Predicting Floral Bud Progression for Three Peach Cultivars
Abstract
1. Introduction
1.1. Prediction of the Bud Progression
1.2. Models to Predict Bud Progression
2. Materials and Methods
2.1. Plant Material
2.2. Budbreak
2.3. Controlled Conditions
2.4. Temperature Data
2.5. Heat Requirements
2.6. Bud Progression Assessment
2.7. Floral Progression Percentage
3. Data Analysis and Floral Bud Prediction
4. Results
4.1. Bud Progression
4.2. Thermal Requirements and Base Temperature
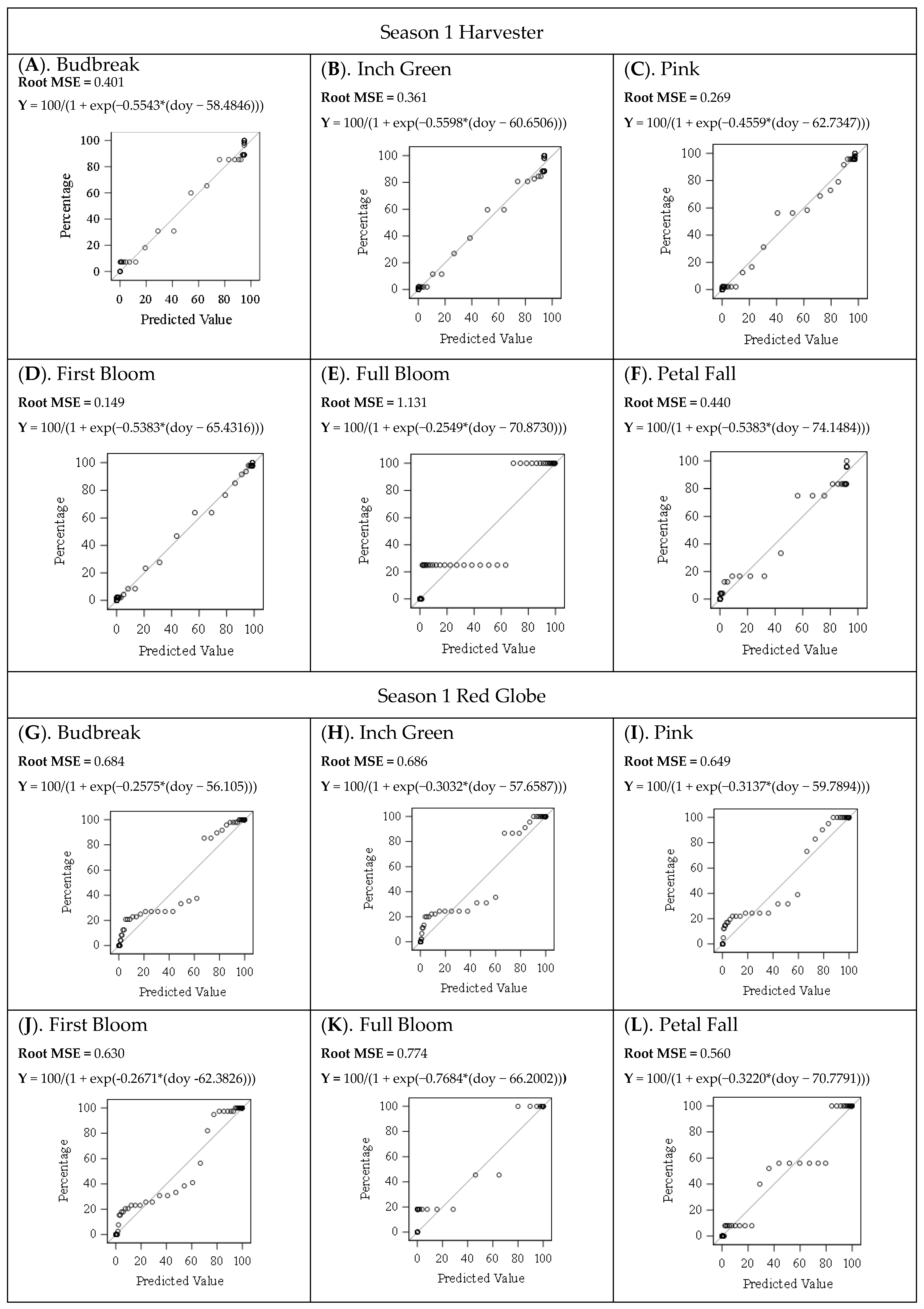
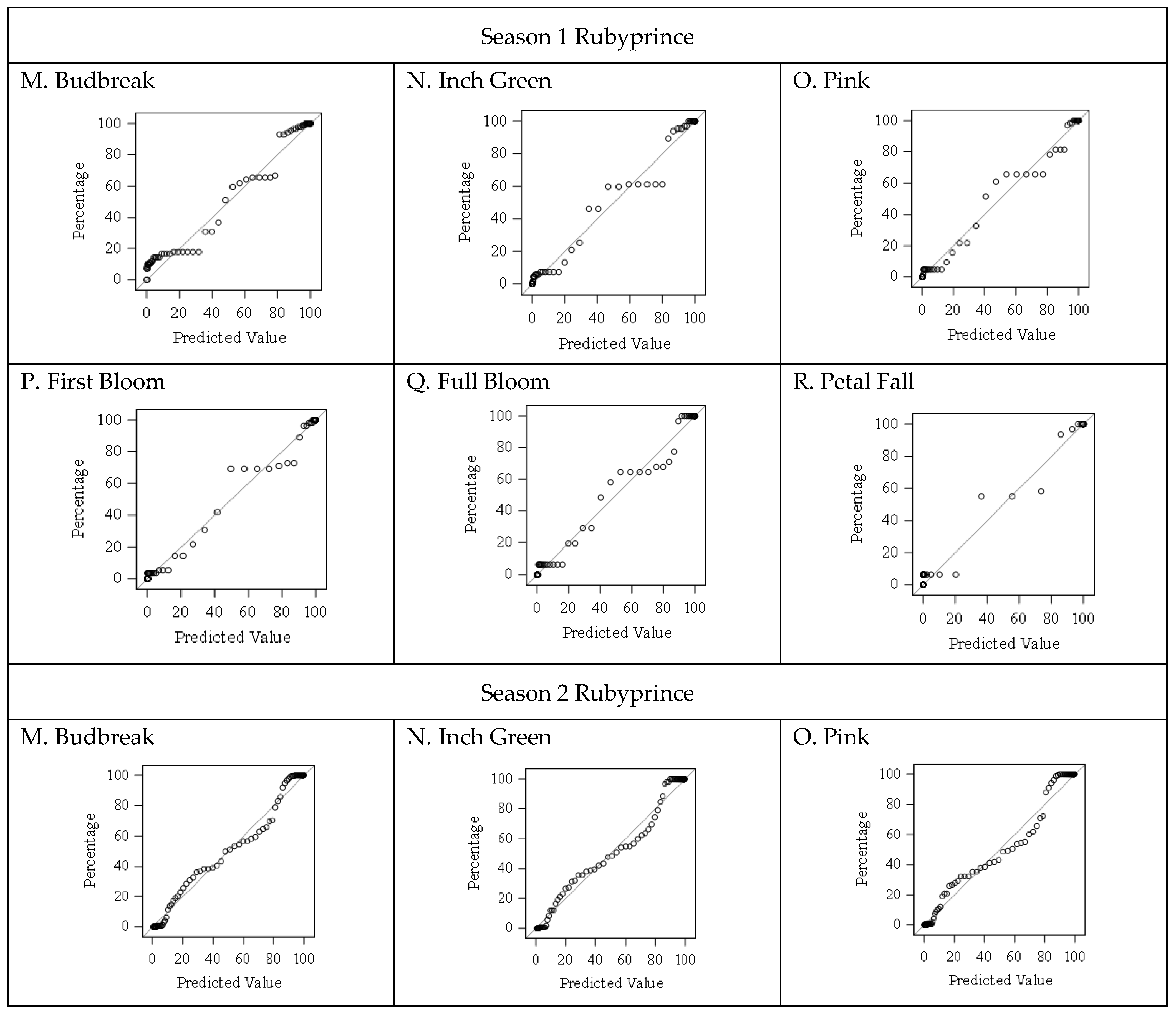
4.3. Floral Progression Percentage
4.4. Modeling the Bud Progression
5. Discussion
6. Conclusions
Author Contributions
Funding
Data Availability Statement
Conflicts of Interest
Appendix A


References
- Luna, V.; Lorenzo, E.; Reinoso, H.; Tordable, M.C.; Abdala, G.; Pharis, R.P.; Bottini, R. Dormancy in peach (Prunus persica L.) flower buds: I. Floral morphogenesis and endogenous gibberellins at the end of the dormancy period. Plant Physiol. 1990, 93, 20–25. [Google Scholar] [CrossRef]
- Lloret, A.; Quesada-Traver, C.; Ríos, G. Models for a molecular calendar of bud-break in fruit trees. Sci. Hortic. 2022, 297, 110972. [Google Scholar] [CrossRef]
- Baraldi, R.; Rossi, F.; Facini, O.; Fasolo, F.; Rotondi, A.; Magli, M.; Nerozzi, F. Light environment, growth and morphogenesis in a peach tree canopy. Physiol. Plant. 1994, 91, 339–345. [Google Scholar] [CrossRef]
- Considine, M.J.; Foyer, C.H. Redox regulation of plant development. Antioxid. Redox Signal. 2014, 21, 1305–1326. [Google Scholar] [CrossRef]
- Cirilli, M.; Gattolin, S.; Chiozzotto, R.; Baccichet, I.; Pascal, T.; Quilot-Turion, B.; Rossini, L.; Bassi, D. The Di2/pet variant in the PETALOSA gene underlies a major heat requirement-related QTL for blooming date in peach [Prunus persica (L.) Batsch]. Plant Cell Physiol. 2021, 62, 356–365. [Google Scholar] [CrossRef]
- Lloret, A.; Badenes, M.L.; Ríos, G. Modulation of dormancy and growth responses in reproductive buds of temperate trees. Front. Plant Sci. 2018, 9, 1368. [Google Scholar] [CrossRef]
