Glyphosate Hormesis Improves Agronomic Characteristics and Yield of Glyphosate-Resistant Soybean Under Field Conditions
Abstract
1. Introduction
2. Materials and Methods
2.1. Description of Study Sites
2.2. Glyphosate Hormetic Treatments
2.3. Evaluated Parameters
2.4. Statistical Analysis
3. Results
3.1. Dry Mass
3.2. Root Nodules
3.3. Nutrient Composition
3.4. Plant Height
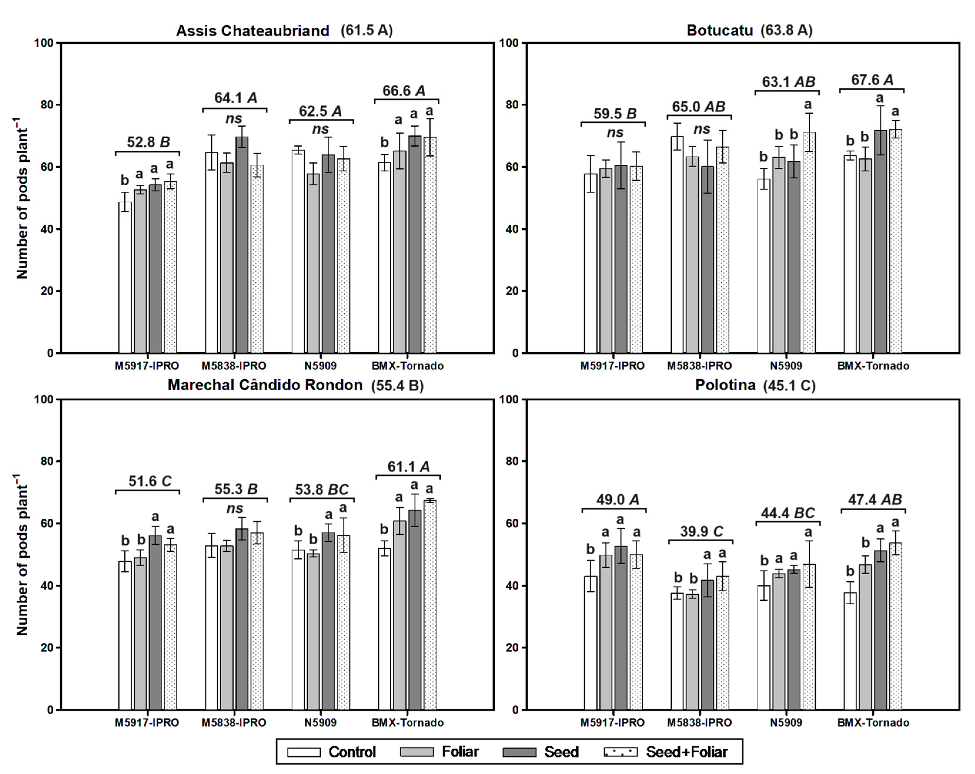
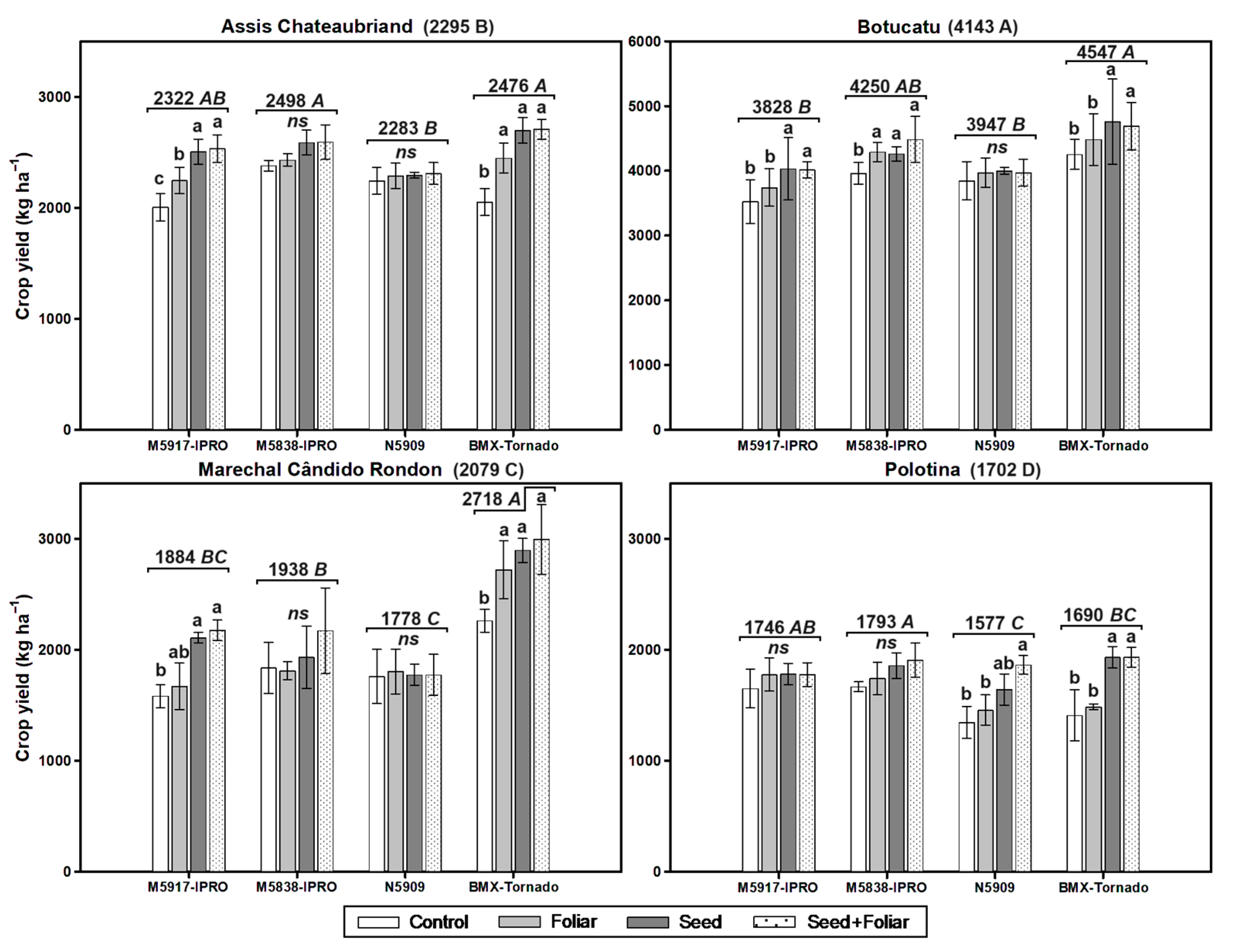
3.5. Pods and Yield
4. Discussion
5. Conclusions
Supplementary Materials
Author Contributions
Funding
Data Availability Statement
Acknowledgments
Conflicts of Interest
References
- USDA—United States Department of Agriculture. Soybean Explorer. Available online: https://ipad.fas.usda.gov/cropexplorer/cropview/commodityView.aspx?cropid=2222000 (accessed on 25 June 2024).
- EMBRAPA—Empresa Brasileira de Pesquisa Agropecuária. Soja em Números (Safra 2022/23). Available online: https://www.embrapa.br/soja/cultivos/soja1/dados-economicos (accessed on 25 June 2024).
