Inversion Tillage Combined with Organic Fertilizer Application Increased Maize Yield via Improving Soil Pore Structure and Enzymatic Activity in Haplic Chernozem
Abstract
1. Introduction
2. Materials and Methods
2.1. Study Description and Experimental Layout
2.2. Soil Sampling
2.3. Extracellular Enzymatic Stoichiometry
2.4. Maize Yield
2.5. Statistical Analysis
3. Results
3.1. Soil Physical Properties
3.2. Soil Chemical Properties
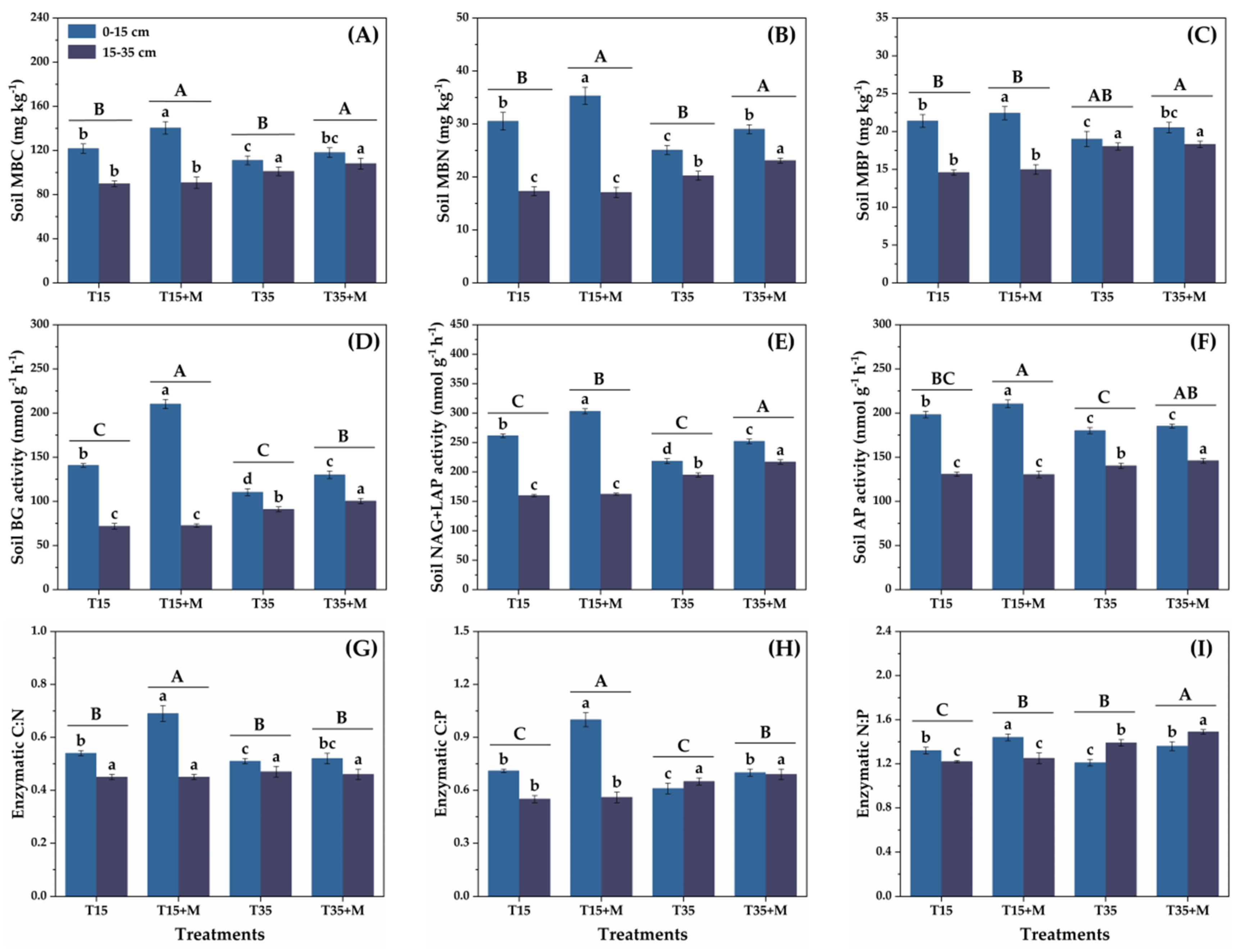
3.3. Activities of Soil Extracellular Enzymes and Enzymatic Stoichiometry
3.4. Maize Yield and Index of Richness in Subsoil
3.5. Relationships between Soil Properties and Maize Yield under the Incorporation of Inversion Tillage and Organic Fertilizer Application
4. Discussion
4.1. Effects of Incorporation of Inversion Tillage and Organic Fertilizer Application on Soil Properties
4.2. Effects of Incorporation of Inversion Tillage and Organic Fertilizer Application on Soil Microbial Resource Limitation
4.3. Effects of Soil Properties and Microbial Resource Limitation on Maize Yield
5. Conclusions
Author Contributions
Funding
Data Availability Statement
Conflicts of Interest
References
- Thiele-Bruhn, S.; Leinweber, P.; Eckhardt, K.-U.; Siem, H.; Blume, H.-P. Chernozem properties of black soils in the Baltic region of Germany as revealed by mass-spectrometric fingerprinting of organic matter. Geoderma 2014, 213, 144–154. [Google Scholar] [CrossRef]
- Chendev, Y.G.; Gennadiev, A.N.; Smirnova, M.A.; Lebedeva, M.P.; Plotnikova, O.O.; Zazdravnykh, E.A.; Shapovalov, A.S. Early stages of the evolution of chernozems under forest vegetation (Belgorod oblast). Eurasian Soil Sci. 2022, 55, 387–403. [Google Scholar] [CrossRef]
- Chen, X.; Shi, C.; Han, X.; Wang, X.; Guo, Z.; Lu, X.; Zou, W.; Yan, J. Microbial responses of soil fertility to depth of tillage and incorporation of straw in a Haplic Chernozem in Northeast China. China Geogr. Sci. 2023, 33, 693–707. [Google Scholar] [CrossRef]
- Chețan, F.; Rusu, T.; Chețan, C.; Șimon, A.; Vălean, A.-M.; Ceclan, A.O.; Bărdaș, M.; Tărău, A. Application of Unconventional Tillage Systems to Maize Cultivation and Measures for Rational Use of Agricultural Lands. Land 2023, 12, 2046. [Google Scholar] [CrossRef]
- Zhelezova, A.D.; Semenov, V.M.; Ksenofontova, N.A.; Krasnov, G.S.; Tkhakakhova, A.K.; Nikitin, D.A.; Semenov, M.V. Effects of distinct manure amendments on microbial diversity and activity in Chernozem and Retisol. Appl. Soil Ecol. 2024, 193, 105152. [Google Scholar] [CrossRef]
