Effect of Biochar on Apple Yield and Quality in Aged Apple Orchards on the Loess Plateau (China)
Abstract
1. Introduction
2. Materials and Methods
2.1. Experiment Area
2.2. Experiment Design
2.3. Experiment Material
2.4. Indicator Measurement
2.5. Data Analysis and Statistics
3. Results
3.1. Effect of Biochar on Soil Moisture Content
3.2. Effect of Biochar on Soil pH
3.3. Effect of Biochar on Apple Quality
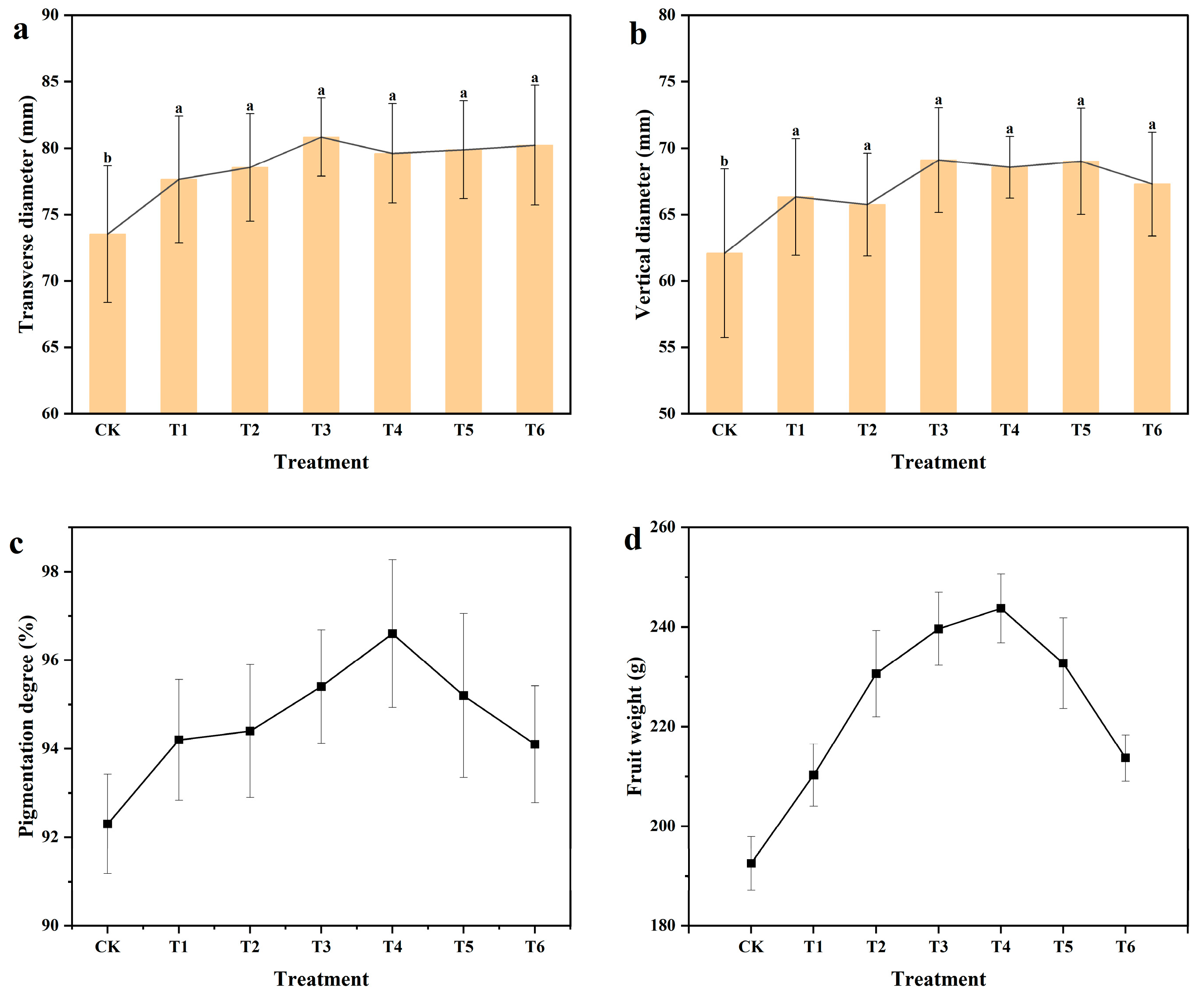
3.3.1. Effect of Biochar on Fruit Appearance Quality
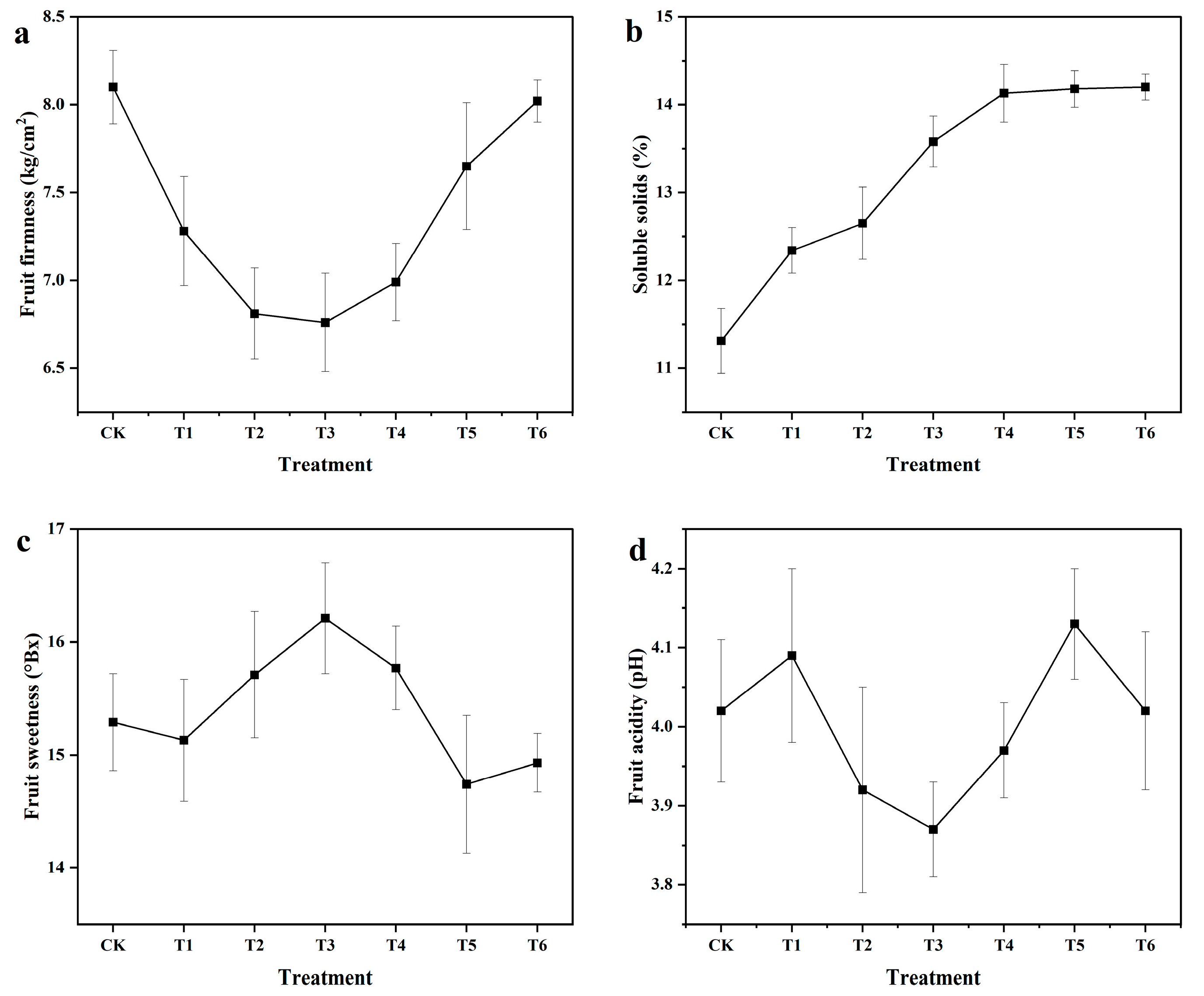
3.3.2. Effect of Biochar on Fruit Intrinsic Quality
3.4. Effect of Biochar on Apple Yield
4. Discussion
4.1. Effect of Biochar on Soil Water Content and pH
4.2. Effect of Biochar on Apple Yield and Quality
5. Conclusions
Supplementary Materials
Author Contributions
Funding
Data Availability Statement
Acknowledgments
Conflicts of Interest
References
- Campeanu, G.; Neata, G.; Darjanschi, G. Chemical composition of the fruits of several apple cultivars growth as biological crop. Not. Bot. Horti Agrobot. Cluj-Napoca 2009, 37, 161–164. [Google Scholar] [CrossRef]
- Li, Z.; Liu, G.; Zhang, X. Review of reaearches on the Valsa canker of apple trees. North Fruits 2013, 4, 1–3, (In Chinese with English Abstract). [Google Scholar]
- Peng, X.; Guo, Z.; Zhang, Y.; Li, J. Simulation of long-term yield and soil water consumption in apple orchards on the Loess Plateau, China, in response to fertilization. Sci. Rep. 2017, 7, 5444. [Google Scholar] [CrossRef]
- Peng, X.; Guo, Z.; Zhang, Y.; Li, J. Quantitative simulation of the effect of longterm organic manure and chemical fertilizer application on water productivity and soil organic carbon contents of apple orchards in Weibei Highland. Plant Nutr. Fertil. 2018, 24, 33–43, (In Chinese with English Abstract). [Google Scholar]
- Li, Z.H.; Ji, Q.; Zhao, S.X.; Wei, B.M.; Wang, X.D.; Hussain, Q. Changes in C and N fractions with composted manure plus chemical fertilizers applied in apple orchard soil: An in-situ field incubation study on the Loess Plateau, China. Soil Use Manag. 2018, 34, 276–285. [Google Scholar] [CrossRef]
- Yan, T.; Xue, J.; Zhou, Z.; Wu, Y. Biochar-based fertilizer amendments improve the soil microbial community structure in a karst mountainous area. Sci. Total Environ. 2021, 794, 148757. [Google Scholar] [CrossRef]