- Meier, U. Growth stages of mono- and dicotyledoneous plants. Fed. Biol. Res. Cent. Agric. For. 2001, 204, 962304. [Google Scholar]
- Ramírez, F.; Davenport, T.L. The phenology of the capuli cherry [Prunus serotina subsp. capuli (Cav.) McVaugh] characterized by the BBCH scale, landmark stages and implications for urban forestry in Bogotá, Colombia. Urban For. Urban Green. 2016, 19, 202–211. [Google Scholar] [CrossRef]
- Sakar, E.H.; El Yamani, M.; Boussakouran, A.; Rharrabti, Y. Codification and description of almond (Prunus dulcis) vegetative and reproductive phenology according to the extended BBCH scale. Sci. Hortic. 2019, 247, 224–234. [Google Scholar] [CrossRef]
- Meier, U.; Bleiholder, H.; Buhr, L.; Feller, C.; Hack, H.; Heß, M.; Lancashire, P.D.; Schonock, U.; Stauß, R.; Van Dem Boom, T.; et al. The BBCH system to coding the phenological growth stages of plants–history and publications. J. Für Kult. 2009, 61, 41–52. [Google Scholar]
- Hortan, D.; Johnson, D.T. Southeastern Peach Growers’ Handbook; Cooperative Extension Service; University of Georgia: Athens, Georgia, 2005. [Google Scholar]
- Verma, P.; Singh, J.; Sharma, S.; Thakur, H. Phenological growth stages and growing degree days of peach [Prunus persica (L.) Batsch] in sub-temperate climatic zone of North-Western Himalayan region using BBCH scale. Ann. Appl. Biol. 2022, 182, 284–294. [Google Scholar] [CrossRef]
- Hsiang, T.F.; Lin, Y.J.; Yamane, H.; Tao, R. Characterization of Japanese apricot (Prunus mume) floral bud development using a modified BBCH scale and analysis of the relationship between BBCH stages and floral primordium development and the dormancy phase transition. Sci. Hortic. 2021, 7, 142. [Google Scholar] [CrossRef]
- Fadón, E.; Herrero, M.; Rodrigo, J. Flower development in sweet cherry framed in the BBCH scale. Sci. Hortic. 2015, 192, 141–147. [Google Scholar] [CrossRef]
- Mounzer, O.H.; Conejero, W.; Nicolás, E.; Abrisqueta, I.; Garcia-Orellana, Y.V.; Tapia, L.M.; Vera, J.; Abrisqueta, J.M.; Del Carmen Ruiz-Sánchez, M. Growth pattern and phenological stages of early-maturing peach trees under a Mediterranean climate. HortScience 2008, 43, 1813–1818. [Google Scholar] [CrossRef]
