A Comprehensive Benefit Evaluation of the Model of Salt-Tolerant Crops Irrigated by Mariculture Wastewater Based on a Field Plot Experiment
Abstract
1. Introduction
2. Materials and Methods
2.1. Study Area and Materials
2.2. Experimental Design and Index Determination
2.2.1. Experimental Design
2.2.2. Measurement Indexes and Methods
2.3. Analysis Methods
2.3.1. Analytical Framework of the Inputs and Outputs and Environmental Impacts
2.3.2. Comprehensive Benefit Valuation Method
3. Results and Discussion
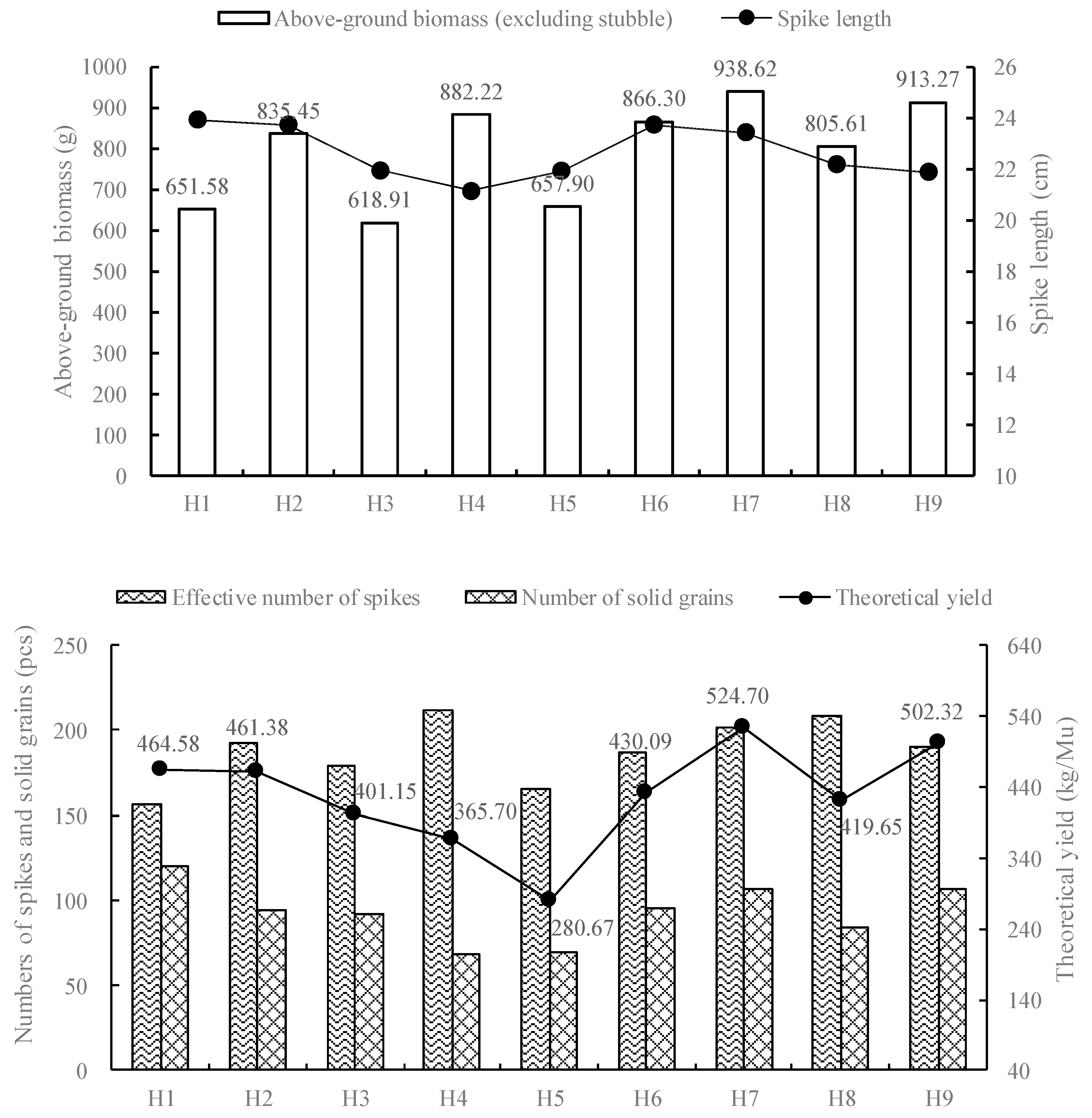
3.1. Yield Variation of Salinity-Tolerant Rice under Irrigation Pattern of Farm Wastewater
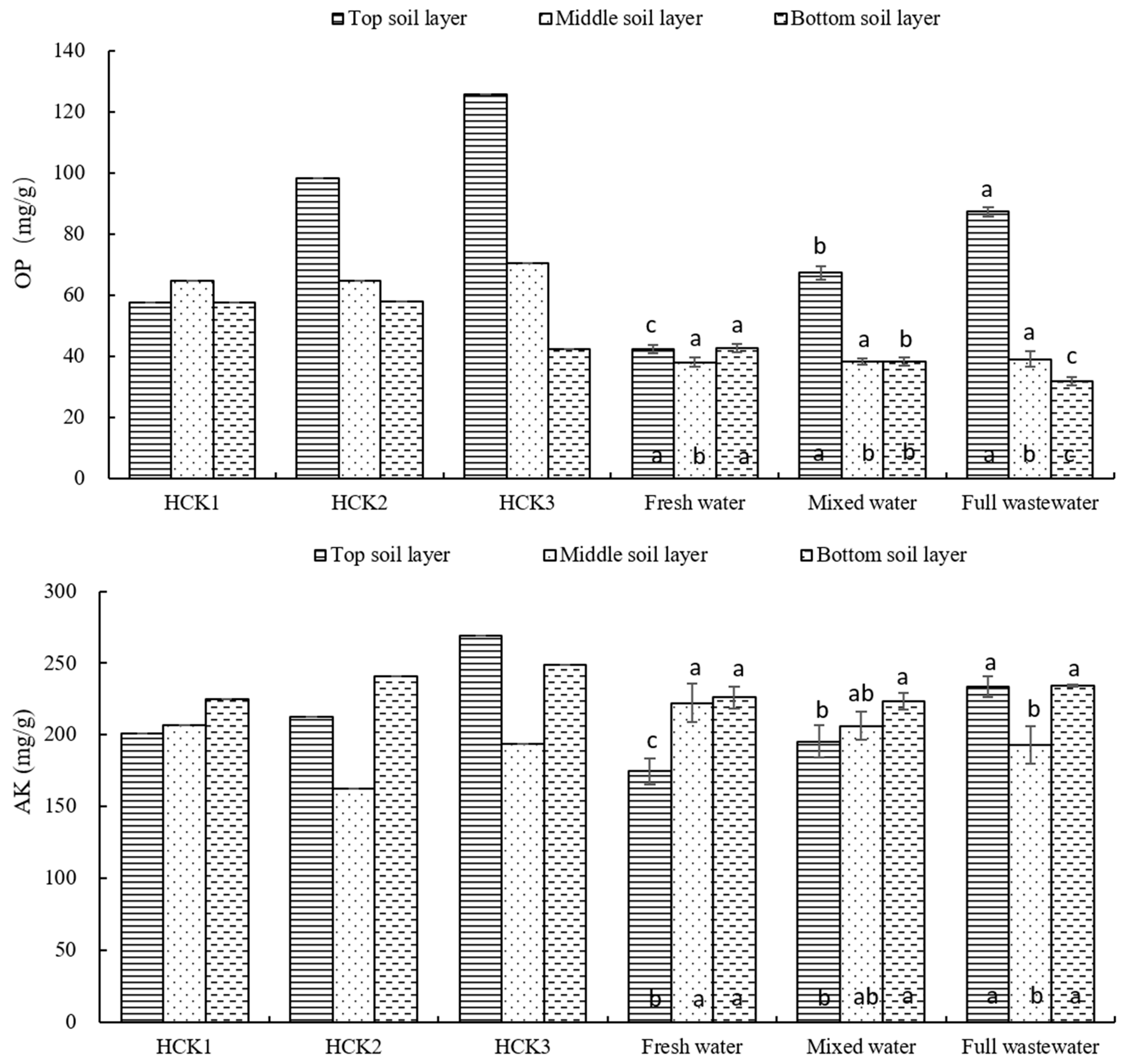
3.2. Soil Environmental Changes under Culture Wastewater Irrigation Mode
3.3. Accounting for Comprehensive Benefits of Farm Wastewater Irrigation Model
4. Conclusions
Author Contributions
Funding
Data Availability Statement
Acknowledgments
Conflicts of Interest
Abbreviations
| AK | Avail-K |
| AN | Alkali-N |
| Cd | Cadmium |
| EB | Economic benefits |
| EBD | Direct economic benefits |
| EBI | Indirect economic benefits |
| EC | Economic costs |
| ECOB | Ecological benefit |
| ECOBD | Direct ecological benefits |
| ECOBI | Indirect ecological benefits |
| EcoC | Ecological cost |
| N | Nitrogen |
| OP | Olsen-P |
| P | Phosphorus |
| SOC | Soil organic carbon |
| SOM | Soil organic matter content |
References
- Zhai, W.; Liu, W.; Fan, S. Problems and countermeasures facing coastal mudflat resource management. China Land 2022, 5, 49–50. [Google Scholar] [CrossRef]
- Mcginn, A.P. Rocking the boat: Conserving fisheries and protecting jobs. Wash. D 1998, 142, 23–26. [Google Scholar]
- Chen, Z.; Zheng, A. Estimation of self-pollution and pollution load from mariculture. J. Xiamen Univ. 2004, 1, 258–262. [Google Scholar]
- Qi, Z.; Yang, J. Application of several microbial agents and microalgae in aquaculture. J. Aquat. Biol. 2004, 1, 85–89. [Google Scholar]
- Li, C.; Lin, S.; Zhou, J.; Ruan, S.; Chen, H. Assessment of mariculture discharge in Guangdong Province. Mar. Lake Marsh Bull. 2021, 43, 100–107. [Google Scholar] [CrossRef]
- Zong, H.; Yuan, X.; Wang, L.; Yu, L.; Hu, Y.; Huo, C.; Zhang, Z. Preliminary assessment of nitrogen and phosphorus output from mariculture in China. Mar. Environ. Sci. 2017, 36, 336–342. [Google Scholar]
- Xiong, G.; Fu, T.; Xu, X.; Xu, X.; Chen, G.; Liu, W.; Su, Q. A review of research on factors influencing seawater intrusion in coastal aquifers. Mar. Sci. 2019, 43, 102–112. [Google Scholar]
- Cao, W.; Hofmann, H.; Yan, G.; Scheuermann, A. Porewater exchange and iron transformation in a coastal groundwater system: A field investigation, driving mechanisms analysis, and conceptual model. Front. Mar. Sci. 2024, 11, 1385517. [Google Scholar] [CrossRef]
