Inductive Effect of Exogenous Abscisic Acid on the Weed-Suppressive Activity of Allelopathic and Non-Allelopathic Rice Accessions at the Root Level
Abstract
1. Introduction
2. Materials and Methods
2.1. Inducing Experiment
2.2. Evaluation of the Allelopathic Effect of Rice Cultivars on the Barnyardgrass Growth
2.3. Measurement of Root Morphological Traits
2.4. Quantification of Phenolic Acids in the Rice Root Exudates
2.5. RNA Extraction and Quantitative Real-Time PCR
2.6. Statistical Analysis
3. Results
3.1. ABA-Induced Rice Allelopathy
3.2. Effect of Exogenous ABA on the Root Growth of Rice Cultivars
3.3. ABA Induced the Production of Phenolic Allelochemicals in Rice Root-Exudates
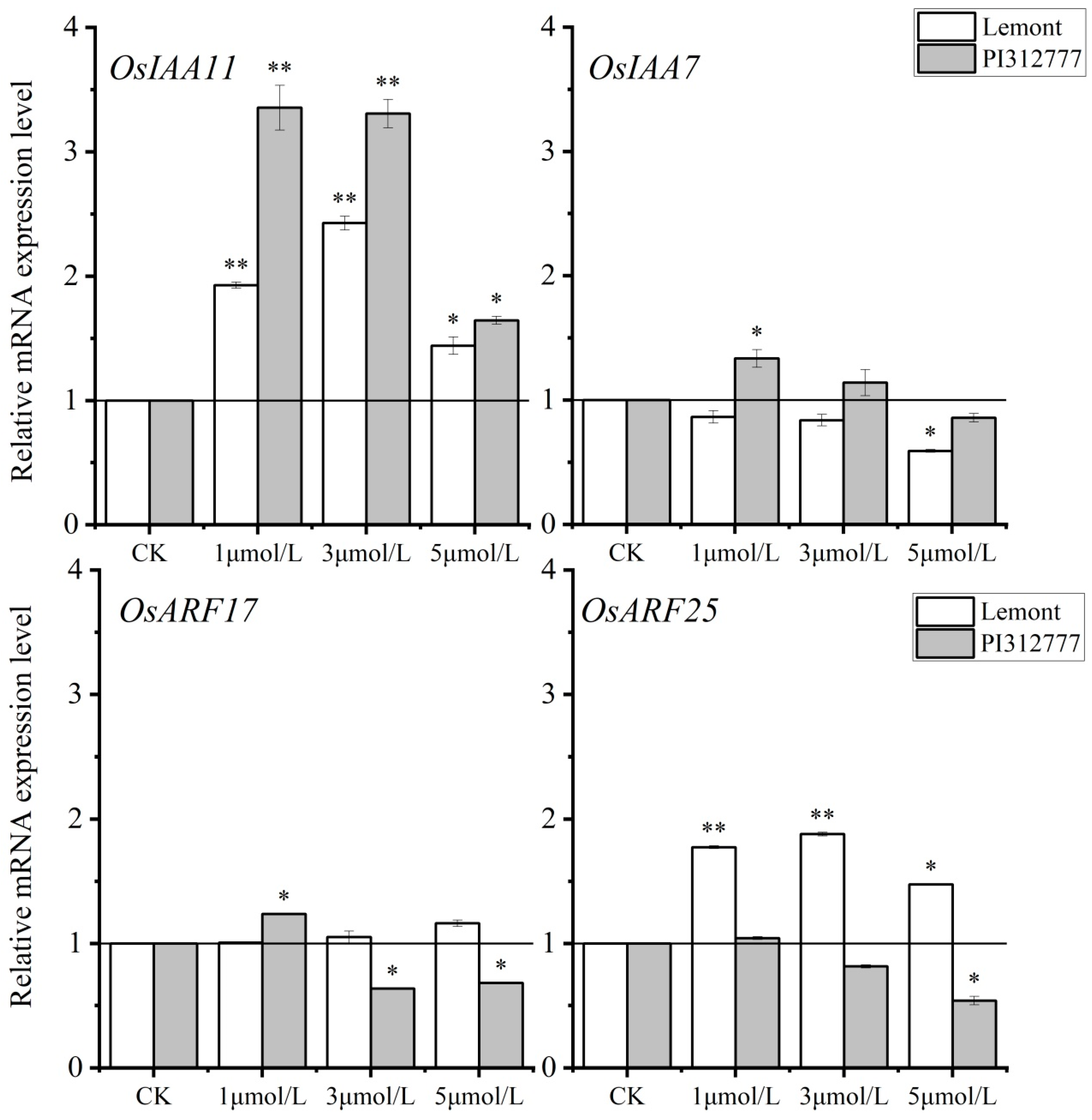
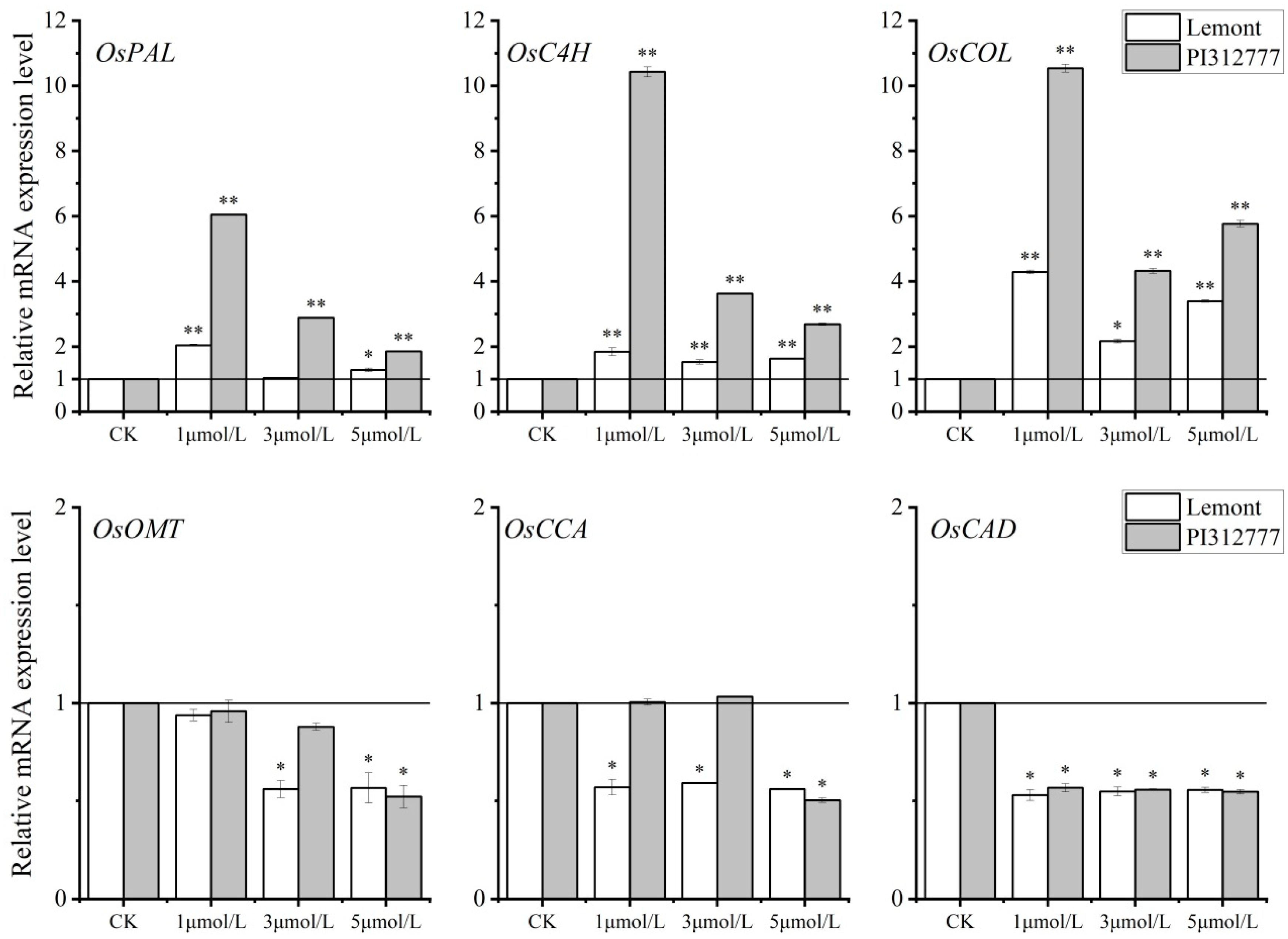
3.4. ABA Induced the Expression of Key Genes Involved in the Biosynthesis of Rice Allelochemicals
4. Discussion
Supplementary Materials
Author Contributions
Funding
Data Availability Statement
Acknowledgments
Conflicts of Interest
References
- Meiners, S.J.; Kong, C.H.; Ladwig, L.M.; Pisula, N.L.; Lang, K.A. Developing an ecological context for allelopathy. Plant Ecol. 2012, 213, 1221–1227. [Google Scholar] [CrossRef]
- Fang, C.; Li, Y.; Li, C.; Li, B.; Ren, Y.; Zheng, H.; Zeng, X.; Shen, L.; Lin, W. Identification and comparative analysis of microRNAs in barnyardgrass (Echinochloa crus-galli) in response to rice allelopathy. Plant Cell Environ. 2015, 38, 1368–1381. [Google Scholar] [CrossRef]
- Li, J.Y.; Lin, S.X.; Zhang, Q.; Li, L.; Hu, W.W.; He, H.B. Phenolic acids and terpenoids in the soils of different weed-suppressive circles of allelopathic rice. Arch. Agron. Soil Sci. 2020, 66, 266–278. [Google Scholar] [CrossRef]
- Seal, A.N.; Pratley, J.E.; Haig, T.; An, M. Identification and quantitation of compounds in a series of allelopathic and non-allelopathic rice root exudates. J. Chem. Ecol. 2004, 30, 1647–1662. [Google Scholar] [CrossRef]
- Zhang, Q.; Zheng, X.Y.; Lin, S.X.; Gu, C.Z.; Li, L.; Li, J.Y.; Fang, C.X.; He, H.B. Transcriptome analysis reveals that barnyard grass exudates increase the allelopathic potential of allelopathic and non-allelopathic rice (Oryza sativa) accessions. Rice 2019, 12, 30. [Google Scholar] [CrossRef]
