of fungicide treatments following the strawberry advisory system for control of Botrytis fruit rot in Florida. Crop Prot. 2017, 100, 163–167. [Google Scholar] [CrossRef]
- Romanazzi, G.; Smilanick, J.L.; Feliziani, E.; Droby, S. Integrated management of postharvest Gray Mold on fruit crops. Postharvest Biol. Technol. 2016, 113, 69–76. [Google Scholar] [CrossRef]
- Dean, R.; Van Kan, J.A.L.; Pretorius, Z.A.; Hammond-Kosack, K.E.; Di Pietro, A.; Spanu, P.D.; Rudd, J.J.; Dickman, M.; Kahmann, R.; Ellis, J.; et al. The top 10 fungal pathogens in molecular plant pathology. Mol. Plant Pathol. 2012, 13, 414–430. [Google Scholar] [CrossRef]
- Shao, W.; Zhao, Y.; Ma, Z. Advances in understanding fungicide resistance in Botrytis cinerea in China. Phytopathology® 2021, 111, 455–463. [Google Scholar] [CrossRef]
- Feliziani, E.; Landi, L.; Romanazzi, G. Preharvest treatments with chitosan and other alternatives to conventional fungicides to control postharvest decay of strawberry. Carbohydr. Polym. 2015, 132, 111–117. [Google Scholar] [CrossRef]
- Feliziani, E.; Romanazzi, G. Postharvest decay of strawberry fruit: Etiology, epidemiology, and disease management. J. Berry Res. 2016, 6, 47–63. [Google Scholar] [CrossRef]
- Rani, L.; Thapa, K.; Kanojia, N.; Sharma, N.; Singh, S.; Grewal, A.S.; Srivastav, A.L.; Kaushal, J. An extensive review on the consequences of chemical pesticides on human health and environment. J. Clean. Prod. 2021, 283, 124657. [Google Scholar] [CrossRef]
- Handford, C.E.; Elliott, C.T.; Campbell, K. A review of the global pesticide legislation and the scale of challenge in reaching the global harmonization of food safety standards. Integr. Environ. Assess Manag. 2015, 11, 525–536. [Google Scholar] [CrossRef]
- Nasiri, M.; Ahmadzadeh, H.; Amiri, A. Sample preparation and extraction methods for pesticides in aquatic environments: A review. TrAC-Trends Anal. Chem. 2020, 123, 115772. [Google Scholar] [CrossRef]
- Boudh, S.; Singh, J.S. Pesticide contamination: Environmental problems and remediation strategies. In Emerging and Eco-Friendly Approaches for Waste Management; Springer: Berlin/Heidelberg, Germany, 2019; pp. 245–269. [Google Scholar]
- Hoppin, J.A.; Umbach, D.M.; Long, S.; London, S.J.; Henneberger, P.K.; Blair, A.; Alavanja, M.; Freeman, L.E.B.; Sandler, D.P. Pesticides are associated with allergic and non-allergic wheeze among male farmers. Environ. Health Perspect. 2017, 125, 535–543. [Google Scholar] [CrossRef]
- Juntarawijit, C.; Juntarawijit, Y. Association between diabetes and pesticides: A case-control study among Thai farmers. Environ. Health Prev. Med. 2018, 23, 3. [Google Scholar] [CrossRef]
- Kim, K.-H.; Kabir, E.; Jahan, S.A. Exposure to pesticides and the associated human health effects. Sci. Total Environ. 2017, 575, 525–535. [Google Scholar] [CrossRef]
- Piel, C.; Pouchieu, C.; Carles, C.; Béziat, B.; Boulanger, M.; Bureau, M.; Busson, A.; Grüber, A.; Lecluse, Y.; Migault, L.; et al. Agricultural exposures to carbamate herbicides and fungicides and central nervous system tumour incidence in the cohort AGRICAN. Environ. Int. 2019, 130, 104876. [Google Scholar] [CrossRef]
