Abstract
Soil salinization is a severe environmental problem that restricts crop productivity. Straw amendment could increase the fertility of saline–sodic soils by improving soil physical properties and carbon sequestration; however, the chemical mechanism of saline soil improvement via straw reclamation is not clear. This study aimed to investigate the effects of straw return with nitrogen fertilizer on soil leaching characteristics, rice organ ion concentrations, and yield. Therefore, a soil column leaching experiment was conducted in 2021 in Baicheng, Jilin Province, using two straw application rate treatments (0 and 8 t hm−2) and three nitrogen application rate treatments (0, 180, and 360 kg hm−2). The results revealed the following: 1. The combination of straw return and nitrogen fertilizer significantly increased the soil leachate volume, leachate pH, Na+ concentration, and Na+/K+ ratio, thereby reducing Na+ stress on rice; 2. The application of nitrogen fertilizer during straw return effectively minimized soil nitrogen loss by lowering the ammonium and nitrate nitrogen concentrations in the soil leachate; 3. This combination also reduced plant Na+ concentrations while increasing plant K+ concentrations, thus improving the Na+/K+ ratio in the plants; 4. Straw return with nitrogen fertilizer significantly enhanced rice yield, which increased with higher nitrogen application rates. In summary, the integration of straw return with nitrogen fertilizer not only regulates rice salinity tolerance but also boosts rice yield, presenting a novel approach for improving saline–sodic soils.
1. Introduction
Soil salinization has emerged as a significant contributor to global land degradation, and it poses a critical challenge to land use and crop production [1]. The western Songnen Plain (42°30′–51°20′ N and 121°40′–128°30′ E) in Northeast China is one of the three major regions in the world characterized by saline–sodic soils, encompassing over 3.70 × 106 hectares of saline land [2]. In light of the acute shortage of land resources, developing new arable land to expand the area available for crop cultivation and to satisfy the ever-increasing demand for food has become an urgent priority [3]. Consequently, the rational development and utilization of saline land presents a pressing challenge for agricultural practitioners [4].
The Songnen Plain is characterized by inland saline–sodic soils, which contain a significant amount of soluble salt. The primary salt components in the soil are sodium bicarbonate (NaHCO3) and sodium carbonate (Na2CO3), with a pH typically exceeding 8.5 [5]. High evaporation rates and limited rainfall have caused an increase in topsoil salinity [6]. Moreover, overgrazing has further contributed to increased soil salinity in recent decades due to population pressure and mismanagement [7]. Saline–sodic soils are distinguished by their high soluble salt content, elevated pH levels, poor structural integrity, and low nutrient availability, all of which severely hinder the agricultural development and utilization of saline and alkaline lands [8,9]. Numerous studies have indicated that rice cultivation serves as an effective strategy for utilizing saline land under irrigation-friendly conditions, thereby enhancing the ecological environment and promoting economic development [10]. However, soil salinity stress impedes rice tillering and poses a significant threat to rice yield formation [11,12].
Saline–sodic stress has three primary negative effects on rice growth: osmotic stress, ionic stress, and high-pH stress [13]. Osmotic stress inhibits water uptake by the roots, leading to a leaf water deficit, a reduced leaf area, and closed stomata, which collectively diminish photosynthesis and hinder plant growth [14,15]. The strong dispersion of Na+ in the soil can result in the instability of the soil structure, the deterioration of soil hydraulic properties, and an imbalance of available nutrients, thereby causing ionic toxicity [16,17]. Concurrently, high pH reduces the effectiveness of phosphorus and restricts nitrogen assimilation and translocation by the root system, adversely affecting nitrogen metabolism [18,19]. Additionally, high pH can be directly toxic to plants, inhibiting protein synthesis and resulting in cellular toxicity [20]. The accumulation of reactive oxygen species in crop cells, triggered by salt stress, leads to oxidative stress [21]. These reactive oxygen species can severely disrupt normal metabolism through oxidative damage to lipids, proteins, and nucleic acids [22]. Consequently, these negative effects can induce nutritional disorders and limit the plant’s absorption of essential nutrients and water, ultimately reducing yield [23,24]. Therefore, it is essential to mitigate the damage caused by saline–sodic stress on crops to enable the rational exploitation of saline–sodic soils.
Over the past 30 years, various theoretical and applied studies, including those in hydraulic engineering, ameliorant application, and phytoremediation, have been conducted to address the salinization problem in the western Songnen Plain [25,26,27]. Previous studies have utilized aluminum sulfate, desulfurized gypsum, and crop straw to enhance soil quality [28]. Among these methods, crop straw is particularly favored due to its high yield, low cost, and effective results.
As a by-product of agricultural production, straw is rich in organic matter and essential nutrients, making it an important resource for organic fertilizers [29]. Studies have demonstrated that returning straw to the field can enhance soil porosity and aeration, thereby improving soil structure [30]. Additionally, the incorporation of straw promotes the dissolution of soluble salts in the soil and reduces salt accumulation [31]. Straw return can improve aggregation and soil structure, effectively cut capillaries in the soil, and prevent salt from moving upward [32,33]. Wang et al. indicated that straw return is effective in preventing nutrient leaching from the soil [34]. However, inappropriate straw applications can have negative effects on the soil environment and crop yields [35]. Numerous studies have shown that excessive straw returned to the field may promote nitrogen leaching and adversely affect crop growth and yield [36].
The use of straw to improve saline–sodic land has been documented in the Songnen Plain of northeastern China. However, there is a paucity of comprehensive studies that delve into the underlying mechanisms of the effect of straw return combined with nitrogen (N) fertilizer on the accumulation of sodium (Na+) and potassium (K+) in rice, as well as on rice yield and soil chemistry alterations in saline–sodic soils. Consequently, the present study aims to investigate the effects of straw return with nitrogen fertilizer on soil chemistry, soil nutrients, rice Na+ and K+ accumulation, and rice yield in saline–sodic soils using a soil column leaching experiment. This experiment is predicated on the following assumptions: 1. The application of nitrogen fertilizer in conjunction with straw can reduce soil Na+ concentrations and enhance soil chemical properties; 2. The combination of nitrogen fertilizers and straw return minimizes nitrogen leaching from the soil; 3. Straw return with nitrogen fertilizers reduces Na+ accumulation in plants and improves the Na+/K+ ratio in rice; 4. The integration of straw return with nitrogen fertilizer can lead to an increased rice yield.
2. Materials and Methods
2.1. Experimental Site
The trial was conducted in Sheli Town, Da’an City, Jilin Province, China (45°35′58″–45°36′28″ N and 123°50′27″–123°51′31″ E), in 2021. Sheli Town is a typical representative area of moderate-to-heavy saline–sodic soil, and it is situated in the southwestern Songnen Plain. This region falls within the mid-temperate continental monsoon zone and represents the transition from a semi-humid to a semiarid climate. The average precipitation and temperature of the experimental year are illustrated in Figure 1. Soil samples were collected from the 0–30 cm layer in April 2021, air-dried, sieved (2 mm), and subsequently analyzed to determine their basic properties. The basic soil properties prior to the experiment are presented in Table 1. According to the World Reference Base for Soil Resources [37], the soil type was classified as Solonetz.
Figure 1.
Monthly average temperature (°C) and monthly total precipitation (mm) at the test site. Note: MP: monthly total precipitation; MT: monthly average temperature.
Table 1.
Basic physical and chemical properties of the soil used for testing.
2.2. Experimental Design
In this study, 36 PVC soil columns were used for soil column leaching experiments. The soil column leaching experiments were conducted as split-plot experiments in a split-plot design with four replicates. This experiment adopted a split area test design, with straw treatment used in the main area and nitrogen fertilizer used in the subarea. The straw treatments were classified as added return (S) or not (S0), and three nitrogen fertilizer levels were used, namely, 0 (N0), 180 (N180), and 360 (N360) kg hm−2, resulting in a total of six treatments: SN0, SN180, S0N360, S0N0, S0N180, and S0N360. The rice straw utilized was sourced from the preceding season’s rice cultivation. The straw was processed using a small straw pulverizer, resulting in lengths of 5–7 cm. The quantity of the straw returned to the field was calculated based on the local rice output, applying a grain-to-straw ratio of 1:1.1, which amounted to 8 t hm−2. The rice straw was thoroughly mixed with the test soil using manual methods. The basic characteristics of the test straw are presented in Table 2.
Table 2.
Basic chemical properties of rice straw.