- Huang, N.; Zhao, X.; Guo, X.; Sui, B.; Liu, J.; Wang, H.; Li, J. Tillage Methods Change Nitrogen Distribution and Enzyme Activities in Maize Rhizosphere and Non-Rhizosphere Chernozem in Jilin Province of China. Processes 2023, 11, 3253. [Google Scholar] [CrossRef]
- Cui, H.; Luo, Y.; Li, C.; Chang, Y.; Jin, M.; Li, Y.; Wang, Z. Improving Soil Fertility and Wheat Yield by Tillage and Nitrogen Management in Winter Wheat–Summer Maize Cropping System. Agronomy 2023, 13, 740. [Google Scholar] [CrossRef]
- Bu, R.; Li, M.; Cheng, W.; Han, S.; Wang, H.; Tang, S.; Lu, C.; Wu, J. Subsoil Tillage and Organic Fertilization Benefit Rice Root Growth and Yield by Ameliorating Soil Compaction and Fertility. J. Soil Sci. Plant Nutr. 2023, 23, 6114–6124. [Google Scholar] [CrossRef]
- Yan, Q.; Wu, L.; Dong, F.; Yan, S.; Li, F.; Jia, Y.; Zhang, J.; Zhang, R.; Huang, X. Subsoil tillage enhances wheat productivity, soil organic carbon and available nutrient status in dryland fields. J. Integr. Agric. 2024, 23, 251–266. [Google Scholar] [CrossRef]
- Guo, R.; Zhang, N.; Wang, L.; Lin, T.; Zheng, Z.; Cui, J.; Tian, L. Subsoiling depth affects the morphological and physiological traits of roots in film-mulched and drip-irrigated cotton. Soil Tillage Res. 2023, 234, 105826. [Google Scholar] [CrossRef]
- Zhao, D.; Liu, Z.; Xu, Y.; Wang, Z.; Li, Z.; Ling, J.; Wu, G.; Wen, Y. Subsoil SOC increased by high C:N ratio straw application with optimized nitrogen supplementation. Soil Use Manag. 2024, 1, e13020. [Google Scholar] [CrossRef]
- Yang, Y.H.; Li, M.J.; Wu, J.C.; Pan, X.; Gao, C.; Tang, D.W.S. Impact of Combining Long-Term Subsoiling and Organic Fertilizer on Soil Microbial Biomass Carbon and Nitrogen, Soil Enzyme Activity, and Water Use of Winter Wheat. Front. Plant Sci. 2022, 12, 788651. [Google Scholar] [CrossRef]
- He, J.; Shi, Y.; Zhao, J.; Yu, Z. Strip rotary tillage with a two-year subsoiling interval enhances root growth and yield in wheat. Sci. Rep. 2019, 9, 11678. [Google Scholar] [CrossRef]
- Cao, M.; Duan, Y.; Li, M.; Tang, C.; Kan, W.; Li, J.; Zhang, H.; Zhong, W.; Wu, L. Manure substitution improves maize yield by promoting soil fertility and mediating the microbial community in lime concretion black soil. J. Integr. Agric. 2024, 23, 698–710. [Google Scholar] [CrossRef]
