Enhanced Wind Erosion Control by Alfalfa Grassland Compared to Conventional Crops in Northern China
Abstract
1. Introduction
2. Materials and Methodology
2.1. Study Sites
2.2. Data Sources
2.3. Quantify Soil Wind Erosion
2.4. Data Analysis
3. Results
3.1. Vegetation-Covered Days of Alfalfa Grassland and Cropland
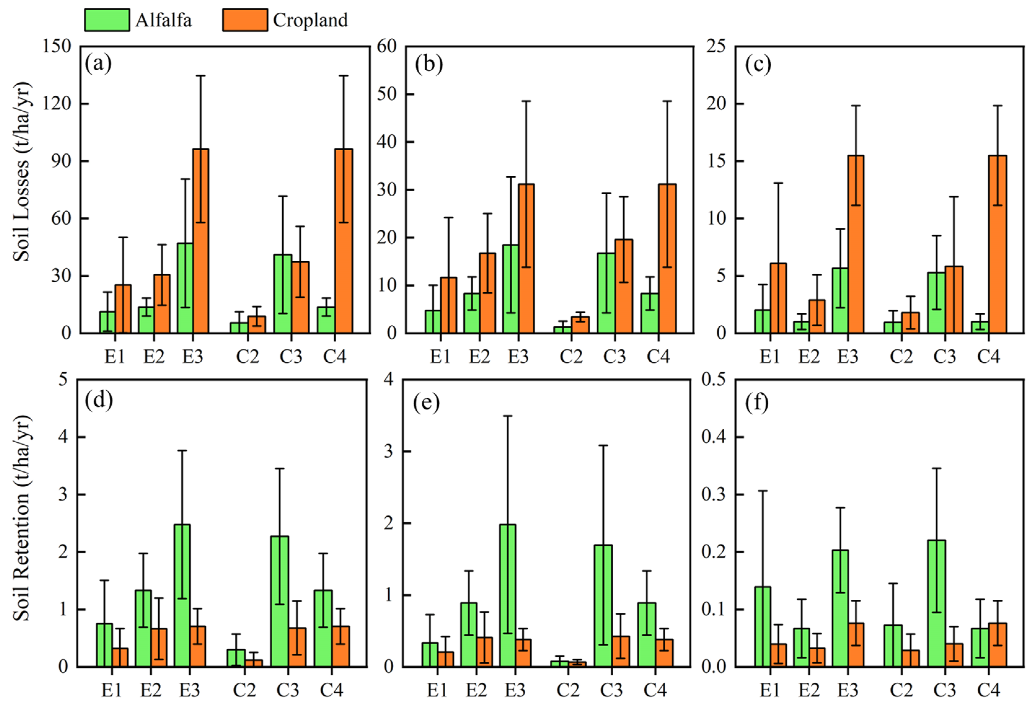
3.2. Soil Wind Erosion Prevention of Alfalfa Grassland and Cropland
3.3. Seasonal Sensitivity of Covering Days and Soil Retention to Climate Factors
4. Discussion
5. Conclusions
Supplementary Materials
Author Contributions
Funding
Data Availability Statement
Conflicts of Interest
References
- Ravi, S.; D’Odorico, P.; Breshears, D.D.; Field, J.P.; Goudie, A.S.; Huxman, T.E.; Li, J.; Okin, G.S.; Swap, R.J.; Thomas, A.D.; et al. Aeolian processes and the biosphere. Rev. Geophys. 2011, 49, RG3001. [Google Scholar] [CrossRef]
- Shao, Y.; Wyrwoll, K.-H.; Chappell, A.; Huang, J.; Lin, Z.; McTainsh, G.H.; Mikami, M.; Tanaka, T.Y.; Wang, X.; Yoon, S. Dust cycle: An e merging core theme in Earth system science. Aeolian Res. 2011, 2, 181–204. [Google Scholar] [CrossRef]
- FAO. Status of the World’s Soil Resources—Main Report; Food and Agriculture Organization of the United Nations: Rome, Italy, 2019. [Google Scholar]
- Pimentel, D.; Allen, J.; Beers, A.; Guinand, L.; Linder, R.; McLaughlin, P.; Meer, B.; Musonda, D.; Perdue, D.; Poisson, S.; et al. World Agriculture and Soil Erosion. BioScience 1987, 37, 277–283. [Google Scholar] [CrossRef]
- Shi, P.; Yan, P.; Yuan, Y.; Nearing, M.A. Wind erosion research in China: Past, present and future. Prog. Phys. Geogr. Earth Environ. 2004, 28, 366–386. [Google Scholar] [CrossRef]
- Zhang, H.; Fan, J.; Cao, W.; Harris, W.; Li, Y.; Chi, W.; Wang, S. Response of wind erosion dynamics to climate change and human activity in Inner Mongolia, China during 1990 to 2015. Sci. Total Environ. 2018, 639, 1038–1050. [Google Scholar] [CrossRef] [PubMed]
- Huang, G.B.; Yu, A.; Guo, Q.Y.; Yang, R. Wind tunnel experiment on effect of conservative tillage in winter wheat fields on soil wind erosion in Hexi corridor, Gansu Province. Acta Pedol. Sin. 2007, 44, 968–973. (In Chinese) [Google Scholar]
- Jiang, Y.; Gao, Y.; Dong, Z.; Liu, B.; Zhao, L. Simulations of wind erosion along the Qinghai-Tibet Railway in north-central Tibet. Aeolian Res. 2018, 32, 192–201. [Google Scholar] [CrossRef]
- Goudie, A.S. Dust Storms and Human Health. In Extreme Weather Events and Human Health: International Case Studies; Akhtar, R., Ed.; Springer International Publishing: Cham, Switzerland, 2020; pp. 13–24. [Google Scholar]
- Zobeck, T.M.; Van Pelt, R.S. Wind Erosion, Soil Management: Building a Stable Base for Agriculture; Wiley: Hoboken, NJ, USA, 2011; pp. 209–227. [Google Scholar]