- Cao, W.; Yan, G.; Hofmann, H.; Scheuermann, A. State of the Art on Fe Precipitation in Porous Media: Hydrogeochemical Processes and Evolving Parameters. J. Mar. Sci. Eng. 2024, 12, 690. [Google Scholar] [CrossRef]
- Vu, D.T.; Yamada, T.; Ishidaira, H. Assessing the impact of sea level rise due to climate change on seawater intrusion in Mekong Delta, Vietnam. Water Sci. Technol. 2018, 77, 1632–1639. [Google Scholar] [CrossRef]
- Colombani, N.; Mastrocicco, M. Scenario Modelling Of Climate Change’s Impact On Salinization Of Coastal Water Resources In Reclaimed Lands. In Proceedings of the 2nd International Conference on Efficient and Sustainable Water Systems Management toward Worth Living Development (EWaS), Platanias, Greece, 1–4 June 2016; pp. 25–31. [Google Scholar]
- Feng, Y.; Niu, J. A review of environmental issues in the Chinese coastal zone. Mar. Geol. Dyn. 2004, 20, 1–5. [Google Scholar]
- Lai, L.; Huang, X.; Wang, F.; Hong, Y.; Xiao, S. Environmental cost estimation of fertilizer application in China. J. Soil Sci. 2009, 46, 63–69. [Google Scholar]
- Zhang, F.; Hu, H. Pollution effects of chemical fertilizer inputs in China and their effects on the environment. J. Hunan Agric. Univ. 2011, 12, 33–38. [Google Scholar]
- Zhang, W.; Wu, S.; Ji, H.; Kolbe, H. Estimation of agricultural surface source pollution in China at the beginning of the 21st century. China Agric. Sci. 2004, 37, 1008–1017. [Google Scholar]
- Zhang, S.; Wang, X.; Xu, C. Effect of brackish water drip irrigation on fruit quality of red jujube. North. Hortic. 2016, 23–27. [Google Scholar] [CrossRef]
- Liu, Z.; Deng, L.; Liu, L.; Qi, C.; Chen, M.; Xia, T. Physiological and ecological characteristics of chrysanthemum under seawater irrigation in the Laizhou sea coat. J. Plant Ecol. 2005, 29, 474–478. [Google Scholar]
- Liu, W.; Fan, C.; Gan, C.; Zheng, C.; Chen, C.; Chen, J.; Zheng, Q. Physiological characteristics of different saline economic plants under mariculture wastewater irrigation and their comparison. J. Soil Water Conserv. 2019, 33, 253–262. [Google Scholar]
- Zhao, K. Study of Salt-Tolerant Plants, Chrysanthemum and Oleander, Irrigated by Mariculture Wastewater in Laizhou Bay. Ph.D. Thesis, Nanjing Agricultural University, Nanjing, China, 2006. [Google Scholar]
- Wang, C.; Zhang, Y.; Zhao, L.; Lu, K.; Zhu, Z.; Chen, T.; Zhao, Q.; Yao, S.; Zhou, L.; Zhao, C.; et al. Current status, problems and suggestions of salinity-tolerant rice research. China Rice 2019, 25, 1–6. [Google Scholar] [CrossRef]
- Liu, R. Study on the Absorption Effect of Large Wetland Plants on Multiple Pollutants in Aquaculture Wastewater with Different Salinities. Master’s Thesis, Nanjing Agricultural University, Nanjing, China, 2017. [Google Scholar]
