The Use of Magnesium Fertilizer Can Improve the Nutrient Uptake, Yield, and Quality of Rice in Liaoning Province
Abstract
1. Introduction
2. Materials and Methods
2.1. Experiment Sites
2.2. Experiment Design and Treatments
2.3. Yield Estimation and Element Determination
2.4. Statistical Analysis
3. Results
3.1. Rice Yield and 1000-Grain Weight
3.2. Contents of Crude Fat, Crude Protein, and Starch in Rice Grain
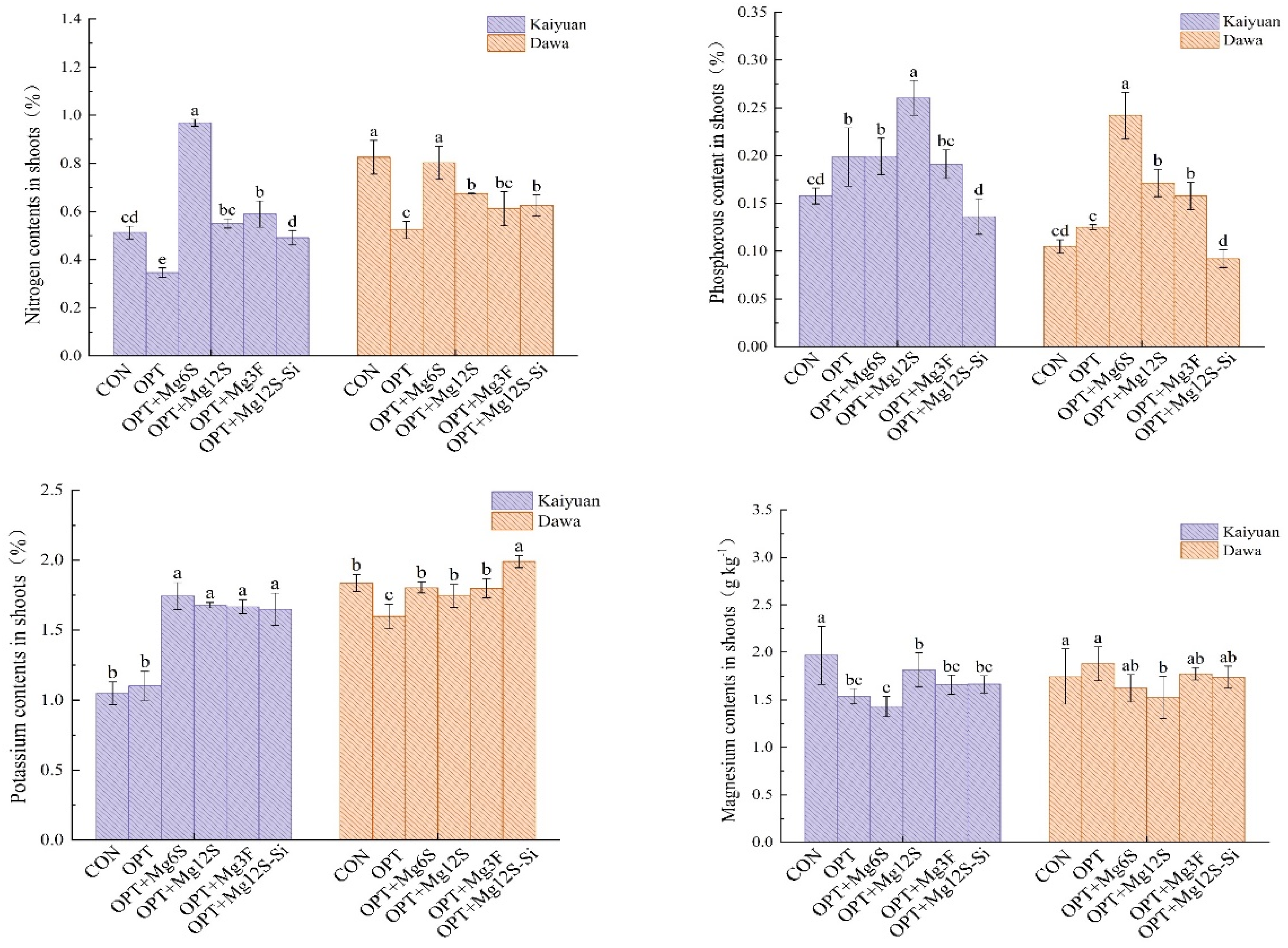
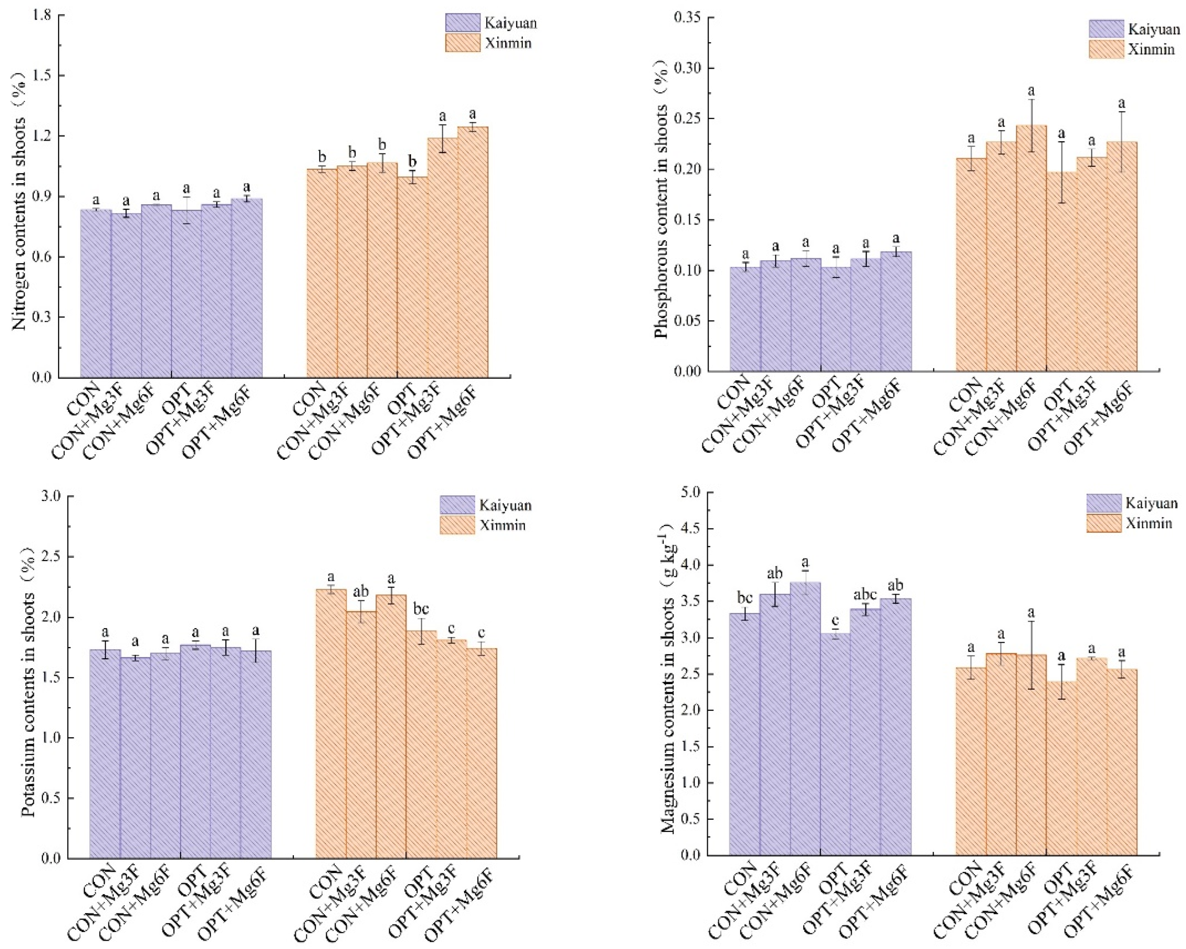
3.3. Contents of Nitrogen, Phosphorus, Potassium, and Magnesium in Rice Shoots
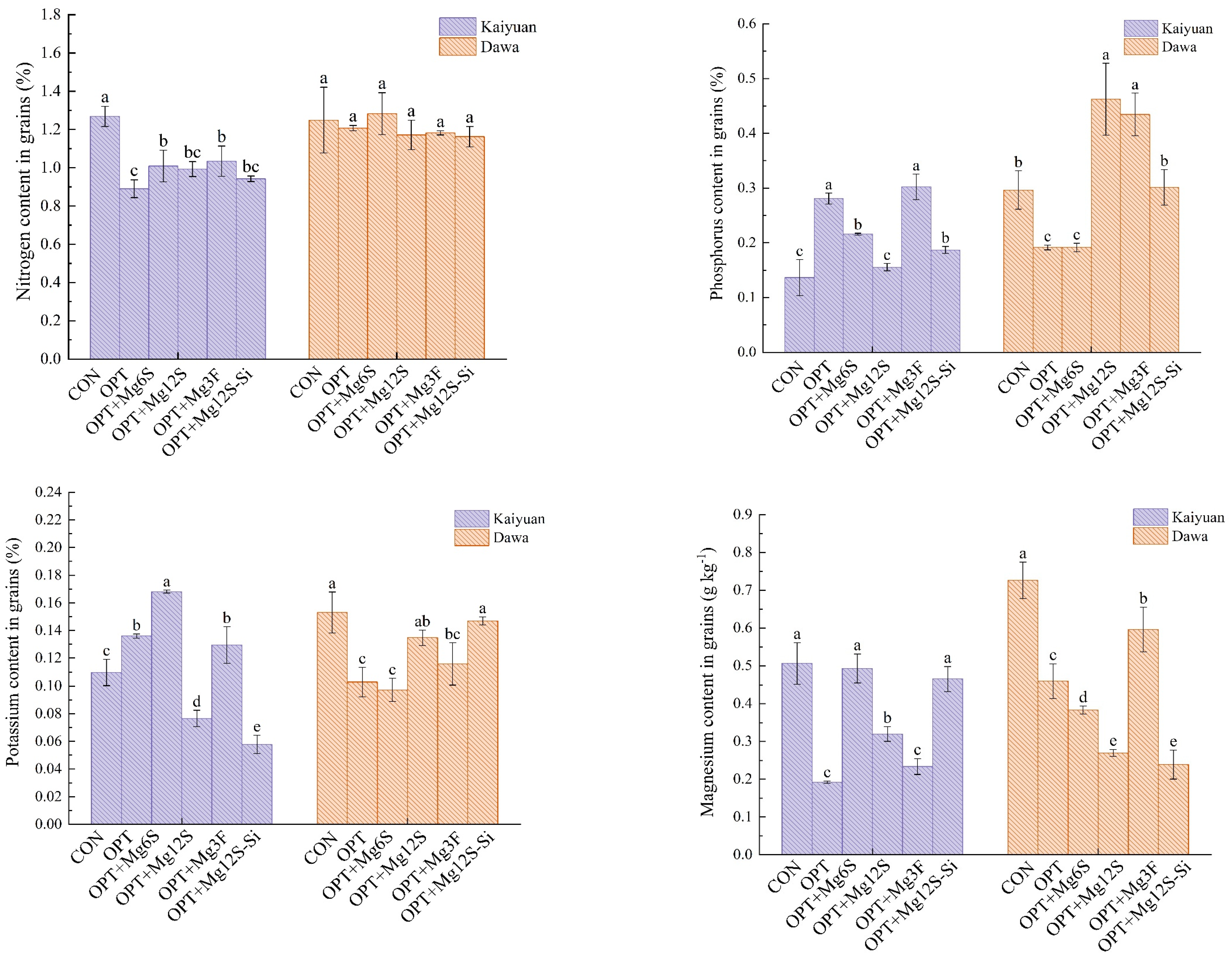
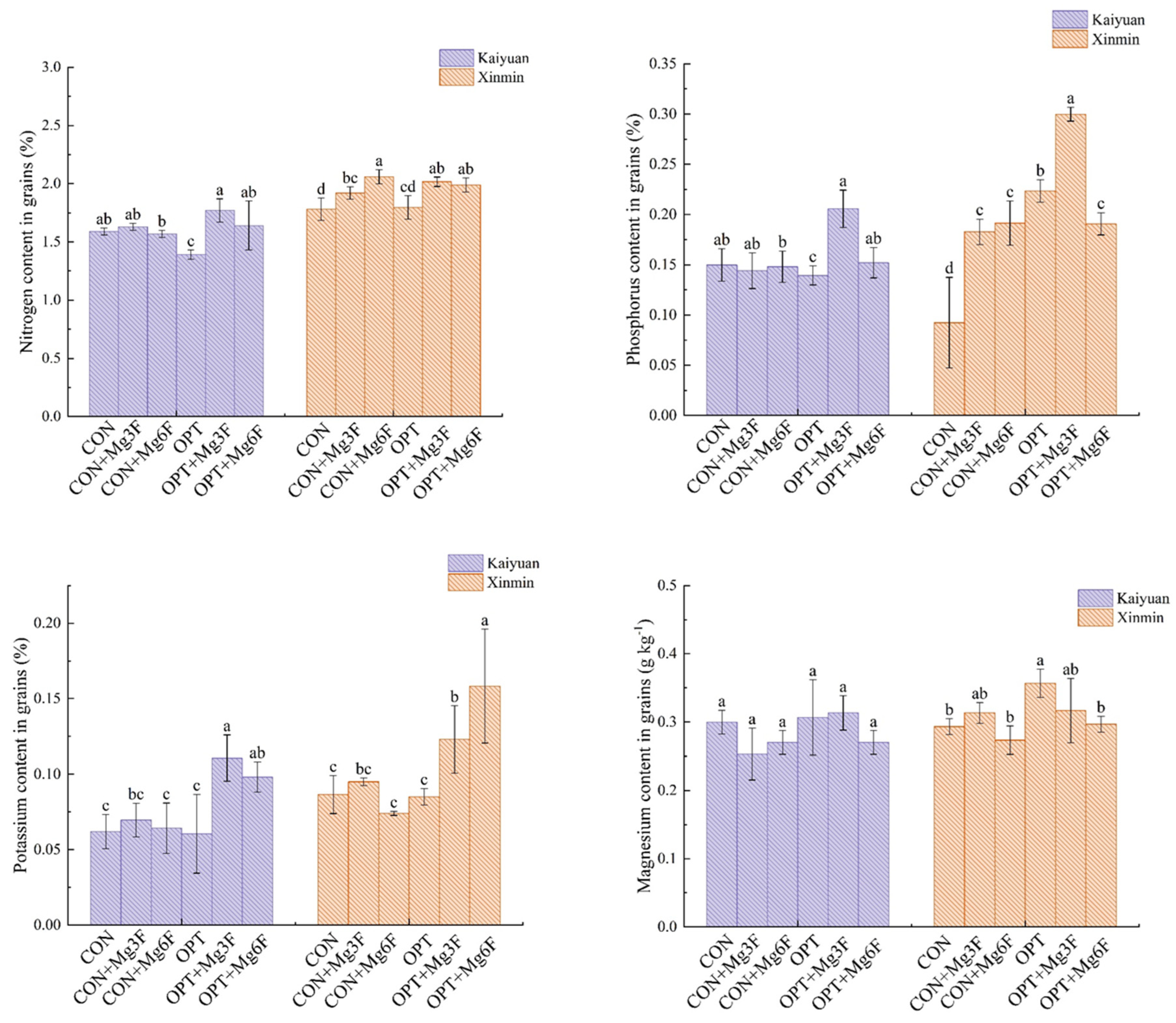
3.4. Contents of Nitrogen, Phosphorus, Potassium, and Magnesium in Rice Grain
4. Discussion
5. Conclusions
Author Contributions
Funding
Data Availability Statement
Acknowledgments
Conflicts of Interest
References
- Cakmak, I. Magnesium in crop production, food quality and human health. Plant Soil 2013, 368, 1–4. [Google Scholar] [CrossRef]
- Peng, W.T.; Zhang, L.D.; Zhou, Z.; Fu, C.; Chen, Z.C.; Liao, H. Magnesium promotes root nodulation through facilitation of carbohydrate allocation in soybean. Physiol. Plant. 2018, 163, 372–385. [Google Scholar] [CrossRef] [PubMed]
- Hansson, M.; Lundqvist, J.; Sirijovski, N.; Al-Karadaghi, S. Magnesium chelatase: The molecular motor of chlorophyll biosynthesis. In Handbook of Porphyrin Science; World Scientific: Singapore, 2013; Volume 28, pp. 41–84. [Google Scholar]
- Chen, Z.C.; Peng, W.T.; Li, J.; Liao, H. Functional dissection and transport mechanism of magnesium in plants. Semin. Cell Dev. Biol. 2018, 74, 142–152. [Google Scholar] [CrossRef] [PubMed]
- Bybordi, A.; Shabanov, J.A. Effects of the foliar application of magnesium and zinc on the yield and quality of three grape cultivars grown in the calcareous soils of Iran. Not. Sci. Biol. 2010, 2, 81–86. [Google Scholar] [CrossRef]
- Kumar, V.; Ladha, J.K. Chapter Six—Direct seeding of rice: Recent developments and future research needs. In Advances in Agronomy; Sparks, D.L., Ed.; Academic Press: Cambridge, MA, USA, 2011; Volume 111, pp. 297–413. [Google Scholar]