- Romanazzi, G.; Orçonneau, Y.; Moumni, M.; Davillerd, Y.; Marchand, P.A. Basic substances, a sustainable tool to complement and eventually replace synthetic pesticides in the management of pre and postharvest diseases: Reviewed instructions for users. Molecules 2022, 27, 3484. [Google Scholar] [CrossRef]
- Mert, A.; Qi, A.; Bygrave, A.; Stotz, H.U. Trends of pesticide residues in foods imported to the United Kingdom from 2000 to 2020. Food Control 2022, 133, 108616. [Google Scholar] [CrossRef]
- Tripathi, P.; Dubey, N.K.; Shukla, A.K. Use of some essential oils as post-harvest botanical fungicides in the management of Grey Mould of grapes caused by Botrytis cinerea. World J. Microbiol. Biotechnol. 2008, 24, 39–46. [Google Scholar] [CrossRef]
- Kumari, B.; Madan, V.K.; Kathpal, T.S. Monitoring of pesticide residues in fruits. Environ. Monit. Assess. 2006, 123, 407–412. [Google Scholar] [CrossRef] [PubMed]
- Ons, L.; Bylemans, D.; Thevissen, K.; Cammue, B.P.A. Combining biocontrol agents with chemical fungicides for integrated plant fungal disease control. Microorganisms 2020, 8, 1930. [Google Scholar] [CrossRef] [PubMed]
- Sallato, B.V.; Torres, R.; Zoffoli, J.P.; Latorre, B.A. Effect of Boscalid on postharvest decay of strawberry caused by Botrytis cinerea and Rhizopus stolonifer. Span. J. Agric. Res. 2007, 5, 67–78. [Google Scholar] [CrossRef]
- Adaskaveg, J.E.; Forster, H.; Gubler, W.D.; Teviotdale, B.L.; Thompson, D.F. Reduced-Risk fungicides help manage Brown Rot and other fungal diseases of stone fruit. Calif. Agric. 2005, 59, 109–114. [Google Scholar] [CrossRef]
- Smilanick, J.L.; Mansour, M.F.; Mlikota Gabler, F.; Margosan, D.A.; Hashim-Buckey, J. Control of postharvest Gray Mold of table grapes in the San Joaquin Valley of California by fungicides applied during the growing season. Plant Dis. 2010, 94, 250–257. [Google Scholar] [CrossRef]
- Chen, L.; Zhang, S. Dissipation and residues of Boscalid in strawberries and soils. Bull. Environ. Contam. Toxicol. 2010, 84, 301–304. [Google Scholar] [CrossRef][Green Version]
- Liu, C.; Wang, S.; Li, L.; Ge, J.; Jiang, S.; Liu, F. Dissipation and residue of Cyprodinil in strawberry and soil. Bull. Environ. Contam. Toxicol. 2011, 86, 323–325. [Google Scholar] [CrossRef]
- Casals, C.; Torres, R.; Teixidó, N.; De Cal, A.; Segarra, J.; Usall, J. Brown Rot on Stone Fruit: From epidemiology studies to the development of effective control strategies. Sci. Hortic. 2022, 301, 111096. [Google Scholar] [CrossRef]
- McManus, P.S.; Proffer, T.J.; Berardi, R.; Gruber, B.R.; Nugent, J.E.; Ehret, G.E.; Ma, Z.; Sundin, G.W. Integration of copper-based and reduced-risk fungicides for control of Blumeriella jaapii on sour cherry. Plant Dis. 2007, 91, 294–300. [Google Scholar] [CrossRef]
- Wedge, D.E.; Smith, B.J.; Quebedeaux, J.P.; Constantin, R.J. Fungicide management strategies for control of strawberry fruit rot diseases in Louisiana and Mississippi. Crop Prot. 2007, 26, 1449–1458. [Google Scholar] [CrossRef]
- Hollomon, D.W. Fungicide resistance: 40 years on and still a major problem. In Fungicide Resistance in Plant Pathogens; Springer: Berlin/Heidelberg, Germany, 2015; pp. 3–11. [Google Scholar]