- Battisti, R.; Sentelhas, P.C.; Pascoalino, J.A.L.; Sako, H.; de Sá Dantas, J.P.; Moraes, M.F. Soybean yield gap in the areas of yield contest in Brazil. Int. J. Plant Prod. 2018, 12, 159–168. [Google Scholar] [CrossRef]
- Lamichhane, J.R.; Devos, Y.; Beckie, H.J.; Owen, M.D.; Tillie, P.; Messéan, A.; Kudsk, P. Integrated weed management systems with herbicide-tolerant crops in the European Union: Lessons learnt from home and abroad. Crit. Rev. Biotechnol. 2017, 37, 459–475. [Google Scholar] [CrossRef] [PubMed]
- Alcántara-de la Cruz, R.; Oliveira, G.M.; Carvalho, L.B.; Silva, M.F.G.F. Herbicide resistance in Brazil: Status, impacts, and future challenges. In Pests, Weeds and Diseases in Agricultural Crop and Animal Husbandry Production; Kontogiannatos, D., Kourti, A., Ferreira, K.F., Eds.; IntechOpen: London, UK, 2020; pp. 153–178. [Google Scholar]
- ISAAA—International Service for the Acquisition of Agri-Biotech Applications. Global Status of Commercialized Biotech/GM Crops: 2019. Available online: https://www.isaaa.org/resources/publications/briefs/55/default.asp (accessed on 25 June 2024).