- Verbruggen, N.; Hermans, C. Physiological and molecular responses to magnesium nutritional imbalance in plants. Plant Soil 2013, 368, 87–99. [Google Scholar] [CrossRef]
- Yang, G.-H.; Yang, L.-T.; Jiang, H.-X.; Li, Y.; Wang, P.; Chen, L.-S. Physiological impacts of magnesium-deficiency in Citrus seedlings: Photosynthesis, antioxidant system and carbohydrates. Trees 2012, 26, 1237–1250. [Google Scholar] [CrossRef]
- Rude, R.K. Magnesium deficiency: A cause of heterogeneous disease in humans. J. Bone Miner. Res. 1998, 13, 749–758. [Google Scholar] [CrossRef] [PubMed]
- Wei, X.; Hao, M.; Shao, M.; Gale, W.J. Changes in soil properties and the availability of soil micronutrients after 18 years of cropping and fertilization. Soil Tillage Res. 2006, 91, 120–130. [Google Scholar] [CrossRef]
- Bai, Y.L.; Jin, J.Y.; Yang, L.P. Study on the content and distribution of soil available magnesium and foreground of magnesium fertilizer in China. Soils Fertil. 2004, 2, 3–5. [Google Scholar]
- Wang, Z.; Hassan, M.U.; Nadeem, F.; Wu, L.; Zhang, F.; Li, X. Magnesium fertilization improves crop yield in most production systems: A Meta-Analysis. Front. Plant Sci. 2020, 10, 1727. [Google Scholar] [CrossRef]
- Li, C.J.; Wang, Z.; Zhang, F.S. The effect of magnesium fertilizer on the quality of main crops and nutrient use efficiency in China. Chin. Soil Fertil. 2022, 3, 1–6. [Google Scholar]
- Ishfaq, M.; Wang, Y.; Yan, M.; Wang, Z.; Wu, L.; Li, C.; Li, X. Physiological essence of magnesium in plants and its widespread deficiency in the farming system of China. Front. Plant Sci. 2022, 13, 802274. [Google Scholar] [CrossRef] [PubMed]
- Hermans, C.; Johnson, G.N.; Strasser, R.J.; Verbruggen, N. Physiological characterization of magnesium deficiency in sugar beet: Acclimation to low magnesium differentially affects photosystems I and II. Planta 2004, 220, 344–355. [Google Scholar] [CrossRef] [PubMed]