- Li, P.; Kong, D.; Zhang, H.; Xu, L.; Li, C.; Wu, M.; Jiao, J.; Li, D.; Xu, L.; Li, H.; et al. Different regulation of soil structure and resource chemistry under animal- and plant-derived organic fertilizers changed soil bacterial communities. Appl. Soil Ecol. 2021, 165, 104020. [Google Scholar] [CrossRef]
- Gao, F.; Li, H.; Mu, X.; Gao, H.; Zhang, Y.; Li, R.; Cao, K.; Ye, L. Effects of Organic Fertilizer Application on Tomato Yield and Quality: A Meta-Analysis. Appl. Sci. 2023, 13, 2184. [Google Scholar] [CrossRef]
- Wang, L.; Li, Q.; Coulter, J.A.; Xie, J.; Luo, Z.; Zhang, R.; Deng, X.; Li, L. Winter wheat yield and water use efficiency response to organic fertilization in northern China: A meta-analysis. Agric. Water Manag. 2020, 229, 105934. [Google Scholar] [CrossRef]
- Kumari, M.; Sheoran, S.; Prakash, D.; Yadav, D.B.; Yadav, P.K.; Jat, M.K. Long-term application of organic manures and chemical fertilizers improve the organic carbon and microbiological properties of soil under pearl millet-wheat cropping system in North-Western India. Heliyon 2024, 10, e25333. [Google Scholar] [CrossRef]
- Liu, C.; Zhou, M.; Zhu, Y.; Ma, X.; Wang, Q.; Xu, L.; Zhao, Y.; Zou, W. Gas Emissions and Environmental Benefits of Wheat Cultivated under Different Fertilization Managements in Mollisols. Atmosphere 2022, 13, 1702. [Google Scholar] [CrossRef]
- Kizeková, M.; Kanianska, R.; Jančová, Ľ.; Čunderlík, J.; Dugátová, Z. Carbon and Nitrogen Stocks in Agricultural Soils under Different Natural Conditions and Management in Slovakia. Land 2024, 13, 179. [Google Scholar] [CrossRef]
- Sun, Q.; Sun, W.; Zhao, Z.; Jiang, W.; Zhang, P.; Sun, X.; Xue, Q. Soil Compaction and Maize Root Distribution under Subsoiling Tillage in a Wheat–Maize Double Cropping System. Agronomy 2023, 13, 394. [Google Scholar] [CrossRef]
- Bastida, F.; Eldridge, D.J.; García, C.; Kenny Png, G.; Bardgett, R.D.; Delgado-Baquerizo, M. Soil microbial diversity-biomass relationships are driven by soil carbon content across global biomes. ISME J. 2021, 15, 2081–2091. [Google Scholar] [CrossRef]
- Bolo, P.; Kihara, J.; Mucheru-Muna, M.; Njeru, E.M.; Kinyua, M.; Sommer, R. Application of residue, inorganic fertilizer and lime affect phosphorus solubilizing microorganisms and microbial biomass under different tillage and cropping systems in a Ferralsol. Geoderma 2021, 390, 114962. [Google Scholar] [CrossRef]