- Zheng, Y.; Lu, J. Effect of different planting and fertilization methods on yield and fertilization cost of rice. Agric. Equip. Technol. 2022, 48, 28–29+32. [Google Scholar]
- Zhou, X.; Li, F.; Xu, C.; Fang, F. Assessment of ecosystem service value of artificial wetland in paddy fields in Zhejiang. Zhejiang Agric. Sci. 2009, 971–974. [Google Scholar] [CrossRef]
- Li, Y.; Du, Z.; Wang, X.; Yang, Q.; Chen, Z.; Sun, Y.; Liu, D. Valuation of ecological service function of wetlands in the Yellow River Delta Nature Reserve. Mar. Environ. Sci. 2019, 38, 761–768. [Google Scholar]
- Tang, H.; Zheng, Y.; Chen, F.; Yang, G.; Zhang, H.; Kong, Q. Ecosystem service value assessment of different farmland types and cropping patterns in Beijing. Ecological Economics. Environ. Sci. Technol. 2008, 56–59+114. [Google Scholar]
- Li, F.; Yin, C. Ecological service function and ecological value assessment of green manure in southern rice areas. Chin. J. Ecol. Agric. 2019, 27, 327–336. (In English) [Google Scholar]
- Zhang, F.; Tashifrati, T.; Ding, J.; He, Q. Assessment of soil salinization in arid areas and its damage to ecological environment: An example from Shaya County, Xinjiang. J. Nat. Hazards 2009, 18, 55–62. [Google Scholar]
- Chen, D.; Liu, Z.; Luo, Z.; Webber, M.; Chen, J. Bibliometric and visualized analysis of emergy research. Ecol. Eng. 2016, 90, 285–293. [Google Scholar] [CrossRef]
- GB 3838-2002; Environmental Quality Standards for Surface Water. Ministry of Ecology and Environment of the People’s Republic of China: Beijing, China; General Administration of Quality Supervision: Beijing, China; Inspection and Quarantine of the People‘s Republic of China: Beijing, China, 2002.
- GB 3095-2012; Ambient Air Quality Standards. Ministry of Ecology and Environment of the People’s Republic of China: Beijing, China; General Administration of Quality Supervision: Beijing, China; Inspection and Quarantine of the People’s Republic of China: Beijing, China, 2012.
- Zhang, Y. Research on Resource and Environmental Costs of Grain Production in Different Types of Zones. Master’s Thesis, Northwest Agriculture and Forestry University of Science and Technology, Xianyang, China, 2012. [Google Scholar]
- Reza, B.; Sadiq, R.; Hewage, K. Emergy-based life cycle assessment (Em-LCA) for sustainability appraisal of infrastructure systems: A case study on paved roads. Clean Technol. Environ. Policy 2014, 16, 251–266. [Google Scholar] [CrossRef]
- Liu, W.; Geng, C.; Sun, L.; Tian, X.; Zhang, L. Ecological compensation mechanism for non-ferrous metal mineral resources mining based on emergy value theory. J. Ecol. 2016, 36, 8154–8163. [Google Scholar] [CrossRef]