- Dordas, C. Foliar application of calcium and magnesium improves growth, yield, and essential oil yield of oregano (Origanum vulgare ssp. hirtum). Ind. Crops Prod. 2009, 29, 599–608. [Google Scholar] [CrossRef]
- Ciećko, Z.; Żołnowski, A.C.; Mierzejewska, A. Effect of foliar nitrogen and magnesium fertilization on the total, protein nitrogen and nitrates(V) content in potato tubers. Ecol. Chem. Eng. A 2010, 17, 593–600. [Google Scholar]
- Ciećko, Z.; Żołnowski, A.C.; Mierzejewska, A. Impact of foliar nitrogen and magnesium fertilization on concentration of chlorophyll in potato leaves. Ecol. Chem. Eng. A 2012, 19, 525–535. [Google Scholar]
- Jin, S.; Zhou, W.; Meng, L.; Chen, Q.; Li, J. Magnesium fertilizer application and soil warming increases tomato yield by increasing magnesium uptake under PE-Film covered greenhouse. Agronomy 2022, 12, 940. [Google Scholar] [CrossRef]
- Gemin, L.G.; de Lara, G.B.; Mógor, A.F.; Mazaro, S.M.; Sant’Anna-Santos, B.F.; Mógor, G.; Amatussi, J.D.O.; Cordeiro, E.C.N.; Marques, H.M.C. Polysaccharides combined to copper and magnesium improve tomato growth, yield, anti-oxidant and plant defense enzymes. Sci. Hortic. 2023, 310, 111758. [Google Scholar] [CrossRef]
- Grzebisz, W. Crop response to magnesium fertilization as affected by nitrogen supply. Plant Soil 2013, 368, 23–39. [Google Scholar] [CrossRef]
- Zhang, W.; Liu, Y.; Muneer, M.A.; Jin, D.; Zhang, H.; Cai, Y.; Ma, C.; Wang, C.; Chen, X.; Huang, C.; et al. Characterization of different magnesium fertilizers and their effect on yield and quality of soybean and pomelo. Agronomy 2022, 12, 2693. [Google Scholar] [CrossRef]
- Lu, Z.; Wang, Y.; Degryse, F.; Huang, C.; Hou, C.; Wu, L.; Jiang, R.; McLaughlin, M.J.; Zhang, F. Magnesium-fortified phosphate fertilizers improve nutrient uptake and plant growth without reducing phosphorus availability. Pedosphere 2022, 32, 744–751. [Google Scholar] [CrossRef]
- Geng, G.; Cakmak, I.; Ren, T.; Lu, Z.; Lu, J. Effect of magnesium fertilization on seed yield, seed quality, carbon assimilation and nutrient uptake of rapeseed plants. Field Crops Res. 2021, 264, 108082. [Google Scholar] [CrossRef]
