Pasture Performance: Perspectives on Plant Persistence and Renewal in New Zealand Dairy Systems
Abstract
1. Introduction
2. Pasture Composition
2.1. Plant Diversity
2.2. Plant Traits
3. Stocking Rates and Pasture Performance
3.1. Interaction between Stocking Rate and Grazing Managment
3.2. Grazing Managment
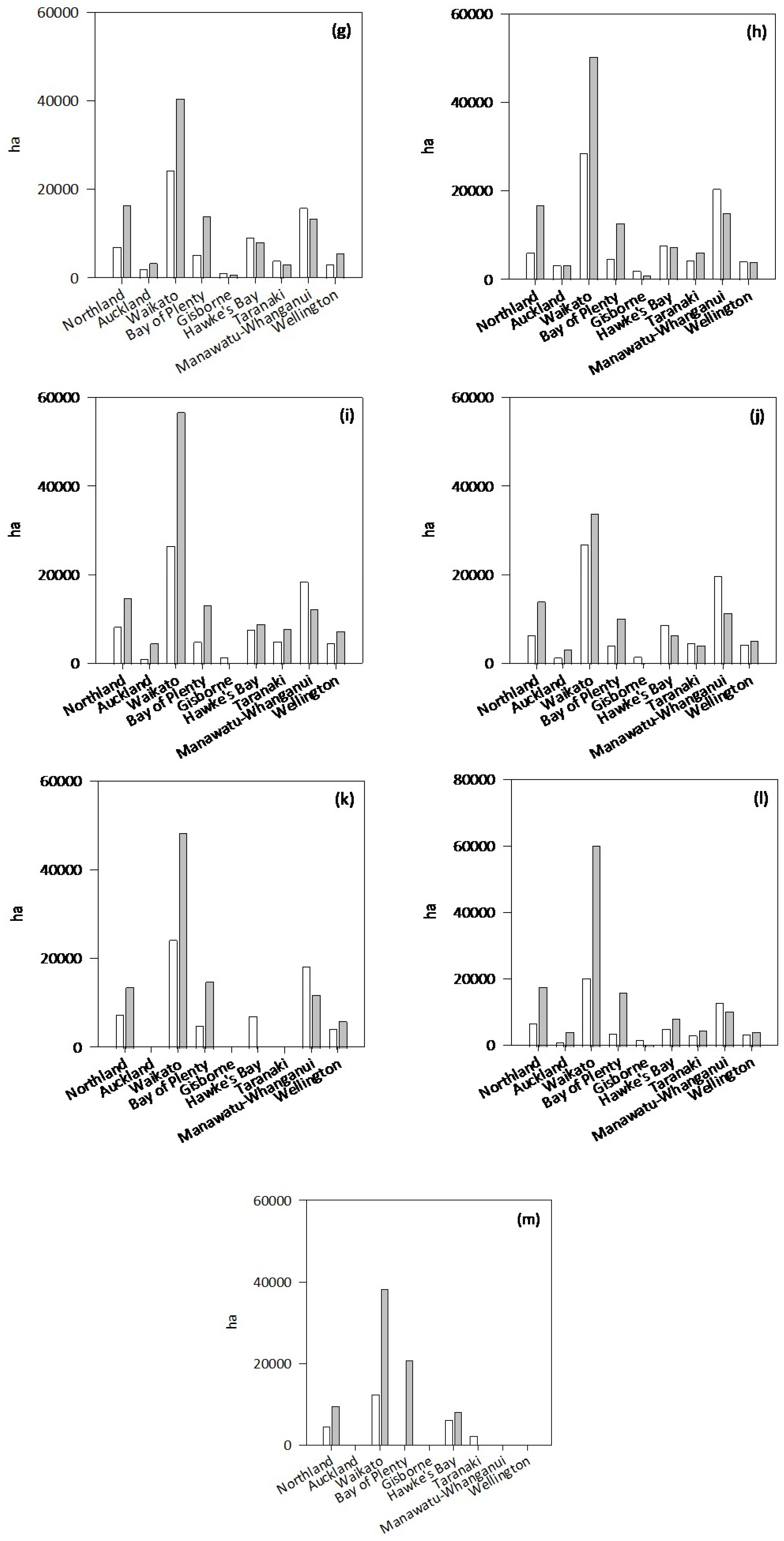
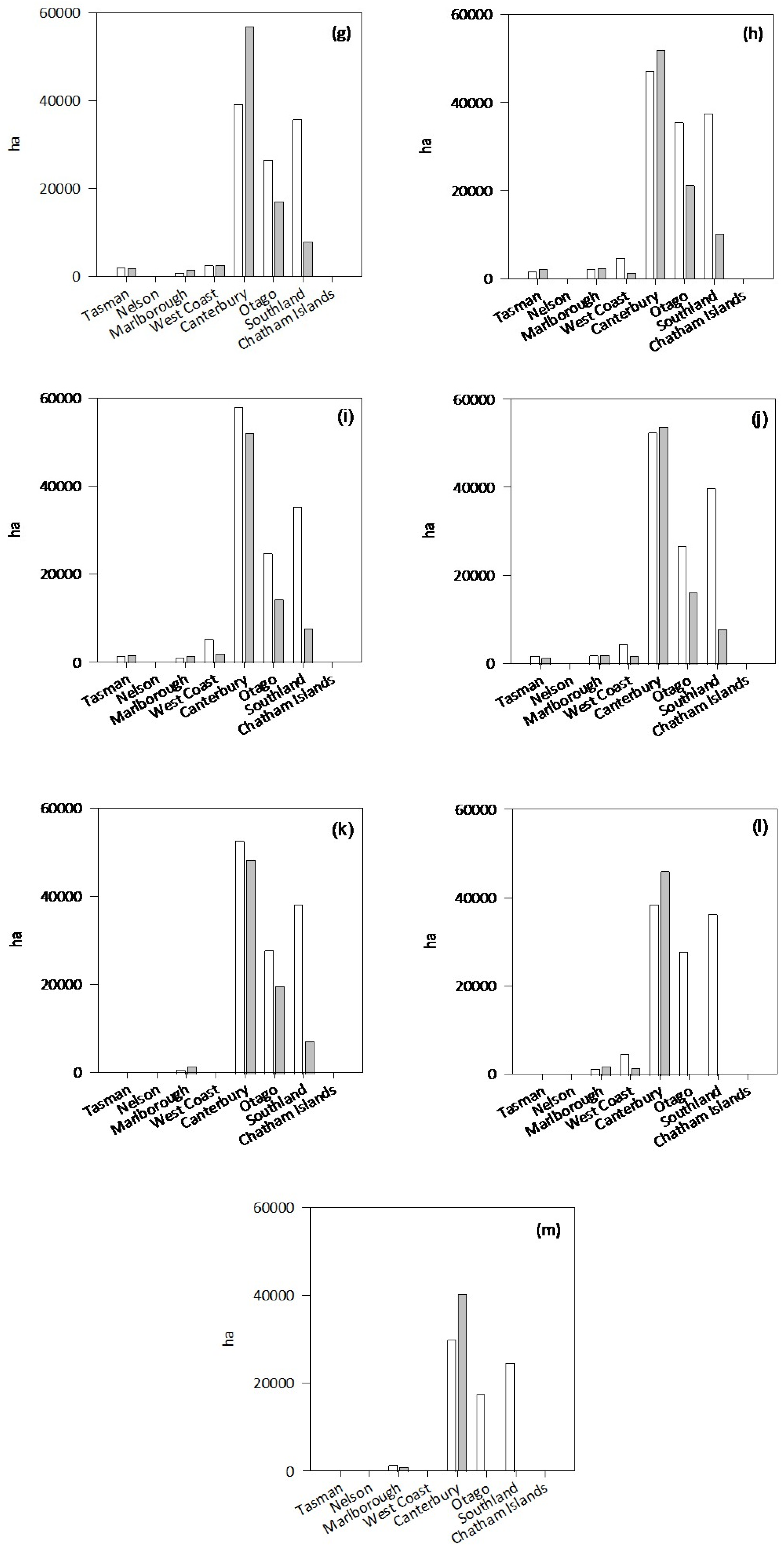
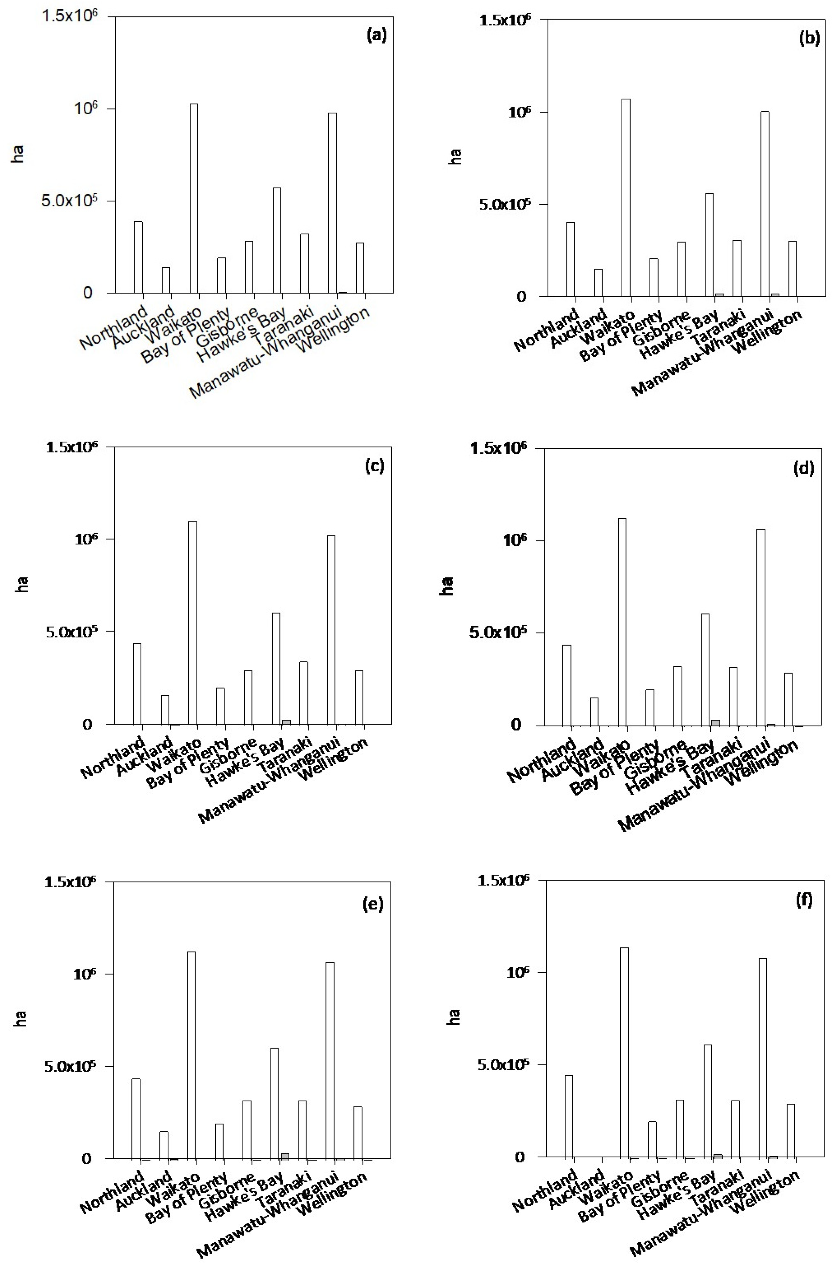
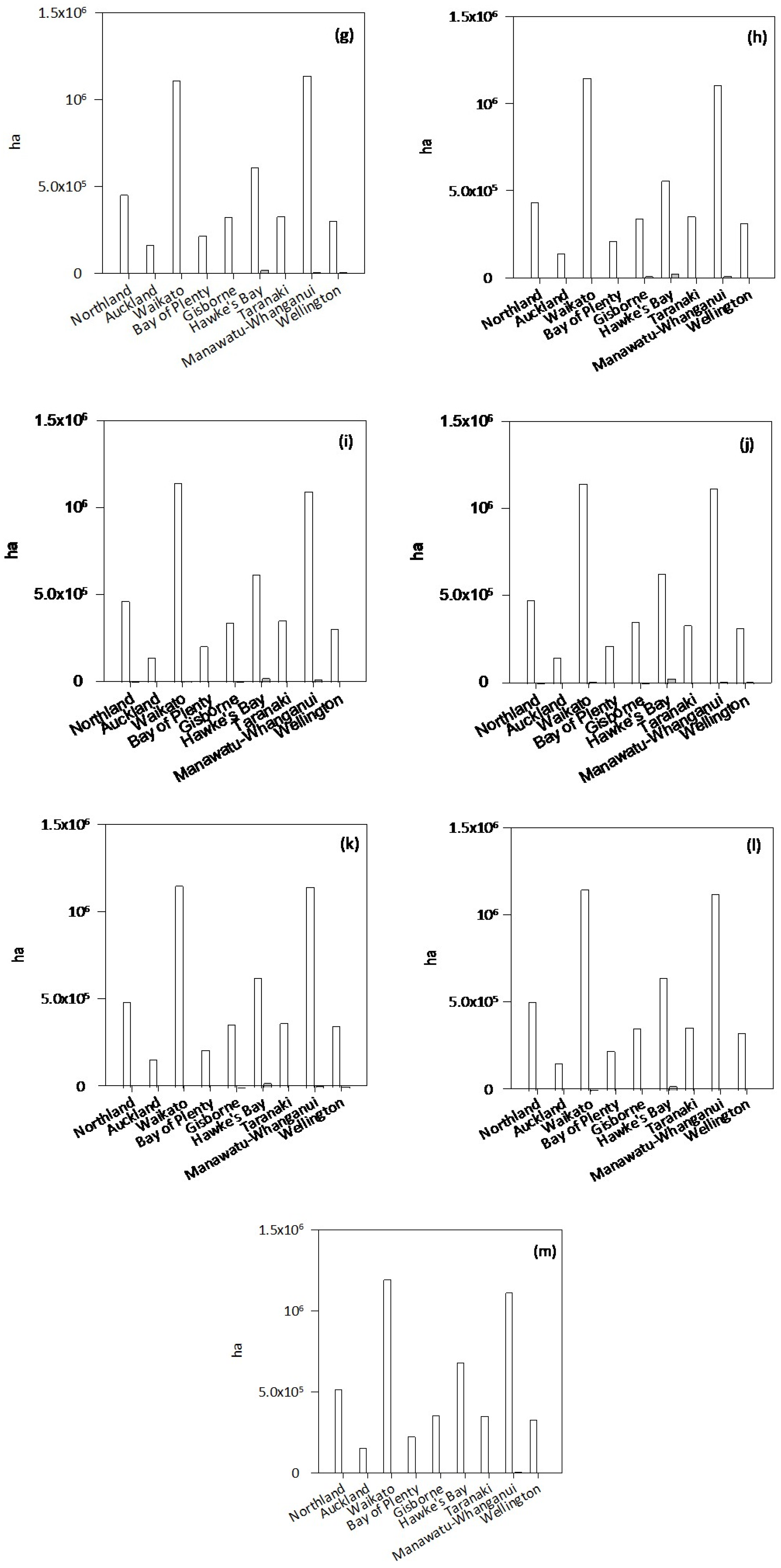
4. Pasture Persistence and Renewal
4.1. Rates of Pasture Renewal and Potential Benefits
4.2. Adoption of Pasture Renewal and Related Technologies
5. Conclusions
Author Contributions
Funding
Data Availability Statement
Acknowledgments
Conflicts of Interest
References
- USDA. Dairy and Products Semi-Annual; NZ2023-0010; USDA Foreign Agricultural Service: Washington, DC, USA, 2023; p. 14.
- LIC and DairyNZ. New Zealand Dairy Statistics 2021-22; Livestock Improvement Corporation Limited & DairyNZ Limited: Hamilton, New Zealand, 2022; p. 64. [Google Scholar]
- Rys, G.J.; Gibbs, J.; Clark, D.A.; Lambert, G.; Clark, H.; Newman, M. Productivity, changes and resilience in New Zealand grassland agriculture over the last three decades. Grassl. Res. Pract. Ser. 2021, 17, 37–54. [Google Scholar] [CrossRef]
- Caradus, J.R.; Goldson, S.L.; Moot, D.J.; Rowarth, J.S.; Stewart, A.V. Pastoral agriculture, a significant driver of New Zealand’s economy, based on an introduced grassland ecology and technological advances. J. R. Soc. N. Z. 2023, 53, 259–303. [Google Scholar] [CrossRef]
- Easton, H.; Amyes, J.; Cameron, N.; Green, R.; Kerr, G.; Norriss, M.; Stewart, A. Pasture plant breeding in New Zealand: Where to from here? Proc. N. Z. Grassl. Assoc. 2002, 64, 173–179. [Google Scholar] [CrossRef]
- Dhakal, M.; West, C.P.; Villalobos, C.; Brown, P.; Green, P.E. Interseeding alfalfa into native grassland for enhanced yield and water use efficiency. Agron. J. 2020, 112, 1931–1942. [Google Scholar] [CrossRef]
- Moot, D.J. A review of legume research and extension in New Zealand (1990–2022). Crop Pasture Sci. 2022, 74, 647–660. [Google Scholar] [CrossRef]
