Next Article in Journal
Mycorrhizal Fungi in Sustainable Agriculture and Land Restoration
Previous Article in Journal
Effects of Boron and Zinc Micro-Fertilizer on Growth and Quality of Jujube Trees (Ziziphus jujuba) in the Desert Area
 
 
Font Type:
Arial Georgia Verdana
Font Size:
Aa Aa Aa
Line Spacing:
Column Width:
Background:
Article

Soil Microbial Residual Carbon Accumulation Affected by Reclamation Period and Straw Incorporation in Reclaimed Soil from Coal Mining Area

1
College of Resources and Environment, Shanxi Agricultural University, Taiyuan 030031, China
2
Institute of Eco-Environmental Industry Technology, Shanxi Province Key Laboratory of Soil Environment and Nutrient Resources, Shanxi Agricultural University, Taiyuan 030031, China
*
Author to whom correspondence should be addressed.
These authors contributed equally to this work.
Agronomy 2024, 14(4), 742; https://doi.org/10.3390/agronomy14040742
Submission received: 11 January 2024 / Revised: 10 March 2024 / Accepted: 1 April 2024 / Published: 3 April 2024
(This article belongs to the Section Soil and Plant Nutrition)

Abstract

Microbial residual carbon is an important component in soil carbon pool stability. Here, we tested soils collected from the early (first year, R1), middle (10 years, R10), and long-term (30 years, R30) stages of reclamation in a coal mining area in China. Two treatments with straw materials, namely maize straw + soil (S+M) and wheat straw + soil (S+W), were used for a decomposition experiment. The glucosamine and muramic acid contents were assessed. Accumulation of microbial residual C and its contribution to soil organic carbon (SOC) were analyzed at various intervals. Straw incorporation resulted in higher amino sugar accumulation than that of the control. The amino sugar content was considerably higher in R30 than that in R10 and R1; S+M and S+W showed average increases of 15 and 4%, respectively, compared to the control after 500 days. The total microbial and fungal residual C contents under S+M and S+W treatments were substantially higher than those of the control on days 33, 55, and 218 in R30. The contributions of soil microbial residues to SOC at R1, R10, and R30 were 73.77, 71.32, and 69.64%, respectively; fungal residues contributed significantly more than bacterial residues. The total amino sugars and microbial residual C content increased with increasing reclamation period. The addition of maize straw promoted the accumulation of microbial residual C, especially in the early stages of reclamation. Therefore, the addition of maize straw improved the stability of microbial carbon sources in coal mine reclamation soils.

1. Introduction

Soil contains approximately 1500 Pg of organic carbon (C) at a depth of 1 m [1]. Thus, soil is an important sink for C and can play a vital role in achieving C neutrality [2,3]. According to the “4 per 1000” initiative, annual increases in soil CO2 content can be neutralized by increasing the C content in the first 30–40 cm of soil by 0.4% per year, leading to C sequestration rates of 400–600 kg C ha−2 yr−1 [4]. The dominant factor controlling soil organic carbon (SOC) sequestration, particularly in agroecosystems with appropriate management, includes straw incorporation [5,6]. Therefore, estimating the capacity and stability of C sequestration induced by straw incorporation under carbon-neutral conditions is important.
China possesses a wide range and significant amount of crop straw varieties, accounting for approximately one-fifth of the global straw resources; the main types include maize and wheat straw [7]. Crop straw contains high levels of nitrogen, phosphorus, and potassium, as well as abundant organic compounds, such as lignin and cellulose [8]. When an appropriate quantity of straw is returned to the field, it can not only increase the soil’s organic matter, improve soil structure, and promote the development of crop roots, but can also reduce the application of chemical fertilizers and avoid the negative effects of outdoor burning on the environment [9].
Microbial residual carbon forms via the gradual degradation of organic materials through microbial action after input and is an important factor in determining carbon storage/function [10]. Introducing microbial residual carbon into Earth’s system model can improve the predictive ability of soil carbon storage under climate change conditions [11].
As a result of the vigorous development and utilization of coal resources, there are currently more than 6.67 million ha of land damaged by coal mining in China and approximately 260 thousand ha of newly damaged land each year, of which more than 60% is cultivated land or other agricultural land [12,13]. Damaged cultivated land is more disturbed in the reclamation process, which lowers the reclaimed soil fertility, especially the organic C content, thereby seriously affecting SOC sequestration [14]. Previous studies have explored the characteristics of dynamic changes in the process of organic C recovery in reclaimed soils in mining areas based on organic material addition [15,16], organic and inorganic matching measures [17], and crop cultivation [18]. However, the pattern of microbial residual C accumulation during the maturation process of reclaimed soils and its regulatory effect on straw are ongoing.
In this study, we conducted a 500-day straw decomposition experiment based on different reclamation period field experiments. Amino sugars derived from microbial cell walls were used as markers of microbial residues to examine the accumulation of fungal and bacterial residual C and its response to straw incorporation, analyze the contribution of microbial residual C to SOC, expand knowledge on this process of organic C cycling and microbial regulation mechanisms in the reclaimed period, and provide theoretical support for the enhancement of soil fertility in coal mining areas.

2. Materials and Methods

2.1. Study Site

The field experiment was conducted in the Gujiao Tunlan coal mine reclamation area (37°53′ N, 112°06′ E) in the Shanxi Province of China. The study area lies within the Loess hilly area. The weather at this site is typical of a northern temperate continental climate. The area receives abundant sunshine, with substantial temperature differences between day and night. The annual sunshine duration reaches 2808 h and the snow cover is typically observed during November and December. The extreme maximum and minimum temperatures are 39.8 °C and −22.4 °C, respectively. The average annual temperature, precipitation, and evaporation are 9.5 °C, 460 mm, and 1912.2 mm, respectively. The annual average wind speed is 2.2 m·s−1, the maximum frozen soil depth is 1.05 m, and the average frost-free period is 202 days.
The soil type in the field is classified as Cambisols by the World Reference Base for Soil Resources (WRB) [19]. The coal gangue (Table 1 and Table 2) was oiled up to the valley by the Tunlan Mine of the Shanxi Coal and Electricity Group. The surface of the gangue landfill area was covered with natural soil from the surrounding area, with an average thickness of 60 cm. Currently, the gangue filling area covers 58.67 ha−1, while the area of reclaimed soil is 23.33 ha−1.
Both maize and wheat were planted annually and sown in May with a mean planting density of 60,000 and 100,000 plants·ha−1, respectively. Maize was harvested in September, whereas wheat was harvested in July. As recommended locally, 14.6 kg N ha−1 yr−1 was evenly spread over the soil surface and then rotary plowed into the soil as the basal fertilizer before crop sowing.

2.2. Experimental Design

Commenced in May 2021, the litter decomposition experiment was conducted on a long-term coal mine reclamation area, encompassing three reclamation levels: early-stage restoration (reclaimed for 1 year, R1), mid-stage restoration (reclaimed for 10 years, R10), and long-term restoration (reclaimed for 30 years, R30) (Figure 1).
In the litter decomposition experiment, maize or wheat straw was enclosed in litter bags and buried in soil at an average depth of 15 cm. We utilized net bags filled with a mixture of landfill soil (nylon net bags measuring 25 cm in length, 25 cm in width, and a pore size of 38 µm) to blend the straw and soil.
A field displacement landfill experiment was conducted according to the principle of equal organic C content. Soil and straw were added based on the soil weight; the organic C content was maintained at a ratio of 100 parts soil to 4 parts straw [20]. Each nylon net bag was filled with 200 g of soil. 18.2 g of maize straw or 17.8 g of wheat straw was used, corresponding to their respective organic C contents. Straw was cut into 5 cm long pieces and oven-dried at 80 °C.
For each type of reclaimed soil, we designated an experimental area measuring 32 m in length and 16 m in width, totaling 512 m2. Each experimental area was then divided into three treatment groups: soil with no added straw (S), soil with maize straw (S+M), and soil with wheat straw (S+W), each buried separately. The distance between mesh bags was 1 m (Figure S1). Each treatment was replicated five times, with seven bags per replicate, resulting in 105 bags for each reclamation stage and a total of 315 bags for all three reclamation levels. Seven soil thermometers (EL-USB-PRO, New York, NY, USA) were randomly buried at each reclamation level at a depth consistent with that of the nylon mesh bags. Soil temperature was recorded hourly using thermometers, and the average temperature after 24 h was considered the daily average temperature. Figure 2 depicts the precipitation and soil temperature during decomposition in the experiment.

