Next Article in Journal
The Propagation Characteristics of Meteorological Drought to Vegetation Drought Based on Three-Dimensional Clustering Algorithm in China
Next Article in Special Issue
Green Light Drives Embryonic Photosynthesis and Protein Accumulation in Cotyledons of Developing Pea (Pisum sativum L.) Seeds
Previous Article in Journal
Alterations in Suitable Cultivation Area for Scutellaria baicalensis under Future Climatic Scenarios in China: Geodetector-Based Prediction
Previous Article in Special Issue
An Evaluation of the Absolute Content of Flavonoids and the Identification of Their Relationship with the Flavonoid Biosynthesis Genes in Tartary Buckwheat Seeds
 
 
Font Type:
Arial Georgia Verdana
Font Size:
Aa Aa Aa
Line Spacing:
Column Width:
Background:
Article

Physiological Indexes in Seed Germination and Seedling Growth of Rangpur Lime (Citrus limonia L. Osbeck) under Plant Growth Regulators

by
Francisco José Domingues Neto
1,*,
Débora Cavalcante dos Santos Carneiro
1,
Fernando Ferrari Putti
2,
João Domingos Rodrigues
3,
Marco Antonio Tecchio
1,
Sarita Leonel
1 and
Marcelo de Souza Silva
1
1
School of Agriculture Sciences, Sao Paulo State University (UNESP), Botucatu 18610-034, SP, Brazil
2
School of Sciences and Engineering, Sao Paulo State University (UNESP), Tupa 17602-496, SP, Brazil
3
Institute of Biosciences, Sao Paulo State University (UNESP), Botucatu 18618-970, SP, Brazil
*
Author to whom correspondence should be addressed.
Agronomy 2024, 14(9), 2066; https://doi.org/10.3390/agronomy14092066
Submission received: 11 August 2024 / Revised: 5 September 2024 / Accepted: 7 September 2024 / Published: 10 September 2024
(This article belongs to the Special Issue Seeds: Chips of Agriculture)

Abstract

The propagation of citrus seedlings is accomplished through grafting, utilizing seeds for the production of rootstocks. The germination of certain seeds may be low and uneven, complicating the production of high-quality seedlings. The use of plant growth regulators (PGRs) is a viable alternative to improve the quality of seedling production, as these compounds can break dormancy, control the hydrolysis of reserves, induce cell division, and regulate permeability and protein functions. This study aimed to evaluate the germination of seeds and the growth of Rangpur lime (Citrus limonia L. Osbeck) seedlings under the influence of imbibition in solutions of gibberellic acid (GA3) and a combination of GA4+7 + 6Benzyladenine. The experiment was conducted under controlled laboratory and greenhouse conditions, using a completely randomized design in a 2 × 5 factorial scheme, with two types of plant regulators (GA3 and GA4+7 + 6BA) at five concentrations (0, 250, 500, 750, and 1000 mg L−1 a.i.). Quantitative and qualitative variables were evaluated, ranging from seed germination to seedling development and formation, including germination percentage and speed index, fresh and dry biomass of roots and shoots, enzymatic activity, and gas exchange. The results indicate that GA3 significantly accelerates the germination process of Rangpur lime cv. Santa Cruz seeds and promotes better seedling growth and development, resulting in vigorous seedlings. These findings demonstrate that the application of PGRs, particularly GA3, can substantially enhance the propagation efficiency of citrus rootstocks, offering a practical solution for improving the uniformity and quality of seedling production in commercial settings.

1. Introduction

In the high-quality citrus production chain, the formation of seedlings is one of the most important phases of the crop cycle, directly influencing the plant’s final performance. There is a direct relationship between healthy seedlings and field production [1]. The time required for the production of citrus rootstocks presents a significant inconvenience, particularly due to the uneven germination and the long initial development period of the seedlings [2].
The Rangpur lime (Citrus limonia L. Osbeck) tree is a natural hybrid of Citrus medica L. and mandarin (Citrus reticulata Blanco) and is suggested to be native to India [3]. In Brazil, the rootstock of Rangpur lime has been previously used in citrus orchards due to its compatibility with all scions, as well as its vigor, drought tolerance, high yield, precocity, and early fruit maturation [4]. Although it is tolerant of Citrus tristeza virus (CTV), it is susceptible to Citrus exocortis viroid (CEVd) and Citrus sudden death-associated virus (SCDaV) [5].
Most seedlings are housed in greenhouses, and new technologies are enabling greater plant development [2,6]. Seedling growth is crucial when establishing an orchard. All citrus nurseries, whether large or small, face obstacles during the production stage in a protected environment [7]. Reducing the time required for citrus seedling formation is important as it primarily leads to cost reduction benefits [8].
The propagation of citrus seedlings is carried out using the grafting technique, utilizing seeds for the production of rootstocks [9,10]. Some citrus rootstock cultivars have exhibited problems with uniform germination, possibly due to some form of dormancy. This dormancy may result from the seed coats acting as a physical barrier to water imbibition and gas diffusion or from the presence of an inhibitor of embryonic development in the seed coat. The use of PGRs that induce a higher percentage and uniformity of germination, along with improved physiological quality, are important factors for enhancing the performance potential of seeds and, consequently, the uniformity of plants under field conditions [11].
Gibberellic acid (GA) is one of the plant growth regulators (PGRs) used in citrus. It promotes growth and development in plants, including shoot elongation, vegetative growth, and seed germination. GA play a role in the synthesis of specific proteins and RNA during germination, both in breaking dormancy and controlling the hydrolysis of reserves, on which the growing embryo depends [12]. In the germination process, gibberellins stimulate enzymatic synthesis and activity, favoring cell expansion and seedling growth [13]. Gibberellins are also related to overcoming dormancy in some species, as they are involved in inducing the synthesis of enzymes responsible for endosperm weakening [14]. Additionally, they can stimulate the germination process [15] and promote seedling growth.
Cytokinins in germination are involved in gene control, translation, regulation of protein functions, membrane permeability regulation, and regulation of gibberellin levels [11]. They also play a role in promoting radicle growth and reducing seed sensitivity to abscisic acid (ABA), a plant hormone responsible for maintaining dormancy [16].
This study aims to understand the effects of plant growth regulators on citrus seed germination and early seedling development, specifically for Rangpur lime cv. Santa Cruz, a widely used rootstock in citrus cultivation. The novelty lies in comparing the effects of gibberellic acid (GA3) and a combination of GA4+7 with benzyladenine (GA4+7 + 6BA) on seed germination and seedling growth. This research is significant for developing more efficient propagation techniques in citrus, potentially improving productivity and sustainability.

2. Materials and Methods

2.1. Experimental Site, Seed Acquisition, Design, and Treatments

The experiment was conducted at the Faculty of Agronomic Sciences, São Paulo State University (UNESP), Botucatu, São Paulo, Brazil. The physiological quality of the seeds was evaluated in both laboratory and greenhouse settings. Seeds of Rangpur lime ‘Santa Cruz’ (Citrus limonia L. Osbeck) were manually extracted from mature fruits. After extraction, the seeds were washed with running water to remove the mucilage and subsequently dried in the shade.
For both environments, a completely randomized design with a 2 × 5 factorial arrangement was used to test the effects of the plant growth regulators (PGRs) GA3 and GA4+7 + 6Benzyladenine (GA4+7 + 6BA) at concentrations of 0, 250, 500, 750, and 1000 mg L−1 a.i. The gibberellin source used consisted of 4 % GA3 and 96 % inert ingredients. The GA4+7 + 6BA mixture was composed of gibberellins GA4+7 (1.8 %) and the cytokinin 6-benzyladenine (1.8%).
For the laboratory germination test, four repetitions of 50 seeds each were used, placed in “gerbox” type boxes with blotting paper as the substrate, imbibed in water (2.5 times their weight), and maintained in a germinator with alternating temperature and light conditions (16 h of light at 30 °C and 8 h of darkness at 20 °C), according to [17]. Seeds were considered germinated when they exhibited a radicle protrusion of at least 2 mm [18].
For the greenhouse test, four repetitions of six seedlings were used. To obtain the seedlings, the seeds treated with the PGRs were sown in polystyrene trays with 72 cells (100 cm3 capacity) filled with commercial substrate composed of sphagnum peat, vermiculite, limestone, and agricultural gypsum (pH: 5.0; electrical conductivity: 0.7 mS cm−1; density: 101 kg m−3; water retention capacity, CRA10 of 55 %).
When the seedlings reached the transplant stage, approximately 60 days after sowing, they were transplanted into bags filled with a substrate based on soil and organic compost, in a 3:1 ratio, enriched with limestone (2 kg m−3), single superphosphate (1.5 kg m−3), and potassium chloride (0.5 kg m−3).