- Özenç, N.; Özenç, D.B. Effect of magnesium fertilization on some plant nutrient interactions and nut quality properties in Turkish hazelnut (Corylus avellana L.). Sci. Res. Essays 2015, 10, 465–470. [Google Scholar]
- Liu, Z.; Huang, Q.; Liu, X.; Li, P.; Naseer, M.R.; Che, Y.; Dai, Y.; Luo, X.; Liu, D.; Song, L.; et al. Magnesium fertilization affected rice yields in magnesium sufficient soil in Heilongjiang province, Northeast China. Front. Plant Sci. 2021, 12, 645806. [Google Scholar] [CrossRef]
- Chen, L.; Liao, H. Engineering crop nutrient efficiency for sustainable agriculture. J. Integr. Plant Biol. 2017, 59, 710–735. [Google Scholar] [CrossRef]
- Wu, W.; Ma, B. Integrated nutrient management (INM) for sustaining crop productivity and reducing environmental impact: A review. Sci. Total Environ. 2015, 512–513, 415–427. [Google Scholar] [CrossRef]
- Dobermann, A.; Fairhurst, T. Rice: Nutrient Disorders and Nutrient Management: Handbook Series; Potash and Phosphate Institute: Singapore; Phosphate Institute of Canada: Ottawa, ON, Canada; International Rice Research Institute: Los Banos, Philippines, 2000; p. 199. [Google Scholar]
- Kibria, M.G.; Barton, L.; Rengel, Z. Foliar application of magnesium mitigates soil acidity stress in wheat. J. Agron. Crop Sci. 2020, 207, 378–389. [Google Scholar] [CrossRef]
- Sipahutar, I.A.; Siregar, A.F.; Anggria, L.; Husnain. Magnesium and silicon fertilizer application to promote rice growth and production. IOP Conf. Ser. Earth Environ. Sci. 2021, 648, 012064. [Google Scholar] [CrossRef]
- Choudhury, A.; Yusop, M. Evaluation of effects of nitrogen and magnesium fertilization on rice yield and fertilizer nitrogen efficiency using 15N tracer technique. J. Plant Nutr. 2001, 24, 855–871. [Google Scholar] [CrossRef]
- Panhwar, Q.A.; Naher, U.A.; Shamshuddin, J.; Ismail, M.R. Effects of biochar and ground magnesium limestone application, with or without bio-fertilizer addition on biochemical properties of an acid sulfate soil and rice yield. Agronomy 2020, 10, 1100. [Google Scholar] [CrossRef]