- Kato-Noguchi, H. Barnyard grass-induced rice allelopathy and momilactone B. J. Plant Physiol. 2011, 168, 1016–1020. [Google Scholar] [CrossRef]
- Kato-Noguchi, H.; Ino, T. Possible involvement of momilactone B in rice allelopathy. J. Plant Physiol. 2005, 162, 718–721. [Google Scholar] [CrossRef]
- Yang, X.F.; Kong, C.H. Interference of allelopathic rice with paddy weeds at the root level. Plant Biol. 2017, 19, 584–591. [Google Scholar] [CrossRef]
- Xu, M.; Galhano, R.; Wiemann, P.; Bueno, E.; Tiernan, M.; Wu, W.; Chung, I.M.; Gershenzon, J.; Tudzynski, B.; Sesma, A.; et al. Genetic evidence for natural product-mediated plant-plant allelopathy in rice (Oryza sativa). New Phytol. 2012, 193, 570–575. [Google Scholar] [CrossRef]
- Fang, C.; Zhuang, Y.; Xu, T.; Li, Y.; Li, Y.; Lin, W. Changes in rice allelopathy and rhizosphere microflora by inhibiting rice phenylalanine ammonialyase gene expression. J. Chem. Ecol. 2013, 39, 204–212. [Google Scholar] [CrossRef]
- Li, L.L.; Zhao, H.H.; Kong, C.H. (–)-Loliolide, the most ubiquitous lactone, is involved in barnyardgrass-induced rice allelopathy. J. Exp. Bot. 2020, 72, 1540–1550. [Google Scholar] [CrossRef]
- Bi, H.H.; Zeng, R.S.; Su, L.M.; An, M.; Luo, S.M. Rice allelopathy induced by methyl jasmonate and methyl salicylate. J. Chem. Ecol. 2007, 33, 1089–1103. [Google Scholar] [CrossRef]
- Fang, C.X.; Xiong, J.; Qiu, L.; Wang, H.B.; Song, B.Q.; He, H.B.; Lin, R.Y.; Lin, W.X. Analysis of gene expressions associated with increased allelopathy in rice (Oryza sativa L.) induced by exogenous salicylic acid. Plant Growth Regul. 2009, 57, 163–172. [Google Scholar] [CrossRef]
- Kong, C.; Hu, F.; Zhang, C.; Xu, X. Inducible effects of methyl jasmonate on allelochemicals from rice. Acta Ecol. Sinica. 2004, 24, 177–180. [Google Scholar]
- Patni, B.; Bhattacharyya, M.; Pokhriyal, A. The role of signaling compounds in enhancing rice allelochemicals for sustainable agriculture: An overview. Planta 2023, 258, 90. [Google Scholar] [CrossRef]
- Mahmood, K.; Khan, M.B.; Ijaz, M.; Ullah, H.; Mahmood, A.; Song, Y.Y.; Luo, S.M.; Zeng, R.S. Exogenous application of signaling compounds enhances rice allelopathic potential in rhizosphere soil. Int. J. Agric. Biol. 2013, 15, 1319–1324. [Google Scholar]