2.2. Seed Imbibition and Treatment Application

To determine the seed imbibition time in the PGRs, a water imbibition curve for the seeds was performed, using four repetitions of 25 seeds each, immersed in distilled water with an aeration system. At each interval, the seeds were removed from the water, surface-dried on paper, and weighed on a balance with a precision of 0.0001 g. At the end, the seed moisture content was determined using the oven method at 105 °C [17], and then the seeds were imbibed in the PGRs for the appropriate times, also using an aeration system.

2.3. Evaluations

2.3.1. Laboratory Tests

For the laboratory tests, the seedlings were evaluated for:
Germination percentage: at the end of the seedling evaluations, calculated using the formula G = (N/A) × 100, where G is the germination percentage, N is the number of germinated seeds, and A is the number of seeds in the sample [17].
Germination speed index (GSI): calculated by daily counting of germinated seeds and using the formula GSI = Σ Pi/Di, where GSI is the germination speed index, Pi is the number of seeds germinated on the i-th day, and Di is the number of days from the start of the test to the i-th day [19].
Shoot and root length: measured using a ruler graduated in mm.
Total fresh and dry mass of seedlings: the fresh mass was obtained by weighing the seedlings on a precision balance with an accuracy of 0.00001 g. After weighing, the seedlings were dried in an oven with air circulation at 80 °C until a constant mass was achieved, and then weighed again on a precision balance to obtain the dry mass.
Percentage of abnormal seedlings: determined by counting the abnormal seedlings (cracked, broken, lacking root and/or shoot systems, moldy), calculated using the formula PA = (N/A) × 100, where PA is the percentage of abnormal seedlings, N is the number of abnormal seedlings, and A is the number of seeds in the sample.

2.3.2. Greenhouse Tests

For the greenhouse experiment, when the seedlings reached the grafting stage, 160 days after transplanting, they were evaluated for:
Fresh and dry weight of the aerial part and root system: Fresh weights were obtained by weighing the shoot and root parts of the seedlings on a precision balance with an accuracy of 0.00001 g. After weighing, the samples were dried in an oven with air circulation until a constant weight was achieved and then weighed again on a precision balance to obtain the dry mass weigh.
Root system length: Obtained using a ruler graduated in cm, measuring from the root cap to the root termination (zone of insertion of the aerial stem).
Total proteins: The quantification of total proteins was determined according to the methodology proposed by [20]. The reaction system consisted of 100 μL of enzymatic extract and 5000 μL of Bradford reagent. The reaction was conducted at room temperature for 15 min, and the reading was taken at 595 nm using a BEL Photonics® SP 2000 UV/vis spectrophotometer (Thermo Fisher Scientific, Waltham, MA, USA).
Antioxidant enzyme activity in leaves: Peroxidase (POD) activity was measured using the spectrophotometric method proposed by [21]. Superoxide dismutase (SOD) activity was determined using the methodology described by [22]. Catalase (CAT) activity was assessed according to the methodology described by [23]. Ascorbate peroxidase (APX) activity was determined by monitoring the ascorbate oxidation rate at 290 nm. The molar extinction coefficient used was 2.8 mM−1 cm−1 [24]. For both analyses, the BEL Photonics® SP 2000 UV/vis spectrophotometer (Thermo Fisher Scientific, Waltham, MA, USA) was used.
Gas exchange: Gas exchange measurements were taken on three leaves per seedling using an open-system photosynthesis apparatus with a CO2 and water vapor infrared radiation analyzer (InfraRed Gas Analyser—IRGA, model LI-6400, LiCor, Lincoln, OR, USA).
During the evaluations, the ambient CO2 concentration was used as a reference. The gas exchange characteristics analyzed were: CO2 assimilation rate (A, μmol CO2 m−2 s−1), transpiration rate (E, mmol H2O vapor m−2 s−1), and stomatal conductance (gs, mol m−2 s−1). These characteristics were calculated using the data analysis program of the photosynthesis measuring equipment, which employs the general gas exchange equation [25].
Water use efficiency (WUE, μmol CO2 (mmol H2O)−1) was determined by the ratio between CO2 assimilation and transpiration rate, and the carboxylation efficiency (A/Ci) was determined by the ratio between CO2 assimilation rate and the internal CO2 concentration in the leaf.
Fluorescence was measured using the fluorometer integrated with the IRGA. For this, the leaves were acclimated for a period of 30 min, protected from light by covering them with aluminum foil. Subsequently, a saturation pulse of 10,000 μmol m−2 s−1 of photon flux density (PFD) for 0.6 s was applied to obtain Fm (maximum fluorescence adapted to dark) and Fm′ (maximum fluorescence adapted to light). In addition to the maximum fluorescence of the leaf adapted to light and dark, the values of Fo (minimum fluorescence adapted to dark) and Fo′ (minimum fluorescence adapted to light) were also obtained. Between each saturation pulse, a pulse of actinic light at 1150 μmol m−2 s−1 PFD was applied for 15 s. Using Fm, Fo, Fm′, and Fo′, the maximum quantum yield (Fv/Fm) [26], effective quantum yield (ɸPSII) [27], and photochemical quenching (qP) were calculated [28], non-photochemical “quenching” (NPQ) [29], electron transport rate (ETR), considering that 84% of the light is absorbed by chlorophyll, with 50% of the photons activating photosystem II chlorophyll and 50% activating photosystem I, quantum yield of non-regulated non-photochemical energy loss in photosystem II (ɸNO) (Klughammer; Schreiber, 2008) and quantum yield of regulated non-photochemical energy loss in photosystem II (ɸNPQ) [30].

2.4. Statistical Analyses

The obtained data were subjected to analysis of variance (F-test) and Tukey’s test (p < 0.005%). To verify the clustering of the responses, a multivariate analysis was conducted using the Statistical Analysis Software 4.0 (SAS), employing principal component analysis (PCA) to characterize the interactions between PGRs and concentrations.

3. Results

3.1. Germination Seeds

Gibberellic acid (GA3) has proven effective in promoting the germination of Rangpur lime seeds, resulting in a higher germination rate. In contrast, GA4+7 + 6BA exhibited an inverse effect, reducing the germination percentage as the dose increased, showing toxicity at a concentration of 1000 mg L−1, where no seeds germinated (Figure 1f). Additionally, GA4+7 + 6BA compromised the development of Rangpur lime seedlings, adversely affecting all evaluated characteristics during their formation. At doses that allowed some germination, the resulting seedlings were classified as abnormal, characterized by the absence of development in aerial parts and/or roots (Figure 1a–e).
Conversely, the use of GA3 during the imbibing process of Rangpur lime seeds contributed not only to better germination but also to the production of normal seedlings with adequate development of aerial and root parts. All tested doses of GA3 were effective, resulting in a higher germination percentage and more vigorous seedlings, as evidenced by the increase in the length of aerial and root parts, as well as greater accumulation of fresh and dry biomass (Figure 1a–e).
Additionally, GA3 promotes cell elongation, which increases the length of aerial and root parts, and influences cell division, contributing to the development of more robust plants. This action results in an increase in the fresh and dry mass of seedlings, leading to the formation of healthier and more vigorous plants. This is particularly important for Rangpur lime, which is used as a rootstock in citrus cultivation.
GA3 accelerates the germination process by optimizing reserve mobilization and promoting cellular and structural changes that result in the emergence of the radicle (initial root of the seedling) and subsequently the aerial parts. This property was evidenced in the present study, where GA3, at all tested doses, resulted in an increase in the germination speed index (GSI) and the formation of aerial and root parts (Figure 1 and Figure 2).

3.2. Growth and Development of Seedlings

The biomass characteristics and dimensions of Rangpur lime seedlings were minimally affected by the application of GA3 and GA4+7 + 6BA during the seed imbibing process (Figure 3a–e). Notably, the dry mass of the aerial part was significantly impacted, recording higher values with the application of GA4+7 + 6BA at 750 mg L−1 (Figure 3d). This dose likely promoted an increase in the production of cellulose and lignin, compounds that significantly contribute to the dry mass of plants, without influencing the water content or other components that affect fresh mass [31].

