Arbuscular Mycorrhizae Affect Soil Nitrogen Fertilizer Utilization, Denitrification Functional Genes, and N2O Emissions During Biochar Amendment
Abstract
1. Introduction
2. Materials and Methods
2.1. Biochar, AMF Inocula, Soil, and Plant Preparation
2.2. Experimental Design
2.2.1. Microcosm Experiment
2.2.2. Plant Growth Conditions
2.3. Measurements
2.3.1. Measurement of Plant Biomass, N Contents, and Root AMF Colonization
2.3.2. Measurement of Soil N2O Emissions
2.3.3. Soil Sampling and Analyses
2.3.4. Soil DNA Extracted and Denitrification Functional Gene Abundances
2.4. Calculation of Nitrogen Utilization
2.5. Statistical Analysis
3. Results
3.1. Maize Plant Biomass, Soil Inorganic N Contents, and AMF Colonization of Roots
3.2. Soil N2O Emissions
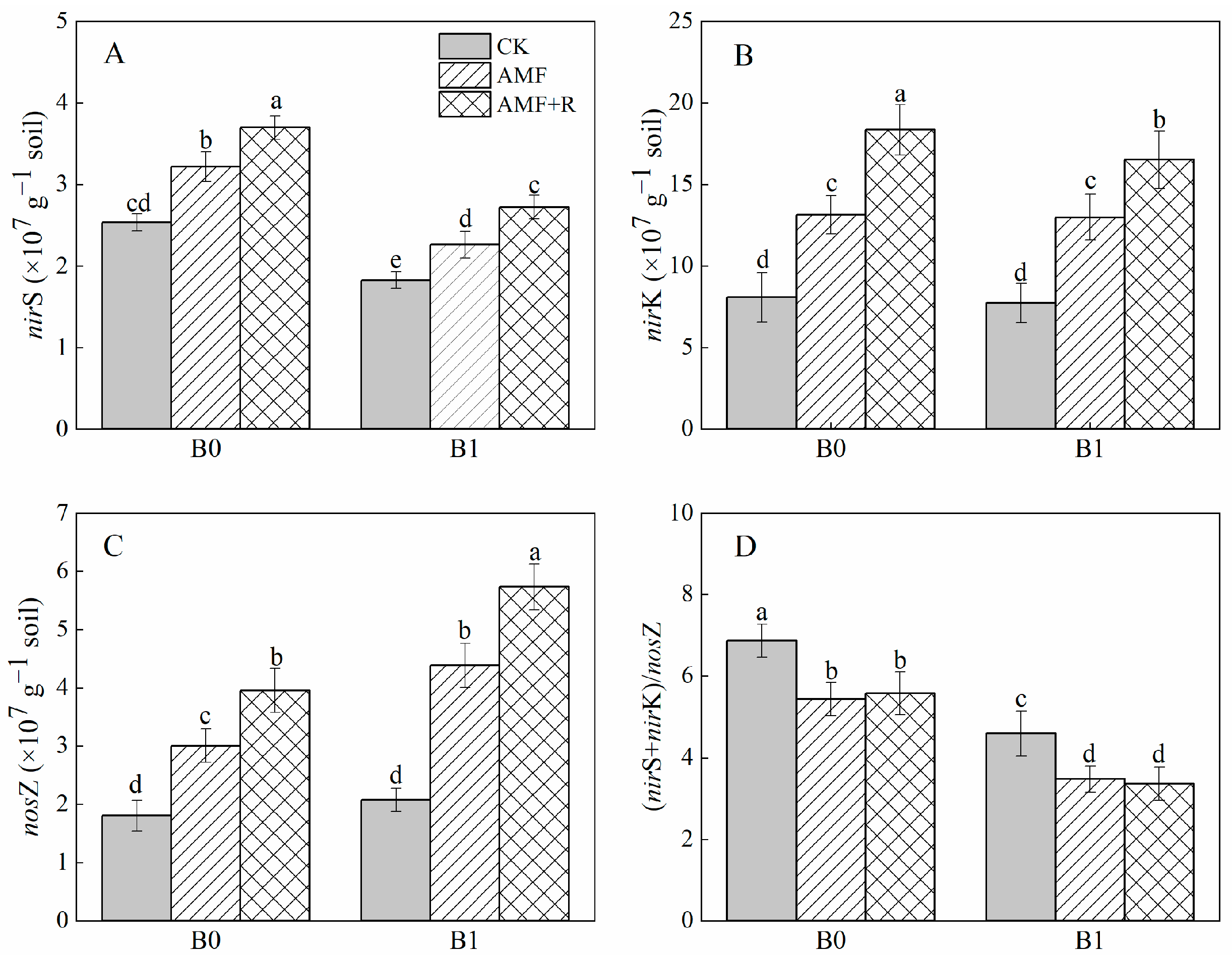
3.3. Abundances of Denitrification Genes
3.4. Nitrogen Content and Nitrogen Use Efficiency of Maize Plants
3.5. Factors Affecting Soil N2O Emissions
4. Discussion
4.1. Effects of Biochar, AMF, and Roots on Maize Growth
4.2. Effects of Biochar, AMF, and Roots on Soil N Utilization
4.3. Effects of Biochar, AMF, and Roots on N2O Emissions
5. Conclusions
Author Contributions
Funding
Data Availability Statement
Conflicts of Interest
References
- Ravishankara, A.R.; Daniel, J.S.; Portmann, R.W. Nitrous oxide (N2O): The dominant ozone-depleting substance emitted in the 21st century. Science 2009, 326, 123–125. [Google Scholar] [CrossRef]
- Wu, P.; Xie, M.H.; Clough, T.J.; Yuan, D.; Wu, S.H.; He, X.D.; Hu, C.S.; Zhou, S.G.; Qin, S.P. Biochar-derived persistent free radicals and reactive oxygen species reduce the potential of biochar to mitigate soil N2O emissions by inhibiting nosZ. Soil Biol. Biochem. 2023, 178, 108970. [Google Scholar] [CrossRef]
- Luo, Z.; Lam, S.K.; Fu, H.; Hu, S.; Chen, D. Temporal and spatial evolution of nitrous oxide emissions in China: Assessment, strategy and recommendation. J. Clean Prod. 2019, 223, 360–367. [Google Scholar] [CrossRef]
- Butterbach-Bahl, K.; Baggs, E.M.; Dannenmann, M.; Kiese, R.; Zechmeister-Boltenstern, S. Nitrous oxide emissions from soils: How well do we understand the processes and their controls? Phil. Trans. R. Soc. B 2013, 368, 20130122. [Google Scholar] [CrossRef]
- Firestone, M.K.; Firestone, R.B.; Tiedje, J.M. Nitrous oxide from soil denitrification: Factors controlling its biological production. Science 1980, 208, 749–751. [Google Scholar] [CrossRef]
- Jones, C.M.; Putz, M.; Tiemann, M.; Hallin, S. Reactive nitrogen restructures and weakens microbial controls of soil N2O emissions. Commun. Biol. 2022, 5, 273. [Google Scholar] [CrossRef]
- Hallin, S.; Philippot, L.; Löffler, F.E.; Sanford, R.A.; Jones, C.M. Genomics and ecology of novel N2O-reducing microorganisms. Trends Microbiol. 2018, 26, 43–55. [Google Scholar] [CrossRef]