- Luo, H.Q.; Yu, J.L.; Li, R.X. Microbial biomass C:N:P as a better indicator than soil and ecoenzymatic C:N:P for microbial nutrient limitation and C dynamics in Zoige Plateau peatland soils. Int. Biodeterior. Biodegrad. 2022, 175, 105492. [Google Scholar] [CrossRef]
- Zhang, N.; Chen, X.; Han, X.; Lu, X.; Yan, J.; Zou, W.; Yan, L. Responses of Microbial Nutrient Acquisition to Depth of Tillage and Incorporation of Straw in a Chinese Mollisol. Front. Environ. Sci. 2021, 9, 737075. [Google Scholar] [CrossRef]
- Ma, Z.; Zhang, X.; Zheng, B.; Yue, S.; Zhang, X.; Zhai, B.; Wang, Z.; Zheng, W.; Li, Z.; Zamanian, K.; et al. Effects of Plastic and Straw Mulching on Soil Microbial P Limitations in maize fields: Dependency on Soil Organic Carbon Demonstrated by Ecoenzymatic Stoichiometry. Geoderma 2021, 388, 114928. [Google Scholar] [CrossRef]
- Miranda-Vélez, J.F.; Leuther, F.; Köhne, J.M.; Munkholm, L.J.; Vogeler, I. Effects of freeze-thaw cycles on soil structure under different tillage and plant cover management practices. Soil Tillage Res. 2023, 225, 105540. [Google Scholar] [CrossRef]
- Han, X.; Hu, C.; Chen, Y.; Qiao, Y.; Liu, D.; Fan, J.; Li, S.; Zhang, Z. Crop yield stability and sustainability in a rice-wheat cropping system based on 34-year field experiment. Eur. J. Agron. 2020, 113, 125965. [Google Scholar] [CrossRef]
- Zhang, W.; Munkholm, L.J.; Liu, X.; An, T.; Xu, Y.; Ge, Z.; Xie, N.; Li, A.; Dong, Y.; Peng, C.; et al. Soil aggregate microstructure and microbial community structure mediate soil organic carbon accumulation: Evidence from one-year field experiment. Geoderma 2023, 430, 116324. [Google Scholar] [CrossRef]
- Yang, Y.; Wu, J.; Zhao, S.; Mao, Y.; Zhang, J.; Pan, X.; He, F.; van der Ploeg, M. Impact of long-term sub-soiling tillage on soil porosity and soil physical properties in the soil profile. Land Degrad. Dev. 2021, 32, 2892–2905. [Google Scholar] [CrossRef]
- Yang, Y.; Wu, J.; Zhao, S.; Gao, C.; Pan, X.; Tang, D.W.; van der Ploeg, M. Effects of long-term super absorbent polymer and organic manure on soil structure and organic carbon distribution in different soil layers. Soil Tillage Res. 2021, 206, 104781. [Google Scholar] [CrossRef]
- Bowles, T.M.; Acosta-Martínez, V.; Calderón, F.; Jackson, L.E. Soil Enzyme Activities, Microbial Communities, and Carbon and Nitrogen Availability in Organic Agroecosystems across an Intensively-Managed Agricultural Landscape. Soil Biol. Biochem. 2014, 68, 252–262. [Google Scholar] [CrossRef]