- Deng, W.; Luo, K.; Li, D.; Zheng, X.; Wei, X.; Smith, W.; Thammina, C.; Lu, L.; Li, Y.; Pei, Y. Overexpression of an Arabidopsis magnesium transport gene, AtMGT1, in Nicotiana benthamiana confers Al tolerance. J. Exp. Bot. 2006, 57, 4235–4243. [Google Scholar] [CrossRef] [PubMed]
- Guo, W.; Nazim, H.; Liang, Z.; Yang, D. Magnesium deficiency in plants: An urgent problem. Crop J. 2016, 4, 83–91. [Google Scholar] [CrossRef]
- Alam, S.; Moslehuddin, A.Z.; Islam, M.; Kamal, A. Soil and foliar application of nitrogen for Boro rice (BRRIdhan 29). J. Bangladesh Agric. Univ. 2011, 8, 2. [Google Scholar] [CrossRef]
- Noor, S.; Akhter, S.; Islam, M.M.; Shil, N.C.; Abu Kawochar, M. Effect of magnesium on crop yields within maize-green manure-T. aman rice cropping pattern on acid soil. Arch. Agron. Soil Sci. 2015, 61, 1381–1392. [Google Scholar] [CrossRef]
- Pampolino, M.F.; Witt, C.; Pasuquin, J.M.; Johnston, A.; Fisher, M.J. Development approach and evaluation of the Nutrient Expert software for nutrient management in cereal crops. Comput. Electron. Agric. 2012, 88, 103–110. [Google Scholar] [CrossRef]
- Grzebisz, W.; Zielewicz, W.; Przygocka-Cyna, K. Deficiencies of secondary nutrients in crop plants—A real challenge to improve nitrogen management. Agronomy 2022, 13, 66. [Google Scholar] [CrossRef]
- Weih, M.; Liu, H.; Colombi, T.; Keller, T.; Jäck, O.; Vallenback, P.; Westerbergh, A. Evidence for magnesium–phosphorus synergism and co-limitation of grain yield in wheat agriculture. Sci. Rep. 2021, 11, 9012. [Google Scholar] [CrossRef]
- Gransee, A.; Führs, H. Magnesium mobility in soils as a challenge for soil and plant analysis, magnesium fertilization and root uptake under adverse growth conditions. Plant Soil 2012, 368, 5–21. [Google Scholar] [CrossRef]
- Peng, W.T.; Qi, W.L.; Nie, M.M.; Xiao, Y.B.; Liao, H.; Chen, Z.C. Magnesium supports nitrogen uptake through regulating NRT2.1/2.2 in soybean. Plant Soil 2020, 457, 97–111. [Google Scholar] [CrossRef]