- Okie, W.R.; Blackburn, B. Increasing chilling reduces heat requirement for floral bud break in peach. HortScience 2011, 46, 245–252. [Google Scholar] [CrossRef]
- Schwartz, M.D.; Carbone, G.J.; Reighard, G.L.; Okie, W.R. A Model to predict peach phenology and maturity using meteorological variables. HortScience 1997, 32, 213–216. [Google Scholar] [CrossRef]
- Miranda, C.; Santesteban, L.G.; Royo, J.B. Evaluation and fitting of models for determining peach phenological stages at a regional scale. Agric. For. Meteorol. 2013, 178, 129–139. [Google Scholar] [CrossRef]
- Litschmann, T.; Oukropec, I.; Kirzan, B. Predicting individual phenological phases in peaches using meteorological data. Hortic. Sci. 2008, 35, 65–71. [Google Scholar] [CrossRef]
- Zhu, Y.; Chen, M.; Gu, Q.; Zhao, Y.; Zhang, X.; Sun, Q.; Gu, X.; Zheng, K. Machine learning methods for effi-cient and automated in situ monitoring of peach flowering phenology. Comput. Electron. Agric. 2022, 202, 107370. [Google Scholar] [CrossRef]
- Cifuentes-Carvajal, A.; Chaves-Córdoba, B.; Vinson, E.; Coneva, E.D.; Chavez, D.; Salazar-Gutiérrez, M.R. Modeling the budbreak in peaches: A basic approach using chill and heat accumulation. Agronomy 2023, 13, 2422. [Google Scholar] [CrossRef]
- Blaauw, B.; Brannen, P.; Lockwood, D.; Schnabel, G.; Ritchie, D. Southeastern Peach, Nectarine, and Plum Pest Management and Culture Guide. UGA Cooperative Extension Bulletin 1171. 2023. Available online: https://ssl.acesag.auburn.edu/dept/peaches/peachipm/images/2023_SE_peach_pest_guide.pdf (accessed on 8 October 2022).
- Okie, W.R.; Werner, D.J. Genetic influence on flower bud density in peach and nectarine exceeds that of environment. HortScience 1996, 31, 1010–1012. [Google Scholar] [CrossRef]
- Erez, A.; Lavee, S. The effect of climatic conditions on dormancy development of peach buds. I. Temperature1. J. Am. Soc. Hortic. Sci. 1971, 96, 711–714. [Google Scholar] [CrossRef]
- Horsáková, J.; Krška, B. Evaluation of dormancy break in some selected peach (Prunus persica) cultivars. Hortic. Sci. 2016, 43, 181–187. [Google Scholar] [CrossRef]
