Prediction of Strawberry Quality during Maturity Based on Hyperspectral Technology
Abstract
1. Introduction
2. Materials and Methods
2.1. Research Materials and Research Sites
2.2. Strawberry Sample Collection and Processing
2.3. Hyperspectral Data
2.4. Measurement of Strawberry Indicators
2.4.1. Anthocyanin Content
2.4.2. Strawberry Hardness
2.4.3. Soluble Solids Content
2.4.4. Titratable Acids
2.5. Data Analysis Methods
2.5.1. Hyperspectral Preprocessing, Feature Band Extraction and Dataset Partitioning
2.5.2. Model Establishment
2.5.3. Model Performance
3. Results
3.1. Strawberry Quality Content Analysis
3.2. Hyperspectral Data Preprocessing Analysis
3.3. Hyperspectral Data Feature Extraction
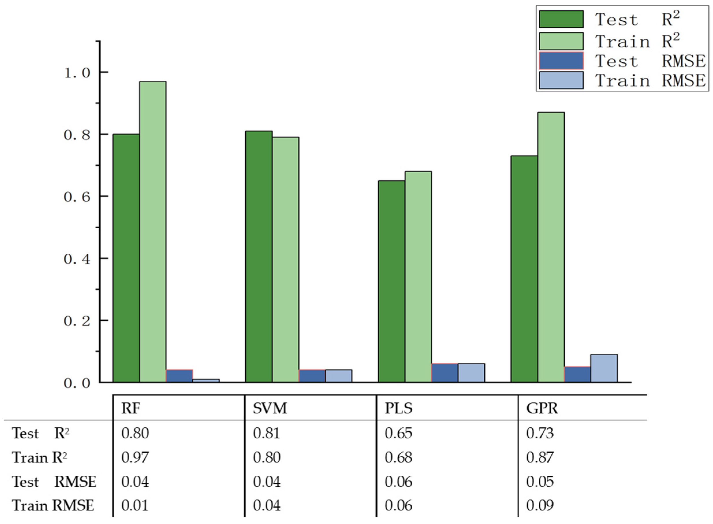
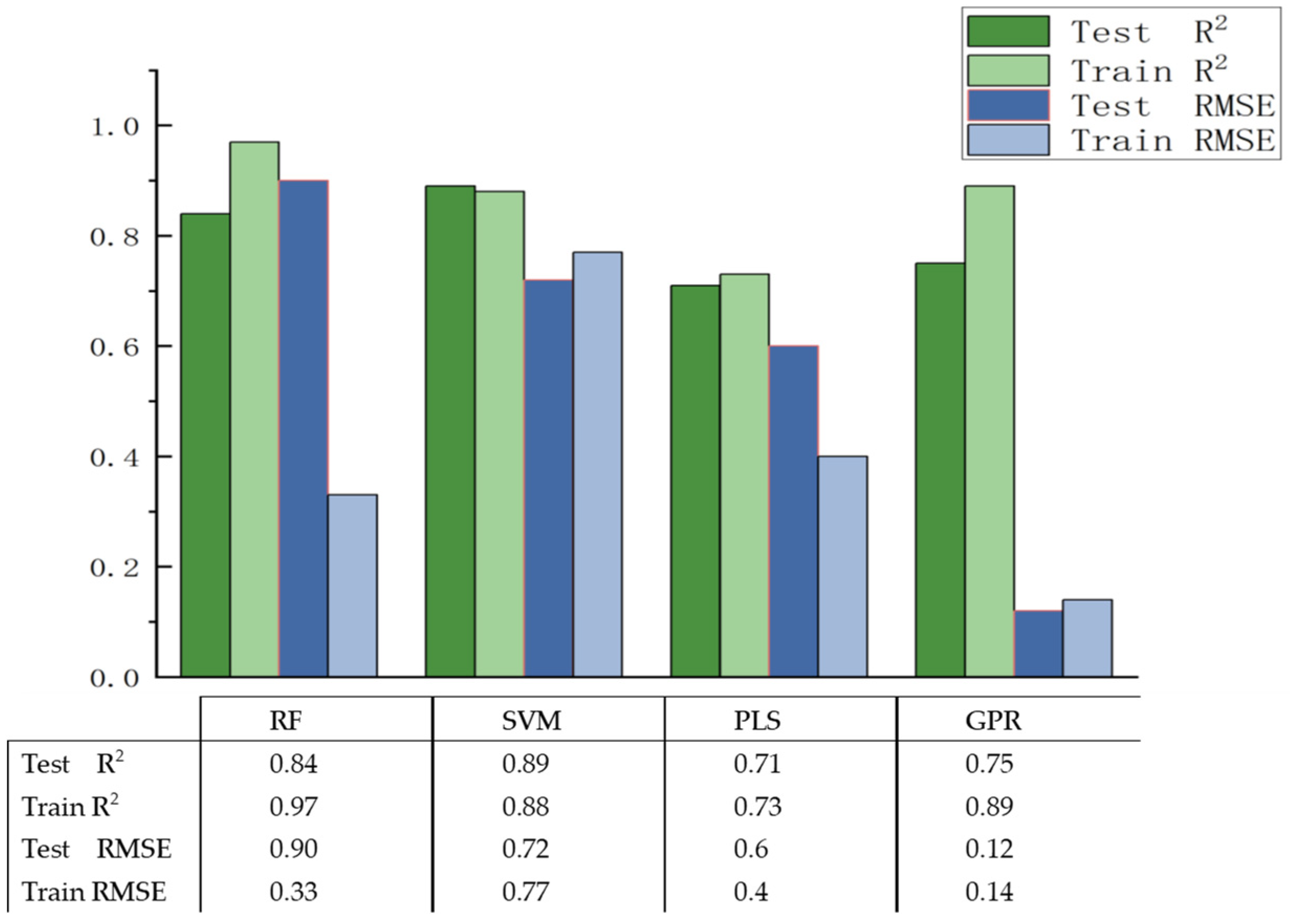
3.4. Performance of Strawberry Quality Prediction Models
3.4.1. Anthocyanins Model Prediction Results
3.4.2. Hardness Model Prediction Results
3.4.3. SCC Model Prediction Results
3.4.4. Titratable Acids Model Prediction Results
3.5. Model Confirmation
4. Discussion
5. Conclusions
Author Contributions
Funding
Data Availability Statement
Conflicts of Interest
References
- Milosavljević, D.M.; Mutavdžić, D.R.; Radotić, K.; Milivojević, J.M.; Maksimović, V.M.; Maksimović, J.J.D. Phenolic profiling of 12 strawberry cultivars using different spectroscopic methods. J. Agric. Food Chem. 2020, 68, 4346–4354. [Google Scholar] [CrossRef] [PubMed]
- Liu, Z.; Liang, T.; Kang, C. Molecular bases of strawberry fruit quality traits: Advances, challenges, and opportunities. Plant Physiol. 2023, 193, 900–914. [Google Scholar] [CrossRef] [PubMed]
- Henning, S.M.; Seeram, N.P.; Zhang, Y.; Li, L.; Gao, K.; Lee, R.-P.; Wang, D.C.; Zerlin, A.; Karp, H.; Thames, G.; et al. Strawberry consumption is associated with increased antioxidant capacity in serum. J. Med. Food 2010, 13, 116–122. [Google Scholar] [CrossRef] [PubMed]
- Skrovankova, S.; Sumczynski, D.; Mlcek, J.; Jurikova, T.; Sochor, J. Bioactive compounds and antioxidant activity in different types of berries. Int. J. Mol. Sci. 2015, 16, 24673–24706. [Google Scholar] [CrossRef]
- Zacharaki, A.K.; Monaghan, J.M.; Bromley, J.R.; Vickers, L.H. Opportunities and challenges for strawberry cultivation in urban food production systems. Plants People Planet 2024, 6, 611–621. [Google Scholar] [CrossRef]
- Hernández-Martínez, N.R.; Blanchard, C.; Wells, D.; Salazar-Gutiérrez, M.R. Current state and future perspectives of commercial strawberry production: A review. Sci. Hortic. 2023, 312, 111893. [Google Scholar] [CrossRef]
- Shamaila, M.; Baumann, T.; Eaton, G.; Powrie, W.; Skura, B. Quality Attributes of Strawberry Cultivars Grown in British Columbia. J. Food Sci. 1992, 57, 696–699. [Google Scholar] [CrossRef]