- Tibke, G. Basic principles of wind erosion control. Agric. Ecosyst. Environ. 1988, 22–23, 103–122. [Google Scholar] [CrossRef]
- Zhang, G.; Azorin-Molina, C.; Shi, P.; Lin, D.; Guijarro, J.A.; Kong, F.; Chen, D. Impact of near-surface wind speed variability on wind erosion in the eastern agro-pastoral transitional zone of Northern China, 1982–2016. Agric. For. Meteorol. 2019, 271, 102–115. [Google Scholar] [CrossRef]
- Cotrufo, M.F.; Soong, J.L.; Horton, A.J.; Campbell, E.E.; Haddix, M.L.; Wall, D.H.; Parton, W.J. Formation of soil organic matter via biochemical and physical pathways of litter mass loss. Nat. Geosci. 2015, 8, 776–779. [Google Scholar] [CrossRef]
- Ven, T.A.M.; Fryrear, D.W.; Spaan, W.P. Vegetation characteristics and soil loss by wind. J. Soil Water Conserv. 1989, 44, 347–349. [Google Scholar]
- Gao, Y.; Dang, X.; Yu, Y.; Li, Y.; Liu, Y.; Wang, J. Effects of Tillage Methods on Soil Carbon and Wind Erosion. Land Degrad. Dev. 2016, 27, 583–591. [Google Scholar] [CrossRef]
- Bryan, B.A.; Gao, L.; Ye, Y.; Sun, X.; Connor, J.D.; Crossman, N.D.; Stafford-Smith, M.; Wu, J.; He, C.; Yu, D.; et al. China’s response to a national land-system sustainability emergency. Nature 2018, 559, 193–204. [Google Scholar] [CrossRef]
- Shen, Y.; Zhang, C.; Wang, X.; Zou, X.; Kang, L. Statistical characteristics of wind erosion events in the erosion area of Northern China. CATENA 2018, 167, 399–410. [Google Scholar] [CrossRef]
- Ma, L.; Wang, X.; Pu, Y.; Wu, J.; Coulter, J.A.; Li, X.; Wang, L.; Liu, L.; Fang, Y.; Niu, Z.; et al. Ecological and economic benefits of planting winter rapeseed (Brassica rapa L.) in the wind erosion area of northern China. Sci. Rep. 2019, 9, 20272. [Google Scholar] [CrossRef] [PubMed]
- Cougnon, M.; Durand, J.L.; Julier, B.; Barre, P.; Litrico, I. Using perennial plant varieties for use as living mulch for winter cereals. A Review. Agron. Sustain. Dev. 2022, 42, 110. [Google Scholar] [CrossRef]
- Hawkins, C.; Yu, L. Recent progress in alfalfa (Medicago sativa L.) genomics and genomic selection. Crop J. 2018, 6, 565–575. [Google Scholar] [CrossRef]
- Deng, L.; Wang, K.B.; Li, J.P.; Shangguan, Z.P.; Sweeney, S. Carbon Storage Dynamics in Alfalfa (Medicago sativa) Fields in the Hilly-Gully Region of the Loess Plateau, China. Clean Soil Air Water 2014, 42, 1253–1262. [Google Scholar] [CrossRef]
- Martin, G.; Durand, J.L.; Duru, M.; Gastal, F.; Julier, B.; Litrico, I.; Louarn, G.; Médiène, S.; Moreau, D.; Valentin-Morison, M.; et al. Role of ley pastures in tomorrow’s cropping systems. A review. Agron. Sustain. Dev. 2020, 40, 17. [Google Scholar] [CrossRef]
- Luo, J.; Balvert, S.F.; Wise, B.; Welten, B.; Ledgard, S.F.; de Klein, C.; Lindsey, S.; Judge, A. Using alternative forage species to reduce emissions of the greenhouse gas nitrous oxide from cattle urine deposited onto soil. Sci. Total Environ. 2018, 610–611, 1271–1280. [Google Scholar] [CrossRef] [PubMed]