- Jones, C.M.; Spor, A.; Brennan, F.P.; Breuil, M.C.; Bru, D.; Lemanceau, P.; Griffiths, B.; Hallin, S.; Philippot, L. Recently identified microbial guild mediates soil N2O sink capacity. Nat. Clim. Change 2014, 4, 801–805. [Google Scholar] [CrossRef]
- Qiu, Y.P.; Jiang, Y.; Guo, L.J.; Zhang, L.; Burkey, K.O.; Zobel, R.W.; Reberg-Horton, S.C.; Shew, H.D.; Hu, S.J. Shifts in the composition and activities of denitrifiers dominate CO2 stimulation of N2O emissions. Environ. Sci. Technol. 2019, 53, 11204–11213. [Google Scholar] [CrossRef]
- Kiers, E.T.; Duhamel, M.; Beesetty, Y.; Mensah, J.A.; Franken, O.; Verbruggen, E.; Fellbaum, C.R.; Kowalchuk, G.A.; Hart, M.M.; Bago, A.; et al. Reciprocal rewards stabilize cooperation in the mycorrhizal symbiosis. Science 2011, 333, 880–882. [Google Scholar] [CrossRef]
- Smith, S.E.; Smith, F.A. Roles of arbuscular mycorrhizas in plant nutrition and growth: New paradigms from cellular to ecosystem scales. Annu. Rev. Plant Biol. 2011, 62, 227–250. [Google Scholar] [CrossRef]
- Storer, K.; Coggan, A.; Ineson, P.; Hodge, A. Arbuscular mycorrhizal fungi reduce nitrous oxide emissions from N2O hotspots. New Phytol. 2018, 220, 1285–1295. [Google Scholar] [CrossRef]
- Veresoglou, S.D.; Chen, B.D.; Rillig, M.C. Arbuscular mycorrhiza and soil nitrogen cycling. Soil Biol. Biochem. 2012, 46, 53–62. [Google Scholar] [CrossRef]
- Zhang, X.L.; Qiu, Y.P.; Gilliam, F.S.; Gillespie, C.J.; Tu, C.; Reberg-Horton, S.C.; Hu, S.J. Arbuscular mycorrhizae shift community composition of N-cycling microbes and suppress soil N2O emission. Environ. Sci. Technol. 2022, 56, 13461–13472. [Google Scholar] [CrossRef]
- Bender, S.F.; Plantenga, F.; Neftel, A.; Jocher, M.; Oberholzer, H.R.; Köhl, L.; Giles, M.; Daniell, T.J.; van der Heijden, M.G.A. Symbiotic relationships between soil fungi and plants reduce N2O emissions from soil. ISME J. 2014, 8, 1336–1345. [Google Scholar] [CrossRef]
- Ai, C.; Liang, G.Q.; Wang, X.B.; Sun, J.W.; He, P.; Zhou, W. A distinctive root-inhabiting denitrifying community with high N2O/(N2O+N2) product ratio. Soil Biol. Biochem. 2017, 109, 118–123. [Google Scholar] [CrossRef]
- Henry, S.; Texier, S.; Hallet, S.; Bru, D.; Dambreville, C.; Chèneby, D.; Bizouard, F.; Germon, J.C.; Philippot, L. Disentangling the rhizosphere effect on nitrate reducers and denitrifiers: Insight into the role of root exudates. Environ. Microbiol. 2008, 10, 3082–3092. [Google Scholar] [CrossRef]
- Manya, J.J. Pyrolysis for biochar purposes: A review to establish current knowledge gaps and research needs. Environ. Sci. Technol. 2012, 46, 7939–7954. [Google Scholar] [CrossRef]