- Pădureț, S.; Oroian, M.; Gutt, G.; Amariei, S. Evaluation of strawberry texture in close relation with their anisotropy. Int. J. Food Prop. 2016, 20, 247–259. [Google Scholar] [CrossRef]
- Jouquand, C.; Chandler, C.; Plotto, A.; Goodner, K. A sensory and chemical analysis of fresh strawberries over harvest dates and seasons reveals factors that affect eating quality. J. Am. Soc. Hortic. Sci. 2008, 133, 859–867. [Google Scholar] [CrossRef]
- Kopjar, M.; Pilizota, V.; Hribar, J.; Tiban, N.N.; Subaric, D.; Babic, J.; Pozrl, T. Influence of Trehalose Addition On Instrumental Textural Properties of Strawberry Pastes. Int. J. Food Prop. 2008, 11, 646–655. [Google Scholar] [CrossRef][Green Version]
- Tanaka, Y.; Sasaki, N.; Ohmiya, A. Biosynthesis of plant pigments: Anthocyanins, betalains and carotenoids. Plant J. 2008, 54, 733–749. [Google Scholar] [CrossRef] [PubMed]
- Liu, Y.; Tikunov, Y.; Schouten, R.E.; Marcelis, L.F.M.; Visser, R.G.F.; Bovy, A. Anthocyanin Biosynthesis and Degradation Mechanisms in Solanaceous Vegetables: A Review. Front. Chem. 2018, 6, 52. [Google Scholar] [CrossRef] [PubMed]
- Navas, M.J.; Jiménez-Moreno, A.M.; Bueno, J.M.; Sáez-Plaza, P.; Asuero, A.G. Analysis and Antioxidant Capacity of Antho-cyanin Pigments. Part IV: Extraction of Anthocyanins. Crit. Rev. Anal. Chem. 2012, 42, 313–342. [Google Scholar] [CrossRef]
- Landi, M.; Tattini, M.; Gould, K.S. Multiple functional roles of anthocyanins in plant-environment interactions. Environ. Exp. Bot. 2015, 119, 4–17. [Google Scholar] [CrossRef]
- Lev-Yadun, S.; Gould, K.S. Role of Anthocyanins in Plant Defence. In Anthocyanins: Biosynthesis, Functions, and Applications; Springer: New York, NY, USA, 2008; pp. 22–28. [Google Scholar] [CrossRef]
- Wang, L.S.; Stoner, G.D. Anthocyanins and their role in cancer prevention. Cancer Lett. 2008, 269, 281–290. [Google Scholar] [CrossRef]
- Baltacıoğlu, C.; Keskin, O.; Baltacıoğlu, H.; Ağçam, E. Encapsulation and drying methods in the production of powdered red cabbage (Brassica oleracea L.): Chemometrics and Fourier transform infrared spectroscopy. Food Sci. Technol. Int. 2024, 10820132241238261. [Google Scholar] [CrossRef]
- Taghavi, T.; Patel, H.; Akande, O.E.; Galam, D.C.A. Total anthocyanin content of strawberry and the profile changes by extraction methods and sample processing. Foods 2022, 11, 1072. [Google Scholar] [CrossRef]
- Steele, M.R.; Gitelson, A.A.; Rundquist, D.C.; Merzlyak, M.N. Nondestructive estimation of anthocyanin content in grapevine leaves. Am. J. Enol. Vitic. 2009, 60, 87–92. [Google Scholar] [CrossRef]
- Gutiérrez, S.; Tardaguila, J.; Fernández-Novales, J.; Diago, M. On-the-go hyperspectral imaging for the in-field estimation of grape berry soluble solids and anthocyanin concentration. Aust. J. Grape Wine Res. 2019, 25, 127–133. [Google Scholar] [CrossRef]