- Prudencio, A.S.; Martínez-Gómez, P.; Dicenta, F. Evaluation of breaking dormancy, flowering and productivity of extra-late and ultra-late flowering almond cultivars during cold and warm seasons in South-East of Spain. Sci. Hortic. 2018, 235, 39–46. [Google Scholar] [CrossRef]
- Richardson, E.A.; Seeley, S.D.; Walker, D.R. A model for estimating the completion of rest for “Redhaven” and “Elberta” Peach Trees. HortScience 1974, 9, 331–332. [Google Scholar] [CrossRef]
- Pulido, S.; Bojaca, C.R.; Salazar, M.; Chaves, B. Node appearance model for Lulo (Solanum quitoense Lam.) in the high altitude tropics. Biosyst. Eng. 2008, 101, 383–387. [Google Scholar] [CrossRef]
- Citadin, I.; Raseira, M.C.B.; Herter, F.G. Heat requirement for blooming and leafing in peach. HortScience 2001, 36, 305–307. [Google Scholar] [CrossRef]
- Atagul, O.; Calle, A.; Demirel, G.; Lawton, J.M.; Bridges, W.C.; Gasic, K. Estimating heat requirement for flowering in peach germplasm. Agronomy 2022, 12, 1002. [Google Scholar] [CrossRef]
- Łysiak, G.P.; Szot, I. The use of temperature based indices for estimation of fruit production conditions and risks in temperate climates. Agriculture 2023, 13, 960. [Google Scholar] [CrossRef]
- Willmott, C.J. On the validation of models. Phys. Geogr. 1981, 2, 184–194. [Google Scholar] [CrossRef]
- Willmott, C.J. Some comments on the evaluation of model performance. Bull. Am. Meteorol. Soc. 1982, 63, 1309–1313. [Google Scholar] [CrossRef]
- Willmott, C.J.; Ackleson, S.G.; Davis, R.E.; Feddema, J.J.; Klink, K.M.; Legates, D.R.; O’Donnell, J.; Rowe, C.M. Statistics for the evaluation and comparison of models. J. Geophys. Res. Ocean. 1985, 90, 8995–9005. [Google Scholar] [CrossRef]
- Janssen, P.H.; Heuberger, P.S. Calibration of process-oriented models. Ecol. Model. 1995, 83, 55–66. [Google Scholar] [CrossRef]
- Coneva, E. Peach Growth Stages and Critical Temperatures Alabama. A & M Cooperative Extension Service. 2022. Available online: https://www.aces.edu/blog/topics/crop-production/peach-growth-stages-critical-temperatures (accessed on 5 August 2023).