2.3. Soil Sampling and Analysis

The experimental period lasted 500 days and was divided into 7 destructive sampling sessions. Soil samples were collected based on the rate of increase in the ground temperature in the experimental area; in particular, samples were collected when the ground temperature was 260, 454, 754, 1228, 2504, 4600, and 5591 °C [17], which corresponded to 12, 23, 55, 218, 281, 365, and 500 days after burial. Portions of the soil samples were aired, ground, and passed through a 0.149 mm mesh, which were used for calculating the SOC, total nitrogen (TN), total phosphorus (TP), and total potassium (TK). Further, some portions of the sampled soils were aired, ground, and passed through a 0.25 mm mesh. These were used for analyzing the amino sugar, pH, alkaline hydrolyzed nitrogen (AN), available phosphorus (AP), and available potassium (AK). The straw samples were dried at 80 °C until a constant weight was achieved. Thereafter, they were crushed and passed through a 0.149 mm mesh for organic carbon and 13C NMR analyses.
The SOC content was measured using an elemental analyzer (VARIO EL III, Berlin Germany) [21]. The soil pH, AN, AP, and AK were measured according to methods described previously [22]. TN was digested with concentrated sulfuric acid and measured using a fully automatic Kjeldahl nitrogen analyzer (Sano KT8400) [23], whereas TP was digested with concentrated sulfuric acid and perchloric acid and determined by molybdenum antimony colorimetry [24]. The glucosamine (GluN), galactosamine (GalN), and muramic acid (MurA) levels were determined using gas chromatography (Agilent GC 7890A, New York, NY, USA) with acetonitrile ester derivatives. The total amino sugars (AS) were calculated as the sum of the individual sugars (GluN, GalN, and MurA) [25].
The straw organic carbon content was determined using the potassium dichromate volumetric method [26]. Straw samples were subjected to 13C NMR analysis (Bruker AVANCEII, Berlin, Germany); the spectra were analyzed using four chemical shift regions: alkyl C (0–45 ppm) from plant polymers, fatty acids, and lipids. Alkoxy C (45–110 ppm) was derived from proteins or peptides, methoxyl C, cellulose, hemicellulose, and carbohydrates; aromatic C (110–160 ppm) was derived from aromatic carbons in lignin and/or olefinic carbons in lipids; and carbonyl C (160–212 ppm) was derived from esters, carboxyl groups, and/or amide carbonyls [27].

2.4. Retention of Microbial Residues

To evaluate the relative retention of fungal- and bacteria-derived microbial residues in soil at different sampling times, we used the GluN/MurA ratio as an index [28]. To evaluate the relative accumulation of heterogeneous microbial residues in SOC, we calculated the fungal residual carbon (Fresidue C) and bacterial residual carbon (Bresidue C) [29], as expressed by Equations (1) and (2), respectively:
F r e s i d u e C = ( G l u N 179.2 2 × M u r A 251.1 ) × 179.2 × 9   and
B r e s i d u e C = M u r A ( m g g 1 ) × 45 ,
where 179.2 and 251.2 are the molecular weights of GluN and MurA, respectively, based on the assumption that the molar ratio of GluN to MurA in bacterial cells is 2:1. A conversion coefficient of 9 was used to convert GluN to Fresidue C, while 45 was used to convert MurA into Bresidue C [30]. The sum of Fresidue C and Bresidue C was considered the total microbial residual C content. The ratio of Fresidue C to Bresidue C (Fresidue C/Bresidue C) was used as an index to evaluate the relative retention of fungal- and bacterial-derived microbial residual C in the soil at each sampling time.

2.5. Statistical Analysis

The normality, homogeneity, and spherical symmetry assumption of the experimental data, including AS, GluN/MurA, Fresidue C/Bresidue C, soil microbial residual C, and soil microbial residual C/SOC, were assessed using the Shapiro–Wilk test, a homogeneity test, and Mauchly’s test. The differences in time between the reclamation levels and straw types were tested with repeated-measure analysis of the generalized estimating equations (GEEs) using SPSS 13.0 for Windows 10 (SPSS Inc., Chicago, IL, USA). Duncan’s method was used for multiple comparisons of the mean values. Microsoft Excel 2019 and Origin 2021 were used for data processing and plotting.

3. Results

3.1. Characterization of Soil and Straw

There were significant differences (p < 0.05) in the soil SOC, TN, TP, AN, and AK among the three treatments (R1, R10, and R30) (Table 3). The general trend was a gradual increase in the values between R1 and R30. However, there were no significant statistical differences in the soil TK at 1, 10, and 30 years; similarly, the soil pH ranged between 7.85 and 7.97 for the three treatments, thereby not showing significant differences (p > 0.05).
The basic characteristics of the straw revealed no significant differences in the contents of carbon and alkoxy C between S+M and S+W. Both TN and alkyl C in S+W were lower than those in S+M (p < 0.05), but C/N, carbonyl C, and aromatic C in S+W were higher by 1.59-, 3.46-, and 2.89-fold, respectively, compared to S+M (p < 0.05).