- Pérez-Hernández, H.; Fernández-Luqueño, F.; Huerta-Lwanga, E.; Mendoza-Vega, J.; Álvarez-Solís José, D. Effect of engineered nanoparticles on soil biota: Do they improve the soil quality and crop production or jeopardize them? Land Degrad. Dev. 2020, 31, 2213–2230. [Google Scholar] [CrossRef]
- Wang, F.; Wang, X.; Song, N. Biochar and vermicompost improve the soil properties and the yield and quality of cucumber (Cucumis sativus L.) grown in plastic shed soil continuously cropped for different years. Agric. Ecosyst. Environ. 2021, 315, 107425. [Google Scholar] [CrossRef]
- Khakpour, S.; Hajizadeh, H.S.; Hemati, A.; Bayanati, M.; Nobaharan, K.; Chelan, E.M.; Lajayer, B.A.; Dell, B. The effect of pre-harvest treatment of calcium nitrate and iron chelate on post-harvest quality of apple (Malus domestica Borkh cv. Red Delicious). Sci. Hortic. 2022, 304, 111351. [Google Scholar] [CrossRef]
- Tian, Y.; Zhang, Z.; Zhang, Q.; Yin, R. Research status and countermeasures analysis of biochar. Shanxi Agric. Sci. 2016, 680–681, 714, (In Chinese with English Abstract). [Google Scholar]
- Zhang, A.; Liu, Y.; Pan, G.; Hussain, Q.; Li, L.; Zheng, J.; Zhang, X. Effect of biochar amendment on maize yield and greenhouse gas emissions from a soil organic carbon poor calcareous loamy soil from Central China Plain. Plant Soil 2012, 351, 263–275. [Google Scholar] [CrossRef]
- Mehmood, K.; Li, J.-Y.; Jiang, J.; Masud, M.M.; Xu, R.-K. Effect of low energy-consuming biochars in combination with nitrate fertilizer on soil acidity amelioration and maize growth. Soils Sediments 2017, 17, 790–799. [Google Scholar] [CrossRef]
- Chen, W.; Zhang, W.; Meng, J.; Xu, Z. Research on the application technology of biochar. China Eng. Sci. 2011, 13, 83–89, (In Chinese with English Abstract). [Google Scholar]
- Karhu, K.; Mattila, T.; Bergström, I.; Regina, K. Biochar addition to agricultural soil increased CH4 uptake and water holding capacity–Results from a short-term pilot field study. Agric. Ecosyst. Environ. 2011, 140, 309–313. [Google Scholar] [CrossRef]
- Li, D.; Duan, Y.; Zhang, S. Soil Moisture Measurement and Simulation: A Review. Adv. Earth Sci. 2012, 27, 424–434. [Google Scholar] [CrossRef]