- White, J.G.; Scott, T.W. Effects of perennial forage-legume living mulches on no-till winter wheat and rye. Field Crops Res. 1991, 28, 135–148. [Google Scholar] [CrossRef]
- Castonguay, Y.; Laberge, S.; Brummer, E.C.; Volenec, J.J. Alfalfa Winter Hardiness: A Research Retrospective and Integrated Perspective. Adv. Agron. 2006, 90, 203–265. [Google Scholar]
- Luo, D.; Zhou, Q.; Wu, Y.; Chai, X.; Liu, W.; Wang, Y.; Yang, Q.; Wang, Z.; Liu, Z. Full-length transcript sequencing and comparative transcriptomic analysis to evaluate the contribution of osmotic and ionic stress components towards salinity tolerance in the roots of cultivated alfalfa (Medicago sativa L.). BMC Plant Biol. 2019, 19, 32. [Google Scholar] [CrossRef] [PubMed]
- Bo, J.; Wang, Z.; Pan, Z.; Xu, H.; Han, X.; Xie, Y. Soil Carbon Storage Characteristics of Alfalfa (Medicago sativa) Artificial Grasslands in the Semi-Arid Hilly Gully Region of the Loess Plateau, China. Russ. J. Ecol. 2020, 51, 466–476. [Google Scholar]
- Russelle, M.P. Alfalfa. Am. Sci. 2001, 89, 252–261. [Google Scholar] [CrossRef]
- Carof, M.; de Tourdonnet, S.; Saulas, P.; Le Floch, D.; Roger-Estrade, J. Undersowing wheat with different living mulches in a no-till system. I. Yield Analysis. Agron. Sustain. Dev. 2007, 27, 347–356. [Google Scholar] [CrossRef]
- Jun, F.; Shao, M.; Wang, Q.; Scott, B.J.; Klaus, R.; Cheng, X.; Fu, X. Toward sustainable soil and water resources use in China’s highly erodible semi-arid loess plateau. Geoderma 2010, 155, 93–100. [Google Scholar] [CrossRef]
- Fan, J.; Hao, M.D.; Wang, Y.G. Effects of rotations and fertilizations on soil fertility on upland of the Loess Plateau. Res. Soil Water Conserv. 2003, 10, 31–36, (In Chinese with English Abstract). [Google Scholar]
- Lackoóvá, L.; Lieskovský, J.; Nikseresht, F.; Halabuk, A.; Hilbert, H.; Halászová, K.; Bahreini, F. Unlocking the Potential of Remote Sensing in Wind Erosion Studies: A Review and Outlook for Future Directions. Remote Sens. 2023, 15, 3316. [Google Scholar] [CrossRef]
- Zhou, J.; Li, J.; Massimo, M. Reconstruction of global MODIS NDVI time series: Performance of Harmonic ANalysis of Time Series (HANTS). Remote Sens. Environ. 2015, 163, 217–228. [Google Scholar] [CrossRef]
- Che, T.; Dai, L.; Li, X. Long-Term Series of Daily Snow Depth Dataset in China (1979–2020, 2012–2023). A Big Earth Data Platform for Three Poles; National Tibetan Plateau Scientific Data Center: Beijing, China, 2015. [Google Scholar]
- Liu, F.; Zhang, G. Basic Soil Property Dataset of High-Resolution China Soil Information Grids (2010–2018). A Big Earth Data Platform for Three Poles; National Tibetan Plateau Scientific Data Center: Beijing, China, 2021. [Google Scholar]