3.2. Changes in AS Content during Decomposition

During decomposition, both types of straw residues significantly accumulated more AS than S during most of the sampling periods, especially in R10 and R30 (Figure 3). Additionally, after adding straw residue to the soil, the AS content rapidly increased in the early stages of decomposition and reached its peak on day 55, and the AS content was significantly higher with straw addition than in S. Thereafter, the AS content in all treatments with added straw sharply decreased and was lower than that in the corresponding control treatment on day 218, while the difference in AS content between the straw residues and S was significant only in R30 soil (p < 0.05). The AS content in the straw addition treatment gradually increased with time after reaching a minimum value and continued until the end of the experiment, and the decomposition time significantly affected the AS content; the result showed that on day 218 the AS content was significantly lower than on days 33, 55, 285, 365, and 500.
Additionally, the AS content in the treatment with S+W was higher than that in S+M on days 12, 33, and 55 of treatment, while the AS content was not significant between these two treatments (p > 0.05). In contrast, the AS content in the S+M treatment was significantly higher than that in S+W on days 285 and 365 (p < 0.05). At the end of the experiment, the AS content in S+M increased by an average of 15% compared to that in S, whereas the AS content in S+W was higher than that in S (4%). Furthermore, it was found that the AS content in the treatment with S+M was significantly higher than that in S+W of R10 and R30 (p < 0.05). The paired comparison showed that the AS content for different reclamation stages showed the following trend: R30 soil > R10 soil > R1 soil, and there were significant differences among the three reclamation stages (p < 0.05) (Table S1). Additionally, the effects of the reclamation year and straw type on GluN, GlaN, and MurA were consistent with those on AS (Figure S2).
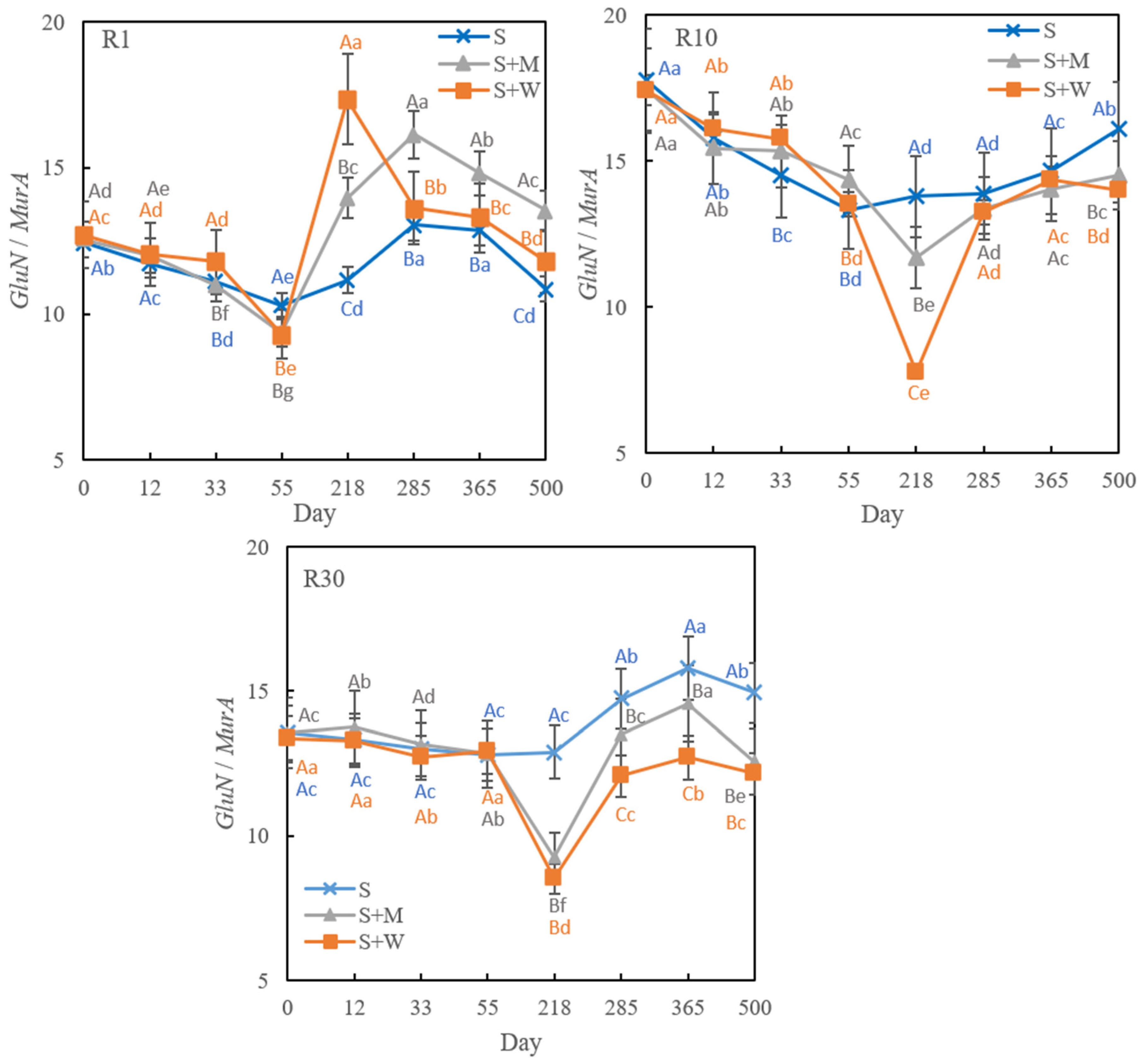
The effect of returning straw to the field on the GluN/MurA ratio was complex and constrained by both the reclamation period and decomposition time (Figure 4). Prior to day 218, there was no significant difference in GluN/MurA between the straw types of R30 (p > 0.05), while there was no consistent pattern observed in R1 and R10. Thereafter, the differences in the GluN/MurA ratio among the three treatments were influenced by the reclamation year. On days 218 and 500 the GluN/MurA ratio in the S+W treatment was significantly higher than that in S+M, and the GluN/MurA ratio with S+M treatment was significantly higher than in S for R1. In R10, the GluN/MurA ratio in the straw-added treatment was significantly lower than in the S treatment, and on the 218th day the GluN/MurA ratio was significantly higher in the S+M than the S+W treatment, but on the 500th day there was no significant difference between the two straw types. For R30, the GluN/MurA ratio in the straw-added treatment was significantly lower than that in S on days 218 and 500 (p < 0.05), while there was no significance difference between the S+W and S+M treatments.