- Chintala, R.; Schumacher, T.E.; Mcdonald, L.M.; Clay, D.E.; Malo, D.D.; Papiernik, S.K. Phosphorus Sorption and Availability From Biochars and Soil/biochar Mixtures. Clean-Soil Air Water 2014, 42, 626–634. [Google Scholar] [CrossRef]
- Jing, Y.; Chen, X.M.; Qiu-Xia, L.I.; Huang, Q.R.; Zhang, J.B.; Chen, C. Effects of Biochar on Ammonium Nitrogen and Nitrate Nitrogen in Red Soil. J. Soil Water Conserv. 2013, 27, 265–269. [Google Scholar]
- Angst, T.E.; Sohi, S.P. Establishing release dynamics for plant nutrients from biochar. GCB Bioenergy 2013, 5, 221–226. [Google Scholar] [CrossRef]
- Van Zwieten, L.; Kimber, S.; Morris, S.; Chan, K.Y.; Downie, A.; Rust, J.; Joseph, S.; Cowie, A. Effects of biochar from slow pyrolysis of papermill waste on agronomic performance and soil fertility. Plant Soil 2010, 327, 235–246. [Google Scholar] [CrossRef]
- Kimetu, J.M.; Lehmann, J. Stability and stabilisation of biochar and green manure in soil with different organic carbon contents. Soil Res. 2010, 48, 577–585. [Google Scholar] [CrossRef]
- Spokas, K.A.; Novak, J.M.; Venterea, R.T. Biochar’s role as an alternative N-fertilizer: Ammonia capture. Plant Soil. 2012, 350, 35–42. [Google Scholar] [CrossRef]
- GB/T 19587-2004; Gas Adsorption BET Method of Solid Material Specific Surface Area. Standards of China (GB): Beijing, China, 2004.
- Dugan, E.; Verhoef, A.; Robinson, S.; Sohi, S.; Gilkes, R.J.; Prakpongkep, N. Bio-Char from Sawdust, Maize Stover and Charcoal: Impact on Water Holding Capacities (WHC) of Three Soils from Ghana, 19th World Congress of Soil Science: Soil Solutions for a Changing World, Brisbane, Queensland, Australia. Available online: https://www.cabidigitallibrary.org/doi/full/10.5555/20113353882 (accessed on 1 August 2010).
- Bu, X.; Xue, J. Research progress on the effects of biochar on soil habitat and plant growth. J. Ecol. Environ. 2014, 3, 535–540, (In Chinese with English Abstract). [Google Scholar] [CrossRef]
- Xu, N.-N.; Lin, D.-S.; Xu, Y.-M.; Xie, Z.-L.; Peng, Q.-H.; Guo, W.-J. Application of biochar in soil improvement and heavy metal pollution treatment. J. Agric. Resour. Environ. 2013, 4, 29–34, (In Chinese with English Abstract). [Google Scholar]