- Ghrab, M.; Mimoun, M.B.; Masmoudi, M.M.; Mechlia, N.B. Chilling trends in a warm production area and their impact on flowering and fruiting of peach trees. Sci. Hortic. 2014, 178, 87–94. [Google Scholar] [CrossRef]
- Scalisi, A.; Lo Bianco, R.; Pernice, F.; Motisi, A. Climatic characterization and phenology of local peach genotypes in the Udzungwa uplands of Tanzania. Int. J. Fruit Sci. 2014, 14, 388–404. [Google Scholar] [CrossRef]
- Zapata, R.D.M. Modelling the Key Phenological Stages and Dormancy of Individual Grapevine Cultivars. Master’s Thesis, Biological and Agricultural Engineering Washington State University, Prosser, WA, USA, 2015. [Google Scholar]
- Basconsuelo, S.; Reinoso, H.; Lorenzo, E.; Bottini, R. Dormancy in peach (Prunus persica L.) flower buds: IV. Morphogenesis of excised buds as influenced by chilling and gibberellin A 3. Plant Growth Regul. 1995, 16, 113–119. [Google Scholar] [CrossRef]
- Chen, C. (USDA, Agricultural Research Service, Byron, GA, USA). Personal communication, 2023.
- Fadón, E.; Herrera, S.; Guerrero, B.I.; Guerra, M.E.; Rodrigo, J. Chilling and heat requirements of temperate stone fruit trees (Prunus sp.). Agronomy 2020, 10, 409. [Google Scholar] [CrossRef]
- Costa, G.; Vizzotto, G. Fruit thinning of peach trees. Plant Growth Regul. 2000, 31, 113–119. [Google Scholar] [CrossRef]
- Celton, J.M.; Martinez, S.; Jammes, M.J.; Bechti, A.; Salvi, S.; Legave, J.M.; Costes, E. Deciphering the genetic determinism of bud phenology in apple progenies: A new insight into chilling and heat requirement effects on flowering dates and positional candidate genes. New Phytol. 2011, 192, 378–392. [Google Scholar] [CrossRef]
- Kwon, J.H.; Nam, E.Y.; Yun, S.K.; Kim, S.J.; Song, S.Y.; Lee, J.H.; Hwang, K.D. Chilling and heat requirement of peach cultivars and changes in chilling accumulation spectrums based on 100-year records in republic of Korea. Agric. For. Meteorol. 2020, 288, 108009. [Google Scholar] [CrossRef]





| Cultivar | Stage | Season 1 | Season 2 | ||
|---|---|---|---|---|---|
| GDD Required | Days Required | GDD Required | Days Required | ||
| Harvester | Budbreak 1 | 1785.8–2577 | 168–199 | 1744.4–1993.4 | 123–190 |
| Red Globe | 2439.0–2194.4 | 160–199 | 1794.3–2104.4 | 138–196 | |
| Rubyprince | 1894.5–1985.9 | 137–190 | 1757.3–1994.5 | 136–186 | |
| Harvester | Inch Green | 18.5–111 | 1–6 | 18.5–92.5 | 1–5 |
| Red Globe | 18.5–37 | 1–2 | 18.5–74 | 1–4 | |
| Rubyprince | 18.5–55.5 | 1–3 | 18.5–74 | 1–4 | |
| Harvester | Pink | 18.5–92.5 | 1–5 | 18.5–129.5 | 1–7 |
| Red Globe | 18.5–92.5 | 1–5 | 18.5–129.5 | 1–7 | |
| Rubyprince | 18.5–92.5 | 1–5 | 18.5–129.5 | 1–7 | |
| Harvester | First Bloom | 18.5–129.5 | 1–7 | 18.5–148 | 1–8 |
| Red Globe | 18.5–92.5 | 1–5 | 18.5–129.5 | 1–7 | |
| Rubyprince | 18.5–129.5 | 1–7 | 18.5–148 | 1–8 | |
| Harvester | Full Bloom | 55.5- 166.5 | 3–9 | 18.5–148 | 1–8 |
| Red Globe | 18.5–55.5 | 1–3 | 18.5–129.5 | 1–7 | |