2.3. Preparation of Soil Columns
Thirty-six PVC cylinders (40 cm in height, with an internal diameter of 25 cm) were utilized to construct the soil columns. Each cylinder was sealed at the bottom, except for an opening designed for the collection of leachate. Before the start of the experiment in 2021, samples of salt-affected soil were collected from a 0 to 30 cm depth in a degraded grassland area near the Sheli Sodic Land Experimental Station operated in Songnen Plain. A 2 cm layer of sand, along with a strainer, was positioned at the base of each column to facilitate leaching. The required mass of air-dried soil for each leaching column (21.78 kg per pot) was determined by sieving the air-dried soil through a 2 mm sieve, considering an in situ soil bulk density of 1.48 g cm−3. Prior to packing the soil columns, straw was mixed with the soil. The soil columns were arranged vertically on brick stands, with storage bottles placed beneath each column to collect the leachate. A schematic cross-section of a soil column is illustrated in Figure 2.
Figure 2.
Percolation columns used for leaching experiments: illustration of the cross-section.
2.4. Planting Rice
The experimental variety was Changbai 9, a mid-early maturing variety with a growth period of approximately 130 days, requiring a minimum temperature of 10 °C and an accumulation temperature of 2600 °C. The rice seeds were initially germinated in plug trays filled with compost in an unheated glasshouse. Forty-five-day-old seedlings were transplanted into the soil columns on 25 May 2021, with three seedlings per column.
Harvesting occurred around 1 October. Urea was used as the nitrogen fertilizer in each treatment, applied at a ratio of base fertilizer to mid-tillering fertilizer to panicle fertilizer of 6:3:1. The potassium fertilizer application rate was 75 kg K2O hm−2, applied at a ratio of base fertilizer to panicle fertilizer of 6:4. Phosphate and zinc fertilizers were applied at rates of 50 kg P2O5 hm−2 and 20 kg ZnSO4 hm−2, respectively, with both applied 100% as base fertilizer simultaneously. Throughout the period between rice transplantation and harvest, strict control measures were implemented for pests, diseases, and weeds.
2.5. Leaching Soil Columns
The soil was completely saturated with irrigation water (Table 3) prior to the application of the fertilizer. After five days, the water was drained, ensuring that the soil in all columns was supersaturated at the beginning of the trial, with a 3 cm stabilized water layer maintained throughout. The soil column drench solution was collected starting from the second day following the application of the base fertilizer, and it was subsequently collected every two days after the application of the mid-tillering and panicle fertilizers, for a total of five collections. Additionally, leachate samples were taken every ten days at other intervals until the rice harvest. The leachate was quickly acidified after measuring its volume and pH to inhibit microbial activity, and it was stored in a refrigerator until further analysis.
Table 3.
The chemical composition of irrigation water.
2.6. Leachate Analysis
Leachate volume was assessed by filtering through qualitative filter paper to remove impurities, with measurements taken using a measuring cylinder and averaged over three repetitions. The total leachate volume represents the cumulative sum of each individual leachate volume.
Leachate pH was determined by filtering through qualitative filter paper to eliminate impurities, followed by direct measurement using a pH meter (Starter 3C, OHAUS, Parsippany, NJ, USA).
The NH4+-N and NO3−-N concentrations in the leachate were evaluated after filtering through qualitative filter paper to remove impurities. Following the determination of the volume and pH, the leachate was rapidly acidified, stored frozen, and promptly transported to the laboratory for analysis. The NH4+-N and NO3−-N concentrations in the leachate were analyzed using a continuous-flow analyzer (Auto Analyzer 3, SEAL Analytical GmbH, Norderstedt, Germany).
Ammonium Nitrogen Determination Method [38]: The water samples were filtered through a 0.45 μm filter membrane, and 5 mL water samples were digested via heating with H2SO4. They were fixed in a 250 mL volumetric flask. Main reagents: (1) buffer solution: 40 g of trisodium citrate, fixed to 1000 mL, with 1 mL of Brij-35 solution added and mixed well; (2) sodium salicylate: 40 g sodium salicylate, with 1 g sodium nitroprusside added to 1000 mL, and (3) sodium dichloro iso cyanate: 20 g sodium hydroxide and 3 g sodium salt of dichloro isocyanate, with a fixed volume of 1000 mL.
Nitrate Nitrogen Determination Method [39]: The water samples were filtered through a 0.45 μm filter membrane, and 5 mL water samples were digested via heating with H2SO4. They were fixed in a 250 mL volumetric flask. Main reagents: (1) Buffer solution: 40 g of trisodium citrate was fixed to 1000 mL, and 1 mL of Brij-35 solution was added and mixed well. (2) Sodium hydroxide reagent: 10 g NaOH was dissolved in 600 mL of distilled water, 3 mL of phosphoric acid was added, and the volume was determined to be 1000 mL; 1 mL of Brij-35 solution was added and mixed well. (3) Hydrazine sulfate reagent: 10 mL of copper sulfate solution (1 g L−1), 10 mL of zinc sulfate solution (10 g L−1), and 2 g of hydrazine sulfate were added to 600 mL of distilled water, achieving a volume of 1000 mL. The sodium ion (Na+) and potassium ion (K+) contents in the leachate were also assessed after filtering through qualitative filter paper to remove impurities. Similar to the previous analyses, after determining the volume and pH of the leachate, it was rapidly acidified, stored frozen, and immediately transported to the laboratory for analysis. The Na+ and K+ concentrations in the leachate were determined using the flame photometric method (M410, Sherwood Scientific Ltd., Cambridge, UK) [40].
2.7. Determination of Na+ and K+ in Different Rice Organs
All rice was harvested when ripe in early October. Three rice samples from different treatments were utilized to determine the Na+ and K+ contents in various rice organs. The rice samples intended for the Na+ and K+ analyses were first oven-dried at 105 °C for 30 min, followed by additional drying at 80 °C for 48 h. Subsequently, all samples were ground into a fine powder and sieved. A precisely weighed 0.500 g of the sieved samples was digested via heating with a mixture of H2SO4 and H2O2. The Na+ and K+ contents in the leaves were then determined using the flame photometric method (M410, Sherwood Scientific Ltd., Cambridge, UK) [14].
2.8. Rice Yield Analysis
All rice was harvested when ripe in early October. Three additional rice samples from different treatments were utilized to determine the rice yield. After drying, a rice thresher was employed for threshing, followed by the use of a blower to remove empty grains before weighing them. The water content was measured and subsequently converted to yield at a standard of 14%.
2.9. Statistical Analysis
All data collected were collated and analyzed using Microsoft Excel 2019. An analysis of variance (ANOVA) was conducted using SPSS statistical package version 25.0 (IBM Corporation, Armonk, NY, USA), with means compared at p < 0.05 based on the least significant difference (LSD) test. The statistical model incorporated the sources of variation from the straw treatment, the nitrogen fertilizer, and the interaction between the straw treatment and nitrogen fertilizer. The reported results represent the averages of three independent experiments. The standard error (SE) was calculated directly from the data of at least three different replicates in each experiment. Graphs were created using Origin 2021 software (OriginLab Corporation, Northampton, MA, USA).
3. Results
3.1. Leachate Volume
Figure 3 illustrates the impact of the straw return and nitrogen application levels on the soil leachate volume. Straw return significantly increased the soil leachate volume, with the relative change becoming more pronounced as the nitrogen application levels increased (Figure 3A). The leachate volume was notably higher in the straw return treatments than in the no-straw-return treatments at equivalent nitrogen application levels and time intervals. In the absence of a straw return, the leachate volume exhibited a gradual increase over time, following the trend of S0N0 < S0N180 < S0N360 at the same time point. Conversely, under the straw return treatment, the leachate volume displayed a fluctuating decreasing trend over time, with the order of SN0 < SN180 < SN360 at the same time points.
Figure 3.
Effect of straw return with nitrogen fertilizer application on the soil leachate volume. Note: The S0 treatment denotes the absence of straw return, while the S treatment indicates the presence of straw return. The designations N0, N180, and N360 correspond to nitrogen fertilizer application rates of 0, 180, and 360 kg hm−2, respectively. Different letters signify statistically significant differences among the nitrogen fertilizer application rates (p < 0.05). The annotations ** represent significant at p < 0.01 levels, respectively. Panel (A) depicts the volume dynamics of the leachate in 2021, while panel (B) presents the total volume of the leachate in 2021.
Data related to the total leachate indicated that all treatments with straw return obtained significantly higher results than those without straw return at the same level of nitrogen application (Figure 3B). Regardless of whether the straw was returned to the field, the total leachate amounts exhibited the following pattern: N0 < N180 < N360. Furthermore, a significant interaction (p < 0.05) was observed between the straw treatments and nitrogen application levels concerning the total leachate amounts.