- Huang, M.; Yang, L.; Qin, H.; Jiang, L.; Zou, Y. Fertilizer nitrogen uptake by rice increased by biochar application. Biol Fertil Soils 2014, 50, 997–1000. [Google Scholar] [CrossRef]
- Partey, S.T.; Preziosi, R.F.; Robson, G.D. Short-Term Interactive Effects of Biochar, Green Manure, and Inorganic Fertilizer on Soil Properties and Agronomic Characteristics of Maize. Agric Res. 2014, 3, 128–136. [Google Scholar] [CrossRef]
- He, F.; Rong, X.; Liang, Y.; Wu, A.; Liu, Q. Effects of biochar on physicochemical properties and N2O and CO2 emissions from red soil vegetable fields. J. Agric. Environ. Sci. 2013, 32, 1893–1900, (In Chinese with English Abstract). [Google Scholar]
- Han, X.; Ge, Y.; Li, N.; Chen, K.; Yang, J.; Zhan, X.; Luo, P.; Liu, N. Effects of continuous application of biochar on soil physicochemical properties and nitrogen fertilizer utilization. J. Shenyang Agric. Univ. 2017, 48, 392–398, (In Chinese with English Abstract). [Google Scholar]
- Laird, D.; Fleming, P.; Wang, B.Q.; Horton, R.; Karlen, D. Biochar Impact on Nutrient Leaching from a Midwestern Agricultural Soil. Geoderma 2010, 158, 436–442. [Google Scholar] [CrossRef]
- Liu, S. Microecological Mechanism of Biochar Affecting the Effectiveness of Soil Phosphorus and Potassium. Ph.D. Thesis, Shenyang Agricultural University, Shenyang, China, 2016. (In Chinese with English Abstract). [Google Scholar]
- Prendergast-Miller, M.T.; Duvalla, M.; Sohia, S.P. Biochar-root interactions are mediated by biochar nutrient contentand impacts on soil nutrient availability. Eur. J. Soil Sci. 2014, 65, 173–185. [Google Scholar] [CrossRef]
- Butnan, S.; Deenik, J.L.; Toomsan, B.Y. Biochar chara-cteristics and application rates affecting corn growth and properties of soils contrasting in texture and mineralogy. Geoderma 2015, 237–238, 105–116. [Google Scholar] [CrossRef]
- Fang, B.; Li, X.; Zhao, B.; Zhong, L. Effects of biochar on soil physicochemical properties and crop yield in dry-crop farmland. J. Ecol. Environ. 2014, 8, 1292–1297, (In Chinese with English Abstract). [Google Scholar]
- Renner, R. Rethinking Biochar. Environ. Sci. Technol. 2007, 41, 5932. [Google Scholar] [CrossRef] [PubMed]





| Treatment | CK | T1 | T2 | T3 | T4 | T5 | T6 |
|---|---|---|---|---|---|---|---|
