Enzymatic Stoichiometry and Microbial Resource Limitation in a Saline-Alkaline Soil Five Years After Biochar Application, Fertilization, and Irrigation
Abstract
1. Introduction
2. Materials and Methods
2.1. Site Description
2.2. Experimental Design and Treatments
2.3. Soil Sampling and Chemical Analyses
2.4. PLFA Analysis
2.5. Stoichiometry of Soil Microbial Element Utilization Efficiency and Enzyme Activity
2.6. Statistical Analysis
3. Results
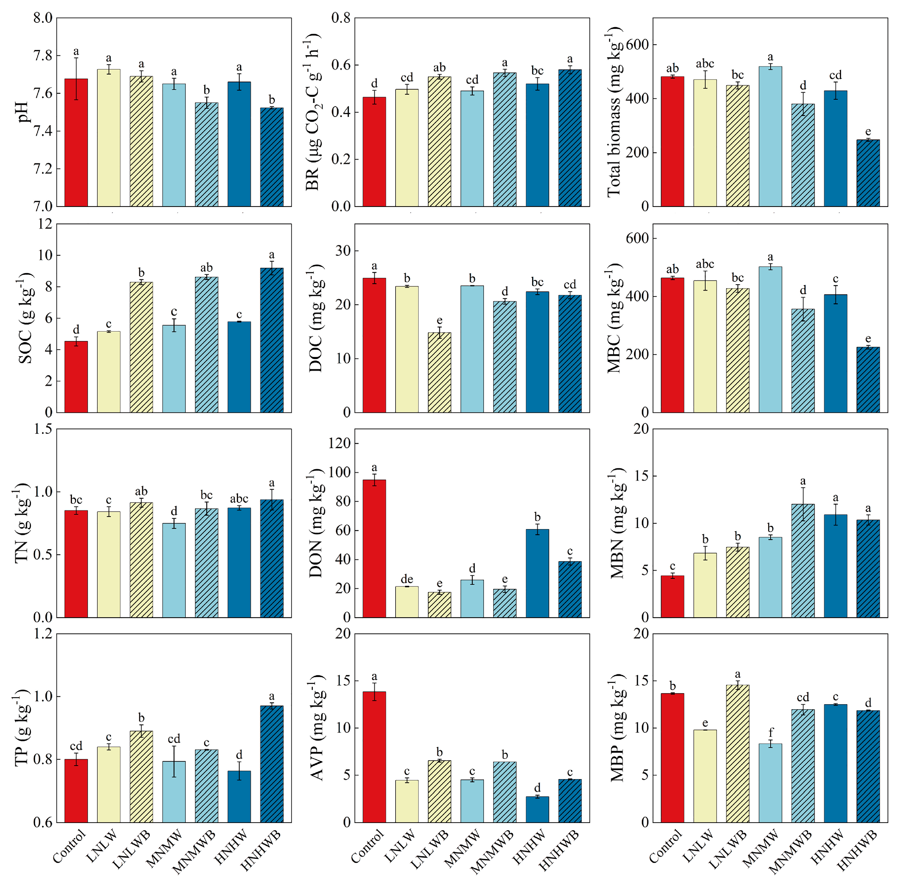
3.1. Soil Chemical and Microbial Properties
3.2. Microbial Community Structure
3.3. Soil Element Utilization Efficiency and Enzyme Activities
3.4. Soil Enzyme Stoichiometry and Microbial Resource Limitation
3.5. Correlation of Soil Chemical Properties, Microbial Biomass PLFA, and Element Utilization Efficiency on Microbial Resource Limitation
4. Discussion
4.1. Effects of Biochar Application on Soil Chemical and Microbial Properties and Microbial Community
4.2. Applying Biochar Changed the Pattern and Magnitude of Microbial Resource Limitation
4.3. The Effects of Biochar on Soil C, N, and P Cycling and Proposing the Best Field Management
5. Conclusions
Author Contributions
Funding
Data Availability Statement
Conflicts of Interest
References
- Wang, X.; Ding, J.; Han, L.; Tan, J.; Ge, X.; Nan, Q. Biochar addition reduces salinity in salt-affected soils with no impact on soil pH: A meta-analysis. Geoderma 2024, 443, 116845. [Google Scholar] [CrossRef]
- Haj-Amor, Z.; Araya, T.; Kim, D.-G.; Bouri, S.; Lee, J.; Ghiloufi, W.; Yang, Y.; Kang, H.; Jhariya, M.K.; Banerjee, A. Soil salinity and its associated effects on soil microorganisms, greenhouse gas emissions, crop yield, biodiversity and desertification: A review. Sci. Total Environ. 2022, 843, 156946. [Google Scholar] [CrossRef] [PubMed]
- Negacz, K.; Malek, Ž.; de Vos, A.; Vellinga, P. Saline soils worldwide: Identifying the most promising areas for saline agriculture. J. Arid Environ. 2022, 203, 104775. [Google Scholar] [CrossRef]
- Wicke, B.; Smeets, E.; Dornburg, V.; Vashev, B.; Gaiser, T.; Turkenburg, W.; Faaij, A. The global technical and economic potential of bioenergy from salt-affected soils. Energy Environ. Sci. 2011, 4, 2669–2681. [Google Scholar] [CrossRef]
- Li, S.; Zhao, L.; Wang, C.; Huang, H.; Zhuang, M. Synergistic improvement of carbon sequestration and crop yield by organic material addition in saline soil: A global meta-analysis. Sci. Total Environ. 2023, 891, 164530. [Google Scholar] [CrossRef]
- Li, W.; Huang, F.; Shi, F.; Wei, X.; Zamanian, K.; Zhao, X. Human and climatic drivers of land and water use from 1997 to 2019 in Tarim River basin, China. Int. Soil Water Conserv. Res. 2021, 9, 532–543. [Google Scholar] [CrossRef]
- Leininger, S.; Urich, T.; Schloter, M.; Schwark, L.; Qi, J.; Nicol, G.W.; Prosser, J.I.; Schuster, S.; Schleper, C. Archaea predominate among ammonia-oxidizing prokaryotes in soils. Nature 2006, 442, 806–809. [Google Scholar] [CrossRef]
- Kallenbach, C.M.; Frey, S.D.; Grandy, A.S. Direct evidence for microbial-derived soil organic matter formation and its ecophysiological controls. Nat. Commun. 2016, 7, 13630. [Google Scholar] [CrossRef] [PubMed]