3.3. Protein Level and Oxidative Enzymes of Seedlings

At all evaluated concentrations, GA3 and GA4+7 + 6BA were effective in inducing changes in the protein content and enzymatic profile of Rangpur lime seedlings (Figure 4a–d and Figure 5). A considerable increase in protein accumulation was observed in seedlings treated with GA3 at doses of 500 and 750 mg L−1 (Figure 4a and Figure 5) and with GA4+7 + 6BA at 250 mg L−1.
The high protein concentration in Rangpur lime seedlings is crucial for this citrus rootstock, once that protein performs vital functions in plant cells, including the formation of cell membranes, organelles, and components of the cytoskeleton, making them indispensable for proper plant growth and development. Additionally, they play a fundamental role in the response to biotic and abiotic stresses. A high protein content can confer resistance to pests, diseases, and adverse environmental conditions, ensuring the survival and vigor of Rangpur lime seedlings, one of the rootstocks used in Brazilian citrus cultivation due to its drought tolerance.
Reduced activities of the enzymes peroxidase (POD), superoxide dismutase (SOD), and catalase (CAT) were observed in treatments with GA3 and GA4+7 + 6BA at concentrations of 250, 500, and 750 mg L−1 (Figure 4b–d and Figure 5). These enzymes are crucial in the antioxidant metabolism of plants, suggesting that the plant regulators contributed to the development of healthy and vigorous seedlings in a low-stress physiological state.
The observed reduction in enzymatic activity suggests efficient regulation of stress conditions by the plant growth regulators (PGRs), which is beneficial for the health and vigor of the seedlings. Thus, the low antioxidant enzymatic activity in Rangpur lime seedlings indicates that these plants are being cultivated under conditions that favor healthy and robust development, a crucial aspect for Citrus limonia seedlings that will later be transferred to the field or subjected to the grafting process.

3.4. Gas Exchange, Water Use Efficiency, and Fluorescence

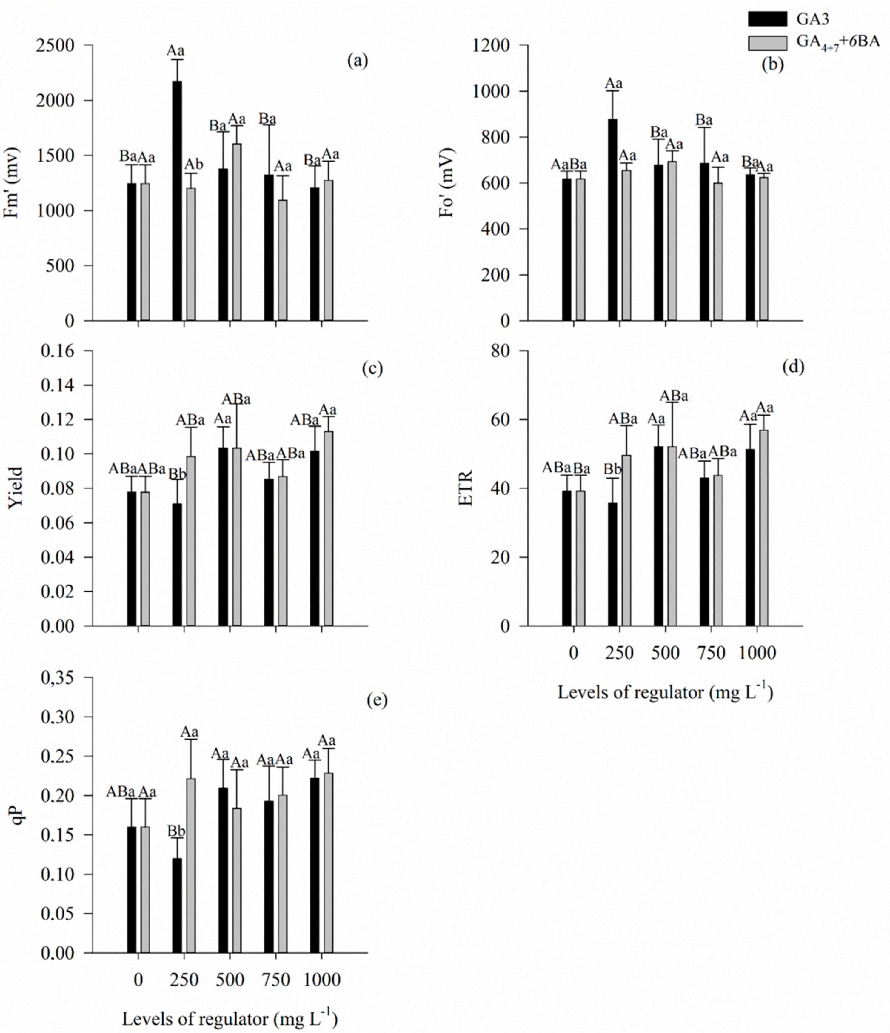
The application of GA3 at 250 mg L−1 increased the minimum fluorescence (Fo′) and maximum light-adapted fluorescence (Fm′) in rangpur lime seedlings (Figure 6a,b). Physiologically, Fo′ is associated with the rate of electron transport, and Fm′ with the maximum capacity of plants to capture and convert light into chemical energy for photosynthesis. Both variables directly reflect the efficiency of the photosynthetic system in Rangpur lime seedlings in converting light energy into chemical energy.
On the other hand, applications of GA3 (500 mg L−1) and GA4+7 + 6BA (1000 mg L−1) proved effective in promoting a high photosynthetic rate in Rangpur lime seedlings (Figure 6c). However, these same doses also resulted in an increase in photochemical quenching (qP) (Figure 6e), indicating an excessive accumulation of light energy that is not being fully utilized for photosynthesis.
This accumulation may lead to an energy imbalance in the cells, impacting photosynthetic efficiency.
GA3 can alter the structure and function of chloroplasts, enhancing light capture efficiency as indicated by increases in parameters such as photochemical quenching (qP), minimum fluorescence (Fo′), and maximum fluorescence (Fm′) (Figure 6a,b,e). On the other hand, GA4+7 + 6BA, which contains cytokinin, can promote cell division and growth, including cells involved in photosynthetic processes.
The combined effects of Fo′, Fm′, qP, and electron transport rate (ETR), as observed with the use of GA3 and GA4+7 + 6BA, demonstrate an improvement in the plants’ ability to absorb and utilize light energy for photosynthesis.
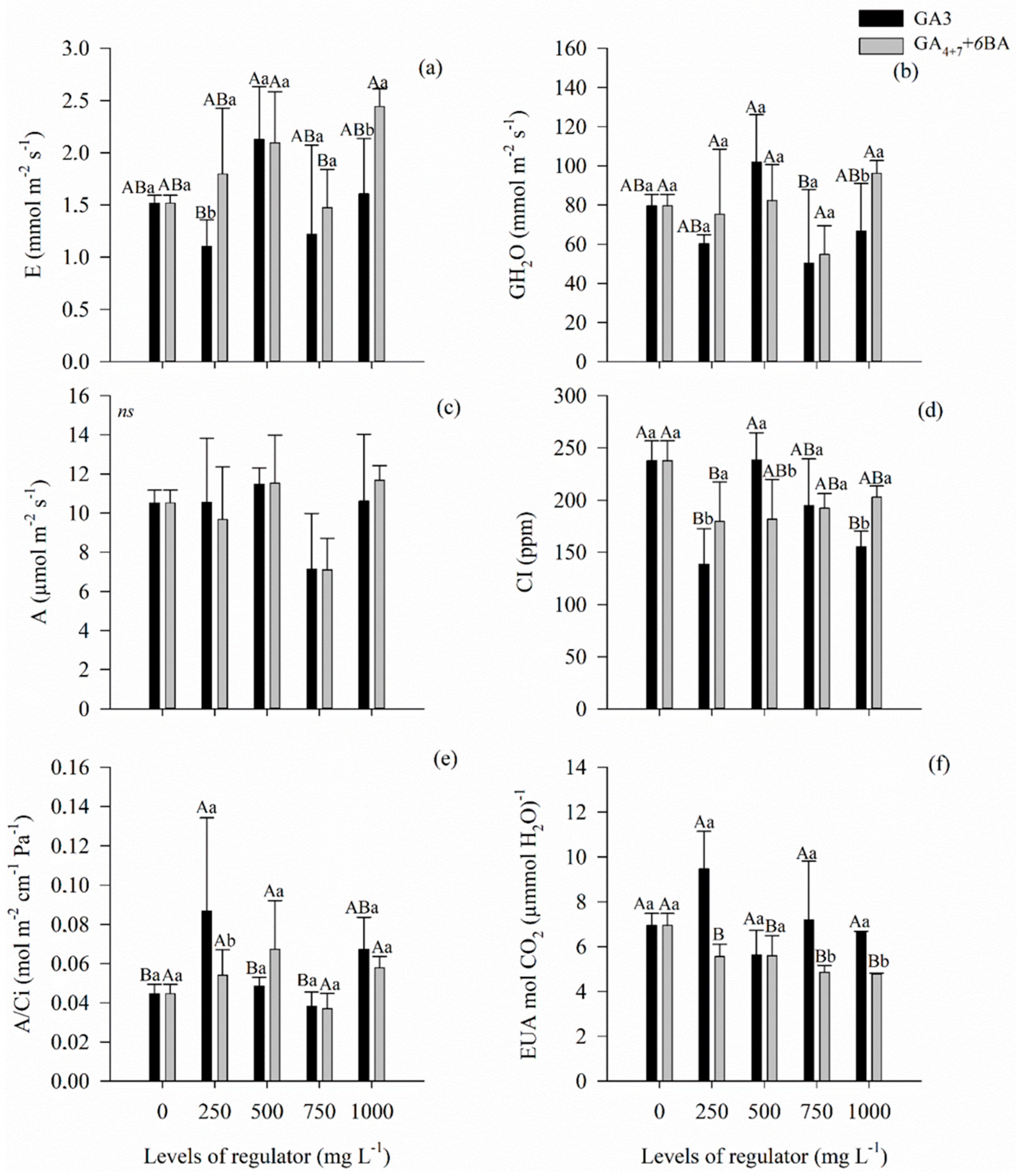
Regardless of the concentration, GA3 also increased water use efficiency (WUE), reduced the transpiration rate (E), and enhanced Rubisco enzyme efficiency (A/Ci) in Rangpur lime seedlings (Figure 7a,e). These parameters are crucial, especially for Citrus limonia seedlings intended for establishing perennial orchards or as rootstocks, as GA3 enables the formation of seedlings with lower water requirements, which can be decisive for productive success. Agricultural crops face various stress conditions daily, with water stress being one of the most impactful on productivity.
Therefore, seedlings with higher water use efficiency (WUE) and reduced transpiration rates (E), such as those treated with GA3, can better withstand water deficit conditions and climate fluctuations. Water is essential for all physiological processes, including photosynthesis, nutrient transport, and maintaining cell structure. Thus, higher WUE and lower E ensure that Rangpur lime seedlings have adequate access to water, enabling essential physiological processes and growth even under water stress.
It is important to highlight that WUE (Water Use Efficiency) reflects the plant’s ability to assimilate a greater amount of carbon dioxide with a lower water loss through transpiration. Therefore, high WUE values indicate greater efficiency in carbohydrate synthesis and a reduction in water requirements. Thus, GA3 presents itself as a promising agent for soaking Rangpur lime seeds, aiming at the production of seedlings with reduced water demands.
In general, the interaction between different PGRs and their doses significantly impacts the physiology of Citrus limonia seedlings, influencing everything from germination processes to aspects related to photosynthetic efficiency, transpiration capacity, and water use efficiency.
Thus, it is advisable to select combinations of PGRs and doses that induce the least possible oxidative stress, as observed in this study, since the high energy consumption to activate antioxidant enzymes can result in productivity losses. Therefore, the ability to maintain photochemical efficiency and gas exchange with lower production of oxidative stress enzymes indicates the most advantageous combinations of plant growth regulator and dose, ensuring the development of Rangpur lime seedlings and the completion of their physiological processes without damage to plant cells.