- Dill, G.M.; Cajacob, C.A.; Padgette, S.R. Glyphosate-resistant crops: Adoption, use and future considerations. Pest Manag. Sci. 2008, 64, 326–331. [Google Scholar] [CrossRef] [PubMed]
- CTNBIO—Comissão Técnica Nacional de Biossegurança. Liberações Comerciais—Plantas. Available online: http://ctnbio.mcti.gov.br/liberacao-comercial#/liberacao-comercial/consultar-processo (accessed on 25 June 2024).
- Brito, I.P.; Tropaldi, L.; Carbonari, C.A.; Velini, E.D. Hormetic effects of glyphosate on plants. Pest Manag. Sci. 2018, 74, 1064–1070. [Google Scholar] [CrossRef] [PubMed]
- Velini, E.D.; Alves, E.; Godoy, M.C.; Meschede, D.K.; Souza, R.T.; Duke, S.O. Glyphosate applied at low doses can stimulate plant growth. Pest Manag. Sci. 2008, 64, 489–496. [Google Scholar] [CrossRef] [PubMed]
- Bortolheiro, F.P.A.P.; Silva, M.A. Low doses of glyphosate can affect the nutrient composition of common beans depending on the sowing season. Sci. Total Environ. 2021, 794, 148733. [Google Scholar] [CrossRef]
- Carvalho, L.B.; Alves, P.L.; Duke, S.O. Hormesis with glyphosate depends on coffee growth stage. An. Acad. Bras. Ciênc. 2013, 85, 813–822. [Google Scholar] [CrossRef] [PubMed]
- Nascentes, R.F.; Carbonari, C.A.; Simões, P.S.; Brunelli, M.C.; Velini, E.D.; Duke, S.O. Low doses of glyphosate enhance growth, CO2 assimilation, stomatal conductance and transpiration in sugarcane and eucalyptus. Pest Manag. Sci. 2018, 74, 1197–1205. [Google Scholar] [CrossRef]
- Pincelli-Souza, R.P.; Bortolheiro, F.P.; Carbonari, C.A.; Velini, E.D.; Silva, M.A. Hormetic effect of glyphosate persists during the entire growth period and increases sugarcane yield. Pest Manag. Sci. 2020, 76, 2388–2394. [Google Scholar] [CrossRef]
- Belz, R.G.; Cedergreen, N.; Duke, S.O. Herbicide hormesis–can it be useful in crop production? Weed Res. 2011, 51, 321–332. [Google Scholar] [CrossRef]
- Belz, R.G.; Duke, S.O. Herbicides and plant hormesis. Pest Manag. Sci. 2021, 70, 698–707. [Google Scholar] [CrossRef]
- Anunciato, V.M.; Bianchi, L.; Gomes, G.L.; Velini, E.D.; Duke, S.O.; Carbonari, C.A. Effect of low glyphosate doses on flowering and seed germination of glyphosate-resistant and-susceptible Digitaria insularis. Pest Manag. Sci. 2022, 78, 1227–1239. [Google Scholar] [CrossRef] [PubMed]
- Nadeem, M.A.; Abbas, T.; Tanveer, A.; Maqbool, R.; Zohaib, A.; Shehzad, M.A. Glyphosate hormesis in broad-leaved weeds: A challenge for weed management. Arch. Agron. Soil Sci. 2017, 63, 44–351. [Google Scholar]
- Belz, R.G.; Carbonari, C.A.; Duke, S.O. The potential influence of hormesis on evolution of resistance to herbicides. Curr. Opin. Environ. Sci. Health 2022, 27, 100360. [Google Scholar] [CrossRef]
- Sharma, K.K.; Singh, U.S.; Sharma, P.; Kumar, A.; Sharma, L. Seed treatments for sustainable agriculture—A review. J. Appl. Nat. Sci. 2015, 7, 521–539. [Google Scholar] [CrossRef]