- Leroch, M.; Plesken, C.; Weber, R.W.S.; Kauff, F.; Scalliet, G.; Hahn, M. Gray Mold populations in german strawberry fields are resistant to multiple fungicides and dominated by a novel clade closely related to Botrytis cinerea. Appl. Environ. Microbiol. 2013, 79, 9. [Google Scholar] [CrossRef] [PubMed]
- Lopes, U.P.; Zambolim, L.; Capobiango, N.P.; Gracia, N.A.O.; Freitas-Lopes, R.L. Resistance of Botrytis cinerea to fungicides controlling Gray Mold on strawberry in Brazil. Bragantia 2017, 76, 266–272. [Google Scholar] [CrossRef]
- Adnan, M. Fungicide resistance of Botrytis cinerea from strawberry to procymidone and zoxamide in Hubei, China. Phytopathol. Res. 2019, 1, 17. [Google Scholar] [CrossRef]
- EFSA The 2009 European Union Report on Pesticide Residues in Food. EFSA J. 2011, 9, 2430–2655. [CrossRef]
- Spellman, F.R. The Science of Environmental Pollution; CRC Press: Boca Raton, FL, USA, 2017; ISBN 978-3-642-25387-4. [Google Scholar]
- Łozowicka, B.; Hrynko, I.; Kaczyński, P.; Jankowska, M.; Rutkowska, E. Long-term investigation and health risk assessment of multi-class fungicide residues in fruits. Pol. J. Environ. Stud. 2016, 25, 681–697. [Google Scholar] [CrossRef] [PubMed]
- Nassar, A.; Salim, Y.N.E.-D. Study of pesticides residues in strawberry fruits collected from major producing governorates in Egypt. J. Appl. Plant Prot. 2019, 8, 1–6. [Google Scholar] [CrossRef]
- Sánchez, M.; Fischer, G.; Acuña, J.F.; Darghan, A.E. Pesticide residues in strawberry fruits cultivated under integrated pest management and conventional systems in Cundinamarca (Colombia). Rev. Colomb. Cienc. Hortícolas 2019, 13, 35–45. [Google Scholar] [CrossRef]
- Sójka, M.; Miszczak, A.; Sikorski, P.; Zagibajło, K.; Karlińska, E.; Kosmala, M. Pesticide residue levels in strawberry processing by-products that are rich in ellagitannins and an assessment of their dietary risk to consumers. NFS J. 2015, 1, 31–37. [Google Scholar] [CrossRef]
- El-Sheikh, E.-S.A.; Li, D.; Hamed, I.; Ashour, M.-B.; Hammock, B.D. Residue Analysis and Risk Exposure Assessment of multiple pesticides in tomato and strawberry and their products from markets. Foods 2023, 12, 1936. [Google Scholar] [CrossRef]
- Lozowicka, B.; Jankowska, M.; Hrynko, I.; Kaczynski, P. Removal of 16 pesticide residues from strawberries by washing with tap and ozone water, ultrasonic cleaning and boiling. Environ. Monit. Assess. 2016, 188, 51. [Google Scholar] [CrossRef] [PubMed]
- Hahn, M. The rising threat of fungicide resistance in plant pathogenic fungi: Botrytis as a case study. J. Chem. Biol. 2014, 7, 133–141. [Google Scholar] [CrossRef] [PubMed]
- Zhang, W.; Chen, H.; Han, X.; Yang, Z.; Tang, M.; Zhang, J.; Zeng, S.; Hu, D.; Zhang, K. Determination and analysis of the dissipation and residue of Cyprodinil and Fludioxonil in grape and soil using a modified QuEChERS method. Environ. Monit. Assess. 2015, 187, 414. [Google Scholar] [CrossRef] [PubMed]
- McKinney, H. Influence of soil temperature and moisture on infection of wheat seedlings by helmin. J. Agric. Res. 1923, 26, 195. [Google Scholar]