- Kuzyakov, Y.; Xu, X. Competition between roots and microorganisms for nitrogen: Mechanisms and ecological relevance. New Phytol. 2013, 198, 656–669. [Google Scholar] [CrossRef] [PubMed]
- Hill, B.H.; Elonen, C.M.; Jicha, T.M.; Kolka, R.K.; Lehto, L.L.; Sebestyen, S.D.; Seifert-Monson, L.R. Ecoenzymatic stoichiometry and microbial processing of organic matter in northern bogs and fens reveals a common P-limitation between peatland types. Biogeochemistry 2014, 120, 203–224. [Google Scholar] [CrossRef]
- Sinsabaugh, R.L.; Follstad Shah, J.J. Ecoenzymatic stoichiometry and ecological theory. Annu. Rev. Ecol. Evol. Syst. 2012, 43, 313–343. [Google Scholar] [CrossRef]
- Fanin, N.; Moorhead, D.; Bertrand, I. Eco-enzymatic stoichiometry and enzymatic vectors reveal differential C, N, P dynamics in decaying litter along a land-use gradient. Biogeochemistry 2016, 129, 21–36. [Google Scholar] [CrossRef]
- Cao, X.; Shi, Z.; Chen, J.; Liu, S.; Zhang, M.; Chen, M.; Xu, G.; Wu, J.; Xing, H.; Li, F. Extracellular enzyme characteristics and microbial metabolic limitation in soil of subalpine forest ecosystems on the eastern Qinghai-Tibetan Plateau. Plant Soil 2022, 479, 337–353. [Google Scholar] [CrossRef]
- Schimel, J.P.; Weintraub, M.N. The implications of exoenzyme activity on microbial carbon and nitrogen limitation in soil: A theoretical model. Soil Biol. Biochem. 2003, 35, 549–563. [Google Scholar] [CrossRef]
- Cenini, V.L.; Fornara, D.A.; McMullan, G.; Ternan, N.; Carolan, R.; Crawley, M.J.; Clément, J.-C.; Lavorel, S. Linkages between extracellular enzyme activities and the carbon and nitrogen content of grassland soils. Soil Biol. Biochem. 2016, 96, 198–206. [Google Scholar] [CrossRef]
- Yang, Y.; Liang, C.; Wang, Y.; Cheng, H.; An, S.; Chang, S.X. Soil extracellular enzyme stoichiometry reflects the shift from P-to N-limitation of microorganisms with grassland restoration. Soil Biol. Biochem. 2020, 149, 107928. [Google Scholar] [CrossRef]
- Sinsabaugh, R.L.; Hill, B.H.; Follstad Shah, J.J. Ecoenzymatic stoichiometry of microbial organic nutrient acquisition in soil and sediment. Nature 2009, 462, 795–798. [Google Scholar] [CrossRef]
- Moorhead, D.L.; Sinsabaugh, R.L.; Hill, B.H.; Weintraub, M.N. Vector analysis of ecoenzyme activities reveal constraints on coupled C, N and P dynamics. Soil Biol. Biochem. 2016, 93, 1–7. [Google Scholar] [CrossRef]
- Geisseler, D.; Scow, K.M. Long-term effects of mineral fertilizers on soil microorganisms—A review. Soil Biol. Biochem. 2014, 75, 54–63. [Google Scholar] [CrossRef]
- Zhang, S.; Gao, P.; Tong, Y.; Norse, D.; Lu, Y.; Powlson, D. Overcoming nitrogen fertilizer over-use through technical and advisory approaches: A case study from Shaanxi Province, northwest China. Agric. Ecosyst. Environ. 2015, 209, 89–99. [Google Scholar] [CrossRef]
- Kang, A.; Zhang, N.; Xun, W.; Dong, X.; Xiao, M.; Liu, Z.; Xu, Z.; Feng, H.; Zou, J.; Shen, Q. Nitrogen fertilization modulates beneficial rhizosphere interactions through signaling effect of nitric oxide. Plant Physiol. 2022, 188, 1129–1140. [Google Scholar] [CrossRef]