- Dong, W.X.; Walkiewicz, A.; Bieganowski, A.; Oenema, O.; Nosalewicz, M.; He, C.H.; Zhang, Y.M.; Hu, C.S. Biochar promotes the reduction of N2O to N2 and concurrently suppresses the production of N2O in calcareous soil. Geoderma 2020, 362, 114091. [Google Scholar] [CrossRef]
- Yuan, H.J.; Zhang, Z.J.; Li, M.Y.; Clough, T.; Wrage-Mönnig, N.; Qin, S.P.; Ge, T.D.; Liao, H.P.; Zhou, S.G. Biochar’s role as an electron shuttle for mediating soil N2O emissions. Soil Biol. Biochem. 2019, 133, 94–96. [Google Scholar] [CrossRef]
- He, P.J.; Zhang, H.H.; Duan, H.W.; Shao, L.M.; Lü, F. Continuity of biochar-associated biofilm in anaerobic digestion. Chem. Eng. J. 2020, 390, 124605. [Google Scholar] [CrossRef]
- Liu, H.Y.; Li, H.B.; Zhang, A.P.; Rahaman, M.A.; Yang, Z.L. Inhibited effect of biochar application on N2O emissions is amount and time-dependent by regulating denitrification in a wheat-maize rotation system in North China. Sci. Total Environ. 2020, 721, 137636. [Google Scholar] [CrossRef]
- Clough, T.; Condron, L.; Kammann, C.; Müller, C. A review of biochar and soil nitrogen dynamics. Agronomy 2013, 3, 275–293. [Google Scholar] [CrossRef]
- Luo, X.; Chen, L.; Zheng, H.; Chang, J.; Wang, H.; Wang, Z.; Xing, B. Biochar addition reduced net N mineralization of a coastal wetland soil in the Yellow River Delta, China. Geoderma 2016, 282, 120–128. [Google Scholar] [CrossRef]
- Yang, F.; Cao, X.D.; Gao, B.; Zhao, L.; Li, F.Y. Short-term effects of rice straw biochar on sorption, emission, and transformation of soil NH4+-N. Environ. Sci. Pollut. R. 2015, 22, 9184–9192. [Google Scholar] [CrossRef]
- Zhang, H.; Voroney, R.P.; Price, G.W. Effects of temperature and processing conditions on biochar chemical properties and their influence on soil C and N transformations. Soil Biol. Biochem. 2015, 83, 19–28. [Google Scholar] [CrossRef]
- Case, S.D.C.; McNamara, N.P.; Reay, D.S.; Stott, A.W.; Grant, H.K.; Whitaker, J. Biochar suppresses N2O emissions while maintaining N availability in a sandy loam soil. Soil Biol. Biochem. 2015, 81, 178–185. [Google Scholar] [CrossRef]
- Niu, Y.H.; Chen, Z.M.; Müller, C.; Zaman, M.; Kim, D.G.; Yu, H.Y.; Ding, W.X. Yield-scaled N2O emissions were effectively reduced by biochar amendment of sandy loam soil under maize—Wheat rotation in the North China plain. Atmos. Environ. 2017, 170, 58–70. [Google Scholar] [CrossRef]
- Ibrahim, M.M.; Tong, C.X.; Hu, K.; Zhou, B.Q.; Xing, S.H.; Mao, Y.L. Biochar-fertilizer interaction modifies N-sorption, enzyme activities and microbial functional abundance regulating nitrogen retention in rhizosphere soil. Sci. Total Environ. 2020, 739, 140065. [Google Scholar] [CrossRef]