- Ledgard, S.; Steele, K. Biological nitrogen fixation in mixed legume/grass pastures. Plant Soil 1992, 141, 137–153. [Google Scholar] [CrossRef]
- Sheath, G.; Hay, R. Overview of legume persistence in New Zealand. In Persistence Forage Legumes; Wiley: New York, NY, USA, 1989; pp. 23–36. [Google Scholar]
- Ledgard, S.F. Nitrogen cycling in low input legume-based agriculture, with emphasis on legume/grass pastures. Plant Soil 2001, 228, 43–59. [Google Scholar] [CrossRef]
- Moot, D. An overview of dryland legume research in New Zealand. Crop Pasture Sci. 2012, 63, 726–733. [Google Scholar] [CrossRef]
- Caradus, J.; Woodfield, D.; Stewart, A. Overview and vision for white clover: New Zealand’s competitive edge (Vol. Proceedings of White Clover Symposium). NZGA Res. Pract. Ser. 1995, 6, 1–6. [Google Scholar]
- Tozer, K.; Chapman, D.; Bell, N.; Crush, J.; King, W.; Rennie, G.; Wilson, D.; Mapp, N.; Rossi, L.; Aalders, L. Botanical survey of perennial ryegrass-based dairy pastures in three regions of New Zealand: Implications for ryegrass persistence. N. Z. J. Agric. Res. 2014, 57, 14–29. [Google Scholar] [CrossRef]
- McCahon, K.; McCahon, A.; Ussher, G. Diversified pastures at the front line of climate change in Northland: Farmers experiences, new directions and wider implications for other parts of the country. NZGA Res. Pract. Ser. 2021, 17, 213–224. [Google Scholar] [CrossRef]
- Woodfield, D.; Caradus, J. Factors affecting white clover persistence in New Zealand pastures. Proc. N. Z. Grassl. Assoc. 1996, 58, 229–235. [Google Scholar] [CrossRef]
- Lee, J.; Thom, E.; Waugh, D.; Bell, N.; McNeill, M.; Wilson, D.; Chapman, D. Trajectory and causes of decline in the botanical composition of dairy-grazed pasture in the Waikato. J. N. Z. Grasslands 2018, 79, 89–96. [Google Scholar] [CrossRef]
- Easton, S.; Baird, D.; Baxter, G.; Cameron, N.; Hainsworth, R.; Johnston, C.; Kerr, G.; Lyons, T.; Mccabe, R.; Nichol, W. Annual and hybrid ryegrass cultivars in New Zealand. Proc. N. Z. Grassl. Assoc. 1997, 59, 239–244. [Google Scholar] [CrossRef]
- Milne, G.; Shaw, R.; Powell, R.; Pirie, B.; Pirie, J. Tall fescue use on dairy farms. Proc. N. Z. Grassl. Assoc. 1997, 59, 163–167. [Google Scholar] [CrossRef]