- Bonerba, E.; Ceci, E.; Montemurro, N.; Tantillo, G.; Di Pinto, A.; Celano, G.V.; Bozzo, G. Rapid modified QuEChERS method for pesticides detection in honey by high-performance liquid chromatography UV-visible. Ital. J. Food Saf. 2014, 3, 1647. [Google Scholar] [CrossRef] [PubMed]
- Gabriolotto, C.; Monchiero, M.; Nègre, M.; Spadaro, D.; Gullino, M.L. Effectiveness of control strategies against Botrytis cinerea in vineyard and evaluation of the residual fungicide concentrations. J. Environ. Sci. Health Part B 2009, 44, 389–396. [Google Scholar] [CrossRef]
- Mouden, N.; Chliyeh, M.; Benkirane, R.; Ouazzani, A.; Douira, A. Chemical control of some strawberries fungal pathogens by foliar fungicides under in vitro and in vivo conditions. Int. J. Recent Sci. Res. 2016, 7, 9037–9051. [Google Scholar]
- Yin, D.; Wu, S.; Liu, N.; Yin, Y.; Ma, Z. The natural Fenhexamid-resistant Grey Mould populations from strawberry in Zhejiang province are dominated by Botrytis cinerea group S. Pest Manag. Sci. 2016, 72, 1540–1548. [Google Scholar] [CrossRef]
- De Miccolis Angelini, R.M.; Rotolo, C.; Masiello, M.; Gerin, D.; Pollastro, S.; Faretra, F. Occurrence of fungicide resistance in populations of Botryotinia Fuckeliana ( Botrytis Cinerea ) on table grape and strawberry in southern Italy: Occurrence of fungicide resistance in populations. Pest Manag. Sci. 2014, 70, 1785–1796. [Google Scholar] [CrossRef]
- Baroffio, C.A.; Siegfried, W.; Hilber, U.W. Long-Term monitoring for resistance of Botryotinia fuckeliana to Anilinopyrimidine, Phenylpyrrole, and Hydroxyanilide fungicides in Switzerland. Plant Dis. 2003, 87, 662–666. [Google Scholar] [CrossRef]
- Amiri, A.; Heath, S.M.; Peres, N.A. Phenotypic characterization of multifungicide resistance in Botrytis cinerea isolates from strawberry fields in Florida. Plant Dis. 2013, 97, 393–401. [Google Scholar] [CrossRef]
- Veloukas, T.; Karaoglanidis, G.S. Biological activity of the succinate dehydrogenase inhibitor Fluopyram against Botrytis cinerea and fungal baseline sensitivity: Biological activity of Fluopyram against B. cinerea and fungal baseline sensitivity. Pest Manag. Sci. 2012, 68, 858–864. [Google Scholar] [CrossRef] [PubMed]
- Fenoll, J.; Ruiz, E.; Hellín, P.; Lacasa, A.; Flores, P. Dissipation rates of insecticides and fungicides in peppers grown in greenhouse and under cold storage conditions. Food Chem. 2009, 113, 727–732. [Google Scholar] [CrossRef]
- Marín, A.; Oliva, J.; Garcia, C.; Navarro, S.; Barba, A. Dissipation rates of Cyprodinil and Fludioxonil in lettuce and table grape in the field and under cold storage conditions. J. Agric. Food Chem. 2003, 51, 4708–4711. [Google Scholar] [CrossRef] [PubMed]
- D’Aquino, S.; Schirra, M.; Palma, A.; Tedde, M.; Angionl, A.; Garau, A.; Cabras, P. Residue levels and storage responses of nectarines, apricots, and peaches after dip treatments with Fludioxonil fungicide mixtures. J. Agric. Food Chem. 2007, 55, 825–831. [Google Scholar] [CrossRef] [PubMed]
- Yigit, N.; Velioglu, Y.S. Effects of processing and storage on pesticide residues in foods. Crit. Rev. Food Sci. Nutr. 2020, 60, 3622–3641. [Google Scholar] [CrossRef] [PubMed]