- Gaspar, A.A.P.; Marburger, D.A.; Mourtzinis, S.; Conley, S.P. Soybean seed yield response to multiple seed treatment components across diverse environments. Agron. J. 2014, 106, 1955–1962. [Google Scholar] [CrossRef]
- Duke, S.O. Glyphosate: Environmental fate and impact. Weed Sci. 2020, 68, 201–207. [Google Scholar] [CrossRef]
- Krenchinski, F.H.; Costa, R.N.; Pereira, V.G.C.; Bevilaqua, N.C.; Alcántara-de la Cruz, R.; Velini, E.D.; Carbonari, C.A. Glyphosate hormesis induced by treatment via seed stimulates the growth and biomass accumulation in soybean seedlings. Sci. Total Environ. 2024, 918, 170387. [Google Scholar] [CrossRef] [PubMed]
- Sfredo, G.J. Calagem e Adubação da Soja. Circular Técnica 61—EMBRAPA. Available online: https://www.embrapa.br/busca-de-publicacoes/-/publicacao/470943/calagem-e-adubacao-da-soja (accessed on 25 June 2024).
- Malavolta, E.A.; Vitti, G.C.; Oliveira, S.A. Avaliação do Estado Nutricional das Plantas: Princípios e Aplicações; POTAFOS: Piracicaba, Brazil, 1997. [Google Scholar]
- Cedergreen, N. Is the growth stimulation by low doses of glyphosate sustained over time? Environ. Pollut. 2008, 156, 1099–1104. [Google Scholar] [CrossRef]
- Bortolheiro, F.P.A.P.; Brunelli-Nascentes, M.C.; Nascentes, R.F.; Silva, M.A. Glyphosate at low doses changes the physiology and increases the productivity of common bean as affected by sowing seasons. J. Environ. Sci. Health B 2022, 57, 458–469. [Google Scholar] [CrossRef]
- Dos Santos, J.C.C.; Silva, D.M.R.; Amorim, D.J.; do Rosário Rosa, V.; Dos Santos, A.L.F.; Velini, E.D.; Carbonari, C.A.; de Almeida Silva, M. Glyphosate hormesis attenuates water deficit stress in safflower (Carthamus tinctorius L.) by modulating physiological and biochemical mediators. Sci. Total Environ. 2022, 810, 152204. [Google Scholar] [CrossRef]
- Calabrese, E.J. Hormesis: From mainstream to therapy. J. Cell Commun. Signal. 2014, 8, 289–291. [Google Scholar] [CrossRef]
- Calabrese, E.J.; Mattson, M.P. Hormesis provides a generalized quantitative estimate of biological plasticity. J. Cell Commun. Signal. 2011, 5, 25–38. [Google Scholar] [CrossRef] [PubMed]
- Velini, E.D.; Carbonari, C.A.; Trindade, M.L.M.; Gomes, G.L.G.C.; Atuniassi, U.R. Variations in pesticide doses under field conditions. Amer. Chem. Soc. Symp. Ser. 2017, 1249, 47–60. [Google Scholar]
- Cakmak, I.; Yazici, A.; Tutus, Y.; Ozturk, L. Glyphosate reduced seed and leaf concentrations of calcium, manganese, magnesium, and iron in non-glyphosate resistant soybean. Eur. J. Agron. 2009, 31, 114–119. [Google Scholar] [CrossRef]
- Pereira, F.C.M.; Tayengwa, R.; Alves, P.L.C.A.; Peer, W.A. Phosphate status affects phosphate transporter expression and glyphosate uptake and transport in grand eucalyptus (Eucalyptus grandis). Weed Sci. 2019, 67, 29–40. [Google Scholar] [CrossRef]