- Rollo, M.; Sheath, G.; Slay, M.; Knight, T.; Judd, T.; Thomson, N. Tall fescue and chicory for increased summer forage production. Proc. N. Z. Grassl. Assoc. 1998, 60, 249–253. [Google Scholar] [CrossRef]
- Pyke, N.; Rolston, M.; Woodfield, D. National and export trends in herbage seed production. Proc. N. Z. Grassl. Assoc. 2004, 66, 95–102. [Google Scholar] [CrossRef]
- Chynoweth, R.; Pyke, N.; Rolston, M.; Kelly, M. Trends in New Zealand herbage seed production: 2004–2014. Agron. N. Z. 2015, 45, 47–56. [Google Scholar]
- Vasta, V.; Daghio, M.; Cappucci, A.; Buccioni, A.; Serra, A.; Viti, C.; Mele, M. Invited review: Plant polyphenols and rumen microbiota responsible for fatty acid biohydrogenation, fiber digestion, and methane emission: Experimental evidence and methodological approaches. J. Dairy Sci. 2019, 102, 3781–3804. [Google Scholar] [CrossRef] [PubMed]
- Distel, R.A.; Arroquy, J.I.; Lagrange, S.; Villalba, J.J. Designing diverse agricultural pastures for improving ruminant production systems. Front. Sustain. Food Syst. 2020, 4, 596869. [Google Scholar] [CrossRef]
- Mueller-Harvey, I.; Bee, G.; Dohme-Meier, F.; Hoste, H.; Karonen, M.; Kölliker, R.; Lüscher, A.; Niderkorn, V.; Pellikaan, W.F.; Salminen, J.-P. Benefits of condensed tannins in forage legumes fed to ruminants: Importance of structure, concentration, and diet composition. Crop Sci. 2019, 59, 861–885. [Google Scholar] [CrossRef]
- Lagrange, S.; Beauchemin, K.A.; MacAdam, J.; Villalba, J.J. Grazing diverse combinations of tanniferous and non-tanniferous legumes: Implications for beef cattle performance and environmental impact. Sci. Total Environ. 2020, 746, 140788. [Google Scholar] [CrossRef]
- Rochfort, S.; Parker, A.J.; Dunshea, F.R. Plant bioactives for ruminant health and productivity. Phytochemistry 2008, 69, 299–322. [Google Scholar] [CrossRef]
- Isbell, F.; Craven, D.; Connolly, J.; Loreau, M.; Schmid, B.; Beierkuhnlein, C.; Bezemer, T.M.; Bonin, C.; Bruelheide, H.; De Luca, E. Biodiversity increases the resistance of ecosystem productivity to climate extremes. Nature 2015, 526, 574–577. [Google Scholar] [CrossRef]