| Biochar application (kg/plant) | 0 | 2 | 4 | 6 | 8 | 10 | 12 |
| Compound fertilizer (kg/plant) | 15 | 15 | 15 | 15 | 15 | 15 | 15 |
| Treatment | November 2020 | November 2021 | November 2022 |
|---|---|---|---|
| CK | 8.63 ± 0.11 a | 8.66 ± 0.08 b | 8.64 ± 0.12 c |
| T1 | 8.45 ± 0.10 b | 8.61 ± 0.09 b | 8.70 ± 0.05 c |
| T2 | 8.50 ± 0.10 b | 8.68 ± 0.07 b | 8.79 ± 0.12 bc |
| T3 | 8.56 ± 0.09 ab | 8.77 ± 0.04 ab | 8.88 ± 0.08 b |
| T4 | 8.61 ± 0.08 ab | 8.85 ± 0.09 ab | 8.98 ± 0.03 ab |
| T5 | 8.64 ± 0.06 a | 8.91 ± 0.06 a | 9.05 ± 0.02 ab |
| T6 | 8.54 ± 0.07 ab | 8.96 ± 0.07 a | 9.11 ± 0.04 a |
| Treatment | CK | T1 | T2 | T3 | T4 | T5 | T6 |
|---|---|---|---|---|---|---|---|
| Fruit shape index | 0.84 | 0.85 | 0.84 | 0.85 | 0.86 | 0.86 | 0.84 |
Disclaimer/Publisher’s Note: The statements, opinions and data contained in all publications are solely those of the individual author(s) and contributor(s) and not of MDPI and/or the editor(s). MDPI and/or the editor(s) disclaim responsibility for any injury to people or property resulting from any ideas, methods, instructions or products referred to in the content. |
© 2024 by the authors. Licensee MDPI, Basel, Switzerland. This article is an open access article distributed under the terms and conditions of the Creative Commons Attribution (CC BY) license (https://creativecommons.org/licenses/by/4.0/).
Share and Cite
Li, W.; Gao, J.; Zhou, S.; Zhou, F. Effect of Biochar on Apple Yield and Quality in Aged Apple Orchards on the Loess Plateau (China). Agronomy 2024, 14, 1125. https://doi.org/10.3390/agronomy14061125
Li W, Gao J, Zhou S, Zhou F. Effect of Biochar on Apple Yield and Quality in Aged Apple Orchards on the Loess Plateau (China). Agronomy. 2024; 14(6):1125. https://doi.org/10.3390/agronomy14061125
Chicago/Turabian StyleLi, Wenzheng, Jianen Gao, Shuang Zhou, and Fanfan Zhou. 2024. "Effect of Biochar on Apple Yield and Quality in Aged Apple Orchards on the Loess Plateau (China)" Agronomy 14, no. 6: 1125. https://doi.org/10.3390/agronomy14061125
APA StyleLi, W., Gao, J., Zhou, S., & Zhou, F. (2024). Effect of Biochar on Apple Yield and Quality in Aged Apple Orchards on the Loess Plateau (China). Agronomy, 14(6), 1125. https://doi.org/10.3390/agronomy14061125