- Jabborova, D.; Annapurna, K.; Choudhary, R.; Bhowmik, S.N.; Desouky, S.E.; Selim, S.; Azab, I.H.E.; Hamada, M.M.A.; Nahhas, N.E.; Elkelish, A. Interactive impact of biochar and arbuscular mycorrhizal on root morphology; physiological properties of fenugreek (Trigonella foenum-graecum L.) and soil enzymatic activities. Agronomy 2021, 11, 2341. [Google Scholar] [CrossRef]
- Lehmann, J.; Rillig, M.C.; Thies, J.; Masiello, C.A.; Hockaday, W.C.; Crowley, D. Biochar effects on soil biota—A review. Soil Biol. Biochem. 2011, 43, 1812–1836. [Google Scholar] [CrossRef]
- Liu, L.; Li, J.W.; Yue, F.X.; Yan, X.W.; Wang, F.Y.; Bloszies, S.; Wang, Y.F. Effects of arbuscular mycorrhizal inoculation and biochar amendment on maize growth, cadmium uptake and soil cadmium speciation in Cd-contaminated soil. Chemosphere 2018, 194, 495–503. [Google Scholar] [CrossRef]
- Gomez, J.D.; Denef, K.; Stewart, C.E.; Zheng, J.; Cotrufo, M.F. Biochar addition rate influences soil microbial abundance and activity in temperate soils. Eur. J. Soil Sci. 2014, 65, 28–39. [Google Scholar] [CrossRef]
- Liang, J.F.; An, J.; Gao, J.Q.; Zhang, X.Y.; Song, M.H.; Yu, F.H. Interactive effects of biochar and AMF on plant growth and greenhouse gas emissions from wetland microcosms. Geoderma 2019, 346, 11–17. [Google Scholar] [CrossRef]
- Hammer, E.C.; Forstreuter, M.; Rillig, M.C.; Kohler, J. Biochar increases arbuscular mycorrhizal plant growth enhancement and ameliorates salinity stress. Appl. Soil Ecol. 2015, 96, 114–121. [Google Scholar] [CrossRef]
- Hao, Z.; Dong, Z.J.; Han, S.; Zhang, A.P. Effects of biochar and arbuscular mycorrhizal fungi on winter wheat growth and soil N2O emissions in different phosphorus environments. Front. Plant Sci. 2022, 13, 1069627. [Google Scholar] [CrossRef]
- Zhang, L.; Qiu, Y.P.; Cheng, L.; Wang, Y.; Liu, L.L.; Tu, C.; Bowman, D.C.; Burkey, K.O.; Bian, X.M.; Zhang, W.J.; et al. Atmospheric CO2 enrichment and reactive nitrogen inputs interactively stimulate soil cation losses and acidification. Environ. Sci. Technol. 2018, 52, 6895–6902. [Google Scholar] [CrossRef]
- Giovannetti, M.; Mosse, B. Evaluation of techniques for measuring vesicular arbuscular mycorrhizal infection in roots. New Phytol. 1980, 84, 489–500. [Google Scholar] [CrossRef]
- Shi, Y.L.; Liu, X.R.; Zhang, Q.W. Effects of combined biochar and organic fertilizer on nitrous oxide fluxes and the related nitrifier and denitrifier communities in a salinealkali soil. Sci. Total Environ. 2019, 686, 199–211. [Google Scholar] [CrossRef]
- Gao, J.; Duan, M.; Zhang, X.; Li, Q.; Yu, F. Effects of frequency and intensity of drying-rewetting cycles on hydrocotyle vulgaris growth and greenhouse gas emissions from wetland microcosms. Catena 2018, 164, 44–49. [Google Scholar] [CrossRef]