3.2. Leachate pH
The effect of the straw return and nitrogen (N) application levels on the leachate pH is illustrated in Figure 4. It was observed that returning straw to the field resulted in a significant increase (p < 0.05) in the leachate pH. During the leaching test, the leachate pH exhibited substantial changes over time, gradually increasing as the process progressed. Notably, the rate of pH increase was more pronounced in the treatments that included straw return, suggesting a faster salt elution rate in these treatments. The treatments S0N0, S0N180, S0N360, SN0, SN180, and SN360 increased the leachate pH by 22.67%, 23.33%, 24.33%, 36.67%, 37.00%, and 37.67%, respectively, throughout the leaching process. This indicates that water leaching has the potential to lower soil pH. At the same nitrogen application level, the overall performance was significantly higher in the straw return treatment than in the no-straw return treatment. Under the N0, N180, and N360 nitrogen application levels, the leachate pH increased by 1.89%, 1.84%, and 1.66%, respectively, in comparison with the no-straw return scenario. This indicates that returning straw to the field can significantly elevate the pH of soil leachate. Furthermore, the leachate pH increased with higher nitrogen application levels, regardless of whether the straw was returned; however, no significant differences were observed among the nitrogen application levels.
Figure 4.
Effect of straw return with nitrogen fertilizer application on the pH of soil leachate.
3.3. Na+ and K+ Concentrations and Na+/K+ Ratio in the Leachate
The effects of straw return combined with nitrogen fertilizer on the Na+ and K+ concentrations, as well as the Na+/K+ ratio, in the drench solution, are illustrated in Figure 5.
Figure 5.
Effect of straw return with nitrogen fertilizer application on the Na+ and K+ concentrations and Na+/K+ ratio in the soil leachate. Note: panel (A) depicts the Na+ concentration in the leachate, panel (B) depicts the K+ concentration in the leachate, and panel (C) depicts the Na+/K+ ratio in the leachate.
Straw return significantly elevated the Na+ and K+ concentrations, and the Na+/K+ ratio in the leachate (Figure 5), with both Na+ and K+ concentrations, as well as the Na+/K+ ratio, increasing in response to higher nitrogen application levels. Notably, the changes in the Na+ concentration and the Na+/K+ ratio were more pronounced, whereas the changes in the K+ concentration were comparatively minor. Specifically, under the nitrogen application levels of N0, N180, and N360, the Na+ concentration in the drench solution increased by 10.66%, 12.69%, and 14.20% in the straw (S) treatment compared with the no-straw (S0) treatment, respectively. Additionally, the Na+/K+ ratio in the drench solution increased by 4.13%, 4.36%, and 4.71%, respectively. In the context of straw return, the Na+ concentration in the leachate in the N360 and N180 treatments increased by 8.36% and 4.21%, respectively, compared with the N0 treatment. Correspondingly, the Na+/K+ ratio in the leachate increased by 4.93% and 2.23%, respectively. Overall, the changes in the Na+ concentration and Na+/K+ ratio observed under the no-straw return conditions were similar to those observed under the straw return conditions.
For the nitrogen application levels of N0, N180, and N360, the potassium ion (K+) concentration in the drench solution in the S treatment increased by 5.82%, 8.95%, and 10.10%, respectively, compared with in the S0 treatment. Under the straw return condition, the K+ concentration in the leachate increased by 15.62% in the SN360 treatment and by 8.48% in the SN180 treatment compared with the SN0 treatment. Similar effects of the nitrogen fertilizer treatments were noted under the no-straw return conditions.
3.4. NO3−-N and NH4+-N Concentrations in the Leachate
The effects of the straw return and nitrogen application levels on the NO3−-N and NH4+-N concentrations in the leachate are illustrated in Figure 6. Both NO3−-N and NH4+-N concentrations increased with higher nitrogen application levels regardless of the straw treatment. These concentrations peaked on the second day following fertilizer application, subsequently declining to control levels within 20 days before stabilizing. The dynamics of the NO3−-N and NH4+-N concentrations exhibited significantly similar trends across the different treatments and fertilization stages, with both being elevated during the basal fertilizer stage and decreasing with straw return. The peak NO3−-N concentration was recorded at the basal fertilizer stage of the S0N360 treatment, reaching a maximum of 8.94 mg L−1, and the peak NH4+-N concentration occurred at the same stage, with a maximum of 4.17 mg L−1. Notably, both the NO3−-N and NH4+-N concentrations were significantly higher (p < 0.05) on average during the basal fertilizer stage than during the other two stages, showing a decline from the basal fertilizer stage to the panicle fertilizer stage.
Figure 6.
Effect of straw return with nitrogen fertilizer application on the NO3−-N and NH4+-N concentrations in the soil leachate. Note: panel (A) depicts the NO3−-N concentration dynamics in the leachate, while panel (B) depicts the NH4+-N concentration dynamics in the leachate.
The average NO3−-N concentration decreased by 13.40%, 30.95%, and 33.84% in the straw-return treatments compared with the no-straw-return treatments at the nitrogen application levels of N0, N180, and N360, respectively. Under the straw return conditions, the average NO3−-N concentration increased by 74.75% and 126.16% in the N180 and N360 treatments compared with the N0 treatment. Conversely, under the no-straw-return conditions, the average NO3−-N concentration increased by 119.16% and 196.05% in the N180 and N360 treatments compared with the N0 treatment. The mean NO3−-N concentrations were 1.05, 2.29, 3.10, 0.91, 1.58, and 2.05 mg L−1 in the S0N0, S0N180, S0N360, SN0, SN180, and SN360 treatments, respectively (Table 4). The NH4+-N concentrations exhibited a trend similar to that of the NO3−-N concentrations; however, the average NH4+-N concentration for each treatment was consistently lower than the average NO3−-N concentration for the corresponding treatment.
Table 4.
Effect of straw return with nitrogen fertilizer application on the average NH4+-N and NO3−-N concentrations at different fertilization stages.
3.5. Na+ and K+ Contents and Na+/K+ Ratio in Different Organs
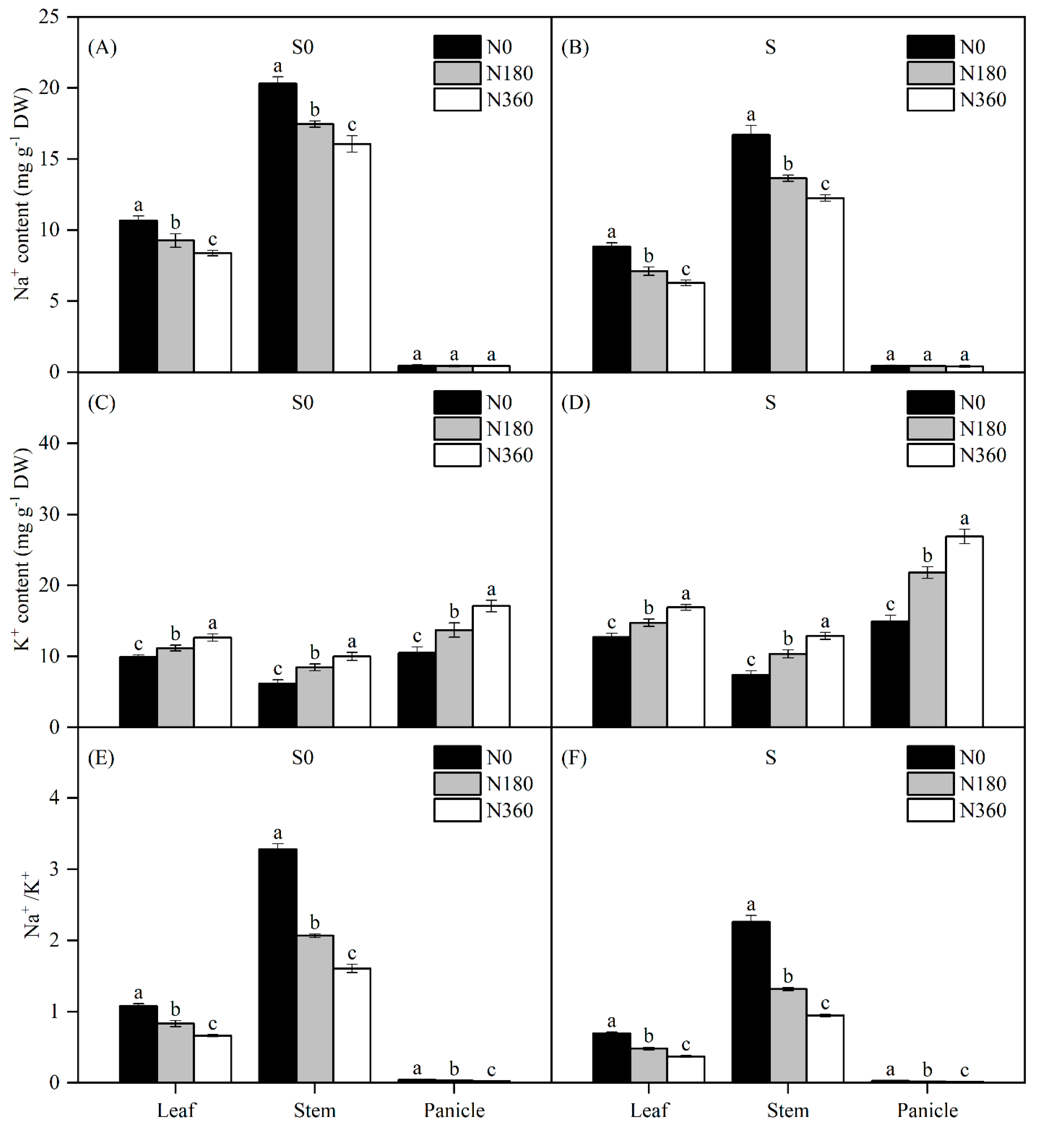
Straw return with nitrogen fertilization significantly reduced the Na+ content (Figure 7A,B) and the Na+/K+ ratio (Figure 7E,F) in various rice organs at maturity; however, there was no significant difference in the Na+ content in the panicle.