- Zhang, Q.; Li, L.; Li, J.; Wang, H.; Fang, C.; Yang, X.; He, H. Increasing rice allelopathy by induction of barnyard Grass (Echinochloa crus-galli) root exudates. Plant Growth Regul. 2018, 37, 745–754. [Google Scholar] [CrossRef]
- Li, J.Y.; Lin, S.X.; Zhang, Q.; Hu, W.W.; He, H.B. Fine-root traits of allelopathic rice at the seedling stage and their relationship with allelopathic potential. Peer J. 2019, 7, e7006. [Google Scholar] [CrossRef]
- Li, J.Y.; Lin, S.X.; Ma, H.Y.; Wang, Y.P.; He, H.B.; Fang, C.X. Spatial-temporal distribution of allelopathic rice roots in paddy soil and its impact on weed-suppressive activity at the seedling stages. Front. Plant Sci. 2022, 13, 940218. [Google Scholar] [CrossRef] [PubMed]
- Chen, C.W.; Yang, Y.W.; Lur, H.S.; Tsai YGChang, M. A novel function of abscisic acid in the regulation of rice (Oryza sativa L.) root growth and development. Plant Cell Physiol. 2006, 47, 1–13. [Google Scholar] [CrossRef] [PubMed]
- Harris, J.M. Abscisic acid: Hidden architect of root system structure. Plants 2015, 4, 548–572. [Google Scholar] [CrossRef] [PubMed]
- Liu, H.; Ren, X.; Zhu, J.; Wu, X.; Liang, C. Effect of exogenous abscisic acid on morphology, growth and nutrient uptake of rice (Oryza sativa) roots under simulated acid rain stress. Planta 2018, 248, 647–659. [Google Scholar] [CrossRef] [PubMed]
- Qin, H.; Wang, J.; Zhou, J.; Qiao, J.; Li, Y.; Quan, R.; Huang, R. Abscisic acid promotes auxin biosynthesis to inhibit primary root elongation in rice. Plant Physiol. 2023, 191, 1953–1967. [Google Scholar] [CrossRef] [PubMed]
- Chen, G.; Zheng, D.; Feng, N.; Zhou, H.; Mu, D.; Zhao, L.; Shen, X.; Rao, G.; Meng, F.; Huang, A. Physiological mechanisms of ABA-induced salinity tolerance in leaves and roots of rice. Sci. Rep. 2022, 12, 8228. [Google Scholar] [CrossRef] [PubMed]
- Dilday, R.H.; Lin, J.; Yan, W. Identifcation of allelopathy in the USDA-ARS rice germplasm collection. Aust. J. Exp. Agric. 1994, 34, 907–910. [Google Scholar] [CrossRef]