- Hector, A.; Bazeley-White, E.; Loreau, M.; Otway, S.; Schmid, B. Overyielding in grassland communities: Testing the sampling effect hypothesis with replicated biodiversity experiments. Ecol. Lett. 2002, 5, 502–511. [Google Scholar] [CrossRef]
- Polley, H.W.; Briske, D.D.; Morgan, J.A.; Wolter, K.; Bailey, D.W.; Brown, J.R. Climate change and North American rangelands: Trends, projections, and implications. Rangel. Ecol. Manag. 2013, 66, 493–511. [Google Scholar] [CrossRef]
- Cottingham, K.; Brown, B.; Lennon, J. Biodiversity may regulate the temporal variability of ecological systems. Ecol. Lett. 2001, 4, 72–85. [Google Scholar] [CrossRef]
- Hector, A.; Hautier, Y.; Saner, P.; Wacker, L.; Bagchi, R.; Joshi, J.; Scherer-Lorenzen, M.; Spehn, E.M.; Bazeley-White, E.; Weilenmann, M. General stabilizing effects of plant diversity on grassland productivity through population asynchrony and overyielding. Ecology 2010, 91, 2213–2220. [Google Scholar] [CrossRef]
- Skinner, R.H.; Dell, C.J. Yield and soil carbon sequestration in grazed pastures sown with two or five forage species. Crop Sci. 2016, 56, 2035–2044. [Google Scholar] [CrossRef]
- Sanderson, M.; Goslee, S.; Soder, K.; Skinner, R.; Tracy, B.; Deak, A. Plant species diversity, ecosystem function, and pasture management—A perspective. Can. J. Plant Sci. 2007, 87, 479–487. [Google Scholar] [CrossRef]
- Tjoelker, M.; Craine, J.M.; Wedin, D.; Reich, P.B.; Tilman, D. Linking leaf and root trait syndromes among 39 grassland and savannah species. New Phytol. 2005, 167, 493–508. [Google Scholar] [CrossRef]
- Craine, J.; Tilman, D.; Wedin, D.; Reich, P.; Tjoelker, M.; Knops, J. Functional traits, productivity and effects on nitrogen cycling of 33 grassland species. Funct. Ecol. 2002, 16, 563–574. [Google Scholar] [CrossRef]
- Yahdjian, L.; Sala, O.E.; Austin, A.T. Differential controls of water input on litter decomposition and nitrogen dynamics in the Patagonian steppe. Ecosystems 2006, 9, 128–141. [Google Scholar] [CrossRef]
- Chimner, R.; Welker, J. Ecosystem respiration responses to experimental manipulations of winter and summer precipitation in a Mixedgrass Prairie, WY, USA. Biogeochemistry 2005, 73, 257–270. [Google Scholar] [CrossRef]