3.3. Dynamic Changes in Soil Microbial Residual Carbon

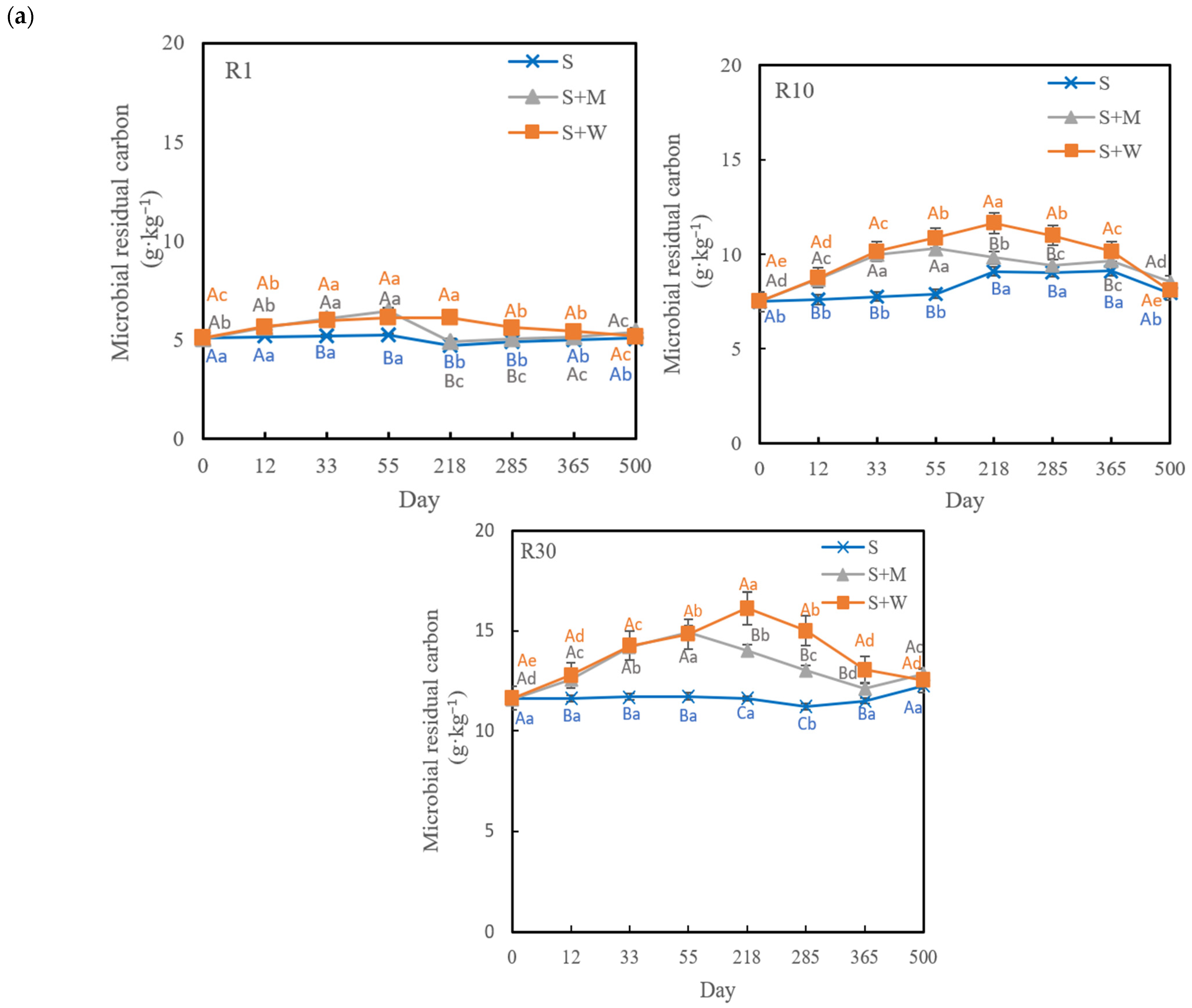
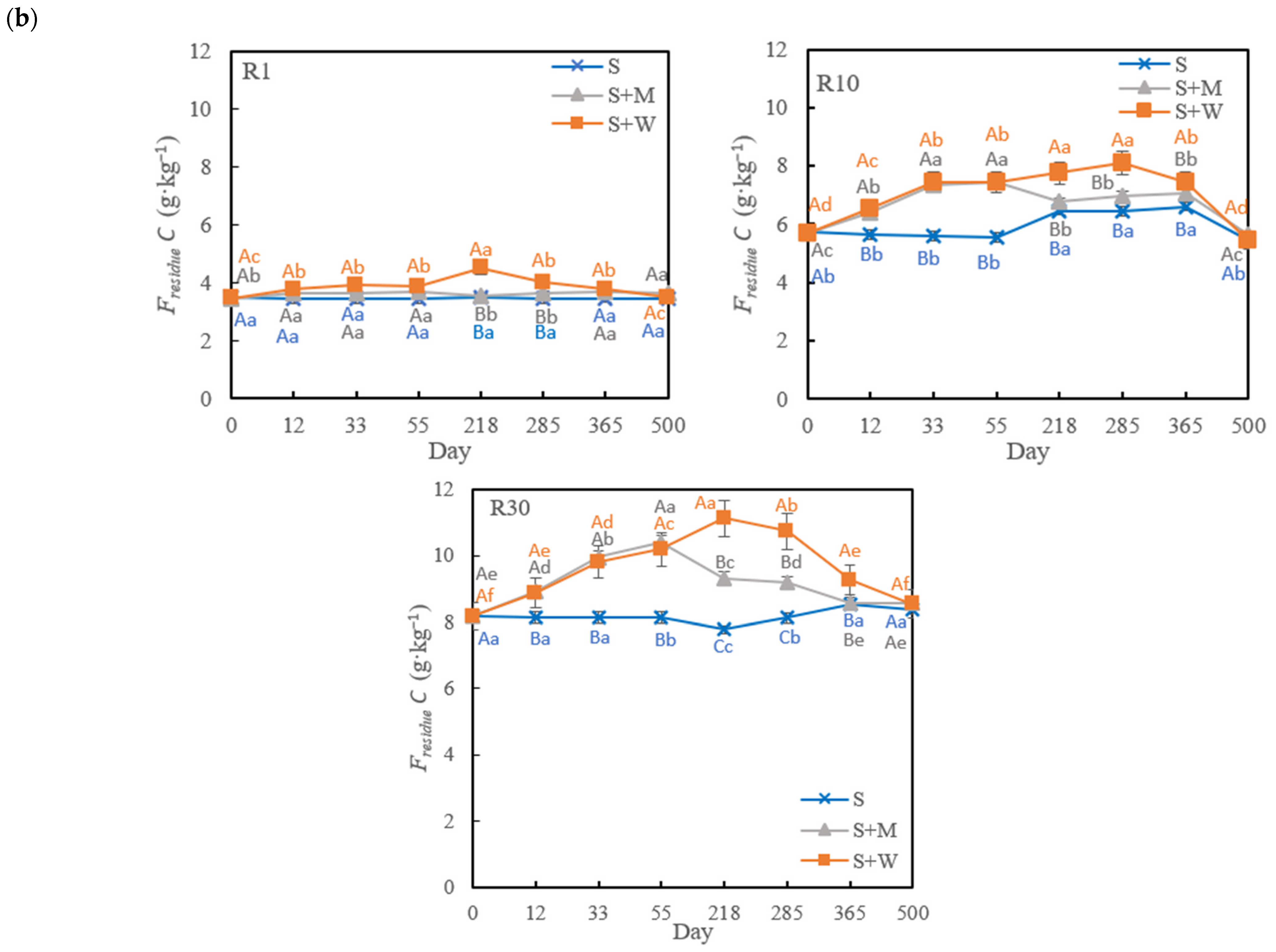
During most sampling periods, the addition of straw increased the contents of soil microbial residual C, Fresidue C, and Bresidue C (Figure 5 and Figure S3). In R1, the microbial residual carbon and Fresidue C content was significantly higher with addition of straw than in the S treatment on days 12, 33, and 55, and microbial residual carbon and Fresidue C with S+W was significantly higher than for S and S+M. In R10 and R30, the addition of straw significantly increased the soil microbial residual C and Fresidue C content compared to S treatment on days 12, 33, and 55, and the soil microbial residual C and Fresidue C content with S+W were significantly higher than in S and S+M, while there was no significant difference between straw types. On days 218 and 285 there was a significant difference in soil microbial residual C and Fresidue C content among S+W, S+M, and S for R30 (p < 0.05), but the microbial residual carbon and Fresidue C content was significantly higher with S+W than in S and S+M for R10. At the end of the experiment, the total microbial residual C and Fresidue C contents in the S+M treatment were the highest, while there was no significant difference between the addition of straw and soil without straw.

3.4. Contribution of Microbial Residual Carbon to SOC

After 500 days of treatment, the average contribution of soil microbial residues to the SOC ranged from 69.64 to 73.77% (Figure 6). The reclamation period and straw type significantly affected the proportion of microbial residues in the SOC (p < 0.05). As the reclamation period increased, the contribution of microbial residues to the SOC decreased. The contributions of R1, R10, and R30 microbial residues to the SOC were 73.77, 71.32, and 69.64%, respectively. At the end of the experiment, the increases in the contribution of microbial residues to the SOC with the addition of straw were 3.35, 3.14, and 2.27% for areas reclaimed for 1 year, 10 years, and 30 years, respectively. Additionally, the contribution of microbial residues from different groups differed, as the contribution of fungal residues was significantly higher than that of bacterial residues (p < 0.05). The contribution of fungal residues to the SOC exhibited the highest increase in R1, whereas the contribution of bacterial residues to the SOC exhibited the highest increase in R30. At the end of the experiment, the contribution of microbial residues added to the S+M treatment to the SOC was 1.04-fold higher than that of the S+W treatment. The dynamic changes in the fungal/bacterial residues were consistent with the changes in the GluN/MurA ratios, ranging from 1.4 to 3.2 (Figure S2).