- Chen, H.; Li, D.; Mao, Q.; Xiao, K.; Wang, K. Resource Limitation of Soil Microbes in Karst Ecosystems. Sci. Total Environ. 2019, 650, 241–248. [Google Scholar] [CrossRef] [PubMed]
- Li, H.; Zhang, Y.; Yang, S.; Wang, Z.; Feng, X.; Liu, H.; Jiang, Y. Variations in Soil Bacterial Taxonomic Profiles and Putative Functions in Response to Straw Incorporation Combined with N Fertilization during the maize Growing Season. Agric. Ecosyst. Environ. 2019, 283, 106578. [Google Scholar] [CrossRef]
- Guaman, V.; Båth, B.; Hagman, J.; Gunnarsson, A.; Persson, P. Short time efects of biological and inter-row subsoiling on yield of potatoes grown on a loamy sand, and on soil penetration resistance, root growth and nitrogen uptake. Eur. J. Agron. 2016, 80, 55–65. [Google Scholar] [CrossRef]
- Chen, H.; Deng, A.; Zhang, W.; Li, W.; Qiao, Y.; Yang, T.; Zheng, C.; Cao, C.; Chen, F. Long-term inorganic plus organic fertilization increases yield and yield stability of winter wheat. Crop J. 2018, 6, 589–599. [Google Scholar] [CrossRef]
- Macholdt, J.; Piepho, H.; Honermeier, B. Mineral NPK and manure fertilisation affecting the yield stability of winter wheat: Results from a long-term field experiment. Eur. J. Agron. 2019, 102, 14–22. [Google Scholar] [CrossRef]






| Treatments | Layer (cm) | Soil Water Content (%) | Soil Bulk Density g cm3 | Porosity | Anisotropy | Fractal Dimension | Circularity | Euler Number |
|---|---|---|---|---|---|---|---|---|
| T15 | 0–15 | 22.01 ± 0.11 c | 1.15 ± 0.03 c | 0.57 ± 0.01 bc | 0.35 ± 0.01 a | 2.70 ± 0.02 b | 0.72 ± 0.01 ab | 12,076 ± 605 b |
| T15+M | 23.01 ± 0.12 a | 1.14 ± 0.03 c | 0.67 ± 0.01 a | 0.30 ± 0.01 c | 2.85 ± 0.07 a | 0.74 ± 0.01 a | 10,078 ± 405 c | |
| T35 | 22.03 ± 0.11 c | 1.30 ± 0.02 a | 0.55 ± 0.01 c | 0.36 ± 0.01 a | 2.55 ± 0.04 c | 0.70 ± 0.02 b | 13,557 ± 584 a | |
| T35+M | 22.52 ± 0.11 b | 1.23 ± 0.03 b | 0.58 ± 0.01 b | 0.32 ± 0.01 b | 2.67 ± 0.03 b | 0.72 ± 0.01 ab | 12,532 ± 382 b | |
| T15 | 15–35 | 18.01 ± 0.10 a | 1.35 ± 0.02 a | 0.37 ± 0.01 c | 0.53 ± 0.02 a | 2.40 ± 0.03 b | 0.61 ± 0.01 b | 24,239 ± 608 a |
| T15+M | 17.99 ± 0.21 a | 1.35 ± 0.05 a | 0.38 ± 0.01 c | 0.52 ± 0.02 a | 2.40 ± 0.03 b | 0.61 ± 0.02 b | 24,146 ± 534 a | |