- Xie, K.; Cakmak, I.; Wang, S.; Zhang, F.; Guo, S. Synergistic and antagonistic interactions between potassium and magnesium in higher plants. Crop J. 2021, 9, 249–256. [Google Scholar] [CrossRef]
- Fageria, N.K. Ionic interactions in rice plants from dilute solutions. Plant Soil 1983, 70, 309–316. [Google Scholar] [CrossRef]
- Ding, Y.; Luo, W.; Xu, G. Characterization of magnesium nutrition and interaction of magnesium and potassium in rice. Ann. Appl. Biol. 2006, 149, 111–123. [Google Scholar] [CrossRef]
- Ali, H.; Sarwar, N.; Muhammad, S.; Farooq, O.; Rehman, A.-U.; Wasaya, A.; Yasir, T.A.; Mubeen, K.; Akhtar, M.N. Foliar Application of magnesium at critical stages improved the productivity of rice crop grown under different cultivation systems. Sustainability 2021, 13, 4962. [Google Scholar] [CrossRef]
- Brohi, A.; Karaman, M.; Topbaş, M.; Aktaş, A.; Savasli, E. Effect of potassium and magnesium fertilization on yield and nutrient content of rice crop grown on Artificial siltation soil. Turk. J. Agric. For. 2000, 24, 429–435. [Google Scholar]
- Zlámalová, T.; Elbl, J.; Baroň, M.; Bělíková, H.; Lampíř, L.; Hlušek, J.; Lošák, T. Using foliar applications of magnesium and potassium to improve yields and some qualitative parameters of vine grapes (Vitis vinifera L.). Plant Soil Environ. 2016, 61, 451–457. [Google Scholar] [CrossRef]
- Pinkerton, A.; Person, P.N. Effects of foliar application of magnesium sulphate on the quality and magnesium content of flue-cured tobacco. Aust. J. Exp. Agric. 1974, 14, 677–683. [Google Scholar] [CrossRef]






| Experiment Site | pH | Alkali-Hydrolyzable Nitrogen (mg kg−1) | Available Phosphorus (mg kg−1) | Available Potassium (mg kg−1) | Exchangeable Magnesium (mg kg−1) | |
|---|---|---|---|---|---|---|
| Experiment 1 | Kaiyuan | 5.66 | 178.4 | 18.9 | 113.0 | 245.1 |
| Dawa | 8.32 | 161.8 | 20.6 | 175.3 | 351.9 | |
| Experiment 2 | Kaiyuan | 5.78 | 163.7 | 17.8 | 117.1 | 257.9 |