4. Discussion

The experiments showed that GluN derived from fungi was the main component of GluN in the soil (Figure S2), indicating that fungal cell polymers are relatively stable and play an important role in SOC accumulation [31,32]. However, a lower cell wall acid content (Figure S2) reflected the rapid turnover rate of bacterial cells, which may be related to relatively thin bacterial cell walls [3]. Therefore, bacterial residues are likely to be enriched in active soil organic components [33]. Additionally, fungi can assimilate secondary metabolites of bacteria, causing C to flow from bacterial production to fungal assimilation products [34]. These observations suggest that bacteria with larger biomasses and faster turnover rates may be more important for the assimilation of substrate C, whereas fungal residues are more conducive to the stabilization of SOC (Figure 6).
In this study, we found that the AS content of reclaimed soil samples showed fluctuations over time with the addition of straw (Figure 3), indicating that straw incorporation substantially changes microbial residues [35,36]. This was in contrast with our initial hypothesis that even with the addition of maize straw, the AS content would remain relatively stable over time. This observation is consistent with a previous study which revealed that AS is not completely inert, but rather actively participates in soil C cycling and serves as a C source for living microorganisms [37]. Therefore, the final accumulation effect of AS represents a balance between the decomposition and production of microbial residues and is regulated by field management practices, such as straw incorporation [38]. In this study, reintroducing straw into the field provided abundant available substrates, stimulating soil microorganism activity. Through the continuous cycle of microbial reproduction and death, microbial cell components gradually accumulated in the soil in the form of microbial residues [39], resulting in a significant increase in the soil AS content after 55 days of treatment (Figure 3). Notably, the AS content in all straw-added treatments rapidly decreased after 55 days (Figure 3), which implies that the production of microbial residues was not sufficient to offset their degradation. This phenomenon cannot be attributed to the growth process of maize or changes in the environment because the AS in the control treatment did not show a similar decrease (Figure 3). We speculate that adding straw may also have a positive stimulatory effect on soil microbial residues [40,41]; however, this aspect has not received sufficient attention in previous studies. Cui et al. [42] found that the accumulation of microbial residues can lead to a peak in the microbial community that degrades them, which is consistent with the findings of this study. Our results also indicate that the addition of straw only has a stimulating effect on microbial residues when certain specific conditions are met; however, further studies should explore the mechanism and quantification of this stimulating effect.
We found that the S+W treatment was more conducive to the accumulation of AS than the S+M treatment after 55 days. However, opposite results were obtained at the end of the experiment (Figure 3), indicating that the dynamic changes in the microbial residues during straw decomposition were closely related to changes in the substrate quality. Interestingly, we found that the AS content decreased after 218 days (Figure 3). This can be attributed to the gradual consumption of the easily decomposable components in straw. As these components are utilized by microorganisms, the predominant components are transformed from decomposable to degradable, which affects the microbial turnover rate. However, the C source that is easily decomposed by microorganisms was likely limited at this time, which made the microbial residue reusable by microorganisms; this could have briefly decreased the AS content. Thus, the remaining components that were not degradable appeared to become the main C source for microbial metabolism [43]. This can subsequently accelerate microbial reproduction. This may be attributed to the high alkyl C content in the maize straw, which leads to the formation of more microbial residues through microbial decomposition in the later stages (Table 4). However, further verification of this result is required.
We also observed significant changes in GluN/MurA in this study, which indicate that the addition of straw considerably affects the composition of microbial residues and is closely related to reclamation levels. After 55 days of treatment, the addition of straw did not affect GluN/MurA. At this time point, adding straw increased GluN/MurA in R1, but decreased GluN/MurA in R30 (Figure 4). The increase in GluN/MurA in R1 was likely due to the strong competitiveness of fungi in utilizing straw, as well as the more stable characteristics of fungal residues compared with those of bacterial residues [44,45]. Some bacteria-derived cell wall acids may have been further degraded by microorganisms to meet their C demands in carbon-deficient soils, which can also increase GluN/MurA [46]. These results demonstrate that incorporating straw into the field has a more positive effect on the accumulation of fungal residues in the early (first year) stages of reclamation compared to later reclamation stages in coal mining areas.
This study showed that the proportion of microbial residues in SOC was consistent with the range of changes previously reported in farmland soils (40–70%) [47,48,49], implying that microbial residues are the main component of stable SOC reservoirs. Moreover, the addition of straw increased the contribution of microbial residues to the SOC in all treatments after 500 days. This phenomenon was mainly caused by an increase in the microbial biomass after adding straw. This finding indicates that in agricultural ecosystems within coal mine reclamation areas, incorporating straw into the field can promote the conversion of plant C to microbial C, thereby changing the composition and quality of SOC [50].
Although the soil contained higher levels of AS with an increasing reclamation time, the contribution of microbial residues to the SOC did not increase. This may be due to the presence of a richer C pool in soils that have been reclaimed for a longer period [51]. In addition to the C input from straw, the biomass of the aboveground crops was higher (Figure S4), which resulted in the transportation of more photosynthetic products (such as roots and secretions) to the soil, yielding a dilution effect on the microbial residue abundance. Additionally, after adding straw, the increase in the proportion of microbial residues in the soil in R1 was greater than that in R10 and R30. Low–fertility soil (R1) is more likely to place soil microorganisms in a C–limited state. The incorporation of unstable straw into the field activates dormant microorganisms, causing them to be largely transformed into microbial biomass and residues [52,53,54]. Consequently, when straw was added, the contribution of microbial residues in R1 was likely higher than those in R10 and R30. Therefore, straw addition is of great significance for the accumulation of microbial organic C through synthetic metabolic pathways in low–fertility soils.

5. Conclusions

In this study, we investigated the accumulation pattern of soil microbial residual carbon in reclaimed soil from a coal mining area. We found that the soil microbial residual carbon was influenced by the straw type and reclamation period. The addition of straw not only increased the soil microbial carbon content, but also increased the contribution of microbial carbon to the SOC. Hence, straw incorporation can enhance the capacity and stability of C sequestration in coal mine reclamation areas. Additionally, the reuse of crop straw offers additional environmental benefits and holds significant potential for ensuring the cleaner and more sustainable development of reclaimed mining areas.

Supplementary Materials

The following supporting information can be downloaded at: https://www.mdpi.com/article/10.3390/agronomy14040742/s1, Figure S1: Test plot size and distribution map; Figure S2: Amino sugar contents in soil under different treatment; Figure S3: Changes in Bresidue C content under different reclamation years; Figure S4: Changes in Fresidue C/Bresidue C content under different reclamation years; Figure S5: The maize yield under different reclamation years; Table S1: Paired comparison results of amino sugar content among reclamation years.

Author Contributions

Conceptualization, H.B. and Z.L.; methodology, D.J.; software, H.W. (Haibo Wang); validation, H.B., Z.L. and D.X.; formal analysis, H.W. (Hao Wang); investigation, H.B.; resources, D.X.; data curation, D.J.; writing—original draft preparation, H.B.; writing—review and editing, D.X.; visualization, D.X.; supervision, H.B. All authors have read and agreed to the published version of the manuscript.

Funding

This research was funded by the Shanxi Basic Research Project (202303021212104), the Science & Technology Innovation Foundation of Shanxi Agricultural University (2021BQ50), and the Excellent Doctoral Research Project of Shanxi (SXBYKY2021083).

Data Availability Statement

The data presented in this study are available on request from the corresponding author.

Conflicts of Interest

The authors declare no conflict of interest.