Figure 7.
Effect of straw return with nitrogen fertilizer application on Na+ and K+ contents, and Na+/K+ ratio in different rice organs at the maturity stage. Note: panels (A,B) depict the Na+ content in different organs, panels (C,D) depict the K+ content in different organs, and panels (E,F) depict Na+/K+ ratio in different organs. S0: straw removal; S: straw return. Different letters in the same column indicate a significant difference (p < 0.05).
At the nitrogen application levels of N0, N180, and N360, the straw treatment (S) reduced the leaf Na+ content by 17.27%, 23.30%, and 25.02%, respectively; the stem Na+ content by 17.82%, 21.83%, and 23.72%, respectively; and the panicle Na+ content by 4.18%, 4.36%, and 4.56%, respectively, when compared with the S0 treatment. Under the straw return conditions, the Na+ content in various organs decreased with the increasing nitrogen application levels. The effects of the no-straw-return treatment were similar to those of the straw-return treatment, with both following the trend of N360 < N180 < N0. Similarly, different organs exhibited the same trend in the Na+/K+ ratio.
Straw return significantly enhanced the K+ content in various rice organs at maturity, with the content increasing with the nitrogen application level (Figure 7C,D). Potassium (K+) accumulation in the leaves, stems, and panicles increased by 28.62%, 19.05%, and 42.44%, respectively, in the straw-return treatment compared with the no-straw-return treatment at the nitrogen level of N0. The effects observed at the nitrogen levels of N180 and N360 were similar to those observed at the nitrogen level of N0. With straw return, the K+ content in different organs was positively correlated with the increasing nitrogen application level. Specifically, the leaf K+ content in the SN360 and SN180 treatments increased by 32.85% and 15.89%, respectively, compared with the SN0 treatment. Stem and panicle K+ accumulation behaved similarly to leaf K+ accumulation. The effects observed in the no-straw-return treatment were similar to those in the observed straw-return treatment, with the results following the trend of N0 < N180 < N360.
At the rice maturity stage, Na+ was primarily concentrated in the leaves and stems. Under the straw return conditions, the Na+ contents in the leaves, stems, and panicles in the N0 treatment accounted for 33.99%, 64.33%, and 1.68% of the overall plant, respectively, with N180 and N360 exhibiting similar effects. Conversely, K+ was predominantly concentrated in the panicles, following the order of panicle > leaf > stem. This finding indicates that rice mitigates the injury caused by salinity stress by regulating the accumulation of Na+ and K+ in different organs.
The ANOVA results indicated significant effects of the straw, the nitrogen application levels, and their interaction on leaf Na+ accumulation, K+ accumulation, and the Na+/K+ ratio (Table 5). Additionally, the straw and nitrogen application levels significantly influenced stem Na+ accumulation, K+ accumulation, and the Na+/K+ ratio; however, no significant effect was observed on Na+ accumulation in the panicle. In summary, straw effectively reduced Na+ accumulation and the Na+/K+ ratio while promoting K+ accumulation in various rice organs under different nitrogen application levels (Figure 7).
Table 5.
Analysis of variance interaction (ANOVA) of straw return with nitrogen fertilizer on Na+ and K+ contents, and Na+/K+ ratio in different rice organs at the maturity stage.
3.6. Rice Biomass Yield (BY), Grain Yield (GY), and Harvest Index (HI)
Table 6 details the impact of straw return combined with nitrogen (N) fertilizer on the biomass yield (BY), grain yield (GY), and harvest index (HI) of rice. The ANOVA results indicate that both straw and nitrogen fertilizer, as well as the interaction between them fertilizer (S × N), significantly affected the BY and GY of the rice in the saline–sodic rice area. Additionally, nitrogen fertilizer had a notable effect on the HI of the rice in this region.
Table 6.
Effects of straw return with nitrogen fertilizer application on the grain yield (GY), biomass yield (BY), and harvest index (HI) of rice.
Under the N0 treatment, the rice grain yield in the straw return treatment was lower than that in the no-straw-return treatment. Conversely, under the N180 and N360 treatments, the rice grain yield in the straw-return treatment was significantly higher than that in the no-straw-return treatment. Specifically, under the N0 treatment, the rice grain yield decreased by 9.20% in the straw return treatment, while under the N180 and N360 treatments, the rice grain yield increased by 6.77% and 6.91%, respectively. Overall, the rice grain yield tended to increase with higher nitrogen application levels regardless of the straw return treatment. In the absence of a straw return, the rice grain yield exhibited the pattern of N360 > N180 > N0, with the relative change increasing alongside the nitrogen application levels. Similarly, the rice biomass yield followed a trend consistent with that of the grain yield.
Regardless of whether straw was returned to the field, the rice harvest index was significantly higher in the N180 and N360 treatments than in the N0 treatment. Furthermore, the harvest index was greater in the N180 treatment than in the N360 treatment, although no significant difference was observed between the two. Specifically, the rice harvest index increased by 38.24% and 32.35% under the S0N180 and S0N360 treatments, respectively, when compared with the S0N0 treatment. Similarly, increases of 46.88% and 43.75% were observed under the SN180 and SN360 treatments, respectively, in comparison with the SN0 treatment.
4. Discussion
4.1. Effect of Straw Return with Nitrogen Fertilizer on the Leachate Volume in Saline–Sodic Soils
The poor soil structure, salt dispersion, and inadequate air permeability in saline–sodic soils significantly hinder crop growth and development [41]. Consequently, enhancing the soil structure, reducing soil salinity, and improving water infiltration represent effective strategies for soil amendment [42].
This study found that the return of straw increased the soil leachate volume (Figure 3). This increase may be attributed to the decomposition of organic particles from the straw, which interact with minerals to form macroaggregates from soil microaggregates. This process enhances the stability of the aggregates and improves the overall physical structure of the soil. These changes facilitate a higher rate and upper limit of water leaching [43]. Furthermore, straw return enhances the contents of humus and its components in saline soils, which can adsorb exchangeable cations, such as K+, NH4+, and Mg2+, replacing Na+ on soil colloids. This action mitigates the swelling and dispersion of clays caused by the high Na+ content in the soil, thereby increasing soil permeability and hydraulic conductivity [44,45]. Additionally, nitrogen fertilizer accelerates the decomposition of straw with high carbon-to-nitrogen ratios, improves the physical structure and chemical properties of the soil, and enhances soil water leaching (Figure 3) [46].
In this study, it was observed that the soil leachate volume in the no-straw-return treatment gradually increased over time (Figure 3A). This increase was attributed to the growth and development of the rice root system, as well as biological activities that promoted the formation of larger pore spaces, thereby improving the soil structure and facilitating water leaching [47]. In contrast, the soil leachate volume in the straw-return treatment exhibited a fluctuating decrease (Figure 3A). This fluctuation could be attributed to the frequent sampling (every 2 days) following fertilizer application, which resulted in an overall low soil leachate volume; however, a similar gradual decreasing trend was still observed. This phenomenon may be explained by several factors: (1) soil consolidation increases soil bulk density due to the effects of gravity and water loss over time [48]; (2) as straw decomposes, its surface structure changes, resulting in a rougher internal surface and increased porosity, which enhances the water adsorption capacity of the straw [49].
4.2. Effect of Straw Return with Nitrogen Fertilizer on Chemical Properties of Soil Leachate in Saline–Sodic Soils
High pH can severely impact soil structure and disrupt the charge balance within plant cells, hindering the uptake of water and nutrients by plants and adversely impacting crop growth. Consequently, lowering the pH of saline–sodic soils is a critical factor in enhancing saline–sodic land.