- Meng, X.; Wang, H. Siol Map Based Harmonized World Soil Database (v1.2). A Big Earth Data Platform for Three Poles; National Tibetan Plateau Scientific Data Center: Beijing, China, 2018. [Google Scholar]
- Fryrear, D.W.; Saleh, A.; Bilbro, J.D.; Schomberg, H.M.; Stout, J.E.; Zobeck, T.M. Revised Wind Erosion Equation. USDA, ARS, Technical Bulletin No. 1; Soil Erosion Net: Rome, Italy, 1998. [Google Scholar]
- Fryrear, D.W.; Bilbro, J.D.; Saleh, A.; Schomberg, H.; Stout, J.E.; Zobeck, T.M. RWEQ: Improved wind erosion technology. J. Soil Water Conserv. 2000, 55, 183–189. [Google Scholar]
- Jarrah, M.; Mayel, S.; Tatarko, J.; Funk, R.; Kuka, K. A review of wind erosion models: Data requirements, processes, and validity. CATENA 2020, 187, 104388. [Google Scholar] [CrossRef]
- Du, H.; Dou, S.; Deng, X.; Xue, X.; Wang, T. Assessment of wind and water erosion risk in the watershed of the Ningxia-Inner Mongolia Reach of the Yellow River, China. Ecol. Indic. 2016, 67, 117–131. [Google Scholar] [CrossRef]
- Jiang, X.; Wu, Q.; Feng, J.; Cheng, Q. Wind erosion actuality and countermeasures in oases area of southern xinjiang autonomous region. Bull. Soil Water Conserv. 2003, 62–65. (In Chinese) [Google Scholar]
- Chi, W.; Zhao, Y.; Kuang, W.; He, H. Impacts of anthropogenic land use/cover changes on soil wind erosion in China. Sci. Total Environ. 2019, 668, 204–215. [Google Scholar] [CrossRef] [PubMed]
- Gómez, J.A.; Guzmán, M.G.; Giráldez, J.V.; Fereres, E. The influence of cover crops and tillage on water and sediment yield, and on nutrient, and organic matter losses in an olive orchard on a sandy loam soil. Soil Tillage Res. 2009, 106, 137–144. [Google Scholar] [CrossRef]
- Luo, Q.; Zhen, L.; Xiao, Y.; Wang, H. The effects of different types of vegetation restoration on wind erosion prevention: A case study in Yanchi. Environ. Res. Lett. 2020, 15, 115001. [Google Scholar] [CrossRef]
- Dong, Z.; Chen, W.; Dong, G.; Chen, G.; Li, Z.; Yang, Z. Influence of vegetation cover on the wind erosion of sandy soil. Acta Sci. Circumastantiae 1996, 16, 437–443. (In Chinese) [Google Scholar]
- Yan, Y.; Xin, X.P.; Xu, X.; Wang, X.; Yang, G.; Yan, R.; Chen, B. Quantitative effects of wind erosion on the soil texture and soil nutrients under different vegetation coverage in a semiarid steppe of northern China. Plant Soil 2013, 369, 585–598. [Google Scholar] [CrossRef]
- Leys, J.; McTainsh, G. Soil loss and nutrient decline by wind erosion—Cause for concern. Aust. J. Soil Water Conserv. 1994, 7, 30–35. [Google Scholar]
- Blanco-Canqui, H. Crop Residue Removal for Bioenergy Reduces Soil Carbon Pools: How Can We Offset Carbon Losses? BioEnergy Res. 2013, 6, 358–371. [Google Scholar] [CrossRef]