| Xinmin | 7.66 | 168.1 | 22.9 | 133.3 | 403.1 |
| Site | Treatment | Fertilizer Rates (kg hm−2) | |||
|---|---|---|---|---|---|
| Nitrogen | Phosphorus | Potassium | Magnesium | ||
| Kaiyuan | CON | 188 | 37 | 50 | 0 |
| OPT | 165 | 30 | 100 | 0 | |
| OPT + Mg6S | 165 | 30 | 100 | 6 | |
| OPT + Mg12S | 165 | 30 | 100 | 12 | |
| OPT + Mg3F | 165 | 30 | 100 | 3 | |
| OPT + Mg12S-Si | 165 | 30 | 100 | 12 | |
| Dawa | CON | 292 | 72 | 62 | 0 |
| OPT | 172 | 24 | 62 | 0 | |
| OPT + Mg6S | 172 | 24 | 62 | 6 | |
| OPT + Mg12S | 172 | 24 | 62 | 12 | |
| OPT + Mg3F | 172 | 24 | 62 | 3 | |
| OPT + Mg12S-Si | 172 | 24 | 62 | 12 | |
| Site | Treatment | Fertilizer Rates (kg hm−2) | |||
|---|---|---|---|---|---|
| Nitrogen | Phosphorus | Potassium | Magnesium | ||
| Kaiyuan | CON | 200 | 35 | 50 | 0 |
| CON + Mg3F | 200 | 35 | 50 | 3 | |
| CON + Mg6F | 200 | 35 | 50 | 6 | |
| OPT | 180 | 24 | 100 | 0 | |
| OPT + Mg3F | 180 | 24 | 100 | 3 | |
| OPT + Mg6F | 180 | 24 | 100 | 6 | |
| Xinmin | CON | 225 | 39 | 62 | 0 |
| CON + Mg3F | 225 | 39 | 62 | 3 | |
| CON + Mg6F | 225 | 39 | 62 | 6 | |
| OPT | 180 | 26 | 83 | 0 | |
| OPT + Mg3F | 180 | 26 | 83 | 3 | |
| OPT + Mg6F | 180 | 26 | 83 | 6 | |
| Treatment | 1000-Grain Weight (g) | Yield (kg hm−2) | 1000-Grain Weight (g) | Yield (kg hm−2) |
|---|---|---|---|---|
| Kaiyuan | Dawa | |||
| CON | 15.9 ± 6.7 b | 10,327 ± 1062.0 c | 23.4 ± 2.4 b | 10,011 ± 432.0 c |
| OPT | 22.0 ± 1.8 a | 11,133 ± 352.5 bc | 25.5 ± 0.4 ab | 11,745 ± 238.5 ab |
| OPT + Mg6S | 23.7 ± 0.1 a | 10,969 ± 303.0 bc | 25.0 ± 1.2 ab | 11,568 ± 1174.5 ab |
| OPT + Mg12S | 23.1 ± 1.2 a | 12,786 ± 363.0 ab | 24.2 ± 0.8 ab | 11,445 ± 1101.0 ab |
| OPT + Mg3F | 23.1 ± 1.9 a | 10,848 ± 64.5 bc | 24.9 ± 1.1 ab | 12,967 ± 1026.0 a |
| OPT + Mg12S-Si | 22.7 ± 2.1 a | 13,615 ± 1425.0 a | 26.5 ± 0.2 a | 11,076 ± 1068.0 bc |
| Treatment | 1000-Grain Weight (g) | Yield (kg hm−2) | 1000-Grain Weight (g) | Yield (kg hm−2) |
|---|---|---|---|---|
| Kaiyuan | Xinmin | |||