3.5. Principal Component Analysis

Principal component analysis (PCA) exploring the responses of Rangpur lime seedlings to GA3 and GA4+7 + 6BA treatments demonstrates a clear separation between the treatments, with higher doses standing out, positioned far from the control (dose 0). This suggests a significant change in the physiological characteristics of the seedlings treated with higher doses of plant growth regulators compared to the control group (Figure 8).
The PCA indicates how different physiological and growth variables, such as ETR, photosynthesis, SOD, POD, and germination, are related to each other. Variables such as ETR, photosynthesis, and germination, which are strongly correlated with the first principal component, suggest an increase in photosynthetic activity and germinative efficiency under the influence of the applied treatments, especially at higher doses as indicated by the positioning of D750 and D1000 (Figure 8).
The concentration of GA3 at 750 mg L−1 appears to be particularly effective, promoting not only an increase in germination and growth but also significantly improving the biochemical and physiological parameters of Citrus limonia seedlings, as evidenced by the high correlation of these variables with the position of this treatment in the PCA figures. This reinforces the effectiveness of plant growth regulators in optimizing physiological processes, especially during critical stages of plant development.
These results indicate that the use of GA3 and GA4+7 + 6BA can be a promising tool to improve the quality and performance of Rangpur lime seedlings, with potential practical applications in citriculture, particularly under conditions that require optimization of yield and water efficiency.

4. Discussion

During the germination process, gibberellins such as GA3 stimulate enzymatic synthesis and activity, promoting cell expansion and seedling growth [13,14,32]. These findings are in conformity with [33] in acid lime seedlings, [34] in Kinnow mandarin, [35] in Rangpur lime, and [36] in malta common seedlings. These hormones are also associated with overcoming dormancy in some species by inducing the synthesis of enzymes that weaken the endosperm [14,32,37], and they have a stimulating effect on the germination process of non-dormant seeds [12,15], as observed in this study.
The low germination rates for seeds treated with GA4+7 + 6BA may be associated with the fact that high concentrations of abscisic acid in seeds can inhibit the germination process, imposing dormancy, especially when present in the tegument tissues [38]. As the germination of C. limonia is slow, heterogeneous, and asynchronous [1], these effects may have been intensified by the mixture of GA4+7 + 6BA. Ultimately, [39] observed in Phellodendron amurense seeds that as the presence of abscisic acid decreased, there was an increase in the levels of GA3, GA4, and GA7 during germination, which would explain the good growth rates of Rangpur lime obtained in the present study.
GA3 promotes the synthesis of enzymes such as amylases, which are essential for the conversion of starch into glucose, providing the necessary energy for the germination process [40], which explains the better germination results of Rangpur lime seeds treated with GA3 [41] observed similar effects in C. aurantifolia (Christmas) Swingle. These findings are supported by [42] on Kagzi Lime [35], who reported that the growth and uniformity of Rangpur lime seedlings were also enhanced by seed treatment with GA3.
The findings on the opposing effects between ABA and GAs suggest that these hormones act antagonistically in controlling germination. Thus, it is believed that abscisic acid also limits the positive signal for early germination in cereals [43], although it is also accepted that the balance between GAs and ABA can enhance germination [44]. Thus, it is believed that abscisic acid limits the positive signal for early germination in cereals [43], although it is also accepted that the balance between GAs and ABA can intensify germination [44]. Additionally, it influences gene expression related to plant growth and development by promoting cell division and elongation, as well as tissue differentiation [12,45], and this is crucial not only during germination but also in other phases of the plant’s life cycle, such as flowering.
GA3 is effective in promoting the increase in the production of cellulose and lignin, compounds that significantly contribute to the dry mass of plants without influencing the water content or other components that affect fresh mass [31,46]. GA3 and GA4+7 + 6BA stimulate protein synthesis and activate metabolic pathways essential for protein biosynthesis, thereby increasing protein levels in plants [47,48]. This stimulus is essential to accelerate the growth rate of the seedlings so that they reach the grafting size sooner. This growth forcing can reduce the cost and time of rootstock creation [49,50].
Proteins perform vital functions in plant cells, including the formation of cell membranes, organelles, and components of the cytoskeleton [40,51,52], making them indispensable for proper plant growth and development. They play a fundamental role in the response to biotic and abiotic stresses [53]. A high protein content can confer resistance to pests, diseases, and adverse environmental conditions, ensuring the survival and vigor of Rangpur lime seedlings [54], one of the rootstocks used in Brazilian citrus cultivation due to its drought tolerance [1].
The increase in Fo′ and Fm′ indicates improvements in the plants’ photosynthetic processes, facilitated by the synergistic effects of GA3 on plant growth and development [12,45]. Fo′ is the basal fluorescence emitted when the photosynthetic reaction centers are all open but not yet influenced by additional light, while Fm′ represents the maximum fluorescence emitted when the reaction centers are fully saturated with light [55,56].
High light energy that is not being fully utilized for photosynthesis suggests that, despite a high photosynthetic rate, there is an inefficiency in utilizing all the absorbed light energy, due to the effects of PGRs on plant growth and development [12,45]. GA4+7 + 6BA, which contains cytokinin, can promote cell division and growth, including cells involved in photosynthetic processes [12,57]. Research suggests that GA3 and GA4+7 + 6BA can modulate the expression of a range of genes related to photosynthesis, enhancing the photosynthetic efficiency of Rangpur lime seedlings [12,45,57].
The decrease in POD activity is often associated with lower exposure to oxidative stress [58], suggesting that the plant regulators contributed to the development of healthy and vigorous seedlings in a low-stress physiological state. The same principle applies to the reduced activities of SOD and CAT, which also indicate favorable cultivation conditions, minimizing oxidative stress [58]. These enzymes play a crucial role in defending plants against oxidative damage by mitigating the accumulation of reactive oxygen species (ROS), which can cause significant harm to vital cellular components such as photosystem II and lipid membranes [59,60].
Reactive oxygen species (ROS) can disrupt normal cellular metabolism through oxidative damage to lipids, proteins, and nucleic acids and can also directly damage critical cellular components such as membranes and photosystem II [59,61]. Numerous pieces of evidence suggest that ABA increases a plant’s potential to combat ROS by activating antioxidant enzymes such as SOD, POD, and CAT and can also act to activate ascorbate peroxidase and glutathione reductase under stressful conditions in crops [62,63,64]. This function contributes to regulating the osmotic balance, mitigating oxidative damage, and improving root conductivity, triggering gene expression. Ultimately, Rangpur lime seeds treated with GA4+7 + 6BA showed greater capacity to respond to abiotic stresses.