References

  1. Lal, R.; Bruce, J.P. The potential of world cropland soils to sequester C and mitigate the greenhouse effect. Environ. Sci. Policy 1999, 2, 177–185. [Google Scholar] [CrossRef]
  2. Wang, J.; Feng, L.; Palmer, P.I.; Liu, Y.; Fang, S.; Bösch, H.; O’Dell, C.W.; Tang, X.; Yang, D.; Liu, L. Large Chinese land carbon sink estimated from atmospheric carbon dioxide data. Nature 2020, 586, 720–723. [Google Scholar] [CrossRef] [PubMed]
  3. Lal, R. Managing Soils and Ecosystems for Mitigating Anthropogenic Carbon Emissions and Advancing Global Food Security. BioScience 2010, 60, 708–721. [Google Scholar] [CrossRef]
  4. Rumpel, C.; Lehmann, J.; Chabbi, A. ‘4 per 1,000’ initiative will boost soil carbon for climate and food security. Nature 2018, 553, 27. [Google Scholar] [CrossRef] [PubMed]
  5. Zhao, Y.; Wang, M.; Hu, S.; Zhang, X.; Ouyang, Z.; Zhang, G.; Huang, B.; Zhao, S.; Wu, J.; Xie, D. Economics- and policy-driven organic carbon input enhancement dominates soil organic carbon accumulation in Chinese croplands. Proc. Natl. Acad. Sci. USA 2018, 115, 4045–4050. [Google Scholar] [CrossRef] [PubMed]
  6. Bolinder, M.A.; Crotty, F.; Elsen, A.; Frac, M.; Kismányoky, T.; Lipiec, J.; Tits, M.; Tóth, Z.; Kätterer, T. The effect of crop residues, cover crops, manures and nitrogen fertilization on soil organic carbon changes in agroecosystems: A synthesis of reviews. Mitig. Adapt. Strateg. Glob. Chang. 2020, 25, 929–952. [Google Scholar] [CrossRef]
  7. Yin, H.; Zhao, W.; Li, T.; Cheng, X.; Liu, Q. Balancing straw returning and chemical fertilizers in China: Role of straw nutrient resources. Renew. Sust. Energy Rev. 2018, 81, 2695–2702. [Google Scholar] [CrossRef]
  8. Andrews, E.M.; Kassama, S.; Smith, E.E.; Brown, P.H.; Khalsa, S.D.S. A Review of Potassium-Rich Crop Residues Used as Organic Matter Amendments in Tree Crop Agroecosystems. Agriculture 2021, 11, 580. [Google Scholar] [CrossRef]
  9. Islam, M.U.I.; Jiang, F.; Halder, M.; Liu, S.; Peng, X. Impact of straw return combined with different fertilizations on soil organic carbon stock in upland wheat and maize croplands in China: A meta-analysis. Crop Environ. 2023, 2, 233–241. [Google Scholar] [CrossRef]
  10. Parmar, V.; Datt, N.; Dixit, S.P.; Rana, S.S. Long-term effects of prescription-based fertilization on culturable soil microorganisms and carbon dynamics in the northwest Himalayas. Commun. Soil. Sci. Plan. 2024, 55, 398–410. [Google Scholar] [CrossRef]
  11. Wani, O.A.; Kumar, S.S.; Hussain, N.; Wani, A.I.A.; Babu, S.; Alam, P.; Rashid, M.; Popescu, S.M.; Mansoor, S. Multi-scale processes influencing global carbon storage and land-carbon-climate nexus: A critical review. Pedosphere 2023, 33, 250–267. [Google Scholar] [CrossRef]
  12. Yang, L.; Hu, X.; Chang, Z.; Song, H.; Li, T.; Li, L. The Effects of Various Long-Term Fertilizer Applications on Soil Carbon Fractions in a Winter Wheat Monoculture Area. Agronomy 2024, 14, 82. [Google Scholar] [CrossRef]
  13. Yang, B.Y.; Bai, Z.K. Research advances and emission reduction measures in carbon soure and sink of land ecosystems in coal mining area under the carbon neutrality. China Min. Mag. 2021, 30, 1–9. (In Chinese) [Google Scholar]
  14. Anderson, J.D.; Ingram, L.J.; Stahl, P.D. Influence of reclamation management practices on microbial biomass carbon and soil organic carbon accumulation in semiarid mined lands of Wyoming. Appl. Soil. Ecol. 2008, 40, 387–397. [Google Scholar] [CrossRef]
  15. Chen, B.; Wang, X.L.; Xu, M.G.; Li, R.; Li, J.H.; Jin, D.S.; Duan, Y.H.; Sun, N. Decomposition characteristics of different organic materials in coal mine reclamation area. J. Plant Nutr. Fertil. 2020, 26, 1126–1134. [Google Scholar]
  16. Truong, T.H.H.; Marschner, P. Respiration, available N and microbial biomass N in soil amended with mixes of organic materials differing in C/N ratio and decomposition stage. Geoderma 2018, 319, 167–174. [Google Scholar] [CrossRef]
  17. Li, R.; Xu, M.G.; Wu, L.; Shen, H.P.; Sun, N.; Cai, A.D.; Wang, B.; Ai, T.C.; Jin, D.S. Decomposition characteristics of straw and biochar in a reclaimed soil from coal mining area. J. Plant Nutr. Ferti. 2021, 27, 1129–1140. (In Chinese) [Google Scholar]
  18. Xu, Y.; Ding, F.; Gao, X.; Wang, Y.; Li, M.; Wang, J. Mineralization of plant residues and native soil carbon as affected by soil fertility and residue type. J. Soil. Sedi. 2019, 19, 1407–1415. [Google Scholar] [CrossRef]
  19. IUSS Working Group WRB. World Reference Base for Soil Resources. In International Soil Classification System for Naming Soils and Creating Legends for Soil Maps, 4th ed.; International Union of Soil Sciences: Vienna, Austria, 2022. [Google Scholar]
  20. Lin, X.X.; Wen, Q.X. Utilization of organic wastes in the Taihu region of Jiangsu Province of China. Resour. Conser. 1987, 13, 109–116. [Google Scholar]
  21. Wu, X.; Xu, H.; Liu, G.; Ma, X.; Mu, C.; Zhao, L. Bacterial communities in the upper soil layers in the permafrost regions on the Qinghai-Tibetan plateau. Appl. Soil. Ecol. 2017, 120, 81–88. [Google Scholar] [CrossRef]
  22. Zhang, X.; Amelung, W. Gas chromatographic determination of muramic acid, glucosamine, mannosamine, and galactosamine in soils. Soil. Biol. Biochem. 1996, 28, 1201–1206. [Google Scholar] [CrossRef]
  23. Wojewódzki, P.; Lemanowicz, J.; Debska, B.; Haddad, S.A.; Tobiasova, E. The Application of Biochar from Waste Biomass to Improve Soil Fertility and Soil Enzyme Activity and Increase Carbon Sequestration. Energies 2023, 16, 380. [Google Scholar] [CrossRef]
  24. Domagalski, J.L.; Morway, E.; Alvarez, N.L.; Hutchins, J.; Rosen, M.R.; Coats, R. Trends in nitrogen, phosphorus, and sediment concentrations and loads in streams draining to Lake Tahoe, California, Nevada, USA. Sci. Total Environ. 2021, 752, 141815. [Google Scholar] [CrossRef] [PubMed]
  25. Marip, J.B.; Yuan, X.; Zhu, H.; Xu, J.; Ye, H.; Zhou, H.; Nooni, I.K.; Amankwah, S.O.Y.; Prempeh, N.A.; Norgbey, E. Spatial variations in and environmental significance of nitrogen forms in river sediments from two different watersheds in eastern China. Environ. Monit. Assess. 2020, 192, 351. [Google Scholar] [CrossRef] [PubMed]
  26. Van Groenigen, K.J.; Bloem, J.; Bååth, E.; Boeckx, P.; Rousk, J.; Bodé, S.; Forristal, D.; Jones, M.B. Abundance, production and stabilization of microbial biomass under conventional and reduced tillage. Soil. Biol. Biochem. 2010, 42, 48–55. [Google Scholar] [CrossRef]
  27. Mustapha, A.A.; Abdu, N.; Oyinlola, E.Y.; Nuhu, A.A. Evaluating Different Methods of Organic Carbon Estimation on Nigerian Savannah Soils. J. Soil. Sci. Plant Nut. 2023, 23, 790–800. [Google Scholar] [CrossRef]
  28. Wickings, K.; Grandy, A.S.; Reed, S.C.; Cleveland, C.C. The origin of litter chemical complexity during decomposition. Ecol. Lett. 2012, 15, 1180–1188. [Google Scholar] [CrossRef] [PubMed]
  29. Liang, C.; Balser, T.C. Warming and nitrogen deposition lessen microbial residue contribution to soil carbon pool. Nat. Commun. 2012, 3, e1222. [Google Scholar] [CrossRef] [PubMed]
  30. Banerjee, S.K.; Schlaeppi, K.; van der Heijden, M.G.A. Keystone taxa as drivers of microbiome structure and functioning. Nat. Rev. Microbiol. 2018, 16, 567–576. [Google Scholar] [CrossRef] [PubMed]
  31. Engelking, B.; Flessa, H.; Joergensen, R.G. Shifts in amino sugar and ergosterol contents after addition of sucrose and cellulose to soil. Soil. Biol. Biochem. 2007, 39, 2111–2118. [Google Scholar] [CrossRef]
  32. Khan, K.S.; Mack, R.; Castillo, X.; Kaiser, M.; Joergensen, R.G. Microbial biomass, fungal and bacterial residues, and their relationships to the soil organic matter C/N/P/S ratios. Geoderma 2016, 271, 115–123. [Google Scholar] [CrossRef]
  33. Kallenbach, C.M.; Kallenbach, C.M.; Frey, S.D.; Grandy, A.S. Author Correction: Direct evidence for microbial-derived soil organic matter formation and its ecophysiological controls. Nat. Commun. 2016, 9, 13630. [Google Scholar] [CrossRef] [PubMed]
  34. Bayram, O.; Braus, G.H. Coordination of secondary metabolism and development in fungi: The velvet family of regulatory proteins. FEMS Microbi Rev. 2012, 361, 1–24. [Google Scholar] [CrossRef] [PubMed]
  35. Potthoff, M.; Dyckmans, J.; Flessa, H.; Beese, F.; Joergensen, R.G. Decomposition of maize residues after manipulation of colonization and its contribution to the soil microbial biomass. Biol. Fert. Soils 2008, 44, 891–895. [Google Scholar] [CrossRef]
  36. Joergensen, R.G. Amino sugars as specific indices for fungal and bacterial residues in soil. Biol. Fert. Soils 2018, 54, 559–568. [Google Scholar] [CrossRef]
  37. Salas, E.; Gorfer, M.; Bandian, D.; Eichorst, S.A.; Schmidt, H.; Horak, J.; Rittmann, S.K.M.R.; Schleper, C.; Reischl, B.; Pribasnig, T.; et al. Reevaluation and novel insights into amino sugar and neutral sugar necromass biomarkers in archaea, bacteria, fungi, and plants. Sci. Total Environ. 2024, 906, 167463. [Google Scholar] [CrossRef] [PubMed]
  38. Glaser, B.; Turrión, M.A.-B.; Alef, K. Amino sugars and muramic acid—Biomarkers for soil microbial community structure analysis. Soil. Biol. Biochem. 2004, 36, 399–407. [Google Scholar] [CrossRef]
  39. Liang, C.; Schimel, J.P.; Jastrow, J.D. The importance of anabolism in microbial control over soil carbon storage. Nat. Microbiol. 2017, 2, 17105. [Google Scholar] [CrossRef] [PubMed]
  40. Xu, Y.; Sun, L.; Lal, R.; Bol, R.; Wang, Y.; Gao, X.; Ding, F.; Liang, S.; Li, S.; Wang, J. Microbial assimilation dynamics differs but total mineralization from added root and shoot residues is similar in agricultural Alfisols. Soil. Biol. Biochem. 2020, 148, 107901. [Google Scholar] [CrossRef]
  41. Singh, V.; Gupta, R.K.; Kalia, A.; Al-Ansari, N.; Alataway, A.; Dewidar, A.Z.; Mattar, M.A. Soil type and integrated nitrogen nutrient-rice straw residue management techniques affect soil microbes, enzyme activities and yield of wheat crop. Heliyon 2023, 9, e16645. [Google Scholar] [CrossRef] [PubMed]
  42. Cui, J.T.; Zhu, Z.; Xu, X.; Liu, S.L.; Jones, D.L.; Kuzyakov, Y.; Shibistova, O.B.; Wu, J.; Ge, T. Carbon and nitrogen recycling from microbial necromass to cope with C:N stoichiometric imbalance by priming. Soil. Biol. Biochem. 2020, 142, 107720. [Google Scholar] [CrossRef]
  43. Darma, A.; Yang, J.; Feng, Y.; Xia, X.; Zandi, P.; Sani, A.; Bloem, E.; Ibrahim, S. The impact of maize straw incorporation on arsenic and cadmium availability, transformation and microbial communities in alkaline-contaminated soils. J. Environ. Manag. 2023, 344, 118390. [Google Scholar] [CrossRef] [PubMed]