- Li, J.; Huang, J.F.; Cheng, J. Spatial and temporal distribution characteristics of chemical fertilizer application and its possible pollution in China. Ecol. Environ. 2003, 12, 145–149. [Google Scholar]
- Yang, H.; Shen, X.; Lai, L.; Huang, X.; Zhou, Y. Spatio-Temporal Variations of Health Costs Caused by Chemical Fertilizer Utilization in China from 1990 to 2012. Sustainability 2017, 9, 1505. [Google Scholar] [CrossRef]
- Liu, J.; Xu, W.; Huang, J.; Huang, H.; Zheng, H.; He, H.; Yao, L.; Chen, C. Environmental cost estimation of fertilizer application for summer and autumn grain production in China. J. China Agric. Univ. 2015, 20, 225–232. [Google Scholar]
- Zewei, Y.; Hong, Y. Estimation of environmental costs of fertilizer inputs for wheat cultivation: The case of Zhenjiang, Jiangsu. Tianjin Agric. Sci. 2016, 22, 10–14. [Google Scholar]








| Parameter | Value | Unit |
|---|---|---|
| pH | 8.17 | / |
| EC | 1923 | μS/cm |
| TDS | 964 | mg/L |
| SOC | 9.29 | g/kg |
| Sal | 0.1 | % |
| TN | 0.86 | g/kg |
| TP | 0.69 | g/kg |
| AN | 77.18 | mg/kg |
| OP | 56.48 | mg/kg |
| AK | 260.00 | mg/kg |
| Component/Parameter | Content/Value | |
|---|---|---|
| Farming Wastewater | Freshwater | |
| TN | 22.68 mg/L | 0.60 mg/L |
| TP | 14.34 mg/L | 0.41 mg/L |
| EC | 1182 μS/cm | 440 μS/cm |
| Sal | 0.05% | 0.00% |
| DO | 6.37 ppm | |
| Eh | 116 mV | |
| TUB | 47.3 NTU | |
| Cost | Reference |
|---|---|
| 1.67 RMB/m3 | Assessment of the value of ecosystem services of artificial wetlands in rice fields in Zhejiang [23] |
| 0.55 RMB/m3 | Assessment of the ecological service function value of wetlands in the Yellow River Delta Nature Reserve [24] |
| 0.9 RMB/m3 | Assessment of ecosystem service values of different farmland types and cropping patterns in Beijing [25] |
| Calculated Item | Calculation Formula | Symbol Meaning |
|---|---|---|
| Dose | Dosei: pollutant generation dose, t M: nitrogen and phosphorus fertilizer application discounted amount, t Cei: nitrogen and phosphorus fertilizer flow coefficient; Wc: molecular weight of pollutants Wf: molecular weight of nitrogen and phosphorus elements in the pollutant after conversion to N or P2O5 | |
| Ma/w | Ma/w: mass of fresh air or water consumed to dilute the pollutant, t d: density of air or water in its natural state Wi: annual generation dose of pollutants, t ci: maximum acceptable concentration of pollutants [29,30] | |
| Ema | V: average wind speed, m/s UEVa: wind emergy value conversion rate, sej/J Ema: atmospheric environmental service emergy value, sej | |
| Emw | G: Gibbs free emergy of water, kj/mol UEVw: emergy value conversion rate of water, sej/J Emw: environmental service emergy value of water, sej | |