5. Conclusions

The application of GA3 to Rangpur lime (Citrus limonia L. Osbeck) seeds enhances germination rates and promotes seedling growth. The results indicate that GA3 treatment not only accelerates the germination process but also increases enzymatic activities such as superoxide dismutase (SOD) and peroxidase (POD), which mitigate oxidative stress and enhance seedling vigor. Therefore, imbibing seeds in a 750 mg L−1 GA3 solution is recommended to optimize germination efficiency and improve overall seedling production quality.

Author Contributions

F.J.D.N., D.C.d.S.C., J.D.R. and M.A.T. planned and designed the experiment. F.J.D.N. and D.C.d.S.C. performed plant physiological analyses, chemical, biochemical and enzyme analyses. F.J.D.N., F.F.P. and M.d.S.S. performed data analyses. F.J.D.N., D.C.d.S.C., S.L. and M.d.S.S. created the tables and figures. F.J.D.N., D.C.d.S.C., F.F.P., J.D.R., M.A.T., S.L. and M.d.S.S. wrote and revised the manuscript. All authors have read and agreed to the published version of the manuscript.

Funding

This research received no external funding.

Data Availability Statement

The original contributions presented in the study are included in the article material; further inquiries can be directed to the corresponding author.

Conflicts of Interest

The authors declare that there are no conflicts of interest.