- Kamran, M.; Yan, Z.; Ahmad, I.; Jia, Q.; Ghani, M.U.; Chen, X.; Chang, S.; Li, T.; Siddique, K.H.; Fahad, S. Assessment of greenhouse gases emissions, global warming potential and net ecosystem economic benefits from wheat field with reduced irrigation and nitrogen management in an arid region of China. Agric. Ecosyst. Environ. 2023, 341, 108197. [Google Scholar] [CrossRef]
- Galinato, S.P.; Yoder, J.K.; Granatstein, D. The economic value of biochar in crop production and carbon sequestration. Energy Policy 2011, 39, 6344–6350. [Google Scholar] [CrossRef]
- Godlewska, P.; Schmidt, H.P.; Ok, Y.S.; Oleszczuk, P. Biochar for composting improvement and contaminants reduction. A review. Bioresour. Technol. 2017, 246, 193–202. [Google Scholar] [CrossRef] [PubMed]
- Qian, S.; Zhou, X.; Fu, Y.; Song, B.; Yan, H.; Chen, Z.; Sun, Q.; Ye, H.; Qin, L.; Lai, C. Biochar-compost as a new option for soil improvement: Application in various problem soils. Sci. Total Environ. 2023, 870, 162024. [Google Scholar] [CrossRef] [PubMed]
- Zimmerman, A.R. Abiotic and microbial oxidation of laboratory-produced black carbon (biochar). Environ. Sci. Technol. 2010, 44, 1295–1301. [Google Scholar] [CrossRef] [PubMed]
- Jaafar, N.M.; Clode, P.L.; Abbott, L.K. Soil microbial responses to biochars varying in particle size, surface and pore properties. Pedosphere 2015, 25, 770–780. [Google Scholar] [CrossRef]
- Yang, C.; Liu, J.; Ying, H.; Lu, S. Soil pore structure changes induced by biochar affect microbial diversity and community structure in an Ultisol. Soil Tillage Res. 2022, 224, 105505. [Google Scholar] [CrossRef]
- Meynet, P.; Hale, S.E.; Davenport, R.J.; Cornelissen, G.; Breedveld, G.D.; Werner, D. Effect of activated carbon amendment on bacterial community structure and functions in a PAH impacted urban soil. Environ. Sci. Technol. 2012, 46, 5057–5066. [Google Scholar] [CrossRef] [PubMed]
- Moreno, J.L.; Bastida, F.; Díaz-López, M.; Li, Y.; Zhou, Y.; López-Mondéjar, R.; Benavente-Ferraces, I.; Rojas, R.; Rey, A.; García-Gil, J.C. Response of soil chemical properties, enzyme activities and microbial communities to biochar application and climate change in a Mediterranean agroecosystem. Geoderma 2022, 407, 115536. [Google Scholar] [CrossRef]
- Pokharel, P.; Chang, S.X. Biochar decreases and nitrification inhibitor increases phosphorus limitation for microbial growth in a wheat-canola rotation. Sci. Total Environ. 2023, 858, 159773. [Google Scholar] [CrossRef] [PubMed]
- Elzobair, K.A.; Stromberger, M.E.; Ippolito, J.A.; Lentz, R.D. Contrasting effects of biochar versus manure on soil microbial communities and enzyme activities in an Aridisol. Chemosphere 2016, 142, 145–152. [Google Scholar] [CrossRef]
- Xu, H.; Qu, Q.; Li, G.; Liu, G.; Geissen, V.; Ritsema, C.J.; Xue, S. Impact of nitrogen addition on plant-soil-enzyme C-N-P stoichiometry and microbial nutrient limitation. Soil Biol. Biochem. 2022, 170, 108714. [Google Scholar] [CrossRef]
- Wu, Z.; Han, X.; Chen, X.; Lu, X.; Yan, J.; Wang, W.; Zou, W.; Yan, L. Application of organic manure as a potential strategy to alleviate the limitation of microbial resources in soybean rhizospheric and bulk soils. J. Integr. Agric. 2024, 23, 2065–2082. [Google Scholar] [CrossRef]