- McMeekan, C. The pros and cons of high stocking rate. Massey Dairy Farming Annu. 1961, 13, 9–15. [Google Scholar]
- Roche, J.; Berry, D.; Bryant, A.; Burke, C.; Butler, S.; Dillon, P.; Donaghy, D.; Horan, B.; Macdonald, K.; Macmillan, K. A 100-year review: A century of change in temperate grazing dairy systems. J. Dairy Sci. 2017, 100, 10189–10233. [Google Scholar] [CrossRef] [PubMed]
- Burns, J.; Lippke, H.; Fisher, D. The relationship of herbage mass and characteristics to animal responses in grazing experiments. Grazing Res. Des. Methodol. Anal. 1989, 16, 7–19. [Google Scholar]
- Ignatavičius, G.; Sinkevičius, S.; Ložytė, A. Effects of grassland management on plant communities. Ekologija 2013, 59, 99–110. [Google Scholar] [CrossRef]
- Macdonald, K.; Penno, J.; Lancaster, J.; Roche, J. Effect of stocking rate on pasture production, milk production, and reproduction of dairy cows in pasture-based systems. J. Dairy Sci. 2008, 91, 2151–2163. [Google Scholar] [CrossRef] [PubMed]
- Sollenberger, L.E.; Agouridis, C.T.; Vanzant, E.S.; Franzluebbers, A.J.; Owens, L.B. Prescribed grazing on pasturelands. In Conservation Outcomes from Pastureland and Hayland Practices: Assessment, Recommendations, and Knowledge Gaps; NRCS: Washington, DC, USA, 2012; pp. 111–204. [Google Scholar]
- Reeves, J.L.; Derner, J.D.; Sanderson, M.A.; Hendrickson, J.R.; Kronberg, S.L.; Petersen, M.K.; Vermeire, L.T. Seasonal weather influences on yearling beef steer production in C3-dominated Northern Great Plains rangeland. Agric. Ecosyst. Environ. 2014, 183, 110–117. [Google Scholar] [CrossRef]
- Dodd, M.; Barker, D.; Wedderburn, M. Plant diversity effects on herbage production and compositional changes in New Zealand hill country pastures. Grass Forage Sci. 2004, 59, 29–40. [Google Scholar] [CrossRef]
- Walker, J.W.; Heitschmidt, R.K.; Dowhower, S.L. Some effects of a rotational grazing treatment on cattle preference for plant communities. Rangel. Ecol. Manag. /J. Range Manag. Arch. 1989, 42, 143–148. [Google Scholar] [CrossRef]