- Araújo, S.D.S.; Paparella, S.; Dondi, D.; Bentivoglio, A.; Carbonera, D.; Balestrazzi, A. Physical methods for seed invigoration: Advantages and challenges in seed technology. Front. Plant Sci. 2016, 7, 646. [Google Scholar] [CrossRef] [PubMed]
- Silva, F.M.L.; Duke, S.O.; Dayan, F.E.; Velini, E.D. Low doses of glyphosate change the responses of soyabean to subsequent glyphosate treatments. Weed Res. 2016, 56, 124–136. [Google Scholar] [CrossRef]
- Nepomuceno, M.; Chinchilla, N.; Varela, R.M.; Molinillo, J.M.; Lacret, R.; Alves, P.L.; Macias, F.A. Chemical evidence for the effect of Urochloa ruziziensis on glyphosate-resistant soybeans. Pest Manag. Sci. 2017, 73, 2071–2078. [Google Scholar] [CrossRef]
- Caires, E.F.; Fonseca, A.F.; Feldhaus, I.C.; Blum, J. Root growth and nutrient uptake by soybean as affected by lime and gypsum, under a no-tillage system. Rev. Bras. Ciênc. Solo 2001, 25, 1029–1040. [Google Scholar] [CrossRef][Green Version]
- Foloni, J.S.S.; Lima, S.L.D.; Büll, L.T. Shoot and root growth of soybean and cover crops as affected by soil compaction. Rev. Bras. Cienc. Solo 2006, 30, 49–57. [Google Scholar] [CrossRef][Green Version]
- Morandi, D. Effect of xenobiotics on endomycorrhizal infection and isoflavonoid accumulation in soybean roots. Plant Physiol. Biochem. 1989, 27, 697–701. [Google Scholar]
- Bellaloui, N.; Reddy, K.N.; Zablotowicz, R.M.; Mengistu, A. Simulated glyphosate drift influences nitrate assimilation and nitrogen fixation in non-glyphosate-resistant soybean. J. Agric. Food Chem. 2006, 54, 3357–3364. [Google Scholar] [CrossRef]
- Araújo, F.F.D.; Hungria, M. Soybean nodulation and yield when co-inoculated with Bacillus subtilis and Bradyrhizobium japonicum/Bradyrhizobium elkanii. Pesqui. Agropecu. Bras. 1999, 34, 1633–1643. [Google Scholar] [CrossRef]
- Bellaloui, N.; Reddy, K.N.; Zablotowicz, R.M.; Abbas, H.K.; Abel, C.A. Effects of glyphosate application on seed iron and root ferric (III) reductase in soybean cultivars. J. Agric. Food Chem. 2009, 57, 9569–9574. [Google Scholar] [CrossRef] [PubMed]
- Mervosh, T.L.; Balke, N.E. Effects of calcium, magnesium, and phosphate on glyphosate absorption by cultured plant cells. Weed Sci. 1991, 39, 347–353. [Google Scholar] [CrossRef]
- Denis, M.-H.; Delrot, S. Carrier-mediated uptake of glyphosate in broad bean (Vicia faba) via a phosphate transporter. Physiol. Plant. 1993, 87, 569–575. [Google Scholar] [CrossRef]
- da Costa, Y.K.S.; Ribeiro, N.M.; de Moura, G.C.P.; Oliveira, A.R.; Bianco, S.; Alcántara-De la Cruz, R.; de Carvalho, L.B. Effect of glyphosate and P on the growth and nutrition of Coffea arabica cultivars and on weed control. Sci. Rep. 2021, 11, 8095. [Google Scholar] [CrossRef] [PubMed]
- Cedergreen, N.; Hansen, N.K.; Arentoft, B.W. The influence of nitrogen and phosphorous status on glyphosate hormesis in Lemna minor and Hordeum vulgare. Eur. J. Agron. 2016, 73, 107–117. [Google Scholar] [CrossRef]