- Guo, G.X.; Deng, H.; Qiao, M.; Mu, Y.J.; Zhu, Y.G. Effect of pyrene on denitrification activity and abundance and composition of denitrifying community in an agricultural soil. Environ Pollut. 2011, 159, 1886–1895. [Google Scholar] [CrossRef]
- Braker, G.; Fesefeldt, A.; Witzel, K.P. Development of PCR primer systems for amplification of nitrite reductase genes (nirK and nirS) to detect denitrifying bacteria in environmental samples. Appl. Environ. Microb. 1998, 64, 3769–3775. [Google Scholar] [CrossRef]
- Throbäck, I.N.; Enwall, K.; Jarvis, Å.; Hallin, S. Reassessing PCR primers targeting nirS; nirK and nosZ genes for community surveys of denitrifying bacteria with DGGE. FEMS Microbiol. Ecol. 2004, 49, 401–417. [Google Scholar] [CrossRef]
- Robinson, D. δ15N as an integrator of the nitrogen cycle. Trends Ecol. Evol. 2001, 16, 153–162. [Google Scholar] [CrossRef]
- Ghorbani, M.; Amirahmadi, E. Biochar and soil contributions to crop lodging and yield performance—A meta-analysis. Plant Physiol. Bioch. 2024, 215, 109053. [Google Scholar] [CrossRef]
- Ghorbani, M.; Amirahmadi, E.; Bernas, J.; Konvalina, P. Testing biochar’s ability to moderate extremely acidic soils in tea-growing areas. Agronomy 2024, 14, 533. [Google Scholar] [CrossRef]
- Guo, R.; Qian, R.; Yang, L.; Khaliq, A.; Han, F.; Hussain, S.; Zhang, P.; Cai, T.; Jia, Z.K.; Chen, X.L.; et al. Interactive effects of maize straw-derived biochar and N fertilization on soil bulk density and porosity, maize productivity and nitrogen use efficiency in arid areas. J. Soil Sci. Plant Nutr. 2022, 22, 4566–4586. [Google Scholar] [CrossRef]
- Liu, L.; Wang, Y.F.; Yan, X.W.; Li, J.W.; Jiao, N.Y.; Hu, S.J. Biochar amendments increase the yield advantage of legume-based inter cropping systems over monoculture. Agri. Ecosyst. Environ. 2017, 237, 16–23. [Google Scholar] [CrossRef]
- Mickan, B.S.; Abbott, L.K.; Stefanova, K.; Solaiman, Z.M. Interactions between biochar and mycorrhizal fungi in a water-stressed agricultural soil. Mycorrhiza 2016, 26, 565–574. [Google Scholar] [CrossRef]
- Liao, J.; Liu, X.; Hu, A.; Song, H.; Chen, X.; Zhang, Z. Effects of biochar-based controlled release nitrogen fertilizer on nitrogen-use efficiency of oilseed rape (Brassica napus L.). Sci. Rep. 2020, 10, 11063. [Google Scholar] [CrossRef]
- Ma, R.; Guan, S.; Dou, S.; Wu, D.; Xie, S.; Ndzelu, B.S. Different rates of biochar application change 15N retention in soil and 15 N utilization by maize. Soil Use Manag. 2020, 36, 773–782. [Google Scholar] [CrossRef]
- Zhu, Q.H.; Peng, X.H.; Huang, T.Q.; Xie, Z.B.; Holden, N.M. Effect of biochar addition on maize growth and nitrogen use efficiency in acidic red soils. Pedosphere 2014, 24, 699–708. [Google Scholar] [CrossRef]