- Zheng, L.; Chen, H.; Wang, Y.; Mao, Q.; Zheng, M.; Su, Y.; Xiao, K.; Wang, K.; Li, D. Responses of soil microbial resource limitation to multiple fertilization strategies. Soil Tillage Res. 2020, 196, 104474. [Google Scholar] [CrossRef]
- Liu, B.; Xia, H.; Jiang, C.; Riaz, M.; Yang, L.; Chen, Y.; Fan, X.; Xia, X. 14 year applications of chemical fertilizers and crop straw effects on soil labile organic carbon fractions, enzyme activities and microbial community in rice-wheat rotation of middle China. Sci. Total Environ. 2022, 841, 156608. [Google Scholar] [CrossRef] [PubMed]
- Chen, Z.; Jin, P.; Wang, H.; Hu, T.; Lin, X.; Xie, Z.t. Ecoenzymatic stoichiometry reveals stronger microbial carbon and nitrogen limitation in biochar amendment soils: A meta-analysis. Sci. Total Environ. 2022, 838, 156532. [Google Scholar] [CrossRef] [PubMed]
- Lu, Q.; Wu, P.; Li, J.; Zhang, H.; Wang, S.; Zhao, J.; Wang, H.; Zhang, H.; Wang, Y.; Li, C. The effect of nitrogen reduction and biochar application on soil enzyme activity, root vigor and yield of sugar beet rhizosphere under saline-alkali stress. Chin. J. Soils Fertil. Sci. 2022, 12, 46–52. [Google Scholar] [CrossRef]
- Zhao, Y.; Zhang, C. Effects of biochar application with reduced nitrogen fertilizer on physiological characteristics and root growth of peanut seedlings. Chin. J. Agric. Sci. 2023, 51, 100–106. [Google Scholar]
- Huang, F.; Li, Q.; Xue, L.; Han, J.; Zamanian, K.; Zhao, X. The succession of microbial communities after residue returning in a Solonchak. Plant Soil 2023, 492, 191–208. [Google Scholar] [CrossRef]
- Zhang, S.; Zamanian, K.; Raza, S.; Raheb, A.; Feng, Y.; Zhao, X. A balance among irrigation and fertilization regimes to reduce greenhouse gases emissions from saline and alkaline soils. Land Degrad. Dev. 2024, 35, 168–182. [Google Scholar] [CrossRef]
- Bao, S. Soil and Agricultural Chemistry Analysis, 3rd ed.; China Agricultural Press: Beijing, China, 2000. [Google Scholar]
- Jones, D.L.; Willett, V.B. Experimental evaluation of methods to quantify dissolved organic nitrogen (DON) and dissolved organic carbon (DOC) in soil. Soil Biol. Biochem. 2006, 38, 991–999. [Google Scholar] [CrossRef]
- Mukherjee, S.; Weihermueller, L.; Tappe, W.; Vereecken, H.; Burauel, P. Microbial respiration of biochar-and digestate-based mixtures. Biol. Fertil. Soils 2016, 52, 151–164. [Google Scholar] [CrossRef]
- Wang, Y.; Wang, Y. Quick measurement of CH4, CO2 and N2O emissions from a short-plant ecosystem. Adv. Atmos. Sci. 2003, 20, 842–844. [Google Scholar] [CrossRef]
- Vance, E.D.; Brookes, P.C.; Jenkinson, D.S. An extraction method for measuring soil microbial biomass C. Soil Biol. Biochem. 1987, 19, 703–707. [Google Scholar] [CrossRef]
- Tapia-Torres, Y.; Elser, J.J.; Souza, V.; García-Oliva, F. Ecoenzymatic stoichiometry at the extremes: How microbes cope in an ultra-oligotrophic desert soil. Soil Biol. Biochem. 2015, 87, 34–42. [Google Scholar] [CrossRef]