| EL | M: dose of cadmium (Cd) production, million t LOC: area of soil eroded by cadmium per unit mass, 0.223 kg/hm2 [31] EL: land erosion emergy value conversion rate, 1.05 × 1015 sej/hm2 [32] EL: soil environmental service emergy value, sej | |
| EcoBI | Emr: emergy/currency ratio, sej/RMB EcoBI: the value of avoiding agricultural surface source pollution, RMB/hm2 |
| Irrigation Mode | Above-Ground Biomass (g/Pot) | Theoretical Acreage (kg/Mu) |
|---|---|---|
| Freshwater irrigation | 701.98 ± 116.74 a | 442.37 ± 35.73 ab |
| Mixed-water irrigation | 802.14 ± 125.17 a | 358.82 ± 74.95 b |
| Full-wastewater irrigation | 885.83 ± 70.62 a | 482.22 ± 55.33 a |
| Mode | Rice Yield per Mu (kg/Mu) | Straw Yield per Mu (kg/Mu) | Paddy Unit Price (RMB/kg) | Straw Unit Price (RMB/kg) | Economic Value (RMB/hm2) |
|---|---|---|---|---|---|
| Freshwater irrigation | 442.37 | 1337.77 | 2.84 | 0.50 | 28,863.87 |
| Mixed irrigation | 358.82 | 1528.65 | 26,737.18 | ||
| Wastewater irrigation | 482.22 | 1688.15 | 33,187.11 |
| Irrigation Mode | Freshwater Irrigation Water (mL) | Farming Wastewater Irrigation Water (mL) | Total Nitrogen, Phosphorus, and Potassium Input (mg) | Fertilizer Saving Discount Strength (kg/a.hm2) | Traditional Folded Pure Application Strength (kg/hm2) | Fertilizer Supplementation Folded Intensity (kg/a.hm2) |
|---|---|---|---|---|---|---|
| Freshwater irrigation | 321,700 | / | N 193.02 | NF 3.68 | NF 229.22 | NF 225.54 |
| P 131.90 | PF 2.51 | PF 87.48 | PF 84.97 | |||
| K 0.00 | KF 0.00 | KF 58.65 | KF 58.65 | |||
| Mixed irrigation | 156,525 | 156,525 | N 3643.90 | NF 69.41 | NF 229.22 | NF 159.81 |
| P 2308.74 | PF 43.98 | PF 87.48 | PF 43.50 | |||
| K 1784.39 | KF 33.99 | KF 58.65 | KF 24.66 | |||
| Wastewater irrigation | / | 326,400 | N 7402.75 | NF 141.00 | NF 229.22 | NF 88.22 |
| P 4680.58 | PF 89.15 | PF 87.48 | PF 0.00 | |||
| K 3720.96 | KF 70.88 | KF 58.65 | KF 0.00 |
| Mode | Nitrogen Fertilizer Reapplication Cost (RMB/hm2) | Cost of Phosphate Fertilizer Reapplication (RMB/hm2) | Potash Supplementation Costs (RMB/hm2) | Manpower and Machinery Costs (RMB/hm2) | Total (RMB/hm2) | Benefit Value (RMB/hm2) |
|---|---|---|---|---|---|---|
| Freshwater irrigation | 1208.89 | 293.15 | 457.47 | 40 | 1999.51 | 28.36 |
| Mixed irrigation | 856.58 | 150.08 | 192.35 | 40 | 1239.00 | 788.87 |
| Wastewater irrigation | 472.86 | 0.00 | 0.00 | 40 | 512.86 | 1515.01 |
| Mode | Test Irrigation Wastewater Volume (m3) | Wastewater Treatment Unit Price (RMB/m3) | Experimenting with Wastewater Treatment Cost Reductions (RMB) | Wastewater Treatment Cost Reduction per Unit Area (RMB/hm2) |
|---|---|---|---|---|