- Zhao, H.L.; Yi, X.Y.; Zhou, R.L.; Zhao, X.Y.; Zhang, T.H.; Drake, S. Wind erosion and sand accumulation effects on soil properties in Horqin Sandy Farmland, Inner Mongolia. CATENA 2006, 65, 71–79. [Google Scholar] [CrossRef]
- Osterholz, W.R.; Ruark, M.D.; Renz, M.J.; Grabber, J.H. Interseeding alfalfa into corn silage increases corn N fertilizer demand and increases system yield. Agron. Sustain. Dev. 2021, 41, 58. [Google Scholar] [CrossRef]
- Wang, X.L.; Sun, G.J.; Jia, Y.; Li, F.M.; Xu, J.Z. Crop yield and soil water restoration on 9-year-old alfalfa pasture in the semiarid Loess Plateau of China. Agric. Water Manag. 2008, 95, 190–198. [Google Scholar] [CrossRef]
- Colazo, J.C.; Buschiazzo, D.E. Soil dry aggregate stability and wind erodible fraction in a semiarid environment of Argentina. Geoderma 2010, 159, 228–236. [Google Scholar] [CrossRef]
- Li, Y.; Huang, M. Pasture yield and soil water depletion of continuous growing alfalfa in the Loess Plateau of China. Agric. Ecosyst. Environ. 2008, 124, 24–32. [Google Scholar] [CrossRef]
- Amossé, C.; Jeuffroy, M.H.; David, C. Relay intercropping of legume cover crops in organic winter wheat: Effects on performance and resource availability. Field Crops Res. 2013, 145, 78–87. [Google Scholar] [CrossRef]






Disclaimer/Publisher’s Note: The statements, opinions and data contained in all publications are solely those of the individual author(s) and contributor(s) and not of MDPI and/or the editor(s). MDPI and/or the editor(s) disclaim responsibility for any injury to people or property resulting from any ideas, methods, instructions or products referred to in the content. |
© 2025 by the authors. Licensee MDPI, Basel, Switzerland. This article is an open access article distributed under the terms and conditions of the Creative Commons Attribution (CC BY) license (https://creativecommons.org/licenses/by/4.0/).
Share and Cite
Qin, Q.; Qi, J.; Xin, X.; Xu, D.; Yan, R. Enhanced Wind Erosion Control by Alfalfa Grassland Compared to Conventional Crops in Northern China. Agronomy 2025, 15, 387. https://doi.org/10.3390/agronomy15020387
Qin Q, Qi J, Xin X, Xu D, Yan R. Enhanced Wind Erosion Control by Alfalfa Grassland Compared to Conventional Crops in Northern China. Agronomy. 2025; 15(2):387. https://doi.org/10.3390/agronomy15020387
Chicago/Turabian StyleQin, Qi, Jiaguo Qi, Xiaoping Xin, Dawei Xu, and Ruirui Yan. 2025. "Enhanced Wind Erosion Control by Alfalfa Grassland Compared to Conventional Crops in Northern China" Agronomy 15, no. 2: 387. https://doi.org/10.3390/agronomy15020387
APA StyleQin, Q., Qi, J., Xin, X., Xu, D., & Yan, R. (2025). Enhanced Wind Erosion Control by Alfalfa Grassland Compared to Conventional Crops in Northern China. Agronomy, 15(2), 387. https://doi.org/10.3390/agronomy15020387