References

  1. Ávila, M.R.; Barbosa, J.; Fonseca Júnior, N.S.; Nagashima, G.T.; Oliveira, C.M.G.; Garcia, E.B. Dynamics of the rangpur lime seed germination test conducted under different temperatures. J. Seed Sci. 2019, 41, 344–351. [Google Scholar] [CrossRef]
  2. Liberato, E.M.S.; Leonel, S.; Souza, J.M.A.; Napoleão, G.M. Substrate mixing formulations for Citrus nursery management. Nativa 2021, 9, 500–507. [Google Scholar] [CrossRef]
  3. Curk, F.; Olitrautt, F.; Garcia-Lor, A.; Luro, F.; Navarro, L.; Ollitraut, P. Phylogenetic origin of limes and lemons revealed by cytoplasmic and nuclear markers. Ann. Bot. 2016, 117, 1–19. [Google Scholar] [CrossRef]
  4. Oliveira, C.R.M.; Mello-Farias, P.C.; Oliveira, D.S.C.; Chaves, A.L.S.; Herter, F.G. Water availability effect on gas exchanges and on phenology of ‘Cabula’ orange. Acta Hortic. 2017, 1150, 133–138. [Google Scholar] [CrossRef]
  5. Fadel, A.L.; Mourão Filho, F.A.A.; Stuchi, E.S.; Wulff, N.A.; Couto, H.T.Z. Citrus sudden death-associated virus (CSDaV) and citrus tristeza virus (CTV) in eleven rootstocks for ‘Valência’ sweet orange. Rev. Bras. De Frutic. 2018, 40, e-788. [Google Scholar] [CrossRef]
  6. Ferrarezi, R.S. Citrus Nursery Production Guide, Chapter 8: Stock and Plant Tree Production. Irrigation and Fertilization; HS1333; UF/IFAS Extension, University of Florida: Gainesville, FL, USA, 2019. [Google Scholar]
  7. Merlin, T.P.A.; Lima, G.P.P.; Leonel, S.; Vianelo, F. Peroxidase activity and total phenol content in citrus cuttings treated with different copper sources. S. Afr. J. Bot. 2012, 83, 159–164. [Google Scholar] [CrossRef]
  8. Dorji, K.; Lakey, L. Citrus Nursery Management—A Technical Guide; Department of Agriculture: Thimphu, Bhutan, 2015; 67p. [Google Scholar]
  9. Conceição, P.M.; Azevedo, F.A.; Souza, A.J.B.; Próspero, A.G.; Morelli, M.; Forti, V.A. Ideal harvesting point of ‘Limeira-IAC382’ trifoliate orange fruits for seed extraction. Rev. Bras. De Frutic. 2020, 42, e-535. [Google Scholar] [CrossRef]
  10. Morelli, M.; Azevedo, F.A.; Conceição, P.M.; Souza, A.J.B. Maturation and physiological quality of IAC-863 Rangpur lime seeds. Comun. Sci. Hort. J. 2019, 10, 454–460. [Google Scholar] [CrossRef]
  11. Bons, H.K.; Kaur, N.; Rattampal, H.S. Quality and quantity improvement of citrus: Role of plant growth regulators. Int. J. Agric. Environ. Biotechnol. 2015, 8, 433–447. [Google Scholar] [CrossRef]
  12. Taiz, L.; Zeiger, E. Fisiologia e Desenvolvimento Vegetal; ARTMED: Porto Alegre, Brazil, 2017; 888p. [Google Scholar]
  13. Marcos Filho, J. Fisiologia de Sementes de Plantas Cultivadas; Fealq: Piracicaba, Brazil, 2005; 495p. [Google Scholar]
  14. Silva, E.A.A.; Toorop, P.E.; Nijsse, J.; Bewley, J.D.; Hilhorst, W.M. Exogenous gibberellins inhibit coffee (Coffea arabica cv. Rubi) seed germination and cause cell death in the embryo. J. Exp. Bot. 2005, 56, 1029–1038. [Google Scholar] [CrossRef]
  15. Domingues Neto, F.J.; Dalanhol, S.J.; Machry, M.; Pimentel Junior, A.; Rodrigues, J.D.; Ono, E.O. Effects of plant growth regulators on eggplant seed germination and seedling growth. Aust. J. Crop Sci. 2017, 11, 1277–1282. [Google Scholar] [CrossRef]
  16. Hartmann, H.; Kester, D.; Davies, F.; Geneve, R.; Wilson, S. Plant Propagation: Principles and Practices; Prentice Hall: New York, NY, USA, 2011; 915p. [Google Scholar]
  17. BRASIL. Ministério da Agricultura, Pecuária e Abastecimento. Regras para Análise de Sementes; Ministério Da Agricultura: Brasília, Brazil, 2009; 395p. [Google Scholar]
  18. Hadas, A. Water uptake germination of leguminous seeds under changing external water potential in osmotic solution. J. Exp. Bot 1976, 27, 480–489. [Google Scholar] [CrossRef]
  19. Maguire, J.D. Speed of germination aid in selection and evaluation for seedling emergence and vigor. Crop Sci. 1962, 2, 176–177. [Google Scholar] [CrossRef]
  20. Bradford, M.M. A rapid and sensitive method for quantification of microgram quantities of protein utilizing the principle of protein-dye-binding. Anal. Biochem. 1976, 72, 248–254. [Google Scholar] [CrossRef]
  21. Teisseire, H.; Guy, V. Copper-induced changes in antioxidant enzymes activities in fronds of duckweed (Lemna minor). Plant Sci. 2000, 153, 65–72. [Google Scholar] [CrossRef]
  22. Beauchamp, C.; Fridovich, I. Superoxide dismutase: Improved assays and applicable to acrylamide gels. Anal. Biochem. 1971, 44, 276–287. [Google Scholar] [CrossRef] [PubMed]
  23. Peixoto, H.P.P.; Cambraia, J.; Sant’ana, R.; Mosquim, P.R.; Moreira, A.M. Aluminium effects on lipid peroxidation and the activities of enzymes of oxidative metabolism in sorghum. Rev. Bras. Fisiol. Veg. 1999, 11, 137–143. [Google Scholar]
  24. Nakano, Y.; Asada, K. Hydrogen peroxide is scavenged by ascorbate-specific peroxidase in spinach chloroplasts. Plant Cell Physiol. 1981, 22, 867–880. [Google Scholar]
  25. Von Caemmerer, S.; Farquhar, G.D. Some relationships between the biochemistry of photosynthesis and the gas exchange of leaves. Planta 1981, 153, 376–387. [Google Scholar] [CrossRef]
  26. Kitajima, M.; Butler, W.L. Quenching of chlorophyll fluorescence and primary photo chemistry in chloroplasts by dibromo thymoquinone. Biochim. Biophys. Acta 1975, 376, 105–115. [Google Scholar] [CrossRef]
  27. Genty, B.; Briantais, J.M.; Barker, N.R. The relationship between the quantum yield of photosynthetic electron transport and quenching of chlorophyll fluorescence. Biochim. Biophys. Acta 1989, 990, 87–92. [Google Scholar] [CrossRef]
  28. Schreiber, U.; Schliwa, U.; Bilger, W. Continuous recording of photochemical and non-photochemical chlorophyll fluorescence quenching with a new type of modulation fluorometer. Photosynth. Res. 1986, 10, 51–62. [Google Scholar] [CrossRef] [PubMed]
  29. Bilger, W.; Björkman, O. Role of the xanthophyll cycle in photoprotection elucidated by measurements of light-induced absorbance changes, fluorescence and photosynthesis in leaves of Hedera canariensis. Photosynth. Res. 1990, 25, 173–185. [Google Scholar] [CrossRef] [PubMed]
  30. Klughammer, C.; Schreiber, U. Complementary PS II quantum yields calculated from simple fluorescence parameters measured by PAM fluorometry and the Saturation Pulse method. PAM Appl. Notes 2008, 1, 27–35. [Google Scholar]
  31. Richet, N.; Afif, D.; Huber, F.; Pollet, B.; Banvoy, J.; Zein, R.E.; Lapierre, C.; Dizengremel, P.; Perré, P.; Cabané, M. Cellulose and lignin biosynthesis is altered by ozone in wood of hybrid poplar (Populus tremula × alba). J. Exp. Bot. 2011, 62, 3575–3586. [Google Scholar] [CrossRef]
  32. Borghetti, F.; Ferreira, A.G. Interpretação de resultados de germinação. In Germinação: Do Básico ao Aplicado; Ferreira, A.G., Borghetti, F., Eds.; Artmed: Porto Alegre, Brazil, 2004; pp. 209–222. [Google Scholar]
  33. Shant, P.S.; Rao, S.N. Note on the effect of Gibberellic acid on seed germination and seedling growth of Acid lime. Prog. Hortic. 1973, 5, 63–65. [Google Scholar]
  34. Misra, R.S.; Verma, V.K. Studies on the seed germination of kinnow orange in the central Himalayas. Prog. Hortic. 1979, 12, 79–84. [Google Scholar]
  35. Dilip, W.S.; Singh, D.; Moharana, D.; Rout, S.; Patra, S.S. Effect of gibberellic acid (GA) different concentrations at different time intervals on seed germination and seedling growth of Rangpur lime. J. Agro. Nat. Res. Man. 2017, 4, 157–165. [Google Scholar]
  36. Misra, R.S.; Singh, S.B. Effect of plant growth regulators and Ascorbic acid on germination and growth of Malta common seedlings in Garhwal hills. Prog. Hortic. 1982, 14, 165–168. [Google Scholar]
  37. Fu, Y.; Ma, L.; Li, J.; Hou, D.; Zeng, B.; Zhang, L.; Liu, C.; Bi, Q.; Tan, J.; Yu, X. Factors Influencing Seed Dormancy and Germination and Advances in Seed Priming Technology. Plants 2024, 13, 1319. [Google Scholar] [CrossRef]
  38. Chen, S.Y.; Chien, C.T.; Chung, J.D.; Yang, Y.S.; Kuo, S.R. Dormancy-break and germination in seeds of Prunus campanulata (Rosaceae): Role of covering layers and changes in concentration of abscisic acid and gibberellins. Seed Sci. Res. 2007, 17, 21–32. [Google Scholar]
  39. Chen, S.Y.; Chien, C.T.; Baskin, J.M.; Baskin, C.C. Storage behavior and changes in concentrations of abscisic acid and gibberellins during dormancy break and germination in seeds of Phellodendron amurense var. wilsonii (Rutaceae). Tree Phys. 2010, 30, 275–284. [Google Scholar] [CrossRef]
  40. Levitt, J. Introduction to Plant Physiology, 2nd ed.; C.V. Mosby: Saint Louis, MO, USA, 1974; 447p. [Google Scholar]
  41. Kiran, S.D.C.; Shrishail, M.V.; Saini, S.M.; Prakash, H.T. Effect of Gibberellic acid on seed germination and seedling vigour of Indi’s Kagzi Lime [Citrus aurantifolia (Christmas) Swingle]. Int. J. Adv. Bioc. Res. 2024, 8, 355–358. [Google Scholar]
  42. Chaudhary, A.; Ahlawat, T.R.; Kumar, S.; Jena, S.; Patel, D. Effect of Gibberellic Acid on Germination and Vigour of Kagzi Lime Seedlings. Curr. J. Appl. Sci. Technol. 2019, 38, 1–8. [Google Scholar] [CrossRef]
  43. Ho, T.H.D.; Gomez, A.G.; Zentella, R.; Casaretto, J. Crosstalk between gibberellin and abscisic acid in cereal aleurone. J. Plant Growth Regul. 2003, 222, 185–194. [Google Scholar] [CrossRef]
  44. Yang, J.; Zhang, J.; Wang, Z.; Zhu, Q.; Wang, W. Hormonal changes in the grains of rice subjected to water stress during grain filling. Plant Physiol. 2001, 127, 315–323. [Google Scholar] [CrossRef]
  45. Salisbury, F.B.; Ross, C.W. Plant Physiology; Wadsworth: Belmont, CA, USA, 1991; 759p. [Google Scholar]
  46. Zhao, Q.; Wang, H.; Yin, Y.; Xu, Y.; Chen, F.; Dixon, R.A. Syringyl lignin biosynthesis is directly regulated by a secondary cell wall master switch. Proc. Natl. Acad. Sci. USA 2010, 107, 14496–14501. [Google Scholar] [CrossRef] [PubMed]
  47. Cao, H.; Shannon, J.C. Effect of gibberellin on growth, protein secretion and starch accumulation in maize endosperm suspension cells. J. Plant Growth Regul. 1997, 16, 37–140. [Google Scholar] [CrossRef]
  48. Van Huizen, R.; Ozga, J.A.; Reinecke, D.M. Influence of auxin and gibberellin on in vivo protein synthesis during early pea fruit growth. Plant Physiol. 1996, 112, 53–59. [Google Scholar] [CrossRef][Green Version]
  49. Patil, S.R.; Waskar, D.P.; Sonkamble, A.M. Effect of gibberellic acid, urea and neem cake on growthof Rangpur lime (Citrus limonia, Osbeck) seedlings. Asian J. Hortic. 2013, 8, 285–287. [Google Scholar]
  50. Meshram, P.C.; Joshi, P.S.; Bhoyar, R.K.; Sahoo, A.K. Effect of different plant growth regulators on seedling growth of acid lime. Res. Environ. Life Sci. 2015, 8, 725–728. [Google Scholar]
  51. Hardham, A.R.; Jones, D.A.; Takemoto, D. Cytoskeleton and cell wall function in penetration resistance. Curr. Opin. Plant Biol. 2007, 10, 342–348. [Google Scholar] [CrossRef] [PubMed]
  52. Monteiro, M.R.; Kandratavicius, L.; Leitte, J.P. O papel das proteínas do citoesqueleto na fisiologia celular normal e em condições patológicas. J. Epilepsy Clin. Neurophysiol. 2011, 17, 17–23. [Google Scholar] [CrossRef]
  53. Larcher, W. Ecofisiologia Vegetal; RIMA: São Carlos, Brazil, 2004. [Google Scholar]