- Fiorentino, N.; Sánchez-Monedero, M.A.; Lehmann, J.; Enders, A.; Fagnano, M.; Cayuela, M.L. Interactive priming of soil N transformations from combining biochar and urea inputs: A 15N isotope tracer study. Soil Biol. Biochem. 2019, 131, 166–175. [Google Scholar] [CrossRef]
- Zhang, X.; Zhang, J.Q.; Song, M.X.; Dong, Y.B.; Xiong, Z.Q. N2O and NO production and functional microbes responding to biochar aging process in an intensified vegetable soil. Environ. Pollut. 2022, 307, 119491. [Google Scholar] [CrossRef] [PubMed]
- Wang, Z.; Wang, Z.; Luo, Y.; Zhan, Y.N.; Meng, Y.L.; Zhou, Z.G. Biochar increases 15N fertilizer retention and indigenous soil N uptake in a cotton-barley rotation system. Geoderma 2020, 357, 113944. [Google Scholar] [CrossRef]
- Abel, S.; Peters, A.; Trinks, S.; Schonsky, H.; Facklam, M.; Wessolek, G. Impact of biochar and hydrochar addition on water retention and water repellency of sandy soil. Geoderma 2013, 202, 183–191. [Google Scholar] [CrossRef]
- Huang, M.; Yang, L.; Qin, H.; Jiang, L.; Zou, Y. Quantifying the effect of biochar amendment on soil quality and crop productivity in Chinese rice paddies. Field Crop Res. 2013, 154, 172–177. [Google Scholar] [CrossRef]
- Atkinson, C.J.; Fitzgerald, J.D.; Hipps, N.A. Potential mechanisms for achieving agricultural benefits from biochar application to temperate soils: A review. Plant Soil. 2010, 337, 1–18. [Google Scholar] [CrossRef]
- Ulyett, J.; Sakrabani, R.; Kibblewhite, M.; Hann, M. Impact of biochar addition on water retention; nitrification and carbon dioxide evolution from two sandy loam soils. Eur. J. Soil Sci. 2014, 65, 96–104. [Google Scholar] [CrossRef]
- Mandal, S.; Thangarajan, R.; Bolan, N.S.; Sarkar, B.; Khan, N.; Ok, Y.S.; Naidu, R. Biochar-induced concomitant decrease in ammonia volatilization and increase in nitrogen use efficiency by wheat. Chemosphere 2016, 142, 120–127. [Google Scholar] [CrossRef]
- Hodge, A.; Storer, K. Arbuscular mycorrhiza and nitrogen: Implications for individual plants through to ecosystems. Plant Soil. 2015, 386, 1–19. [Google Scholar] [CrossRef]
- Verzeaux, J.; Hirel, B.; Dubois, F.; Lea, P.J.; Tetu, T. Agricultural practices to improve nitrogen use efficiency through the use of arbuscular mycorrhizae: Basic and agronomic aspects. Plant Sci. 2017, 264, 48–56. [Google Scholar] [CrossRef] [PubMed]
- Hodge, A.; Fitter, A.H. Substantial nitrogen acquisition by arbuscular mycorrhizal fungi from organic material has implications for N cycling. Proc. Natl. Acad. Sci. USA 2010, 107, 13754–13759. [Google Scholar] [CrossRef] [PubMed]
- Cavagnaro, T.R.; Bender, S.F.; Asghari, H.R.; Heijden, M. The role of arbuscular mycorrhizas in reducing soil nutrient loss. Trends Plant Sci. 2015, 20, 283–290. [Google Scholar] [CrossRef] [PubMed]