- Buyer, J.S.; Sasser, M. High throughput phospholipid fatty acid analysis of soils. Appl. Soil Ecol. 2012, 61, 127–130. [Google Scholar] [CrossRef]
- Hyvönen, R.; Persson, T.; Andersson, S.; Olsson, B.; Ågren, G.I.; Linder, S. Impact of long-term nitrogen addition on carbon stocks in trees and soils in northern Europe. Biogeochemistry 2008, 89, 121–137. [Google Scholar] [CrossRef]
- Mbuthia, L.W.; Acosta-Martínez, V.; DeBruyn, J.; Schaeffer, S.; Tyler, D.; Odoi, E.; Mpheshea, M.; Walker, F.; Eash, N. Long term tillage, cover crop, and fertilization effects on microbial community structure, activity: Implications for soil quality. Soil Biol. Biochem. 2015, 89, 24–34. [Google Scholar] [CrossRef]
- Sinsabaugh, R.L.; Manzoni, S.; Moorhead, D.L.; Richter, A. Carbon use efficiency of microbial communities: Stoichiometry, methodology and modelling. Ecol. Lett. 2013, 16, 930–939. [Google Scholar] [CrossRef] [PubMed]
- Heuck, C.; Smolka, G.; Whalen, E.D.; Frey, S.; Gundersen, P.; Moldan, F.; Fernandez, I.J.; Spohn, M. Effects of long-term nitrogen addition on phosphorus cycling in organic soil horizons of temperate forests. Biogeochemistry 2018, 141, 167–181. [Google Scholar] [CrossRef]
- Moorhead, D.L.; Rinkes, Z.L.; Sinsabaugh, R.L.; Weintraub, M.N. Dynamic relationships between microbial biomass, respiration, inorganic nutrients and enzyme activities: Informing enzyme-based decomposition models. Front. Microbiol. 2013, 4, 223. [Google Scholar] [CrossRef] [PubMed]
- Deng, L.; Peng, C.; Huang, C.; Wang, K.; Liu, Q.; Liu, Y.; Hai, X.; Shangguan, Z. Drivers of soil microbial metabolic limitation changes along a vegetation restoration gradient on the Loess Plateau, China. Geoderma 2019, 353, 188–200. [Google Scholar] [CrossRef]
- Chen, J.; Zhao, B.; Zhang, G.; Shen, L.; Wang, F.; Qin, S. Application of principal component analysis in evaluation of soil quality under different long-term fertilization. Chin. J. Soils 2010, 6, 415–420. [Google Scholar] [CrossRef]
- Lepš, J.; Šmilauer, P. Multivariate Analysis of Ecological Data Using CANOCO; Cambridge University Press: Cambridge, MA, USA, 2003. [Google Scholar]
- Zimmerman, A.R.; Gao, B.; Ahn, M.-Y. Positive and negative carbon mineralization priming effects among a variety of biochar-amended soils. Soil Biol. Biochem. 2011, 43, 1169–1179. [Google Scholar] [CrossRef]
- Tang, X.; Chen, J. Review of effect of biochar on soil physi-chemical and microbial properties. Chin. J. Ecol. Sci. 2018, 37, 192–199. [Google Scholar] [CrossRef]
- Foster, E.J.; Fogle, E.J.; Cotrufo, M.F. Sorption to biochar impacts β-glucosidase and phosphatase enzyme activities. Agriculture 2018, 8, 158. [Google Scholar] [CrossRef]
- Tang, J.; Zhang, S.; Zhang, X.; Chen, J.; He, X.; Zhang, Q. Effects of pyrolysis temperature on soil-plant-microbe responses to Solidago canadensis L.-derived biochar in coastal saline-alkali soil. Sci. Total Environ. 2020, 731, 138938. [Google Scholar] [CrossRef] [PubMed]
- Xu, G.; Zhang, Y.; Sun, J.; Shao, H. Negative interactive effects between biochar and phosphorus fertilization on phosphorus availability and plant yield in saline sodic soil. Sci. Total Environ. 2016, 568, 910–915. [Google Scholar] [CrossRef] [PubMed]