| Rubyprince | 18.5–74 | 1–4 | 18.5–148 | 1–8 | |
| Harvester | Petal Fall | 148–222 | 8–12 | 37–240.5 | 2–13 |
| Red Globe | 37–148 | 2–8 | 37–222 | 2–12 | |
| Rubyprince | 18.5–185 | 1–10 | 18.5–277.5 | 1–15 | |
| Stage | Season | RMSE | p-Value | Equation |
|---|---|---|---|---|
| Budbreak | 1 | 0.620 | <0.0001 | Y = 100/(1 + exp(−0.1711*(doy − 48.4299))) |
| Inch Green | 1 | 0.434 | <0.0001 | Y = 100/(1 + exp(−0.2521*(doy − 51.5088))) |
| Pink | 1 | 0.375 | <0.0001 | Y = 100/(1 + exp(−0.2647*(doy − 53.3937))) |
| First bloom | 1 | 0.382 | <0.0001 | Y = 100/(1 + exp(−0.3243*(doy − 56.0477))) |
| Full bloom | 1 | 0.421 | <0.0001 | Y = 100/(1 + exp(−0.2526*(doy − 58.5557))) |
| Petal fall | 1 | 0.436 | <0.0001 | Y = 100/(1 + exp(−0.7913*(doy − 65.7137))) |
| Budbreak | 2 | 0.429 | <0.0001 | Y = 100/(1 + exp(−0.1175*(doy − 44.6185))) |
| Inch Green | 2 | 0.4620 | <0.0001 | Y = 100/(1 + exp(−0.1198*(doy − 46.6322))) |
| Pink | 2 | 0.526 | <0.0001 | Y = 100/(1 + exp(−0.1222*(doy − 50.2017))) |
| First bloom | 2 | 0.5209 | <0.0001 | Y = 100/(1 + exp(−0.1239*(doy − 52.8238))) |
| Full bloom | 2 | 0.647 | <0.0001 | Y = 100/(1 + exp(−0.1281*(doy − 57.7490))) |
| Petal fall | 2 | 0.480 | <0.0001 | Y = 100/(1 + exp(−0.1066*(doy − 61.0946))) |
Disclaimer/Publisher’s Note: The statements, opinions and data contained in all publications are solely those of the individual author(s) and contributor(s) and not of MDPI and/or the editor(s). MDPI and/or the editor(s) disclaim responsibility for any injury to people or property resulting from any ideas, methods, instructions or products referred to in the content. |
© 2024 by the authors. Licensee MDPI, Basel, Switzerland. This article is an open access article distributed under the terms and conditions of the Creative Commons Attribution (CC BY) license (https://creativecommons.org/licenses/by/4.0/).
Share and Cite
Cifuentes-Carvajal, A.; Chaves-Córdoba, B.; Vinson, E.L., III; Coneva, E.D.; Chavez, D.J.; Salazar-Gutiérrez, M.R. Predicting Floral Bud Progression for Three Peach Cultivars. Agronomy 2024, 14, 240. https://doi.org/10.3390/agronomy14020240
Cifuentes-Carvajal A, Chaves-Córdoba B, Vinson EL III, Coneva ED, Chavez DJ, Salazar-Gutiérrez MR. Predicting Floral Bud Progression for Three Peach Cultivars. Agronomy. 2024; 14(2):240. https://doi.org/10.3390/agronomy14020240
Chicago/Turabian StyleCifuentes-Carvajal, Adriana, Bernardo Chaves-Córdoba, Edgar L. Vinson, III, Elina D. Coneva, Dario J. Chavez, and Melba R. Salazar-Gutiérrez. 2024. "Predicting Floral Bud Progression for Three Peach Cultivars" Agronomy 14, no. 2: 240. https://doi.org/10.3390/agronomy14020240
APA StyleCifuentes-Carvajal, A., Chaves-Córdoba, B., Vinson, E. L., III, Coneva, E. D., Chavez, D. J., & Salazar-Gutiérrez, M. R. (2024). Predicting Floral Bud Progression for Three Peach Cultivars. Agronomy, 14(2), 240. https://doi.org/10.3390/agronomy14020240