| Freshwater irrigation | 0.00 | 1.67 | 0.00 | 0.00 |
| Mixed irrigation | 0.1565 | 0.26 | 2489.10 | |
| Wastewater irrigation | 0.3264 | 0.55 | 5191.31 |
| Mode | Soil Layer | Organic Matter Content (g/kg) | Organic Matter Accumulation (g/1.05 m2) | Organic Matter Accumulation Value (RMB/hm2) | Total (RMB/hm2) |
|---|---|---|---|---|---|
| Freshwater irrigation | SL | 11.88 | 117.73 | 5247.25 | 7328.97 |
| ML | 8.96 | −15.19 | −676.95 | ||
| BL | 10.63 | 61.89 | 2758.66 | ||
| Mixed irrigation | SL | 13.39 | 189.03 | 8425.28 | 9342.95 |
| ML | 9.62 | 15.02 | 669.37 | ||
| BL | 9.41 | 5.57 | 248.30 | ||
| Wastewater irrigation | SL | 15.62 | 289.76 | 12,915.05 | 14,156.84 |
| ML | 9.61 | 14.87 | 662.97 | ||
| BL | 9.57 | 12.99 | 578.82 |
| Mode | Depth | AN | OP | AK | Total (RMB/hm2) | |||
|---|---|---|---|---|---|---|---|---|
| Accumulated Volume (mg/kg) | Value (RMB/hm2) | Accumulated Volume (mg/kg) | Value (RMB/hm2) | Accumulated Volume (mg/kg) | Value (RMB/hm2) | |||
| Freshwater irrigation | SL | −9.17 | −37.55 | −14.11 | −161.76 | −85.15 | −383.02 | −1496.27 |
| ML | −28.65 | −117.68 | −18.39 | −211.48 | −37.7 | −170.10 | ||
| BS | −24.05 | −99.93 | −13.77 | −160.14 | −33.88 | −154.62 | ||
| Mixed irrigation | SL | −11.45 | −47.56 | 10.82 | 125.81 | −64.52 | −294.23 | −1296.43 |
| ML | −35.13 | −145.08 | −18.21 | −210.59 | −53.68 | −243.50 | ||
| BS | −24.98 | −103.62 | −18.2 | −211.37 | −36.49 | −166.29 | ||
| Wastewater irrigation | SL | 3.63 | 14.96 | 30.92 | 356.42 | −26.16 | −118.32 | −886.24 |
| ML | −27.15 | −111.94 | −17.4 | −200.87 | −67.02 | −303.56 | ||
| BS | −28.45 | −117.96 | −24.75 | −287.31 | −25.84 | −117.67 | ||
| Mode | Depth | EC (μS/cm) | Soil EC Reduction Value (μS/cm) | Salinity Improvement Benefits (RMB/hm2) | Total (RMB/hm2) |
|---|---|---|---|---|---|
| Freshwater irrigation | SL | 1762 | 160.67 | / | 0.00 |
| ML | 1725 | 198.33 | / | ||
| SS | 1769 | 154.00 | / | ||
| Mixed irrigation | SL | 1977 | −54.00 | / | −223.33 |
| ML | 2000 | −77.00 | / | ||
| SS | 2022 | −99.33 | −223.33 | ||
| Wastewater irrigation | SL | 2236 | −312.67 | −2356.67 | −3903.33 |
| ML | 2102 | −179.00 | −1020.00 | ||
| SS | 2053 | −129.67 | −526.67 |
| Pollutant Type | Atmospheric Pollutants | Water Pollutants | Soil Pollutants | |||||||
|---|---|---|---|---|---|---|---|---|---|---|
| NH3 | N2O | NOx | NO3− | NH4+ | PO4− | Nitrates | PO4− | Cd | ||
| Flow factor Cei | 0.05 | 0.0067 | 0.005 | 0.067 | 0.033 | 0.085 | 0.345 | 0.65 | 1.5 × 10−6 | |
| Wc/Wf | 1.21 | 1.57 | 2.71 | 4.43 | 1.29 | 0.67 | 4.43 | 0.67 | 1 | |
| Nitrogen/phosphorus fertilizer discounted supplemental application amount (kg/hm2) | Freshwater irrigation | 225.54 | 225.54 | 225.54 | 225.54 | 225.54 | 84.97 | 225.54 | 84.97 | 84.97 |