- Zhang, S.J.; Lehmann, A.; Zheng, W.S.; You, Z.Y.; Rillig, M.C. Arbuscular mycorrhizal fungi increase grain yields: A meta-analysis. New Phytol. 2019, 222, 543–555. [Google Scholar] [CrossRef]
- Ezawa, T.; Yamamoto, K.; Yoshida, S. Enhancement of the effectiveness of indigenous arbuscular mycorrhizal fungi by inorganic soil amendments. Soil Sci. Plant Nutr. 2002, 48, 897–900. [Google Scholar] [CrossRef]
- Warnock, D.D.; Lehmann, J.; Kuyper, T.W.; Rillig, M.C. Mycorrhizal responses to biochar in soil—Concepts and mechanisms. Plant Soil. 2007, 300, 9–20. [Google Scholar] [CrossRef]
- Nguyen, T.T.N.; Xu, C.Y.; Tahmasbian, I.; Che, R.X.; Xu, Z.H.; Zhou, X.H.; Wallace, H.M.; Bai, S.H. Effects of biochar on soil available inorganic nitrogen: A review and meta-analysis. Geoderma 2017, 288, 79–96. [Google Scholar] [CrossRef]
- Liang, D.; Robertson, G.P. Nitrification is a minor source of nitrous oxide (N2O) in an agricultural landscape and declines with increasing management intensity. Glob. Change Biol. 2021, 27, 5599–5613. [Google Scholar] [CrossRef]





| Target Gene | Primer | Sequence | Reaction Conditions of qPCR | Reference |
|---|---|---|---|---|
| nirS | nirSCd3AF | GTSAACGTSAAGGARACSGG | Procedure 1 | [41] |
| nirSR3cd | GASTTCGGRTGSGTCTTGA | |||
| nirK | nirK1F | GGMATGGTKCCSTGGCA | Procedure 2 | [42] |
| nirK5R | GCCTCGATCAGRTTRTGG | |||
| nosZ | nosZ-1F | CGYTGTTCMTCGACAGCCAG | Procedure 1 | [43] |
| nosZ-1622R | CGSACCTTSTTGCCSTYGCG |
| Biochar Levels | Treatment | Fresh Weight of the Root (g plant−1) | Fresh Weight of the Shoot (g plant−1) | Soil NH4+-N (mg N kg−1) | Soil NO3−-N (mg N kg−1) | AMF Colonization (%) |
|---|---|---|---|---|---|---|
| B0 | CK | 110.78 ± 10.23 e | 243.12 ± 20.34 d | 1.02 ± 0.24 a | 45.38 ± 5.12 a | 41.17 ± 4.78 c |
| AMF | 132.07 ± 15.36 cd | 246.08 ± 22.67 d | 0.91 ± 0.25 b | 27.70 ± 3.24 c | 40.27 ± 5.28 d | |
| AMF + R | 136.63 ± 11.25 c | 266.47 ± 30.89 c | 0.87 ± 0.26 b | 9.65 ± 1.23 d | 38.23 ± 4.17 fde | |
| B1 | CK | 132.96 ± 16.39 cd | 260.46± 28.67 c | 0.95 ± 0.14 b | 32.20 ± 3.78 b | 45.14 ± 4.96 a |
| AMF | 141.66 ± 15.56 b | 304.61 ± 32.78 b | 0.73 ± 0.15 c | 23.06 ± 2.79 c | 44.67 ± 5.02 b | |
| AMF + R | 163.63 ± 21.15 a | 338.62 ± 37.59 a | 0.68 ± 0.12 c | 7.33 ± 1.11 e | 43.46 ± 4.79 bc |
| Factors | Biochar(B) | AMF | B × AMF |
|---|---|---|---|
| Shoot biomass (g plant−1) | 16.7 ** | 42.5 ** | 12.1 * |
| Root biomass (g plant−1) | 14.2 ** | 5.7 | 2.7 |
| AMF colonization (%) | 29.6 ** | 2.4 | 1.5 |
| Soil NH4+-N (mg N kg−1) | 47.9 *** | 113.6 *** | 16.8 ** |
| Soil NO3−-N (mg N kg−1) | 20.78 ** | 109.7 *** | 8.9 |
| N2O emission flux (μg·m−2·h−1) | 116.2 *** | 79.4 *** | 25.7 ** |
| nirK (copies g−1 soil) | 35.4 *** | 78.5 *** | 13.7 ** |