  54. Caserta, R.; Teixeira-Silva, N.S.; Granato, L.M.; Dorta, S.O.; Rodrigues, C.M.; Mitre, L.K.; Yochikawa, J.T.H.; Fischer, E.R.; Nascimento, C.A.; Souza-Neto, R.R.; et al. Citrus biotechnology: What has been done to improve disease resistance in such an important crop? Biotechnol. Res. Innov. 2019, 3, 95–109. [Google Scholar] [CrossRef]
  55. Pinto, L.S.R.C. Avaliação do metabolismo fotossintético de plantas transgênicas de tabaco (Nicotiana tabacum) que expressam o gene Lhcb1*2 constitutivamente em condições de alta luminosidade. Tese de Doutorado, Universidade de São Paulo, Piracicaba, Brazil, 2000; 160p. [Google Scholar] [CrossRef]
  56. Crozier, A.; Kamiya, K.; Bishop, G.; Yokota, T. Biosynthesis of hormones and elicitor molecules. Biochem. Mol. Biol. Plants 2001, 850–929. [Google Scholar]
  57. Huerta, L.; Forment, J.; Gadea, J.; Fagoaga, C.; Peña, L.; Perez-Amador, M.A.; Garcia-Martinez, J. Gene expression analysis in citrus reveals the role of gibberellins on photosynthesis and stress. Plant Cell Environ. 2008, 31, 1620–1633. [Google Scholar] [CrossRef]
  58. Rodrigues, A.L. Respostas Fisiológicas e Estruturais em Plantas Submetidas a Estresse Hídrico Recorrente em Diferentes Condições de Luz. Tese De Doutorado, Univ. Estadual Paul., São Paulo, Brazil, 2018; 114p. Available online: https://bdtd.ibict.br/vufind/Record/UNSP_8eedb62a24a05f9f51b97502072b506f (accessed on 2 August 2024).
  59. Budanov, A.V.; Lee, J.H.; Karin, M. Stressin’ Sestrins take an aging fight. EMBO Mol. Med. 2010, 1, 1–13. [Google Scholar] [CrossRef]
  60. Romero-Puertas, M.C.; Rodríguez-Serrano, M.; Corpas, F.J.; Gomez, M.D.; Del Río, L.A.; Sandalio, L.M. Cadmium-induced subcellular accumulation of O2− and H2O2 in pea leaves. Plant Cell Environ. 2004, 27, 1122–1134. [Google Scholar] [CrossRef]
  61. Mandal, M.; Sarkar, M.; Khan, A.; Biswas, M.; Masi, A.; Rakwal, R.; Agrawal, G.K.; Srivastava, A.; Sarkar, A. Reactive oxygen species (ROS) and reactive nitrogen species (RNS) in plants– maintenance of structural individuality and functional blend. Adv. Redox Res. 2022, 5, 100039. [Google Scholar] [CrossRef]
  62. Zhou, Y.; He, R.; Guo, Y.; Liu, K.; Huang, G.; Peng, C.; Liu, Y.; Zhang, M.; Li, Z.; Duan, L. A novel ABA functional analogue B2 enhances drought tolerance in wheat. Sci. Rep. 2019, 9, 2887. [Google Scholar] [CrossRef]
  63. Sharp, R.E. Interaction with ethylene: Changing views on the role of abscisic acid in root and shoot growth responses to water stress. Plant Cell Environ. 2002, 25, 211–222. [Google Scholar] [CrossRef] [PubMed]
  64. Wu, Y.; Thorne, E.T.; Sharp, R.E.; Cosgrove, D.J. Modification of expansin transcript levels in the maize primary root at low water potentials. Plant Physiol. 2001, 126, 1471–1479. [Google Scholar] [CrossRef] [PubMed]
Figure 1. Germination characteristics of Rangpur lime (Citrus limonia) seeds imbibed in GA3 and GA4+7 + 6Benzyladenine (GA4+7 + 6BA). Lowercase letters compare plant growth regulators, and uppercase letters compare doses. (p < 0.05). Error bars indicate the standard deviation of the mean of 4 replicates (n = 4). (a) percentage of abnormal seedlings, (b) fresh phytomass in grams, (c) dry phytomass in grams, (d) shoot length in centimeters, (e) root length in centimeters, and (f) germination percentage.
Figure 1. Germination characteristics of Rangpur lime (Citrus limonia) seeds imbibed in GA3 and GA4+7 + 6Benzyladenine (GA4+7 + 6BA). Lowercase letters compare plant growth regulators, and uppercase letters compare doses. (p < 0.05). Error bars indicate the standard deviation of the mean of 4 replicates (n = 4). (a) percentage of abnormal seedlings, (b) fresh phytomass in grams, (c) dry phytomass in grams, (d) shoot length in centimeters, (e) root length in centimeters, and (f) germination percentage.
Agronomy 14 02066 g001
Figure 2. Germination speed index of Rangpur lime (Citrus limonia) seeds imbibed in GA3 and GA4+7 + 6Benzyladenine (GA4+7 + 6BA). Lowercase letters compare plant growth regulators, and uppercase letters compare doses. (p < 0.05). Error bars indicate the standard deviation of the mean of 4 replicates (n = 4).
Figure 2. Germination speed index of Rangpur lime (Citrus limonia) seeds imbibed in GA3 and GA4+7 + 6Benzyladenine (GA4+7 + 6BA). Lowercase letters compare plant growth regulators, and uppercase letters compare doses. (p < 0.05). Error bars indicate the standard deviation of the mean of 4 replicates (n = 4).
Agronomy 14 02066 g002
Figure 3. Growth characteristics of Rangpur lime (Citrus limonia) seedlings imbibed in GA3 and GA4+7 + 6Benzyladenine (GA4+7 + 6BA). Lowercase letters compare plant growth regulators, and uppercase letters compare doses. (p < 0.05). Error bars indicate the standard deviation of the mean of 4 replicates (n = 4). (a) fresh mass of the aerial part in grams, (b) fresh root mass in grams, (c) root length in centimeters, (d) dry mass of the aerial part in grams, and (e) dry root mass in grams.
Figure 3. Growth characteristics of Rangpur lime (Citrus limonia) seedlings imbibed in GA3 and GA4+7 + 6Benzyladenine (GA4+7 + 6BA). Lowercase letters compare plant growth regulators, and uppercase letters compare doses. (p < 0.05). Error bars indicate the standard deviation of the mean of 4 replicates (n = 4). (a) fresh mass of the aerial part in grams, (b) fresh root mass in grams, (c) root length in centimeters, (d) dry mass of the aerial part in grams, and (e) dry root mass in grams.
Agronomy 14 02066 g003
Figure 4. Proteins, peroxidase (POD), superoxide dismutase (SOD), and catalase (CAT) of Rangpur lime (Citrus limonia) seedlings from seeds soaked in GA3 and GA4+7 + 6Benzyladenine (GA4+7 + 6BA). Lowercase letters compare plant growth regulators, and uppercase letters compare doses. (p < 0.05). Error bars indicate the standard deviation of the mean of 4 replicates (n = 4). (a) protein content in mg per g, (b) superoxide dismutase (SOD) activity in U per mg of protein, (c) peroxidase (POD) activity in µmol purpurogallin min−1 mg−1 protein, and (d) catalase (CAT) activity in µkat per µg of protein.
Figure 4. Proteins, peroxidase (POD), superoxide dismutase (SOD), and catalase (CAT) of Rangpur lime (Citrus limonia) seedlings from seeds soaked in GA3 and GA4+7 + 6Benzyladenine (GA4+7 + 6BA). Lowercase letters compare plant growth regulators, and uppercase letters compare doses. (p < 0.05). Error bars indicate the standard deviation of the mean of 4 replicates (n = 4). (a) protein content in mg per g, (b) superoxide dismutase (SOD) activity in U per mg of protein, (c) peroxidase (POD) activity in µmol purpurogallin min−1 mg−1 protein, and (d) catalase (CAT) activity in µkat per µg of protein.
Agronomy 14 02066 g004
Figure 5. Graphical abstract of Rangpur lime (Citrus limonia) seedlings from seeds imbibed in GA3 and GA4+7 + 6Benzyladenine (GA4+7 + 6BA). Note: peroxidase (POD), superoxide dismutase (SOD), catalase (CAT), fresh mass (FM), and water use efficiency (WUE).
Figure 5. Graphical abstract of Rangpur lime (Citrus limonia) seedlings from seeds imbibed in GA3 and GA4+7 + 6Benzyladenine (GA4+7 + 6BA). Note: peroxidase (POD), superoxide dismutase (SOD), catalase (CAT), fresh mass (FM), and water use efficiency (WUE).
Agronomy 14 02066 g005
Figure 6. Fluorescence and photosynthesis of Rangpur lime (Citrus limonia) seedlings from seeds imbibed in GA3 and GA4+7 + 6Benzyladenine (GA4+7 + 6BA). Lowercase letters compare plant growth regulators, and uppercase letters compare doses. (p < 0.05). Error bars indicate the standard deviation of the mean of 4 replicates (n = 4). (a) transpiration rate (E) in mmol m−2 s−1, (b) stomatal conductance (GH2O) in mmol m−2 s−1, (c) net photosynthetic rate (A) in µmol m−2 s−1, (d) internal CO2 concentration (Ci) in ppm, (e) A/Ci ratio in mol m−2 cm−1 Pa−1, and (f) water use efficiency (EUA) in µmol CO2 µmol H2O−1.
Figure 6. Fluorescence and photosynthesis of Rangpur lime (Citrus limonia) seedlings from seeds imbibed in GA3 and GA4+7 + 6Benzyladenine (GA4+7 + 6BA). Lowercase letters compare plant growth regulators, and uppercase letters compare doses. (p < 0.05). Error bars indicate the standard deviation of the mean of 4 replicates (n = 4). (a) transpiration rate (E) in mmol m−2 s−1, (b) stomatal conductance (GH2O) in mmol m−2 s−1, (c) net photosynthetic rate (A) in µmol m−2 s−1, (d) internal CO2 concentration (Ci) in ppm, (e) A/Ci ratio in mol m−2 cm−1 Pa−1, and (f) water use efficiency (EUA) in µmol CO2 µmol H2O−1.
Agronomy 14 02066 g006
Figure 7. Gas exchange of Rangpur lime (Citrus limonia) seedlings from seeds imbibed in GA3 and GA4+7 + 6Benzyladenine (GA4+7 + 6BA). Lowercase letters compare plant growth regulators, and uppercase letters compare doses. (p < 0.05). Error bars indicate the standard deviation of the mean of 4 replicates (n = 4). (a) maximum fluorescence after exposure to light (Fm′) in mV, (b) initial fluorescence (Fo′) in mV, (c) quantum yield (Yield), (d) electron transport rate (ETR), and (e) photochemical quenching (qP).
Figure 7. Gas exchange of Rangpur lime (Citrus limonia) seedlings from seeds imbibed in GA3 and GA4+7 + 6Benzyladenine (GA4+7 + 6BA). Lowercase letters compare plant growth regulators, and uppercase letters compare doses. (p < 0.05). Error bars indicate the standard deviation of the mean of 4 replicates (n = 4). (a) maximum fluorescence after exposure to light (Fm′) in mV, (b) initial fluorescence (Fo′) in mV, (c) quantum yield (Yield), (d) electron transport rate (ETR), and (e) photochemical quenching (qP).
Agronomy 14 02066 g007
Figure 8. Principal component analysis (PCA) of Rangpur lime (Citrus limonia) seedlings from seeds soaked in GA3 and GA4+7+Benzyladenine (GA4+7 + 6BA). Note: superoxide dismutase (SOD), electron transport rate (ETR), photosynthetic yield (Yield), stomatal conductance to water (GH2O), transpiration (E), intercellular CO2 concentration (Ci), CO2 assimilation rate (A), carboxylation efficiency (A.Ci), maximum fluorescence (Fm), initial fluorescence (Fo), peroxidase (POD), catalase (CAT), superoxide dismutase (SOD), proteins (PROT), germination speed index (GSI), germination (Ger), water use efficiency (EUA), shoot dry mass (DMAP_F), shoot fresh mass (DRM_F), leaf fresh mass (FRM_F).
Figure 8. Principal component analysis (PCA) of Rangpur lime (Citrus limonia) seedlings from seeds soaked in GA3 and GA4+7+Benzyladenine (GA4+7 + 6BA). Note: superoxide dismutase (SOD), electron transport rate (ETR), photosynthetic yield (Yield), stomatal conductance to water (GH2O), transpiration (E), intercellular CO2 concentration (Ci), CO2 assimilation rate (A), carboxylation efficiency (A.Ci), maximum fluorescence (Fm), initial fluorescence (Fo), peroxidase (POD), catalase (CAT), superoxide dismutase (SOD), proteins (PROT), germination speed index (GSI), germination (Ger), water use efficiency (EUA), shoot dry mass (DMAP_F), shoot fresh mass (DRM_F), leaf fresh mass (FRM_F).
Agronomy 14 02066 g008
Disclaimer/Publisher’s Note: The statements, opinions and data contained in all publications are solely those of the individual author(s) and contributor(s) and not of MDPI and/or the editor(s). MDPI and/or the editor(s) disclaim responsibility for any injury to people or property resulting from any ideas, methods, instructions or products referred to in the content.