This study revealed that the return of straw significantly increased the pH of the leachate solution (Figure 4). This may be attributed to two main factors: (1) Returning straw to the field enhanced soil moisture leaching (Figure 3), which facilitated the leaching of salts and decreased the soluble salt content in the soil. This process resulted in an influx of soluble salts into the leachate solution along with water, consequently raising the pH of the soil leachate solution [50]. (2) Straw return enhanced the humus content in saline soils, adsorbed exchangeable cations, replaced Na+ on soil colloids, and promoted the leaching of salts from the soil. Consequently, this process led to an increase in the pH of the soil leachate [44,51]. Thus, this study demonstrates that straw return to the field can effectively raise the pH of leachate from saline–sodic soils and mitigate the adverse effects of high-pH stress on rice. Additionally, the pH of the leachate solution increased across all treatments throughout the leaching process, likely due to continuous irrigation and drainage during the rice growing season, which contributed to lower the concentrations of soluble salts in the soil, thereby increasing the pH of the leachate [8].
In the sodic–saline regions of the western Songnen Plain, substantial amounts of Na+ are present in the soil [8]. Excess Na+ contributes to the destabilization of the soil structure, the deterioration of soil hydraulic properties, and an imbalance of essential nutrients in the soil [16]. Consequently, reducing the Na+ levels in the soil is a crucial strategy for alleviating saline–sodic stress. Numerous previous studies have indicated that straw return enhances the humus content in saline soils, increases the adsorption of exchangeable cations, replaces Na+ on soil colloids, and improves soil structure [44,51]. This study demonstrated that straw return significantly increased the Na+ concentration (Figure 5A) and the Na+/K+ ratio (Figure 5C) in the leachate, with these increases correlating with higher nitrogen application levels. The incorporation of straw return enhances soil porosity and improves leaching efficiency (Figure 3) [43]. Additionally, the decomposition of straw contributes to an increase in humus content, which facilitates the adsorption of exchangeable cations, such as Mg2+, and promotes the leaching of Na+ from the soil profile [44].
K+ is an inorganic osmoregulatory substance, and increasing the K+ concentration in plant tissues is considered essential for overcoming saline–sodic stress [52,53]. In this study, straw return was found to increase the K+ concentration in the leachate, which varied with the level of nitrogen applied (Figure 5B). This increase could be attributed to the significant amount of K contained in straw (Table 2), as straw releases a considerable quantity of K during decomposition. Additionally, the application of nitrogen has a stimulating effect on the release of nutrients during straw decomposition, thereby promoting the release of K and other nutrients, which leads to an elevated concentration of K+ in the leachate solution [54].
The excessive use of nitrogen fertilizers, combined with low nitrogen fertilizer utilization, results in a significant loss of nitrogen from the environment [55]. The NH4+-N and NO3−-N concentrations in the drench solution increased significantly with higher nitrogen fertilizer inputs (Figure 6 and Table 4). The soil readily adsorbs NH4+-N, making NO3−-N more susceptible to leaching [56,57]. Gong et al. showed that urea is completely hydrolyzed within 1 week after application to rice fields, resulting in a rapid increase in NH4+-N and NO3−-N concentrations. [58]. This observation is consistent with that of the current study, where the NH4+-N and NO3−-N concentrations peaked shortly after fertilizer application, followed by a rapid decline and a gradual leveling off (Figure 6).
This study found that straw return significantly reduced NO3−-N and NH4+-N concentrations in the leachate solution (Figure 6). This effect may be attributed to the promotion of nitrogen sequestration in the soil due to straw return, which also enhances the organic carbon content and improves the carbon-to-nitrogen ratio. These changes provide a sufficient carbon source for nitrifying bacteria, thereby facilitating nitrification and reducing nitrogen leaching [59]. The application of straw resulted in an increase in the pH of the leaching solution and the concentration of Na+ (Figure 3). This reduction in Na+ in the soil mitigated salinity stress on the rice roots and enhanced root activity, which, in turn, effectively facilitated nitrogen absorption and decreased nitrogen leaching [60].
4.3. Effect of Straw Return with Nitrogen Fertilizer on Ion Content in Different Rice Organs at Maturity in Saline–Sodic Soil
Saline–sodic stress damage to crops is primarily attributed to osmotic stress, ionic damage, high-pH toxicity, and nutritional disorders [61,62]. The excessive content of Na+ and the impairment of K+ in plants are the main limiting factors for plant growth in salt-affected soils. Consequently, mitigating Na+ stress on plants and enhancing K+ uptake are crucial strategies for the effective utilization of saline soils [63,64].
Numerous previous studies have demonstrated that returning straw to the field positively influences the mitigation of excessive Na+ content in crops [41]. In this study, straw return resulted in a reduction in the Na+ concentration (Figure 7A,B) and Na+/K+ ratios (Figure 7E,F) in the rice plants subjected to various nitrogen application level treatments, with the reduction becoming more pronounced as nitrogen application increased. This enhancement of soil permeability (Figure 3) was attributed to straw return, which facilitates the leaching of a significant amount of soluble Na+ into the deeper layers of the soil (Figure 5A). Consequently, this process lowers the soil pH, creating a conducive environment for plant root growth [65]. Moreover, the decomposition of straw releases a substantial quantity of nutrients into the soil, which enhances the root vigor of rice during the middle and late growth stages. This improvement promotes K+ uptake, inhibits Na+ uptake, and achieves intracellular ion balance [66]. This study also found that the dominant effect—characterized by an increased K+ accumulation and a reduced degree of Na+/K+—was significantly greater in the nitrogen application treatment involving straw return (Figure 7). This phenomenon could be attributed to the poor fertility and suboptimal soil structure commonly observed in saline soils, which hinder efficient K+ uptake by the root system [67]. In contrast, straw return contributes substantial amounts of K (Figure 5B), and the interaction between straw return and nitrogen fertilization enhances K+ uptake (Figure 7C,D).
Plants mitigate damage from saline–sodic stress by reducing the Na+ content and enhancing K+ uptake to maintain a low Na+/K+ ratio [68]. Rice improves its salt tolerance through selective uptake and the Na+ content in the stem, which serves to protect meristematic and photosynthetically active tissues while simultaneously increasing K+ uptake activity [69]. Under saline–sodic stress, Na+ accumulates primarily in the stem sheath at maturity (Figure 7A,B), whereas K+ is predominantly found in the panicle (Figure 7C,D). This physiological mechanism facilitates rice adaptation to saline–sodic stress by mediating Na+ unloading from the xylem in roots and stem sheaths through the regulation of OsHKT1;5, thereby preventing an excessive Na+ content in leaves and panicles during salt stress [70].
4.4. Effect of Straw Return with Nitrogen Fertilizer on Rice Yield in Saline–Sodic Soil
Nutrient deficiencies, ionic toxicity, and osmotic stress resulting from saline–sodic conditions are major contributors to reduced rice yields [8,71]. Numerous studies have demonstrated that returning straw to the field can mitigate the adverse effects of saline–sodic stress on plant growth, thereby enhancing crop yields [12,72]. In the present study, it was observed that returning straw to the field significantly increased both the biological and seed yields of rice across various nitrogen (N) application levels, with yield improvements correlating positively with the increase in nitrogen (N) application levels (Table 6). The mechanisms by which straw return, in conjunction with nitrogen fertilization, enhances rice yield could be attributed to three key factors: First, the combination of straw return and nitrogen fertilization altered the soil’s physical structure, increased the rate of water infiltration (Figure 3), and facilitated the leaching of salts from the soil (Figure 5). Second, NH4+-N and NO3−-N losses were reduced through the practice of straw return with nitrogen fertilizer (Figure 6). Third, straw return led to an increased Na+ content in the stems while mitigating the Na+ content in the leaves, resulting in improved leaf Na+/K+ ratios (Figure 7). This process also alleviated chlorophyll decomposition caused by saline–sodic stress, thereby enhancing photosynthetic efficiency and ultimately increasing rice yield [73]. Furthermore, this study also found that the harvest index of N180 was higher than that of SN360 regardless of whether straw was returned to the field. This difference was attributed to the fact that an increased application of nitrogen fertilizer enhances biological yield; however, excessive nitrogen application can inhibit starch synthesis and reduce the grain weight of spikelets, ultimately leading to a lower harvest index [74,75]. The aforementioned studies suggest that incorporating straw, in conjunction with nitrogen fertilizer, can enhance rice productivity in saline–sodic soils. However, further research is necessary to determine the optimal application rate of nitrogen fertilizer in these straw return scenarios.
5. Conclusions
Straw return with nitrogen fertilizer significantly improved leaching parameters in saline–sodic soil, including the leaching solution volume, pH, Na+, Na+/K+, NH4+-N, and NO3−-N. Furthermore, the observed increase in rice yield could be attributed to a reduction in Na+ accumulation and the Na+/K+ ratio and an increase in K+ accumulation in the rice, resulting from the application of straw return with nitrogen fertilization. These findings provide new insights into the regulation of rice saline–sodic tolerance via straw return with nitrogen fertilizer. However, further investigation is needed to determine the effects of straw return on rice physiological and biochemical changes and environmental benefits in the saline–sodic ecosystem.