| nirS(copies g−1 soil) | 56.2 *** | 82.3 *** | 17.5 ** |
| nosZ(copies g−1 soil) | 38.9 *** | 78.5 *** | 24.7 *** |
| nirS + nirK/nosZ | 87.2 *** | 70.3 *** | 19.4 ** |
| Biochar Levels | Treatment | Nitrogen Content of Maize (g kg−1) | 15N Absorption of Maize (g kg−1) | 15N Utilization Efficiency (%) | Soil 15N Retention Rate (%) | Soil 15N Loss Rate (%) |
|---|---|---|---|---|---|---|
| B0 | CK | 16.79 ± 1.04 e | 3.35 ±8.93 d | 20.02 ± 2.25 d | 26.79 ± 3.04 e | 53.19 ± 4.28 a |
| AMF | 22.04 ± 1.23 c | 3.79 ±9.23 c | 23.63 ±1.40 c | 27.78 ± 3.23 d | 48.59 ± 4.28 c | |
| AMF + R | 27.56 ± 2.18 a | 4.13 ± 8.59 b | 25.06 ± 2.09 b | 28.56 ± 14.18 c | 46.38 ± 4.28 d | |
| B1 | CK | 18.29 ± 2.27 d | 3.75 ±3.10 c | 23.72 ± 6.24 c | 27.29 ± 2.27 d | 48.99 ± 4.28 b |
| AMF | 24.80 ± 2.47 b | 4.36 ±3.43 b | 24.74 ± 1.63 b | 29.80 ± 1.47 b | 45.46 ± 4.28 d | |
| AMF + R | 28.09 ± 1.77 a | 4.98 ±7.07 a | 28.50 ± 3.37 a | 31.09 ± 3.77 a | 40.41 ± 4.28 e |
Disclaimer/Publisher’s Note: The statements, opinions and data contained in all publications are solely those of the individual author(s) and contributor(s) and not of MDPI and/or the editor(s). MDPI and/or the editor(s) disclaim responsibility for any injury to people or property resulting from any ideas, methods, instructions or products referred to in the content. |
© 2024 by the authors. Licensee MDPI, Basel, Switzerland. This article is an open access article distributed under the terms and conditions of the Creative Commons Attribution (CC BY) license (https://creativecommons.org/licenses/by/4.0/).
Share and Cite
Wang, Y.; Liu, J.; Deng, X.; Li, Y.; Gao, J.; Liu, L. Arbuscular Mycorrhizae Affect Soil Nitrogen Fertilizer Utilization, Denitrification Functional Genes, and N2O Emissions During Biochar Amendment. Agronomy 2024, 14, 2627. https://doi.org/10.3390/agronomy14112627
Wang Y, Liu J, Deng X, Li Y, Gao J, Liu L. Arbuscular Mycorrhizae Affect Soil Nitrogen Fertilizer Utilization, Denitrification Functional Genes, and N2O Emissions During Biochar Amendment. Agronomy. 2024; 14(11):2627. https://doi.org/10.3390/agronomy14112627
Chicago/Turabian StyleWang, Yanfang, Jing Liu, Xuxian Deng, Yuyang Li, Jiakai Gao, and Ling Liu. 2024. "Arbuscular Mycorrhizae Affect Soil Nitrogen Fertilizer Utilization, Denitrification Functional Genes, and N2O Emissions During Biochar Amendment" Agronomy 14, no. 11: 2627. https://doi.org/10.3390/agronomy14112627
APA StyleWang, Y., Liu, J., Deng, X., Li, Y., Gao, J., & Liu, L. (2024). Arbuscular Mycorrhizae Affect Soil Nitrogen Fertilizer Utilization, Denitrification Functional Genes, and N2O Emissions During Biochar Amendment. Agronomy, 14(11), 2627. https://doi.org/10.3390/agronomy14112627