- Egli, D.B. The relationship between the number of nodes and pods in soybean communities. Crop Sci. 2013, 53, 1668–1676. [Google Scholar] [CrossRef]





| Local | pH | OM | P | Al3+ | K | Ca | Mg | SB | CTC | V% | Sand | Silt | Clay | Texture |
|---|---|---|---|---|---|---|---|---|---|---|---|---|---|---|
| mmolc/dm3 | g kg−1 | |||||||||||||
| Assis Chateaubriand | 6.2 | 21.9 | 22.2 | 0 | 8.7 | 11.5 | 5.9 | 26 | 111 | 58 | 230 | 245 | 525 | Clayish |
| Botucatu | 5.4 | 17.0 | 20.4 | 0 | 6.1 | 18.0 | 10 | 35 | 101 | 60 | 195 | 278 | 527 | Clayish |
| MC Rondon | 5.6 | 36.4 | 22.3 | 0 | 4.9 | 12.6 | 5.1 | 23 | 116 | 58 | 156 | 235 | 606 | Clayish |
| Palotina | 5.1 | 18.2 | 20.8 | 0 | 5.1 | 10.5 | 2.5 | 18 | 94 | 55 | 310 | 201 | 489 | Clayish |
| Nutrient | Cultivar | Assis Chateaubriand | Botucatu | Marechal Cândido Rondon | Polotina | ||||||||||||||||
|---|---|---|---|---|---|---|---|---|---|---|---|---|---|---|---|---|---|---|---|---|---|
| Con. | Fol. | Seed | S + F | Con. | Fol. | Seed | S + F | Con. | Fol. | Seed | S + F | Con. | Fol. | Seed | S + F | ||||||
| N | 46 A | 42 B | 45 A | 45 A | |||||||||||||||||
| M5917-IPRO | 42 | 45 | 45 | 42 | 43 B | 40 b | 42 b | 47 a | 49 a | 45 A | 44 b | 44 b | 48 ab | 50 b | 47 A | 46 | 46 | 46 | 46 | 46 | |
| M5838-IPRO | 41 | 43 | 46 | 43 | 43 B | 39 a | 33 b | 45 a | 48 a | 41 BC | 44 a | 41 b | 46 a | 41 b | 43 B | 43 | 43 | 47 | 45 | 44 | |
| N5909 | 46 | 46 | 52 | 49 | 48 A | 38 | 41 | 38 | 40 | 39 C | 46 | 45 | 46 | 43 | 45 AB | 47 | 46 | 46 | 45 | 46 | |
| BMX-Tornado | 47 | 46 | 50 | 48 | 48 A | 39 b | 40 b | 43 ab | 48 a | 43 AB | 47 | 47 | 48 | 46 | 47 A | 45 | 46 | 43 | 46 | 45 | |
| 4.3 B | 4.8 A | 4.1 B | 4.3 B | ||||||||||||||||||
| P | M5917-IPRO | 4.1 | 4.5 | 4.2 | 4.1 | 4.2 B | 4.9 b | 5.0 b | 5.2 b | 6.0 a | 5.3 A | 4.1 b | 4.1 b | 4.8 a | 4.6 a | 4.4 A | 3.8 b | 4.1 ab | 4.3 ab | 4.8 a | 4.2 B |
| M5838-IPRO | 4.3 | 4.2 | 4.4 | 4.1 | 4.2 B | 5.1 | 5.1 | 5.2 | 5.6 | 5.3 A | 4.0 | 4.2 | 3.8 | 4.0 | 4.0 B | 4.2 | 4.3 | 4.1 | 4.1 | 4.2 B | |
| N5909 | 4.1 | 4.0 | 4.0 | 3.9 | 4.0 B | 4.4 b | 4.8 ab | 5.0 ab | 5.7 a | 5.0 A | 3.6 b | 3.7 b | 4.0 ab | 4.2 a | 3.9 B | 4.0 | 4.3 | 4.2 | 4.3 | 4.2 B | |
| BMX-Tornado | 4.6 | 4.6 | 4.8 | 4.9 | 4.7 A | 3.3 b | 3.2 b | 3.9 ab | 4.5 a | 3.7 B | 3.5 b | 3.6 b | 4.6 a | 4.7 a | 4.1 B | 4.1 b | 4.2 b | 4.8 a | 5.0 a | 4.5 A | |
| Br | 39 C | 58 A | 36 D | 42 B | |||||||||||||||||
| M5917-IPRO | 45 | 45 | 47 | 42 | 45 A | 60 a | 69 ab | 76 a | 84 a | 72 A | 38 b | 44 ab | 49 a | 50 a | 45 A | 37 b | 41 ab | 46 a | 47 a | 43 B | |
| M5838-IPRO | 40 | 48 | 43 | 43 | 44 A | 55 ab | 47 | 48 | 50 | 50 B | 37 | 36 | 35 | 36 | 36 B | 46 b | 49 b | 48 b | 56 a | 50 A | |
| N5909 | 33 b | 32 b | 38 ab | 41 a | 36 B | 52 b | 51 | 47 | 59 | 52 B | 32 | 28 | 30 | 27 | 29 C | 36 | 38 | 35 | 37 | 36 C | |