Author Contributions
Conceptualization, T.B. and C.R.; methodology, T.B.; software, T.B.; validation, T.B., C.R., and Q.M.; formal analysis, T.B. and C.R.; investigation, T.B., C.R., Q.M., Y.M., S.L., H.L., X.L., and Q.C.; data curation, T.B. and Q.M.; writing—original draft preparation, T.B.; writing—review and editing, C.R. and X.S.; visualization, Q.Z.; supervision, Q.Z.; funding acquisition, X.S. All authors have read and agreed to the published version of the manuscript.
Funding
This study was supported by the National key research and development program (2022YFD1500505; 2022YFD1500501).
Data Availability Statement
The original contributions presented in the study are included in the article. Further inquiries can be directed to the corresponding authors.
Acknowledgments
Thanks to the editor and anonymous reviewers who significantly helped improve this manuscript; thank you to Xiangyu Meng, Zhexuan Zhao, Mingming Zhao, Dapeng Gao, Weiyang Liu, and Yueyue Liu from the research group for their assistance during the experiment and paper.
Conflicts of Interest
Author Tianqi Bai was employed by the company Tsinghua Agriculture Jilin Co., Ltd. The remaining authors declare that the research was conducted in the absence of any commercial or financial relationships that could be construed as a potential conflict of interest.
References
- Kong, T.; Zhang, D.S.; Xu, H.; Wang, L.H. Microbial Ecological Characteristics of Alkaline-saline Lands and Its Amelioration Process: A Review. Soils 2014, 46, 581–588. [Google Scholar] [CrossRef]
- Wang, S.; Sun, L.; Ling, N.; Zhu, C.; Chi, F.Q.; Li, W.Q.; Hao, X.Y.; Zhang, W.; Bian, J.Y.; Chen, L.; et al. Exploring soil factors determining composition and structure of the bacterial communities in saline-alkali soils of songnen plain. Front. Microbiol. 2020, 10, 2902. [Google Scholar] [CrossRef] [PubMed]
- Sun, Y.P.; Yang, J.S.; Yao, R.J.; Zhang, X.; Chen, X.B.; Wang, X.P.; Xie, W.P. Effects of Biochar and Chemical Fertilizer Application on Soil Properties in Farmland Reclaimed from Salinity Tidal Flat. Chin. J. Soil Sci. 2017, 48, 454–459. [Google Scholar] [CrossRef]
- Pang, C.H.; Yang, Y.; Yang, Y.Q.; Hou, Y.C. Effects of Two Amendments on Soil Properties and Quinoa Yield in Saline-alkaline Soil in South Shanxi. Acta Agric. Boreali-Occident. Sin. 2022, 31, 1185–1193. [Google Scholar] [CrossRef]
- Gong, H.Y.; Li, Y.F.; Li, S.J. Effects of the interaction between biochar and nutrients on soil organic carbon sequestration in soda saline-alkali grassland: A review. Glob. Ecol. Conserv. 2021, 26, e1449. [Google Scholar] [CrossRef]
- Darwish, T.; Atallah, T.; Moujabber, M.E.; Khatib, N. Salinity evolution and crop response to secondary soil salinity in two agroclimatic zones in Lebanon. Agric. Water Manag. 2005, 78, 152–164. [Google Scholar] [CrossRef]
- Gao, Q.; Li, J.D.; Zheng, H.Y. A dynamic landscape simulation model for the alkaline grasslands on Songnen Plain in northeast China. Landsc. Ecol. 1996, 11, 339–349. [Google Scholar] [CrossRef]
- Chi, C.M.; Zhao, C.W.; Sun, X.J.; Wang, Z.C. Reclamation of saline-sodic soil properties and improvement of rice (Oriza sativa L.) growth and yield using desulfurized gypsum in the west of Songnen Plain, northeast China. Geoderma 2012, 187, 24–30. [Google Scholar] [CrossRef]
- Huang, L.H.; Liu, Y.; Ferreira, J.F.S.; Wang, M.M.; Na, J.; Huang, J.X.; Liang, Z.W. Long-term combined effects of tillage and rice cultivation with phosphogypsum or farmyard manure on the concentration of salts, minerals, and heavy metals of saline-sodic paddy fields in Northeast China. Soil Tillage Res. 2022, 215, 105222. [Google Scholar] [CrossRef]
- Zhao, D.D.; Wang, Z.C.; Yang, F.; Zhu, W.D.; An, F.H.; Ma, H.Y.; Tóth, T.; Liao, X.; Yang, H.T.; Zhang, L. Amendments to saline-sodic soils showed long-term effects on improving growth and yield of rice (Oryza sativa L.). PeerJ 2020, 8, e8726. [Google Scholar] [CrossRef]
- Guo, X.H.; Lan, Y.C.; Xu, L.Q.; Yin, D.W.; Li, H.Y.; Qian, Y.D.; Zheng, G.P.; Lv, Y.D. Effects of nitrogen application rate and hill density on rice yield and nitrogen utilization in sodic saline-alkaline paddy fields. J. Integr. Agric. 2021, 20, 540–553. [Google Scholar] [CrossRef]
- Meng, X.Y.; Ran, C.; Liu, B.L.; Zhao, Z.X.; Bai, T.Q.; Zhao, M.M.; Cheng, Z.W.; Chen, G.; Geng, Y.Q. Effect of straw return with nitrogen fertilizer on photosynthetic characteristics and yield of rice in soda saline-alkali rice paddy fields. Cereal Res. Commun. 2023, 51, 509–526. [Google Scholar] [CrossRef]
- Chen, W.; Feng, C.; Guo, W.; Shi, D.; Yang, C. Comparative effects of osmotic-, salt- and alkali stress on growth, photosynthesis, and osmotic adjustment of cotton plants. Photosynthetica 2011, 49, 417–425. [Google Scholar] [CrossRef]
- Piao, J.L.; Che, W.K.; Li, X.; Li, X.B.; Zhang, C.B.; Wang, Q.S.; Jin, F.; Hua, S. Application of peanut shell biochar increases rice yield in saline-alkali paddy fields by regulating leaf ion concentrations and photosynthesis rate. Plant Soil 2023, 483, 589–606. [Google Scholar] [CrossRef]
- Roy, S.J.; Negrao, S.; Tester, M. Salt resistant crop plants. Curr. Opin. Biotechnol. 2014, 26, 115–124. [Google Scholar] [CrossRef]
- Li, X.B.; Kang, Y.H.; Wan, S.Q.; Chen, X.L.; Chu, L.L.; Xu, J.C. First and second-year assessments of the rapid reconstruction and re-vegetation method for reclaiming two saline-sodic, coastal soils with drip-irrigation. Ecol. Eng. 2015, 84, 496–505. [Google Scholar] [CrossRef]
- Prichard, T.L.; Hoffman, G.J.; Oster, J.D. Reclamation of saline organic soil. Irrig. Sci. 1985, 6, 211–220. [Google Scholar] [CrossRef]
- Cerozi, B.D.S.; Fitzsimmons, K. The effect of pH on phosphorus availability and speciation in an aquaponics nutrient solution. Bioresour. Technol. 2016, 219, 778–781. [Google Scholar] [CrossRef]
- Wang, H.; Ahan, J.; Wu, Z.H.; Shi, D.C.; Liu, B.; Yang, C.W. Alteration of nitrogen metabolism in rice variety ‘Nipponbare’ induced by alkali stress. Plant Soil 2012, 355, 131–147. [Google Scholar] [CrossRef]
- Jutras, P.V.; Goulet, M.; Lavoie, P.; D’Aoust, M.; Sainsbury, F.; Michaud, D. Recombinant protein susceptibility to proteolysis in the plant cell secretory pathway is pH-dependent. Plant Biotechnol. J. 2018, 16, 1928–1938. [Google Scholar] [CrossRef]
- Kamran, M.; Wang, D.; Xie, K.; Lu, Y.; Shi, C.; Sabagh, A.E.; Gu, W.; Xu, P. Pre-sowing seed treatment with kinetin and calcium mitigates salt induced inhibition of seed germination and seedling growth of choysum (Brassica rapa var. parachinensis). Ecotoxicol. Environ. Saf. 2021, 227, 112921. [Google Scholar] [CrossRef] [PubMed]
- Fridovich, I. Biological effects of the superoxide radical. Arch. Biochem. Biophys. 1986, 247, 1–11. [Google Scholar] [CrossRef] [PubMed]
- Chaganti, V.N.; Crohn, D.M. Evaluating the relative contribution of physiochemical and biological factors in ameliorating a saline-sodic soil amended with composts and biochar and leached with reclaimed water. Geoderma 2015, 259–260, 45–55. [Google Scholar] [CrossRef]