- Zhu, M.; Huang, D.; Hu, X.-J.; Tong, W.-H.; Han, B.-L.; Tian, J.-P.; Luo, H.-B. Application of hyperspectral technology in detection of agricultural products and food: A Review. Food Sci. Nutr. 2020, 8, 5206–5214. [Google Scholar] [CrossRef]
- Cho, J.S.; Lim, J.H.; Park, K.J.; Choi, J.H.; Ok, G.S. Prediction of pelargonidin-3-glucoside in strawberries according to the postharvest distribution period of two ripening stages using VIS-NIR and SWIR hyperspectral imaging technology. LWT 2021, 141, 110875. [Google Scholar] [CrossRef]
- Siedliska, A.; Baranowski, P.; Zubik, M.; Mazurek, W.; Sosnowska, B. Detection of fungal infections in strawberry fruit by VNIR/SWIR hyperspectral imaging. Postharvest Biol. Technol. 2018, 139, 115–126. [Google Scholar] [CrossRef]
- Chen, S.; Zhang, F.; Ning, J.; Liu, X.; Zhang, Z.; Yang, S. Predicting the anthocyanin content of wine grapes by NIR hyperspectral imaging. Food Chem. 2015, 172, 788–793. [Google Scholar] [CrossRef] [PubMed]
- Savitzky, A.; Golay, M.J. Soothing and differentiation of data by simplified least squares procedures. Anal. Chem. 1964, 36, 1627–1639. [Google Scholar] [CrossRef]
- Mo, C.; Kim, M.S.; Kim, G.; Lim, J.; Delwiche, S.R.; Chao, K.; Lee, H.; Cho, B.-K. Spatial assessment of soluble solid contents on apple slices using hyperspectral imaging. Biosyst. Eng. 2017, 159, 10–21. [Google Scholar] [CrossRef]
- Raj, R.; Cosgun, A.; Kulić, D. Strawberry water content estimation and ripeness classification using hyperspectral sensing. Agronomy 2022, 12, 425. [Google Scholar] [CrossRef]
- Xie, C.; Chu, B.; He, Y. Prediction of banana color and firmness using a novel wavelengths selection method of hyperspectral imaging. Food Chem. 2018, 245, 132–140. [Google Scholar] [CrossRef]
- Xu, M.; Sun, J.; Yao, K.; Wu, X.; Shen, J.; Cao, Y.; Zhou, X. Nondestructive detection of total soluble solids in grapes using VMD-RC and hyperspectral imaging. J. Food Sci. 2021, 87, 326–338. [Google Scholar] [CrossRef]
- Fan, S.; Huang, W.; Guo, Z.; Zhang, B.; Zhao, C. Prediction of soluble solids content and firmness of pears using hyperspectral reflectance imaging. Food Anal. Methods 2015, 8, 1936–1946. [Google Scholar] [CrossRef]
- Pirie, A.; Mullins, M.G. Changes in anthocyanin and phenolics content of grapevine leaf and fruit tissues treated with sucrose, nitrate, and abscisic acid. Plant Physiol. 1976, 58, 468–472. [Google Scholar] [CrossRef]
- Harker, F.; Elgar, H.; Watkins, C.B.; Jackson, P.J.; Hallett, I.C. Physical and mechanical changes in strawberry fruit after high carbon dioxide treatments. Postharvest Biol. Technol. 2000, 19, 139–146. [Google Scholar] [CrossRef]