| BMX-Tornado | 31 | 31 | 33 | 31 | 31 B | 51 b | 55 b | 58 ab | 61 a | 56 B | 26 b | 29 b | 35 a | 39 a | 32 BC | 35 b | 40 ab | 42 a | 45 a | 41 B | |
| Fe | 173 C | 256 A | 257 A | 205 B | |||||||||||||||||
| M5917-IPRO | 188 b | 175 b | 251 a | 253 a | 217 A | 244 | 267 | 250 | 254 | 254 | 239 b | 234 b | 273 a | 270 a | 254 B | 214 | 221 | 198 | 213 | 212 | |
| M5838-IPRO | 169 | 196 | 166 | 157 | 172 B | 254 | 263 | 253 | 279 | 262 | 249 b | 292 ab | 323 a | 324 a | 297 A | 207 | 197 | 226 | 210 | 210 | |
| N5909 | 149 b | 144 b | 183 a | 150 b | 157 BC | 255 | 257 | 292 | 260 | 266 | 224 b | 219 b | 248 a | 211 b | 226 C | 205 | 220 | 199 | 205 | 207 | |
| BMX-Tornado | 132 b | 142 a | 150 a | 158 a | 146 C | 254 | 240 | 225 | 252 | 243 | 245 | 246 | 255 | 253 | 250 B | 180 | 174 | 198 | 209 | 190 | |
Disclaimer/Publisher’s Note: The statements, opinions and data contained in all publications are solely those of the individual author(s) and contributor(s) and not of MDPI and/or the editor(s). MDPI and/or the editor(s) disclaim responsibility for any injury to people or property resulting from any ideas, methods, instructions or products referred to in the content. |
© 2024 by the authors. Licensee MDPI, Basel, Switzerland. This article is an open access article distributed under the terms and conditions of the Creative Commons Attribution (CC BY) license (https://creativecommons.org/licenses/by/4.0/).
Share and Cite
Krenchinski, F.H.; Pereira, V.G.C.; Giovanelli, B.F.; Cesco, V.J.S.; Alcántara-de la Cruz, R.; Velini, E.D.; Carbonari, C.A. Glyphosate Hormesis Improves Agronomic Characteristics and Yield of Glyphosate-Resistant Soybean Under Field Conditions. Agronomy 2024, 14, 1559. https://doi.org/10.3390/agronomy14071559
Krenchinski FH, Pereira VGC, Giovanelli BF, Cesco VJS, Alcántara-de la Cruz R, Velini ED, Carbonari CA. Glyphosate Hormesis Improves Agronomic Characteristics and Yield of Glyphosate-Resistant Soybean Under Field Conditions. Agronomy. 2024; 14(7):1559. https://doi.org/10.3390/agronomy14071559
Chicago/Turabian StyleKrenchinski, Fábio Henrique, Vinicius Gabriel Canepelle Pereira, Bruno Flaibam Giovanelli, Victor José Salomão Cesco, Ricardo Alcántara-de la Cruz, Edivaldo D. Velini, and Caio A. Carbonari. 2024. "Glyphosate Hormesis Improves Agronomic Characteristics and Yield of Glyphosate-Resistant Soybean Under Field Conditions" Agronomy 14, no. 7: 1559. https://doi.org/10.3390/agronomy14071559
APA StyleKrenchinski, F. H., Pereira, V. G. C., Giovanelli, B. F., Cesco, V. J. S., Alcántara-de la Cruz, R., Velini, E. D., & Carbonari, C. A. (2024). Glyphosate Hormesis Improves Agronomic Characteristics and Yield of Glyphosate-Resistant Soybean Under Field Conditions. Agronomy, 14(7), 1559. https://doi.org/10.3390/agronomy14071559