- Walker, J.W.; Heitschmidt, R.K. Some effects of a rotational grazing treatment on cattle grazing behavior. Rangel. Ecol. Manag. /J. Range Manag. Arch. 1989, 42, 337–342. [Google Scholar] [CrossRef]
- Brink, G.; Jackson, R.; Alber, N. Residual sward height effects on growth and nutritive value of grazed temperate perennial grasses. Crop Sci. 2013, 53, 2264–2274. [Google Scholar] [CrossRef]
- Alber, N.; Brink, G.; Jackson, R. Temperate grass response to extent and timing of grazing. Can. J. Plant Sci. 2014, 94, 827–833. [Google Scholar] [CrossRef]
- Volesky, J.D.; Anderson, B.E. Defoliation effects on production and nutritive value of four irrigated cool-season perennial grasses. Agron. J. 2007, 99, 494–500. [Google Scholar] [CrossRef]
- Fulkerson, W.; Donaghy, D. Plant-soluble carbohydrate reserves and senescence—Key criteria for developing an effective grazing management system for ryegrass-based pastures: A review. Aust. J. Exp. Agric. 2001, 41, 261–275. [Google Scholar] [CrossRef]
- Daly, M.; Fraser, T.; Perkins, A.; Moffat, C. Farmer perceptions of reasons for perennial pasture persistence and the relationship of these with management practice, species composition, and soil fertility. Proc. N. Z. Grassl. Assoc. 1999, 61, 9–15. [Google Scholar] [CrossRef]
- Bell, N.; Townsend, R.; Popay, A.; Mercer, C.; Jackson, T. Black beetle: Lessons from the past and options for the future. NZGA Res. Pract. Ser. 2011, 15, 119–124. [Google Scholar] [CrossRef]
- Tozer, K.; Cameron, C.; Thom, E. Pasture persistence: Farmer observations and field measurements. NZGA Res. Pract. Ser. 2011, 15, 25–30. [Google Scholar] [CrossRef]
- Stevens, D.; Knowles, I. Identifying the need for pasture renewal and valuing the contribution of renewal on a dairy farm-Telford Dairy, a case study. NZGA Res. Pract. Ser. 2011, 15, 211–216. [Google Scholar] [CrossRef]
- Parsons, A.; Edwards, G.; Newton, P.; Chapman, D.; Caradus, J.; Rasmussen, S.; Rowarth, J. Past lessons and future prospects: Plant breeding for yield and persistence in cool-temperate pastures. Grass Forage Sci. 2011, 66, 153–172. [Google Scholar] [CrossRef]
- Dodd, M.; Chapman, D.; Ogle, G. Regrassing trends and drivers in the New Zealand dairy industry. J. N. Z. Grassl. 2018, 80, 177–184. [Google Scholar] [CrossRef]