- Fang, C.; Yang, L.; Chen, W.; Li, L.; Zhang, P.; Li, Y.; He, H.; Lin, W. MYB57 transcriptionally regulates MAPK11 to interact with PAL2;3 and modulate rice allelopathy. J. Exp. Bot. 2020, 71, 2127–2142. [Google Scholar] [CrossRef]
- Zhu, Z.; Liu, Y.; Liu, S.; Mao, C.; Wu, Y.; Wu, P. A gain-of-function mutation in OsIAA11 affects lateral root development in rice. Mol. Plant 2012, 5, 154–161. [Google Scholar] [CrossRef]
- Song, X.; Xiong, Y.; Kong, X.; Huang, G. Roles of auxin response factors in rice development and stress responses. Plant Cell Environ. 2022, 46, 1075–1108. [Google Scholar] [CrossRef]
- Cheng, F.; Cheng, Z.; Meng, H. Allelopathic effects of rice on weeds: A review. J. Food Agric. Environ. 2011, 9, 243–247. [Google Scholar]
- Khanh, T.D.; Xuan, T.D.; Chung, I.M. Rice allelopathy and the possibility for weed management. Ann. Appl. Biol. 2007, 151, 325–339. [Google Scholar] [CrossRef]
- Vergara, B.S. A Farmer’s Primer on Growing Rice, Revised ed.; International Rice Research Institute: Manila, Philippines, 1992. [Google Scholar]
- Kostina-Bednarz, M.; Płonka, J.; Barchanska, H. Allelopathy as a source of bioherbicides: Challenges and prospects for sustainable agriculture. Rev. Environ. Sci. Biotechnol. 2023, 22, 471–504. [Google Scholar] [CrossRef]
- Olofsdotter, M.; Rebulanan, M.; Madrid, A.; Dali, W.; Navarez, D.; Olk, D.C. Why phenolic acids are unlikely primary allelochemicals in rice. J. Chem. Ecol. 2002, 28, 229–242. [Google Scholar] [CrossRef] [PubMed]
- Parthasarathy, A.; Borrego, E.J.; Savka, M.A.; Dobson, R.C.J.; Hudson, A.O. Amino acid–derived defense metabolites from plants: A potential source to facilitate novel antimicrobial development. J. Biol. Chem. 2021, 296, 100438. [Google Scholar] [CrossRef] [PubMed]
- Sultana, M.H.; Alamin, M.; Qiu, J.; Fan, L.; Ye, C. Transcriptomic profling reveals candidate allelopathic genes in rice responsible for interactions with barnyardgrass. Front. Plant Sci. 2023, 14, 1104951. [Google Scholar] [CrossRef]
- García-Romeral, J.; Castanera, R.; Casacuberta, J.; Domingo, C. Deciphering the genetic basis of allelopathy in japonica rice cultivated in temperate regions using a Genome-Wide Association Study. Rice 2024, 17, 22. [Google Scholar] [CrossRef]