| Mixed irrigation | 159.81 | 159.81 | 159.81 | 159.81 | 159.81 | 43.50 | 159.81 | 43.50 | 43.50 | |
| Wastewater irrigation | 88.22 | 88.22 | 88.22 | 88.22 | 88.22 | 0 | 88.22 | 0 | 0 | |
| Dose of pollutant generation (kg/hm2) | Freshwater irrigation | 13.65 | 2.37 | 3.06 | 66.94 | 9.60 | 4.84 | 344.71 | 37.00 | 1.27 × 10−4 |
| Mixed irrigation | 9.67 | 1.68 | 2.17 | 47.43 | 6.80 | 2.48 | 244.25 | 18.95 | 6.53 × 10−5 | |
| Wastewater irrigation | 5.34 | 0.93 | 1.20 | 26.18 | 3.76 | 0 | 134.82 | 0 | 0 | |
| Pollutant Type | Atmospheric Pollutants | Water Pollutants | Soil Pollutants | |||||||
|---|---|---|---|---|---|---|---|---|---|---|
| NH3 | N2O | NOx | NO3− | NH4+ | PO4− | Nitrates | PO4− | Cd | ||
| Naturally acceptable concentration | 5 mg/m3 | 0.25 mg/m3 | 0.25 mg/m3 | 0.2 mg/L | 20 mg/L | 0.5 mg/L | 50 mg/kg | 50 mg/kg | 0.3 mg/kg | |
| Atmospheric/water column density (kg/m3) | 1.293 | 1000 | / | |||||||
| Atmospheric/water/soil quality required to dilute pollutants (kg) | Freshwater irrigation | 3.53 × 106 | 1.23 × 107 | 1.58 × 107 | 3.35 × 108 | 4.80 × 105 | 9.68 × 106 | 6.89 × 106 | 7.40 × 105 | 4.25 × 102 |
| Mixed irrigation | 2.50 × 106 | 8.69 × 106 | 1.12 × 107 | 2.37 × 108 | 3.40 × 105 | 4.96 × 106 | 4.88 × 106 | 3.79 × 105 | 2.18 × 102 | |
| Wastewater irrigation | 1.38 × 106 | 4.80 × 106 | 6.18 × 106 | 1.31 × 108 | 1.88 × 105 | 0.00 | 2.70 × 106 | 0.00 | 0.00 | |
| Average wind speed (m/s) | 7.5 | / | / | |||||||
| Wind emergy value conversion rate (sej/J) | 2450 | / | / | |||||||
| Gwater (j/kg) | / | 4940 | / | |||||||
| Energy conversion rate of water (sej/J) | / | 18,000 | / | |||||||
| Cadmium mass required for contamination of arable land (kg/hm2) | / | / | 4.48 | |||||||
| Emergy value conversion rate of arable land (sej/hm2) | / | / | 1.05 × 1015 | |||||||
| Atmospheric/water/soil environmental service emergy values (sej) | Freshwater irrigation | 2.43 × 1011 | 8.46 × 1011 | 1.09 × 1012 | 2.98 × 1016 | 4.27 × 1013 | 8.61 × 1014 | 2.99 × 1010 | ||
| Mixed irrigation | 1.72 × 1011 | 5.99 × 1011 | 7.72 × 1011 | 2.11× 1016 | 3.02 × 1013 | 4.41 × 1014 | 1.53 × 1010 | |||
| Wastewater irrigation | 9.51 × 1010 | 3.31 × 1011 | 4.26 × 1011 | 1.16 × 1016 | 1.67 × 1013 | 0.00 | 0.00 | |||
| Model | Total Environmental Service Emergy Value (sej/hm2) | Emergy/Currency Ratio (RMB/sej) | Environmental Costs by Model (RMB/hm2) | Traditional Environmental Costs (RMB/hm2) | Value of Benefits (RMB/hm2) |
|---|---|---|---|---|---|
| Freshwater irrigation | 2.98 × 1016 | 2.97 × 10−12 | 88,258.93 | 89,698.44 | 1439.51 |
| Mixed irrigation | 2.11 × 1016 | 62,537.23 | 27,161.21 | ||
| Wastewater irrigation | 1.16 × 1016 | 34,520.05 | 55,178.39 |