- Kader, A.A. Fruit maturity, ripening, and quality relationships. In Proceedings of the International Symposium Effect of Pre- & Postharvest Factors in Fruit Storage 485, Warsaw, Poland, 3–7 August 1997; pp. 203–208. [Google Scholar] [CrossRef]
- Toacute, V. Sequential determination of titratable acidity and tartaric acid in wines by flow injection spectrophotometry. Analyst 1998, 123, 661–664. [Google Scholar] [CrossRef]
- Yue, J.; Yang, G.; Feng, H. Comparative of remote sensing estimation models of winter wheat biomass based on random forest algorithm. Trans. Chin. Soc. Agric. Eng. 2016, 32, 175–182. [Google Scholar] [CrossRef]
- Vines, L.L.; Kays, S.E.; Koehler, P.E. Near-infrared reflectance model for the rapid prediction of total fat in cereal foods. J. Agric. Food Chem. 2005, 53, 1550–1555. [Google Scholar] [CrossRef] [PubMed]
- Li, Z.; Song, J.; Ma, Y.; Yu, Y.; He, X.; Guo, Y.; Dou, J.; Dong, H. Identification of aged-rice adulteration based on near-infrared spectroscopy combined with partial least squares regression and characteristic wavelength variables. Food Chem. X 2023, 17, 100539. [Google Scholar] [CrossRef] [PubMed]
- Rasmussen, C.E. Gaussian processes in machine learning. In Summer School on Machine Learning; Springer: Berlin/Heidelberg, Germany, 2003; pp. 63–71. [Google Scholar]
- Bruning, B.; Liu, H.; Brien, C.; Berger, B.; Lewis, M.; Garnett, T. The development of hyperspectral distribution maps to predict the content and distribution of nitrogen and water in wheat (Triticum aestivum). Front. Plant Sci. 2019, 10, 1380. [Google Scholar] [CrossRef] [PubMed]
- Zhang, J.; Liu, L.; Chen, Y.; Rao, Y.; Zhang, X.; Jin, X. The Nondestructive Model of Near-Infrared Spectroscopy with Different Pretreatment Trans-formation for Predicting “Dangshan” Pear Woolliness Disease. Agronomy 2023, 13, 1420. [Google Scholar] [CrossRef]
- Guo, C.; Zhang, J.; Cai, W.; Shao, X. Enhancing Transferability of Near-Infrared Spectral Models for Soluble Solids Content Prediction across Different Fruits. Appl. Sci. 2023, 13, 5417. [Google Scholar] [CrossRef]
- Ouyang, A.-G.; Xie, X.-Q.; Zhou, Y.-R.; Liu, Y.-D. Partial least squares regression variable screening studies on apple soluble solids NIR spectral detection. Spectrosc. Spectr. Anal. 2012, 32, 2680–2684. [Google Scholar] [CrossRef]
- Liu, M.; Liu, M.; Bai, L.; Shang, W.; Ren, R.; Zhao, Z.; Sun, Y. Establishing a Berry Sensory Evaluation Model Based on Machine Learning. Foods 2023, 12, 3502. [Google Scholar] [CrossRef]
- Basak, J.K.; Madhavi, B.G.K.; Paudel, B.; Kim, N.E.; Kim, H.T. Prediction of total soluble solids and pH of strawberry fruits using RGB, HSV and HSL colour spaces and machine learning models. Foods 2022, 11, 2086. [Google Scholar] [CrossRef]