Share and Cite

MDPI and ACS Style

Domingues Neto, F.J.; Carneiro, D.C.d.S.; Putti, F.F.; Rodrigues, J.D.; Tecchio, M.A.; Leonel, S.; Silva, M.d.S. Physiological Indexes in Seed Germination and Seedling Growth of Rangpur Lime (Citrus limonia L. Osbeck) under Plant Growth Regulators. Agronomy 2024, 14, 2066. https://doi.org/10.3390/agronomy14092066

AMA Style

Domingues Neto FJ, Carneiro DCdS, Putti FF, Rodrigues JD, Tecchio MA, Leonel S, Silva MdS. Physiological Indexes in Seed Germination and Seedling Growth of Rangpur Lime (Citrus limonia L. Osbeck) under Plant Growth Regulators. Agronomy. 2024; 14(9):2066. https://doi.org/10.3390/agronomy14092066

Chicago/Turabian Style

Domingues Neto, Francisco José, Débora Cavalcante dos Santos Carneiro, Fernando Ferrari Putti, João Domingos Rodrigues, Marco Antonio Tecchio, Sarita Leonel, and Marcelo de Souza Silva. 2024. "Physiological Indexes in Seed Germination and Seedling Growth of Rangpur Lime (Citrus limonia L. Osbeck) under Plant Growth Regulators" Agronomy 14, no. 9: 2066. https://doi.org/10.3390/agronomy14092066

APA Style

Domingues Neto, F. J., Carneiro, D. C. d. S., Putti, F. F., Rodrigues, J. D., Tecchio, M. A., Leonel, S., & Silva, M. d. S. (2024). Physiological Indexes in Seed Germination and Seedling Growth of Rangpur Lime (Citrus limonia L. Osbeck) under Plant Growth Regulators. Agronomy, 14(9), 2066. https://doi.org/10.3390/agronomy14092066

Note that from the first issue of 2016, this journal uses article numbers instead of page numbers. See further details here.

Article Metrics

Back to TopTop