- Jeffery, S.; Verheijen, F.G.; van der Velde, M.; Bastos, A.C. A quantitative review of the effects of biochar application to soils on crop productivity using meta-analysis. Agric. Ecosyst. Environ. 2011, 144, 175–187. [Google Scholar] [CrossRef]
- Karimi, A.; Moezzi, A.; Chorom, M.; Enayatizamir, N. Application of biochar changed the status of nutrients and biological activity in a calcareous soil. J. Soil Sci. Plant Nutr. 2020, 20, 450–459. [Google Scholar] [CrossRef]
- Ding, Y.; Liu, Y.; Liu, S.; Li, Z.; Tan, X.; Huang, X.; Zeng, G.; Zhou, L.; Zheng, B. Biochar to improve soil fertility. A review. Agron. Sustain. Dev. 2016, 36, 36. [Google Scholar] [CrossRef]
- Smith, J.L.; Collins, H.P.; Bailey, V.L. The effect of young biochar on soil respiration. Soil Biol. Biochem. 2010, 42, 2345–2347. [Google Scholar] [CrossRef]
- Keith, A.; Singh, B.; Dijkstra, F.A. Biochar reduces the rhizosphere priming effect on soil organic carbon. Soil Biol. Biochem. 2015, 88, 372–379. [Google Scholar] [CrossRef]
- Hale, S.E.; Lehmann, J.; Rutherford, D.; Zimmerman, A.R.; Bachmann, R.T.; Shitumbanuma, V.; O’Toole, A.; Sundqvist, K.L.; Arp, H.P.H.; Cornelissen, G. Quantifying the total and bioavailable polycyclic aromatic hydrocarbons and dioxins in biochars. Environ. Sci. Technol. 2012, 46, 2830–2838. [Google Scholar] [CrossRef] [PubMed]
- Kuzyakov, Y.; Bogomolova, I.; Glaser, B. Biochar stability in soil: Decomposition during eight years and transformation as assessed by compound-specific 14C analysis. Soil Biol. Biochem. 2014, 70, 229–236. [Google Scholar] [CrossRef]
- Ventura, M.; Alberti, G.; Viger, M.; Jenkins, J.R.; Girardin, C.; Baronti, S.; Zaldei, A.; Taylor, G.; Rumpel, C.; Miglietta, F. Biochar mineralization and priming effect on SOM decomposition in two European short rotation coppices. GCB Bioenergy 2015, 7, 1150–1160. [Google Scholar] [CrossRef]
- Li, Q.; Song, Z.; Xia, S.; Guo, L.; Singh, B.P.; Shi, Y.; Wang, W.; Luo, Y.; Li, Y.; Chen, J. Substrate quality overrides soil salinity in mediating microbial respiration in coastal wetlands. Land Degrad. Dev. 2023, 34, 4546–4560. [Google Scholar] [CrossRef]
- Frankenberger Jr, W.T.; Bingham, F.T. Influence of salinity on soil enzyme activities. Soil Sci. Soc. Am. J. 1982, 46, 1173–1177. [Google Scholar] [CrossRef]
- Zhang, Q.; Dijkstra, F.A.; Liu, X.; Wang, Y.; Huang, J.; Lu, N. Effects of biochar on soil microbial biomass after four years of consecutive application in the north China plain. PLoS ONE 2014, 9, e102062. [Google Scholar] [CrossRef]
- Yan, S.; Niu, Z.; Zhang, A.; Yan, H.; Zhang, H.; He, K.; Xiao, X.; Wang, N.; Guan, C.; Liu, G. Biochar application on paddy and purple soils in southern China: Soil carbon and biotic activity. R. Soc. Open Sci. 2019, 6, 181499. [Google Scholar] [CrossRef]
- Song, D.; Chen, L.; Zhang, S.; Zheng, Q.; Ullah, S.; Zhou, W.; Wang, X. Combined biochar and nitrogen fertilizer change soil enzyme and microbial activities in a 2-year field trial. Eur. J. Soil Biol. 2020, 99, 103212. [Google Scholar] [CrossRef]