- Sarkar, S.; Basak, J.K.; Moon, B.E.; Kim, H.T. A Comparative study of PLSR and SVM-R with various preprocessing techniques for the quantitative determination of soluble solids content of hardy Kiwi fruit by a portable Vis/NIR spectrometer. Foods 2020, 9, 1078. [Google Scholar] [CrossRef]







| Strawberry Quality | Mature Stage | Maximum | Minimum | Mean | Standard Deviation |
|---|---|---|---|---|---|
| Anthocyanin content (mg/g) | Color change period | 0.51 | 0.34 | 0.41 | 0.04 |
| Half-red period | 0.34 | 0.24 | 0.29 | 0.02 | |
| All-red period | 0.24 | 0.10 | 0.16 | 0.03 | |
| Strawberry hardness (kg/cm2) | Color change period | 2.41 | 1.03 | 1.87 | 0.38 |
| Half-red period | 3.42 | 2.45 | 2.90 | 0.29 | |
| All-red period | 4.70 | 3.44 | 4.02 | 0.33 | |
| Soluble solids content (%) | Color change period | 13.5 | 11.0 | 12.39 | 0.78 |
| Half-red period | 11.0 | 8.5 | 9.73 | 0.80 | |
| All-red period | 8.5 | 6.0 | 7.09 | 0.78 | |
| Titratable acids (%) | Color change period | 0.30 | 0.15 | 0.21 | 0.04 |
| Half-red period | 0.40 | 0.23 | 0.32 | 0.04 | |
| All-red period | 0.52 | 0.30 | 0.43 | 0.03 |
| Strawberry Indicators | Preprocessing Method | Number of Feature Bands | Maximum Correlation Coefficient |
|---|---|---|---|
| Anthocyanin content | SG | 20 | 0.77 |
| Strawberry hardness | SG | 20 | 0.78 |
| Soluble solids content | SG | 20 | 0.78 |
| Titratable acids | SG | 20 | 0.57 |
Disclaimer/Publisher’s Note: The statements, opinions and data contained in all publications are solely those of the individual author(s) and contributor(s) and not of MDPI and/or the editor(s). MDPI and/or the editor(s) disclaim responsibility for any injury to people or property resulting from any ideas, methods, instructions or products referred to in the content. |
© 2024 by the authors. Licensee MDPI, Basel, Switzerland. This article is an open access article distributed under the terms and conditions of the Creative Commons Attribution (CC BY) license (https://creativecommons.org/licenses/by/4.0/).
Share and Cite
Fan, L.; Yu, J.; Zhang, P.; Xie, M. Prediction of Strawberry Quality during Maturity Based on Hyperspectral Technology. Agronomy 2024, 14, 1450. https://doi.org/10.3390/agronomy14071450
Fan L, Yu J, Zhang P, Xie M. Prediction of Strawberry Quality during Maturity Based on Hyperspectral Technology. Agronomy. 2024; 14(7):1450. https://doi.org/10.3390/agronomy14071450
Chicago/Turabian StyleFan, Li, Jiacheng Yu, Peng Zhang, and Min Xie. 2024. "Prediction of Strawberry Quality during Maturity Based on Hyperspectral Technology" Agronomy 14, no. 7: 1450. https://doi.org/10.3390/agronomy14071450
APA StyleFan, L., Yu, J., Zhang, P., & Xie, M. (2024). Prediction of Strawberry Quality during Maturity Based on Hyperspectral Technology. Agronomy, 14(7), 1450. https://doi.org/10.3390/agronomy14071450