| CON | 25.6 ± 0.9 a | 11,439 ± 168.0 b | 27.1 ± 0.2 ab | 11,263 ± 177.0 b |
| CON + Mg3F | 24.5 ± 0.7 ab | 10,830 ± 349.5 ab | 26.7 ± 0.3 ab | 11,407 ± 232.5 b |
| CON + Mg6F | 24.9 ± 0.3 a | 11,394 ± 294.0 b | 26.5 ± 0.5 ab | 11,013 ± 116.7 b |
| OPT | 23.5 ± 0.6 b | 10,308 ± 267.0 c | 26.1 ± 0.4 b | 10,456 ± 201.0 c |
| OPT + Mg3F | 25.5 ± 1.1 a | 12,306 ± 303.0 a | 27.0 ± 0.3 ab | 12,319 ± 163.5 a |
| OPT + Mg6F | 25.4 ± 0.7 a | 12,537 ± 289.5 a | 27.2 ± 1.0 a | 11,025 ± 141.0 b |
Disclaimer/Publisher’s Note: The statements, opinions and data contained in all publications are solely those of the individual author(s) and contributor(s) and not of MDPI and/or the editor(s). MDPI and/or the editor(s) disclaim responsibility for any injury to people or property resulting from any ideas, methods, instructions or products referred to in the content. |
© 2024 by the authors. Licensee MDPI, Basel, Switzerland. This article is an open access article distributed under the terms and conditions of the Creative Commons Attribution (CC BY) license (https://creativecommons.org/licenses/by/4.0/).
Share and Cite
He, Z.; Wang, Z.; Hao, J.; Wu, Y.; Liu, H. The Use of Magnesium Fertilizer Can Improve the Nutrient Uptake, Yield, and Quality of Rice in Liaoning Province. Agronomy 2024, 14, 639. https://doi.org/10.3390/agronomy14030639
He Z, Wang Z, Hao J, Wu Y, Liu H. The Use of Magnesium Fertilizer Can Improve the Nutrient Uptake, Yield, and Quality of Rice in Liaoning Province. Agronomy. 2024; 14(3):639. https://doi.org/10.3390/agronomy14030639
Chicago/Turabian StyleHe, Zubing, Zhi Wang, Jianxun Hao, Yifan Wu, and Houjun Liu. 2024. "The Use of Magnesium Fertilizer Can Improve the Nutrient Uptake, Yield, and Quality of Rice in Liaoning Province" Agronomy 14, no. 3: 639. https://doi.org/10.3390/agronomy14030639
APA StyleHe, Z., Wang, Z., Hao, J., Wu, Y., & Liu, H. (2024). The Use of Magnesium Fertilizer Can Improve the Nutrient Uptake, Yield, and Quality of Rice in Liaoning Province. Agronomy, 14(3), 639. https://doi.org/10.3390/agronomy14030639