| T35 | 18.06 ± 0.19 a | 1.20 ± 0.02 b | 0.42 ± 0.02 b | 0.75 ± 0.43 a | 2.50 ± 0.07 a | 0.65 ± 0.02 a | 22,201 ± 576 b | |
| T35+M | 18.01 ± 0.09 a | 1.13 ± 0.01 b | 0.46 ± 0.02 a | 0.48 ± 0.01 a | 2.44 ± 0.03 ab | 0.66 ± 0.01 a | 21,131 ± 409 c | |
| T15 | 0–35 | 19.73 ± 0.10 b | 1.26 ± 0.02 a | 0.46 ± 0.01 c | 0.45 ± 0.01 a | 2.53 ± 0.01 a | 0.66 ± 0.01 b | 19,026 ± 450 a |
| T15+M | 20.14 ± 0.16 a | 1.22 ± 0.04 b | 0.50 ± 0.01 a | 0.42 ± 0.02 a | 2.59 ± 0.05 a | 0.66 ± 0.02 ab | 18,117 ± 436 b | |
| T35 | 19.76 ± 0.14 b | 1.25 ± 0.01 ab | 0.47 ± 0.01 b | 0.58 ± 0.25 a | 2.52 ± 0.05 a | 0.67 ± 0.02 ab | 18,496 ± 265 ab | |
| T35+M | 19.94 ± 0.1 ab | 1.17 ± 0.02 c | 0.51 ± 0.01 a | 0.41 ± 0.01 a | 2.53 ± 0.03 a | 0.69 ± 0.01 a | 17,445 ± 131 c |
| Treatments | Soil Layer (cm) | pH | SOC g kg−1 | TN g kg−1 | TP g kg−1 | TK g kg−1 | AVN mg kg−1 | AVP mg kg−1 | AVK mg kg−1 | DOC mg kg−1 | DON mg kg−1 |
|---|---|---|---|---|---|---|---|---|---|---|---|
| T15 | 0–15 | 7.85 ± 0.06 b | 22.65 ± 0.07 b | 2.31 ± 0.02 b | 0.63 ± 0.01 b | 22.40 ± 0.08 b | 145 ± 2 b | 16.00 ± 0.09 b | 123 ± 2 b | 80 ± 2 c | 15.04 ± 0.27 b |
| T15+M | 7.65 ± 0.05 c | 24.44 ± 0.33 a | 2.40 ± 0.06 a | 0.66 ± 0.02 a | 23.62 ± 0.23 a | 165 ± 4 a | 17.55 ± 0.15 a | 130 ± 4 a | 100 ± 2 a | 20.25 ± 0.51 a | |
| T35 | 7.96 ± 0.03 a | 21.07 ± 0.16 c | 2.20 ± 0.02 c | 0.60 ± 0.02 c | 21.03 ± 0.78 c | 135 ± 2 c | 14.10 ± 0.38 d | 110 ± 3 c | 72 ± 2 d | 13.03 ± 0.29 c | |
| T35+M | 7.85 ± 0.04 b | 22.48 ± 0.24 b | 2.25 ± 0.02 bc | 0.63 ± 0.01 ab | 22.01 ± 0.50 b | 141 ± 3 b | 15.04 ± 0.26 c | 115 ± 4 c | 85 ± 2 b | 15.01 ± 0.23 b | |
| T15 | 15–35 | 8.22 ± 0.04 a | 15.23 ± 0.05 c | 1.58 ± 0.03 c | 0.52 ± 0.03 b | 18.54 ± 0.17 c | 107 ± 2 c | 10.62 ± 0.24 c | 92 ± 3 b | 55 ± 1 c | 10.03 ± 0.23 c |
| T15+M | 8.20 ± 0.03 a | 15.29 ± 0.06 c | 1.61 ± 0.03 c | 0.52 ± 0.02 b | 18.55 ± 0.22 c | 105 ± 4 c | 10.66 ± 0.24 c | 90 ± 3 b | 55 ± 2 c | 10.11 ± 0.36 c | |
| T35 | 8.10 ± 0.02 b | 17.53 ± 0.31 b | 1.75 ± 0.03 b | 0.55 ± 0.01 ab | 19.48 ± 0.39 b | 115 ± 3 b | 12.53 ± 0.23 b | 95 ± 4 ab | 62 ± 2 b | 12.08 ± 0.19 b | |
| T35+M | 7.95 ± 0.05 c | 18.01 ± 0.11 a | 1.86 ± 0.02 a | 0.58 ± 0.03 a | 20.00 ± 0.31 a | 126 ± 4 a | 13.52 ± 0.35 a | 100 ± 5 a | 70 ± 2 a | 13.07 ± 0.17 a | |
| T15 | 0–35 | 8.06 ± 0.01 a | 18.41 ± 0.05 c | 1.89 ± 0.02 c | 0.57 ± 0.02 b | 20.19 ± 0.12 b | 123 ± 1 b | 12.92 ± 0.12 c | 105 ± 3 a | 66 ± 1 b | 12.18 ± 0.23 c |