- Zhao, X.M.; Zhu, M.L.; Guo, X.X.; Wang, H.B.; Sui, B.; Zhao, L.P. Organic carbon content and humus composition after application aluminum sulfate and rice straw to soda saline-alkaline soil. Environ. Sci. Pollut. Res. Int. 2019, 26, 13746–13754. [Google Scholar] [CrossRef]
- Wang, W.J.; He, H.S.; Zu, Y.G.; Guan, Y.; Liu, Z.G.; Zhang, Z.H.; Xu, H.N.; Yu, X.Y. Addition of HPMA affects seed germination, plant growth and properties of heavy saline-alkali soil in northeastern China: Comparison with other agents and determination of the mechanism. Plant Soil 2011, 339, 177–191. [Google Scholar] [CrossRef]
- Yang, F.; An, F.H.; Ma, H.Y.; Wang, Z.C.; Zhou, X.; Liu, Z.J. Variations on Soil Salinity and Sodicity and Its Driving Factors Analysis under Microtopography in Different Hydrological Conditions. Water 2016, 8, 227. [Google Scholar] [CrossRef]
- Zhao, Y.G.; Wang, S.J.; Li, Y.; Liu, J.; Zhuo, Y.Q.; Chen, H.X.; Wang, J.; Xu, L.Z.; Sun, Z.T. Extensive reclamation of saline-sodic soils with flue gas desulfurization gypsum on the Songnen Plain, Northeast China. Geoderma 2018, 321, 52–60. [Google Scholar] [CrossRef]
- Garbowski, T.; Bar-Michalczyk, D.; Charazińska, S.; Grabowska-Polanowska, B.; Kowalczyk, A.; Lochyński, P. An overview of natural soil amendments in agriculture. Soil Tillage Res. 2023, 225, 105462. [Google Scholar] [CrossRef]
- Cui, Y.F.; Meng, J.; Wang, Q.X.; Zhang, W.M.; Cheng, X.Y.; Chen, W.F. Effects of straw and biochar addition on soil nitrogen, carbon, and super rice yield in cold waterlogged paddy soils of North China. J. Integr. Agric. 2017, 16, 1064–1074. [Google Scholar] [CrossRef]
- Cao, J.S.; Liu, C.M.; Zhang, W.J.; Guo, Y.L. Effect of integrating straw into agricultural soils on soil infiltration and evaporation. Water Sci. Technol. 2012, 65, 2213–2218. [Google Scholar] [CrossRef]
- Zhao, Y.G.; Pang, H.C.; Wang, J.; Huo, L.; Li, Y.Y. Effects of straw mulch and buried straw on soil moisture and salinity in relation to sunflower growth and yield. Field Crops Res. 2014, 161, 16–25. [Google Scholar] [CrossRef]
- Chen, S.; Zhang, Z.Y.; Wang, Z.C.; Guo, X.P.; Liu, M.H.; Hamoud, Y.A.; Zheng, J.C.; Qiu, R.J. Effects of uneven vertical distribution of soil salinity under a buried straw layer on the growth, fruit yield, and fruit quality of tomato plants. Sci. Hortic. 2016, 203, 131–142. [Google Scholar] [CrossRef]
- Gu, W.Q.; Wang, Y.N.; Sun, Y.Y.; Liu, Z.F.; Wang, W.J.; Wu, D.; Zhang, Y.X.; Sun, W.; Wang, X.; Feng, Z.B.; et al. Assessing the formation and stability of paddy soil aggregate driven by organic carbon and Fe/Al oxides in rice straw cyclic utilization strategies: Insight from a six-year field trial. Sci. Total Environ. 2024, 951, 175607. [Google Scholar] [CrossRef]
- Wang, H.; Guo, Q.; Li, X.; Li, X.; Yu, Z.X.; Li, X.Y.; Yang, T.T.; Su, Z.C.; Zhang, H.W.; Zhang, C.G. Effects of long-term no-tillage with different straw mulching frequencies on soil microbial community and the abundances of two soil-borne pathogens. Appl. Soil Ecol. 2020, 148, 103488. [Google Scholar] [CrossRef]
- Wang, X.C.; Samo, N.; Zhao, C.K.; Wang, H.N.; Yang, G.T.; Hu, Y.G.; Peng, Y.L.; Rasul, F. Negative and Positive Impacts of Rape Straw Returning on the Roots Growth of Hybrid Rice in the Sichuan Basin Area. Agronomy 2019, 9, 690. [Google Scholar] [CrossRef]
- Yang, H.S.; Xu, M.M.; Koide, R.T.; Liu, Q.; Dai, Y.J.; Liu, L.; Bian, X.M. Effects of ditch-buried straw return on water percolation, nitrogen leaching and crop yields in a rice-wheat rotation system. J. Sci. Food Agric. 2016, 96, 1141–1149. [Google Scholar] [CrossRef]
- IUSS Working Group. World Reference Base for Soil Resources 2014 International Soil Classification System for Naming Soils and Creating Legends for Soil Maps; FAO: Rome, Italy, 2014. [Google Scholar]
- Wang, L.H.; Li, T.X.; Liu, H.; Zhang, Z.W.; Yang, A.Z.; Li, H.Y. Combined Effect of Freeze–Thaw Cycles and Biochar Addition on Soil Nitrogen Leaching Characteristics in Seasonally Frozen Farmland in Northeast China. Agronomy 2024, 14, 153. [Google Scholar] [CrossRef]
- Hamada, K.; Nakamura, S.; Kuniyoshi, D. Pipe experiment elucidates biochar application depth affects nitrogen leaching under crop present condition. Sci. Rep. 2024, 14, 22823. [Google Scholar] [CrossRef]
- Ramsay, J.A.; Brown, R.H.J.; Falloon, S.W.H.W. Simultaneous Determination of Sodium and Potassium in Small Volumes of Fluid by Flame Photometry. J. Exp. Biol. 1953, 30, 1–17. [Google Scholar] [CrossRef]
- Stavi, I.; Thevs, N.; Priori, S. Soil Salinity and Sodicity in Drylands: A Review of Causes, Effects, Monitoring, and Restoration Measures. Front. Environ. Sci. 2021, 9, 712831. [Google Scholar] [CrossRef]
- Elmeknassi, M.; Elghali, A.; Carvalho, H.W.P.; Laamrani, A.; Benzaazoua, M. A review of organic and inorganic amendments to treat saline-sodic soils: Emphasis on waste valorization for a circular economy approach. Sci. Total Environ. 2024, 921, 171087. [Google Scholar] [CrossRef]
- Liu, C.; Lu, M.; Cui, J.; Li, B.; Fang, C.M. Effects of straw carbon input on carbon dynamics in agricultural soils: A meta-analysis. Glob. Chang. Biol. 2014, 20, 1366–1381. [Google Scholar] [CrossRef]
- Amini, S.; Ghadiri, H.; Chen, C.R.; Marschner, P. Salt-affected soils, reclamation, carbon dynamics, and biochar: A review. J. Soils Sediments 2016, 16, 939–953. [Google Scholar] [CrossRef]
- Ghimire, R.; Lamichhane, S.; Acharya, B.S.; Bista, P.; Sainju, U.M. Tillage, crop residue, and nutrient management effects on soil organic carbon in rice-based cropping systems: A review. J. Integr. Agric. 2017, 16, 1–15. [Google Scholar] [CrossRef]
- Ambus, J.V.; Awe, G.O.; Carvalho, P.C.D.; Reichert, J.M. Integrated crop-livestock systems in lowlands with rice cultivation improve root environment and maintain soil structure and functioning. Soil Tillage Res. 2023, 227, 105592. [Google Scholar] [CrossRef]
- Aller, D.; Rathke, S.; Laird, D.; Cruse, R.; Hatfield, J. Impacts of fresh and aged biochars on plant available water and water use efficiency. Geoderma 2017, 307, 114–121. [Google Scholar] [CrossRef]
- Ouattara, K.; Ouattara, B.; Assa, A.; Sédogo, P.M. Long-term effect of ploughing, and organic matter input on soil moisture characteristics of a Ferric Lixisol in Burkina Faso. Soil Tillage Res. 2005, 88, 217–224. [Google Scholar] [CrossRef]
- Li, J.F.; Zhong, F.F. Nitrogen release and re-adsorption dynamics on crop straw residue during straw decomposition in an Alfisol. J. Integr. Agric. 2021, 20, 248–259. [Google Scholar] [CrossRef]
- Abdelrhman, A.A.; Gao, L.L.; Li, S.P.; Lu, J.J.; Song, X.J.; Zhang, M.N.; Zheng, F.J.; Wu, H.J.; Wu, X.P. Long-Term Application of Organic Wastes Improves Soil Carbon and Structural Properties in Dryland Affected by Coal Mining Activity. Sustainability 2021, 13, 5686. [Google Scholar] [CrossRef]