  44. Ma, Z.; Jiao, S.; Zheng, K.; Ni, H.; Li, D.; Zhang, N.; Yang, Y.; Zhou, J.; Sun, B.; Liang, Y. Multiple spatial scales of bacterial and fungal structural and functional traits affect carbon mineralization. Mol. Ecol. 2023, 33, e17235. [Google Scholar] [CrossRef]
  45. Liang, C.; Amelung, W.; Lehmann, J.; Kästner, M. Quantitative assessment of microbial necromass contribution to soil organic matter. Glob. Chang. Biol. 2019, 25, 3578–3590. [Google Scholar] [CrossRef] [PubMed]
  46. Camenzind, T.; Mason-Jones, K.; Mansour, I.; Rillig, M.C.; Lehmann, J. Formation of necromass-derived soil organic carbon determined by microbial death pathways. Nat. Geosci. 2023, 16, 115–122. [Google Scholar] [CrossRef]
  47. Wang, C.; Qu, L.; Yang, L.; Liu, D.; Morrissey, E.M.; Miao, R.; Liu, Z.; Wang, Q.; Fang, Y.; Bai, E. Large-scale importance of microbial carbon use efficiency and necromass to soil organic carbon. Glob. Chang. Biol. 2021, 27, 2039–2048. [Google Scholar] [CrossRef] [PubMed]
  48. Geyer, K.; Schnecker, J.; Grandy, A.S.; Richter, A.; Frey, S. Assessing microbial residues in soil as a potential carbon sink and moderator of carbon use efficiency. Biogeochemistry 2020, 151, 237–249. [Google Scholar] [CrossRef]
  49. Zhou, R.; Liu, Y.; Dungait, J.A.J.; Kumar, A.; Wang, J.; Tiemann, L.K.; Zhang, F.; Kuzyakov, Y.; Tian, J. Microbial necromass in cropland soils: A global meta-analysis of management effects. Glob. Chang. Biol. 2023, 29, 1998–2014. [Google Scholar] [PubMed]
  50. Hao, X.; Han, X.; Wang, S.; Li, L.-J. Dynamics and composition of soil organic carbon in response to 15 years of straw return in a Mollisol. Soil. Till Res. 2022, 215, 105221. [Google Scholar] [CrossRef]
  51. Zhang, Y.; Xie, H.; Wang, F.; Sun, C.; Zhang, X. Effects of biochar incorporation on soil viable and necromass carbon in the luvisol soil. Soil Use Manag. 2021, 38, 318–330. [Google Scholar] [CrossRef]
  52. Geisseler, D.; Joergensen, R.G.; Ludwig, B. Temporal effect of straw addition on amino acid utilization by soil microorganisms. Eur. J. Soil. Biol. 2012, 53, 107–113. [Google Scholar] [CrossRef]
  53. Liu, X.; Zhou, F.; Hu, G.; Shao, S.; He, H.; Zhang, W.; Zhang, X.; Li, L. Dynamic contribution of microbial residues to soil organic matter accumulation influenced by maize straw mulching. Geoderma 2019, 333, 35–42. [Google Scholar] [CrossRef]
  54. Zhang, X.; Xin, X.; Yang, W.; Zhu, A.; Ding, S. Short-term decomposition, turnover and retention of residue-derived carbon are influenced by the fertility level in a sandy loam soil. Geoderma 2019, 349, 68–78. [Google Scholar] [CrossRef]
Figure 1. Location and division of the study area. Circles represent sampling areas at each reclamation level. R1 refers to soil reclaimed for 1 year, R10 refers to soil reclaimed for 10 years, and R30 refers to soil reclaimed for 30 years.
Figure 1. Location and division of the study area. Circles represent sampling areas at each reclamation level. R1 refers to soil reclaimed for 1 year, R10 refers to soil reclaimed for 10 years, and R30 refers to soil reclaimed for 30 years.
Agronomy 14 00742 g001
Figure 2. Precipitation and soil temperature during decomposition during the experiment.
Figure 2. Precipitation and soil temperature during decomposition during the experiment.
Agronomy 14 00742 g002
Figure 3. Amino sugar contents in soil under different treatments. R1, R10, and R30 represent soil reclamation for 1, 10, and 30 years, respectively. S, S+M, and S+W represent soil, soil + maize straw, and soil + wheat straw, respectively. The dispersion line represents the standard deviation. Capital letters represent differences among different straw treatments, whereas lowercase letters represent differences among different decomposition times according to the generalized estimating equations method (a = 0.05).
Figure 3. Amino sugar contents in soil under different treatments. R1, R10, and R30 represent soil reclamation for 1, 10, and 30 years, respectively. S, S+M, and S+W represent soil, soil + maize straw, and soil + wheat straw, respectively. The dispersion line represents the standard deviation. Capital letters represent differences among different straw treatments, whereas lowercase letters represent differences among different decomposition times according to the generalized estimating equations method (a = 0.05).
Agronomy 14 00742 g003
Figure 4. GluN/MurA ratios in the bulk soil under different treatments over 500 days of the experiment. R1, R10, and R30 represent soil reclamation for 1 year, 10 years, and 30 years, respectively. S, S+M, and S+W represent soil, soil + maize straw, and soil + wheat straw, respectively. The dispersion line is the standard deviation. Capital letters represent differences among different straw treatments, whereas lowercase letters represent differences among different decomposition times according to the generalized estimating equations method (a = 0.05).
Figure 4. GluN/MurA ratios in the bulk soil under different treatments over 500 days of the experiment. R1, R10, and R30 represent soil reclamation for 1 year, 10 years, and 30 years, respectively. S, S+M, and S+W represent soil, soil + maize straw, and soil + wheat straw, respectively. The dispersion line is the standard deviation. Capital letters represent differences among different straw treatments, whereas lowercase letters represent differences among different decomposition times according to the generalized estimating equations method (a = 0.05).
Agronomy 14 00742 g004
Figure 5. Microbial residual carbon and Fresidue C under different treatments over 500 days of the experiment. (a): Microbial residual carbon. (b): (Fresidue C). R1, R10, and R30 represent soil reclamation for 1 year, 10 years, and 30 years, respectively. S, S+M, and S+W represent soil, soil + maize straw, and soil + wheat straw, respectively. The dispersion line is the standard deviation. Capital letters represent differences among different straw treatments, whereas lowercase letters represent differences among different decomposition time according to the generalized estimating equations method (a = 0.05).
Figure 5. Microbial residual carbon and Fresidue C under different treatments over 500 days of the experiment. (a): Microbial residual carbon. (b): (Fresidue C). R1, R10, and R30 represent soil reclamation for 1 year, 10 years, and 30 years, respectively. S, S+M, and S+W represent soil, soil + maize straw, and soil + wheat straw, respectively. The dispersion line is the standard deviation. Capital letters represent differences among different straw treatments, whereas lowercase letters represent differences among different decomposition time according to the generalized estimating equations method (a = 0.05).
Agronomy 14 00742 g005aAgronomy 14 00742 g005b
Figure 6. Changes in the ratios of the microbial residual C and SOC (a) and the Fresidue C/Bresidue C content (b) for the different reclamation years. R1, R10, and R30 represent soil reclamation for 1, 10, and 30 years, respectively. S, S+M, and S+W represent soil, soil + maize straw, and soil + wheat straw, respectively. The dispersion line represents the standard deviation. Capital letters represent differences among the three reclamation periods, whereas lowercase letters represent differences between different straw treatments.
Figure 6. Changes in the ratios of the microbial residual C and SOC (a) and the Fresidue C/Bresidue C content (b) for the different reclamation years. R1, R10, and R30 represent soil reclamation for 1, 10, and 30 years, respectively. S, S+M, and S+W represent soil, soil + maize straw, and soil + wheat straw, respectively. The dispersion line represents the standard deviation. Capital letters represent differences among the three reclamation periods, whereas lowercase letters represent differences between different straw treatments.
Agronomy 14 00742 g006
Table 1. Chemical composition (%) of the Shanxi sandstone coal gangue.
Table 1. Chemical composition (%) of the Shanxi sandstone coal gangue.
SampleSiO2Al2O3TiO2P2O5MnOCaOMgOK2ONa2OSO3
Gangue48.3319.870.850.090.0161.850.731.650.100.04
Table 2. Average heavy metal content (mg∙kg−1) of coal gangue.
Table 2. Average heavy metal content (mg∙kg−1) of coal gangue.
SamplePbHgCdCrNiAsCuZn
Gangue35.81 ± 1.320.23 ± 0.010.14 ± 0.0345.12 ± 1.4510.39 ± 1.2113.71 ± 0.9526.19 ± 1.2164.12 ± 1.88
Table 3. Basic properties of the soils sampled from three areas with different reclamation levels.
Table 3. Basic properties of the soils sampled from three areas with different reclamation levels.
SoilSOC
(g∙kg−1)
TN
(g∙kg−1)
TP
(g∙kg−1)
TK
(g∙kg−1)
AN
(mg∙kg−1)
AP
(mg∙kg−1)
AK
(mg∙kg−1)
pH
R13.89 ± 0.02 c0.42 ± 0.02 c0.38 ± 0.01 c21.34 ± 0.01 a22.6 ± 0.9 c1.8 ± 0.01 b119 ± 8 c7.88 ± 0.03 a
R109.70 ± 0.17 b0.86 ± 0.02 b0.51 ± 0.01 b20.51 ± 0.01 b49.4 ± 0.8 b7.2 ± 0.11 a155 ± 13 b7.98 ± 0.02 a
R3017.28 ± 0.23 a1.31 ± 0.01 a0.63 ± 0.01 a20.63 ± 0.0.1 a68.8 ± 1.1 a8.1 ± 0.10 a240 ± 11 a7.95 ± 0.02 a
Note: R1, R10, and R30 refer to 1, 10, and 30 years of reclamation, respectively. Different letters after the same column of numbers indicate significant differences among the three soils according to Duncan’s method (p < 0.05). SOC, TN, TP, TK, AN, AP, and AK indicate the soil organic carbon, total nitrogen, phosphorus, potassium, available nitrogen, available phosphorus, and available potassium, respectively.
Table 4. Basic properties of straw.
Table 4. Basic properties of straw.
Straw TypeCarbon
(g∙kg−1)
TN
(g∙kg−1)
C/NCarbonyl C
(%)
Aromatic C
(%)
Alkoxy C
(%)
Alkyl C
(%)
S+M439.92 ± 6.50 a7.83 ± 0.04 a56.18 ± 0.83 b1.09 ± 0.03 b1.79 ± 0.02 b82.59 ± 1.56 a9.72 ± 2.13 a
S+W447.89 ± 8.76 a5.01 ± 0.02 b89.33 ± 2.13 a3.77 ± 0.06 a5.17 ± 0.08 a89.58 ± 0.98 a6.37 ± 1.27 b
Note: Different letters in the same column indicate significant differences between the two types of straw according to Duncan’s method (p < 0.05). S+M and S+W represent the soil + maize straw and soil + wheat straw treatments, respectively.
Disclaimer/Publisher’s Note: The statements, opinions and data contained in all publications are solely those of the individual author(s) and contributor(s) and not of MDPI and/or the editor(s). MDPI and/or the editor(s) disclaim responsibility for any injury to people or property resulting from any ideas, methods, instructions or products referred to in the content.