- Kayser, M.; Müller, J.; Isselstein, J. Grassland renovation has important consequences for C and N cycling and losses. Food Energy Secur. 2018, 7, e00146. [Google Scholar] [CrossRef]
- Reinsch, T.; Loges, R.; Kluß, C.; Taube, F. Renovation and conversion of permanent grass-clover swards to pasture or crops: Effects on annual N2O emissions in the year after ploughing. Soil Tillage Res. 2018, 175, 119–129. [Google Scholar] [CrossRef]
- Calvelo-Pereira, R.; Hedley, M.J.; Hanly, J.A.; Beare, M.H.; McNally, S.R.; Bretherton, M.R. Spring pasture renewal involving full inversion tillage and a summer crop can facilitate soil C storage, improve crop yields and lower N leaching. Soil Tillage Res. 2022, 219, 105347. [Google Scholar] [CrossRef]
- Rutledge, S.; Wall, A.; Mudge, P.; Troughton, B.; Campbell, D.; Pronger, J.; Joshi, C.; Schipper, L. The carbon balance of temperate grasslands part II: The impact of pasture renewal via direct drilling. Agric. Ecosyst. Environ. 2017, 239, 132–142. [Google Scholar] [CrossRef]
- Kerr, G.; Brown, J.; Kilday, T.; Stevens, D. A more quantitative approach to pasture renewal. J. N. Z. Grassl. 2015, 77, 251–258. [Google Scholar] [CrossRef]
- Glassey, C.; Roach, C.; Strahan, M.; McClean, N. Dry matter yield, pasture quality and profit on two Waikato dairy farms after pasture renewal. Proc. N. Z. Grassl. Assoc. 2010, 72, 91–96. [Google Scholar]
- Tozer, K.; Rennie, G.; King, W.; Mapp, N.; Aalders, L.; Bell, N.; Wilson, D.; Cameron, C.; Greenfield, R. Pasture renewal on Bay of Plenty and Waikato dairy farms: Impacts on pasture performance post-establishment. N. Z. J. Agric. Res. 2015, 58, 241–258. [Google Scholar] [CrossRef]
- Charltgn, J.; Belgrave, B. The range of pasture species in New Zealand and their use in different environments. Proc. N. Z. Grassl. Assoc. 1992, 54, 99–104. [Google Scholar] [CrossRef]
- Thomas, S.; Wallace, D.; Beare, M. Pasture Renewal Activity Data and Factors for New Zealand. In A Report Prepared for Ministry for Primary Industries; 2014. Available online: https://www.mpi.govt.nz/dmsdocument/10640/direct (accessed on 21 July 2024).