- Khanh, T.D.; Anh, L.H.; Nghia, L.T.; Huu Trung, K.; Bich Hien, P.; Minh Trung, D.; Dang Xuan, T. Allelopathic responses of rice seedlings under some different stresses. Plants 2018, 7, 40. [Google Scholar] [CrossRef]
- Lam, P.Y.; Liu, H.; Lo, C. Completion of tricin biosynthesis pathway in rice: Cytochrome P450 75B4 is a novel chrysoeriol 5’-hydroxylase. Plant Physiol. 2015, 168, 1527–1536. [Google Scholar] [CrossRef]
- Xu, W.; Jia, L.; Shi, W.; Liang, J.; Zhou, F.; Li, Q.; Zhang, J. Abscisic acid accumulation modulates auxin transport in the root tip to enhance proton secretion for maintaining root growth under moderate water stress. New Phytol. 2013, 197, 139–150. [Google Scholar] [CrossRef]
- Xie, Q.; Essemine, J.; Pang, X.; Chen, H.; Cai, W. Exogenous application of abscisic acid to shoots promotes primary root cell division and elongation. Plant Sci. 2020, 292, 110385. [Google Scholar] [CrossRef]
- Li, X.; Chen, L.; Forde, B.G.; Davies, W.J. The biphasic root growth response to Abscisic Acid in Arabidopsis involves interaction with ethylene and auxin signaling pathways. Front. Plant Sci. 2017, 8, 1493. [Google Scholar]
- Song, Y.L.; Wang, L.; Xiong, L.Z. Comprehensive expression profiling analysis of OsIAA gene family in developmental processes and in response to phytohormone and stress treatments. Planta 2009, 229, 577–591. [Google Scholar] [CrossRef] [PubMed]
- Mahé, I.; Chauvel, B.; Colbach, N.; Cordeau, S.; Gfeller, A.; Reiss, A.; Moreau, D. Deciphering field-based evidences for crop allelopathy in weed regulation. Agron. Sustain. Dev. 2022, 42, 50. [Google Scholar] [CrossRef]
- Hickman, D.T.; Comont, D.; Rasmussen, A.; Birkett, M.A. Novel and holistic approaches are required to realize allelopathic potential for weed management. Ecol. Evol. 2023, 13, e10018. [Google Scholar] [CrossRef] [PubMed]







| Plant Height | Fresh Weight | Dry Weight | ||||
|---|---|---|---|---|---|---|
| TA | IA | TA | IA | TA | IA | |
| PI312777 | ||||||
| T0(GA) | 30.04 ± 0.91 c | - | 62.20 ± 2.10 c | - | 49.53 ± 1.63 c | - |
| T1 | 31.32 ± 0.35 bc | 1.29 | 69.39 ± 0.15 ab | 7.19 | 59.14 ± 1.53 ab | 9.61 |
| T2 | 37.27 ± 2.21 a | 7.24 | 72.30 ± 1.30 a | 10.1 | 62.75 ± 3.10 a | 13.23 |