| Accounting Benefits Classification | Freshwater Irrigation | Mixed Irrigation | Wastewater Irrigation | ||
|---|---|---|---|---|---|
| Economic benefits (RMB/hm2) | Direct economic benefits | Value of agricultural products | 28,863.87 | 26,737.18 | 33,187.11 |
| Indirect economic benefits | Fertilizer application cost reduction | 28.36 | 788.87 | 1515.01 | |
| Wastewater treatment cost reduction | 0.00 | 2489.10 | 5191.31 | ||
| Total | 28,892.23 | 30,015.15 | 39,893.43 | ||
| Ecological benefits (RMB/hm2) | Direct ecological benefits | Soil organic matter accumulation benefits | 7328.97 | 9342.95 | 14,156.84 |
| Soil quick-acting nutrient accumulation benefits | −1496.27 | −1296.43 | −886.24 | ||
| Soil salinity improvement benefits | 0.00 | −223.33 | −3903.33 | ||
| Indirect ecological benefits | Environmental cost reduction for surface source pollution | 1439.51 | 27,161.21 | 55,178.39 | |
| Total | 7272.21 | 34,984.4 | 64,545.66 | ||
| Comprehensive benefits (RMB/hm2) | 36,164.44 | 64,999.55 | 104,439.10 | ||
Disclaimer/Publisher’s Note: The statements, opinions and data contained in all publications are solely those of the individual author(s) and contributor(s) and not of MDPI and/or the editor(s). MDPI and/or the editor(s) disclaim responsibility for any injury to people or property resulting from any ideas, methods, instructions or products referred to in the content. |
© 2024 by the authors. Licensee MDPI, Basel, Switzerland. This article is an open access article distributed under the terms and conditions of the Creative Commons Attribution (CC BY) license (https://creativecommons.org/licenses/by/4.0/).
Share and Cite
Chen, D.; Lu, H.; Fu, Z.; Luo, Z.; Duan, J. A Comprehensive Benefit Evaluation of the Model of Salt-Tolerant Crops Irrigated by Mariculture Wastewater Based on a Field Plot Experiment. Agronomy 2024, 14, 2161. https://doi.org/10.3390/agronomy14092161
Chen D, Lu H, Fu Z, Luo Z, Duan J. A Comprehensive Benefit Evaluation of the Model of Salt-Tolerant Crops Irrigated by Mariculture Wastewater Based on a Field Plot Experiment. Agronomy. 2024; 14(9):2161. https://doi.org/10.3390/agronomy14092161
Chicago/Turabian StyleChen, Dan, Huimin Lu, Ze Fu, Zhaohui Luo, and Jiaming Duan. 2024. "A Comprehensive Benefit Evaluation of the Model of Salt-Tolerant Crops Irrigated by Mariculture Wastewater Based on a Field Plot Experiment" Agronomy 14, no. 9: 2161. https://doi.org/10.3390/agronomy14092161
APA StyleChen, D., Lu, H., Fu, Z., Luo, Z., & Duan, J. (2024). A Comprehensive Benefit Evaluation of the Model of Salt-Tolerant Crops Irrigated by Mariculture Wastewater Based on a Field Plot Experiment. Agronomy, 14(9), 2161. https://doi.org/10.3390/agronomy14092161