- Smith, K.; Brazendale, R. Pasture renewal in the Waikato and Bay of Plenty regions: An overview of farmer practice, experience and attitudes. NZGA Res. Pract. Ser. 2011, 15, 21–24. [Google Scholar] [CrossRef]
- Bewsell, D.; Botha, N.; Brown, M.; Fraser, T.; Wilson, J. Understanding pasture renewal in New Zealand. In Report on Market Research; Pasture Renewal Charitable Trust: Hamilton, OH, USA, 2008. [Google Scholar]
- Sanderson, K.; Webster, M. Economic analysis of the value of pasture to the New Zealand economy. In Report to Pasture Renewal Charitable Trust; BERL: Wellington, New Zealand, 2009; Volume 42. [Google Scholar]
- Stevens, D.; Gibson, A.; Casey, M. Improving on-farm profitability of sheep and deer systems using pasture renewal in the southern South Island. Proc. N. Z. Grassl. Assoc. 2000, 62, 201–205. [Google Scholar] [CrossRef]
- Brazendale, R.; Bryant, J.; Lambert, M.; Holmes, C.; Fraser, T. Pasture persistence: How much is it worth? NZGA: Res. Pract. Ser. 2011, 15, 3–6. [Google Scholar] [CrossRef]
- Sanderson, K.; Dustow, K.; Dixon, H. Economic impact assessment of arable production. In A Report for the Arable Food Council; Business and Economic Research Limited: Wellington, New Zealand, 2012. [Google Scholar]
- Rijswijk, K.; Brazendale, R. Pasture renewal practices, experiences and attitudes: A comparison over time. J. N. Z. Grassl. 2016, 78, 51–56. [Google Scholar] [CrossRef]
- Tozer, K.; Cameron, C.; Thom, E. Weed ingress and pasture persistence in Bay of Plenty dairy farms field observations and farmer perceptions. N. Z. Plant Prot. 2011, 64, 68–74. [Google Scholar] [CrossRef]
- Hopkins, A.; Gilbey, J.; Dibb, C.; Bowling, P.; Murray, P. Response of permanent and reseeded grassland to fertilizer nitrogen. 1. Herbage production and herbage quality. Grass Forage Sci. 1990, 45, 43–55. [Google Scholar] [CrossRef]
- Chapman, D.; Muir, P.; Faville, M. Persistence of dry matter yield among New Zealand perennial ryegrass (Lolium perenne L.) cultivars: Insights from a long-term data set. J. N. Z. Grassl. 2015, 77, 177–184. [Google Scholar] [CrossRef]








Disclaimer/Publisher’s Note: The statements, opinions and data contained in all publications are solely those of the individual author(s) and contributor(s) and not of MDPI and/or the editor(s). MDPI and/or the editor(s) disclaim responsibility for any injury to people or property resulting from any ideas, methods, instructions or products referred to in the content. |
© 2024 by the authors. Licensee MDPI, Basel, Switzerland. This article is an open access article distributed under the terms and conditions of the Creative Commons Attribution (CC BY) license (https://creativecommons.org/licenses/by/4.0/).
Share and Cite
Cartmill, A.D.; Donaghy, D.J. Pasture Performance: Perspectives on Plant Persistence and Renewal in New Zealand Dairy Systems. Agronomy 2024, 14, 1673. https://doi.org/10.3390/agronomy14081673
Cartmill AD, Donaghy DJ. Pasture Performance: Perspectives on Plant Persistence and Renewal in New Zealand Dairy Systems. Agronomy. 2024; 14(8):1673. https://doi.org/10.3390/agronomy14081673
Chicago/Turabian StyleCartmill, Andrew D., and Daniel J. Donaghy. 2024. "Pasture Performance: Perspectives on Plant Persistence and Renewal in New Zealand Dairy Systems" Agronomy 14, no. 8: 1673. https://doi.org/10.3390/agronomy14081673
APA StyleCartmill, A. D., & Donaghy, D. J. (2024). Pasture Performance: Perspectives on Plant Persistence and Renewal in New Zealand Dairy Systems. Agronomy, 14(8), 1673. https://doi.org/10.3390/agronomy14081673