- Besil, N.; Pérez-Parada, A.; Cesio, V.; Varela, P.; Rivas, F.; Heinzen, H. Degradation of Imazalil, Orthophenylphenol and Pyrimethanil in clementine mandarins under conventional postharvest industrial conditions at 4 °C. Food Chem. 2016, 194, 1132–1137. [Google Scholar] [CrossRef]
- Schirra, M.; Palma, A.; Barberis, A.; Angioni, A.; Garau, V.L.; Cabras, P.; D’Aquino, S. Postinfection activity, residue levels, and persistence of Azoxystrobin, Fludioxonil, and Pyrimethanil applied alone or in combination with heat and Imazalil for Green Mold control on inoculated oranges. J. Agric. Food Chem. 2010, 58, 3661–3666. [Google Scholar] [CrossRef]
- Romanazzi, G.; Moumni, M. Chitosan and other edible coatings to extend shelf life, manage postharvest decay, and reduce loss and waste of fresh fruits and vegetables. Curr. Opin. Biotechnol. 2022, 78, 102834. [Google Scholar] [CrossRef]
- Cruz, A.F.; Barka, G.D.; Sylla, J.; Reineke, A. Biocontrol of strawberry fruit infected by Botrytis cinerea: Effects on the microbial communities on fruit assessed by next-generation sequencing. J. Phytopathol. 2018, 166, 403–411. [Google Scholar] [CrossRef]
- Dėnė, L.; Valiuškaitė, A. Sensitivity of Botrytis cinerea isolates complex to plant extracts. Molecules 2021, 26, 4595. [Google Scholar] [CrossRef] [PubMed]






Disclaimer/Publisher’s Note: The statements, opinions and data contained in all publications are solely those of the individual author(s) and contributor(s) and not of MDPI and/or the editor(s). MDPI and/or the editor(s) disclaim responsibility for any injury to people or property resulting from any ideas, methods, instructions or products referred to in the content. |
© 2023 by the authors. Licensee MDPI, Basel, Switzerland. This article is an open access article distributed under the terms and conditions of the Creative Commons Attribution (CC BY) license (https://creativecommons.org/licenses/by/4.0/).
Share and Cite
Vischetti, C.; Feliziani, E.; Landi, L.; De Bernardi, A.; Marini, E.; Romanazzi, G. Effectiveness of Four Synthetic Fungicides in the Control of Post-Harvest Gray Mold of Strawberry and Analyses of Residues on Fruit. Agronomy 2024, 14, 65. https://doi.org/10.3390/agronomy14010065
Vischetti C, Feliziani E, Landi L, De Bernardi A, Marini E, Romanazzi G. Effectiveness of Four Synthetic Fungicides in the Control of Post-Harvest Gray Mold of Strawberry and Analyses of Residues on Fruit. Agronomy. 2024; 14(1):65. https://doi.org/10.3390/agronomy14010065
Chicago/Turabian StyleVischetti, Costantino, Erica Feliziani, Lucia Landi, Arianna De Bernardi, Enrica Marini, and Gianfranco Romanazzi. 2024. "Effectiveness of Four Synthetic Fungicides in the Control of Post-Harvest Gray Mold of Strawberry and Analyses of Residues on Fruit" Agronomy 14, no. 1: 65. https://doi.org/10.3390/agronomy14010065
APA StyleVischetti, C., Feliziani, E., Landi, L., De Bernardi, A., Marini, E., & Romanazzi, G. (2024). Effectiveness of Four Synthetic Fungicides in the Control of Post-Harvest Gray Mold of Strawberry and Analyses of Residues on Fruit. Agronomy, 14(1), 65. https://doi.org/10.3390/agronomy14010065