- Yuan, X.D.; Ran, C.; Gao, D.P.; Zhao, Z.X.; Meng, X.Y.; Geng, Y.Q.; Shao, X.W.; Chen, G. Changes in soil characteristics and rice yield under straw returning in saline sodic soils. Soil Sci. Plant Nutr. 2022, 68, 563–573. [Google Scholar] [CrossRef]
- Drake, J.A.; Cavagnaro, T.R.; Cunningham, S.C.; Jackson, W.R.; Patti, A.F. Does Biochar Improve Establishment of Tree Seedlings in Saline Sodic Soils? Land Degrad. Dev. 2016, 27, 52–59. [Google Scholar] [CrossRef]
- Saifullah; Dahlawi, S.; Naeem, A.; Rengel, Z.; Naidu, R. Biochar application for the remediation of salt-affected soils: Challenges and opportunities. Sci. Total Environ. 2018, 625, 320–335. [Google Scholar] [CrossRef] [PubMed]
- Gao, J.Y.; Ran, C.; Hou, H.M.; Guo, L.Y.; Zhang, Q.; Geng, Y.Q.; Shao, X.W. Synergistic improvement of straw decomposition and rice yield in saline sodic paddy soils by rational nitrogen application. Plant Soil 2024, in press. [Google Scholar] [CrossRef]
- Chen, X.; Yang, S.H.; Jiang, Z.W.; Ding, J.; Sun, X. Biochar as a tool to reduce environmental impacts of nitrogen loss in water-saving irrigation paddy field. J. Clean. Prod. 2021, 290, 125811. [Google Scholar] [CrossRef]
- Zhu, J.G.; Han, Y.; Liu, G.; Zhang, Y.L.; Shao, X.H. Nitrogen in percolation water in paddy fields with a rice/wheat rotation. Nutr. Cycl. Agroecosyst. 2000, 57, 75–82. [Google Scholar] [CrossRef]
- Ju, X.T.; Xing, G.X.; Chen, X.P.; Zhang, S.L.; Zhang, L.J.; Liu, X.J.; Cui, Z.L.; Yin, B.; Christie, P.; Zhu, Z.L.; et al. Reducing environmental risk by improving N management in intensive Chinese agricultural systems. Proc. Natl. Acad. Sci. USA 2009, 106, 3041–3046. [Google Scholar] [CrossRef]
- Gong, L.; Juan, Y.H.; Wang, J.H.; Liu, Y.; Sun, W.T. Study on the Variations of Nitrogen and Phosphorus in Surface Water Body of Paddy Field. Chin. Agric. Sci. Bull. 2014, 30, 168–174. [Google Scholar] [CrossRef]
- Galloway, J.N.; Townsend, A.R.; Erisman, J.W.; Bekunda, M.; Cai, Z.C.; Freney, J.R.; Martinelli, L.A.; Seitzinger, S.P.; Sutton, M.A. Transformation of the Nitrogen Cycle: Recent Trends, Questions, and Potential Solutions. Science 2008, 320, 889–892. [Google Scholar] [CrossRef]
- Sun, C.X.; Wang, D.; Shen, X.B.; Li, C.C.; Liu, J.; Lan, T.; Wang, W.Y.; Xie, H.T.; Zhang, Y.L. Effects of biochar, compost and straw input on root exudation of maize (Zea mays L.): From function to morphology. Agric. Ecosyst. Environ. 2020, 297, 106952. [Google Scholar] [CrossRef]
- Yang, Y.Q.; Guo, Y. Elucidating the molecular mechanisms mediating plant salt-stress responses. New Phytol. 2018, 217, 523–539. [Google Scholar] [CrossRef]
- Kamran, M.; Xie, K.Z.; Sun, J.; Wang, D.; Shi, C.H.; Lu, Y.S.; Gu, W.J.; Xu, P.Z. Modulation of growth performance and coordinated induction of ascorbate-glutathione and methylglyoxal detoxification systems by salicylic acid mitigates salt toxicity in choysum (Brassica parachinensis L.). Ecotoxicol. Environ. Saf. 2020, 188, 109877. [Google Scholar] [CrossRef] [PubMed]
- Chakraborty, K.; Bhaduri, D.; Meena, H.N.; Kalariya, K. External potassium (K+) application improves salinity tolerance by promoting Na+-exclusion, K+-accumulation and osmotic adjustment in contrasting peanut cultivars. Plant Physiol. Biochem. 2016, 103, 143–153. [Google Scholar] [CrossRef] [PubMed]
- Takahashi, R.; Nishio, T.; Ichizen, N.; Takano, T. Cloning and functional analysis of the K+ transporter, PhaHAK2, from salt-sensitive and salt-tolerant reed plants. Biotechnol. Lett. 2007, 29, 501–506. [Google Scholar] [CrossRef]
- Wang, X.J.; Jia, Z.K.; Liang, L.Y.; Zhao, Y.F.; Yang, B.P.; Ding, R.X.; Wang, J.P.; Nie, J.F. Changes in soil characteristics and maize yield under straw returning system in dryland farming. Field Crops Res. 2018, 218, 11–17. [Google Scholar] [CrossRef]
- Sofy, M.R.; Elhawat, N.; Alshaal, T. Glycine betaine counters salinity stress by maintaining high K+/Na+ ratio and antioxidant defense via limiting Na+ uptake in common bean (Phaseolus vulgaris L.). Ecotoxicol. Environ. Saf. 2020, 200, 110732. [Google Scholar] [CrossRef] [PubMed]
- Li, X.; Yao, T.X.; Huang, X.X.; Li, X.B.; Li, P.Y.; Du, S.; Wang, W.; Miao, S.H.; Wang, D.; Jin, F.; et al. Biochar increases rice yield by improving root morphological and root physiological functions in heavily saline-sodic paddy soil of northeast China. BioResources 2022, 1, 1421–1456. [Google Scholar] [CrossRef]
- Ran, C.; Gao, D.P.; Bai, T.Q.; Geng, Y.Q.; Shao, X.W.; Guo, L.Y. Straw return alleviates the negative effects of saline sodic stress on rice by improving soil chemistry and reducing the accumulation of sodium ions in rice leaves. Agric. Ecosyst. Environ. 2023, 342, 108253. [Google Scholar] [CrossRef]
- Reddy, I.N.B.L.; Kim, B.K.; Yoon, I.S.; Kim, K.H.; Kwon, T.R. Salt Tolerance in Rice: Focus on Mechanisms and Approaches. Rice Sci. 2017, 24, 123–144. [Google Scholar] [CrossRef]
- Ganie, S.A.; Molla, K.A.; Henry, R.J.; Bhat, K.V.; Mondal, T.K. Advances in understanding salt tolerance in rice. Theor. Appl. Genet. 2019, 132, 851–870. [Google Scholar] [CrossRef]
- Qadir, M.; Schubert, S. Degradation processes and nutrient constraints in sodic soils. Land Degrad. Dev. 2002, 13, 275–294. [Google Scholar] [CrossRef]
- Palansooriya, K.N.; Wong, J.T.F.; Hashimoto, Y.; Huang, L.B.; Rinklebe, J.; Chang, S.X.; Bolan, N.; Wang, H.L.; Ok, Y.S. Response of microbial communities to biochar-amended soils: A critical review. Biochar 2019, 1, 3–22. [Google Scholar] [CrossRef]
- Liu, N.; Jin, Z.Y.; Wang, S.H.; Gong, B.; Wen, D.; Wang, X.F.; Wei, M.; Shi, Q.H. Sodic alkaline stress mitigation with exogenous melatonin involves reactive oxygen metabolism and ion homeostasis in tomato. Sci. Hortic. 2015, 181, 18–25. [Google Scholar] [CrossRef]
- Sabokrow Foomani, K.; Valad Abadi, S.A.; Kavoosi, M.; Zakerin, H.; Yazdani, M. The Effect of Periodic Irrigation and Different Amounts of Nitrogen Fertilizer on Yield and Yield Components of Rice. Commun. Soil Sci. Plant Anal. 2020, 52, 22–31. [Google Scholar] [CrossRef]
- Chen, Y.K.; Teng, Z.N.; Yuan, Y.Q.; Yi, Z.X.; Zheng, Q.; Yu, H.H.; Lv, J.H.; Wang, Y.X.; Duan, M.J.; Zhang, J.H.; et al. Excessive nitrogen in field-grown rice suppresses grain filling of inferior spikelets by reducing the accumulation of cytokinin and auxin. Field Crops Res. 2022, 283, 108542. [Google Scholar] [CrossRef]
Disclaimer/Publisher’s Note: The statements, opinions and data contained in all publications are solely those of the individual author(s) and contributor(s) and not of MDPI and/or the editor(s). MDPI and/or the editor(s) disclaim responsibility for any injury to people or property resulting from any ideas, methods, instructions or products referred to in the content. |
© 2024 by the authors. Licensee MDPI, Basel, Switzerland. This article is an open access article distributed under the terms and conditions of the Creative Commons Attribution (CC BY) license (https://creativecommons.org/licenses/by/4.0/).