Share and Cite

MDPI and ACS Style

Bo, H.; Xue, D.; Li, Z.; Wang, H.; Jin, D.; Wang, H. Soil Microbial Residual Carbon Accumulation Affected by Reclamation Period and Straw Incorporation in Reclaimed Soil from Coal Mining Area. Agronomy 2024, 14, 742. https://doi.org/10.3390/agronomy14040742

AMA Style

Bo H, Xue D, Li Z, Wang H, Jin D, Wang H. Soil Microbial Residual Carbon Accumulation Affected by Reclamation Period and Straw Incorporation in Reclaimed Soil from Coal Mining Area. Agronomy. 2024; 14(4):742. https://doi.org/10.3390/agronomy14040742

Chicago/Turabian Style

Bo, Huijuan, Donghe Xue, Zejin Li, Haibo Wang, Dongsheng Jin, and Hao Wang. 2024. "Soil Microbial Residual Carbon Accumulation Affected by Reclamation Period and Straw Incorporation in Reclaimed Soil from Coal Mining Area" Agronomy 14, no. 4: 742. https://doi.org/10.3390/agronomy14040742

APA Style

Bo, H., Xue, D., Li, Z., Wang, H., Jin, D., & Wang, H. (2024). Soil Microbial Residual Carbon Accumulation Affected by Reclamation Period and Straw Incorporation in Reclaimed Soil from Coal Mining Area. Agronomy, 14(4), 742. https://doi.org/10.3390/agronomy14040742

Note that from the first issue of 2016, this journal uses article numbers instead of page numbers. See further details here.

Article Metrics

Back to TopTop