| T3 | 33.09 ± 2.66 b | 3.05 | 68.55 ± 0.29 b | 6.35 | 56.39 ± 2.53 bc | 6.86 |
| Lemont | ||||||
| T0(GA) | 11.12 ± 2.90 c | - | 38.47 ± 1.88 c | - | 30.98 ± 1.94 c | - |
| T1 | 13.39 ± 0.44 ab | 2.27 | 41.31 ± 3.93 ab | 2.84 | 35.14 ± 0.86 b | 4.17 |
| T2 | 15.15 ± 0.49 a | 4.04 | 41.50 ± 4.99 a | 3.02 | 41.88 ± 0.93 a | 10.9 |
| T3 | 12.60 ± 0.87 bc | 1.48 | 39.51 ± 4.68 bc | 1.04 | 36.87 ± 2.06 b | 5.89 |
Disclaimer/Publisher’s Note: The statements, opinions and data contained in all publications are solely those of the individual author(s) and contributor(s) and not of MDPI and/or the editor(s). MDPI and/or the editor(s) disclaim responsibility for any injury to people or property resulting from any ideas, methods, instructions or products referred to in the content. |
© 2024 by the authors. Licensee MDPI, Basel, Switzerland. This article is an open access article distributed under the terms and conditions of the Creative Commons Attribution (CC BY) license (https://creativecommons.org/licenses/by/4.0/).
Share and Cite
Li, J.; Wang, T.; Fan, Y.; Chen, S.; Ye, X.; Wang, Y.; Cheng, C. Inductive Effect of Exogenous Abscisic Acid on the Weed-Suppressive Activity of Allelopathic and Non-Allelopathic Rice Accessions at the Root Level. Agronomy 2024, 14, 2297. https://doi.org/10.3390/agronomy14102297
Li J, Wang T, Fan Y, Chen S, Ye X, Wang Y, Cheng C. Inductive Effect of Exogenous Abscisic Acid on the Weed-Suppressive Activity of Allelopathic and Non-Allelopathic Rice Accessions at the Root Level. Agronomy. 2024; 14(10):2297. https://doi.org/10.3390/agronomy14102297
Chicago/Turabian StyleLi, Jiayu, Ting Wang, Yuhui Fan, Shuyu Chen, Xinyi Ye, Yanping Wang, and Chen Cheng. 2024. "Inductive Effect of Exogenous Abscisic Acid on the Weed-Suppressive Activity of Allelopathic and Non-Allelopathic Rice Accessions at the Root Level" Agronomy 14, no. 10: 2297. https://doi.org/10.3390/agronomy14102297
APA StyleLi, J., Wang, T., Fan, Y., Chen, S., Ye, X., Wang, Y., & Cheng, C. (2024). Inductive Effect of Exogenous Abscisic Acid on the Weed-Suppressive Activity of Allelopathic and Non-Allelopathic Rice Accessions at the Root Level. Agronomy, 14(10), 2297. https://doi.org/10.3390/agronomy14102297