| T15+M | 7.97 ± 0.03 b | 19.21 ± 0.11 b | 1.94 ± 0.03 b | 0.58 ± 0.01 ab | 20.72 ± 0.16 a | 131 ± 4 a | 13.61 ± 0.15 b | 107 ± 1 a | 74 ± 2 a | 14.46 ± 0.40 a | |
| T35 | 8.04 ± 0.02 a | 19.05 ± 0.21 b | 1.94 ± 0.01 b | 0.57 ± 0.01 b | 20.14 ± 0.46 b | 124 ± 3 b | 13.20 ± 0.18 c | 101 ± 2 b | 67 ± 2 b | 12.49 ± 0.23 c | |
| T35+M | 7.91 ± 0.04 c | 19.92 ± 0.11 a | 2.02 ± 0.02 a | 0.60 ± 0.01 a | 20.86 ± 0.20 a | 132 ± 1 a | 14.17 ± 0.26 a | 107 ± 1 a | 77 ± 0 a | 13.90 ± 0.08 b |
Disclaimer/Publisher’s Note: The statements, opinions and data contained in all publications are solely those of the individual author(s) and contributor(s) and not of MDPI and/or the editor(s). MDPI and/or the editor(s) disclaim responsibility for any injury to people or property resulting from any ideas, methods, instructions or products referred to in the content. |
© 2024 by the authors. Licensee MDPI, Basel, Switzerland. This article is an open access article distributed under the terms and conditions of the Creative Commons Attribution (CC BY) license (https://creativecommons.org/licenses/by/4.0/).
Share and Cite
Liu, C.; Han, X.; Chen, X.; Yan, J.; Lu, X.; Song, B.; Wang, W.; Zou, W.; Ma, X. Inversion Tillage Combined with Organic Fertilizer Application Increased Maize Yield via Improving Soil Pore Structure and Enzymatic Activity in Haplic Chernozem. Agronomy 2024, 14, 927. https://doi.org/10.3390/agronomy14050927
Liu C, Han X, Chen X, Yan J, Lu X, Song B, Wang W, Zou W, Ma X. Inversion Tillage Combined with Organic Fertilizer Application Increased Maize Yield via Improving Soil Pore Structure and Enzymatic Activity in Haplic Chernozem. Agronomy. 2024; 14(5):927. https://doi.org/10.3390/agronomy14050927
Chicago/Turabian StyleLiu, Chunzhu, Xiaozeng Han, Xu Chen, Jun Yan, Xinchun Lu, Bo Song, Wei Wang, Wenxiu Zou, and Xianfa Ma. 2024. "Inversion Tillage Combined with Organic Fertilizer Application Increased Maize Yield via Improving Soil Pore Structure and Enzymatic Activity in Haplic Chernozem" Agronomy 14, no. 5: 927. https://doi.org/10.3390/agronomy14050927
APA StyleLiu, C., Han, X., Chen, X., Yan, J., Lu, X., Song, B., Wang, W., Zou, W., & Ma, X. (2024). Inversion Tillage Combined with Organic Fertilizer Application Increased Maize Yield via Improving Soil Pore Structure and Enzymatic Activity in Haplic Chernozem. Agronomy, 14(5), 927. https://doi.org/10.3390/agronomy14050927