- Sun, J.; Li, H.; Wang, Y.; Du, Z.; Rengel, Z.; Zhang, A. Biochar and nitrogen fertilizer promote rice yield by altering soil enzyme activity and microbial community structure. GCB Bioenergy 2022, 14, 1266–1280. [Google Scholar] [CrossRef]
- Zhou, L.; Chu, J.; Zhang, Y.; Wang, Q.; Ye, Y.; Zhao, B. Effect of Biochar Application on the Improvement of Soil Properties and Buckwheat (Fagopyrum esculentum Moench) Yield on Two Contrasting Soil Types in a Semi-Arid Region of Inner Mongolia. Agronomy 2024, 14, 1137. [Google Scholar] [CrossRef]
- Zhu, L.; Xiao, Q.; Cheng, H.; Shi, B.; Shen, Y.; Li, S. Seasonal dynamics of soil microbial activity after biochar addition in a dryland maize field in North-Western China. Ecol. Eng. 2017, 104, 141–149. [Google Scholar] [CrossRef]
- Azeem, M.; Hayat, R.; Hussain, Q.; Tahir, M.I.; Imran, M.; Abbas, Z.; Sajid, M.; Latif, A.; Irfan, M. Effects of biochar and NPK on soil microbial biomass and enzyme activity during 2 years of application in the arid region. Arab. J. Geosci. 2019, 12, 1–13. [Google Scholar] [CrossRef]
- Wang, Q.; Geng, Z.; Xu, C.; Guo, J.; Li, Q.; Liu, L.; Zhao, H.; Du, X. Effects of biochar application on soil microbial nutrient limitations and carbon use efficiency in Lou soil. Chin. J. Environ. Sci. 2020, 41, 2425–2433. [Google Scholar] [CrossRef]
- Wang, S.; Gao, P.; Zhang, Q.; Shi, Y.; Guo, X.; Lv, Q.; Wu, W.; Zhang, X.; Li, M.; Meng, Q. Biochar improves soil quality and wheat yield in saline-alkali soils beyond organic fertilizer in a 3-year field trial. Environ. Sci. Pollut. Res. 2023, 30, 19097–19110. [Google Scholar] [CrossRef]
- de Melo Carvalho, M.T.; Maia, A.D.H.N.; Madari, B.E.; Bastiaans, L.; Van Oort, P.A.J.; Heinemann, A.B.; Soler da Silva, F.A.; Petter, F.A.; Meinke, H. Biochar increases plant available water in a sandy soil under an aerobic rice cropping system. Soil Earth 2014, 6, 887–917. [Google Scholar] [CrossRef]
- Hussain, R.; Ravi, K.; Garg, A.J.S.; Research, T. Influence of biochar on the soil water retention characteristics (SWRC): Potential application in geotechnical engineering structures. Soil Tillage Res. 2020, 204, 104713. [Google Scholar] [CrossRef]
- Palansooriya, K.N.; Wong, J.T.F.; Hashimoto, Y.; Huang, L.; Rinklebe, J.; Chang, S.X.; Bolan, N.; Wang, H.; Ok, Y.S. Response of microbial communities to biochar-amended soils: A critical review. Biochar 2019, 1, 3–22. [Google Scholar] [CrossRef]
- Li, Y.; Xie, L.; Li, S.; Zhang, D.; Ge, Z. Photosynthetic carbon allocation in native and invasive salt marshes undergoing hydrological change. Sci. Total Environ. 2024, 935, 173232. [Google Scholar] [CrossRef] [PubMed]
- Khadem, A.; Raiesi, F.; Besharati, H.; Khalaj, M.A. The effects of biochar on soil nutrients status, microbial activity and carbon sequestration potential in two calcareous soils. Biochar 2021, 3, 105–116. [Google Scholar] [CrossRef]
- Lu, W.; Liu, N.; Zhang, Y.; Zhou, J.; Guo, Y.; Yang, X. Impact of vegetation community on litter decomposition: Evidence from a reciprocal transplant study with 13C labeled plant litter. Soil Biol. Biochem. 2017, 112, 248–257. [Google Scholar] [CrossRef]
- Ma, X.; Zheng, X.; Zheng, C.; Hu, Y.; Qin, H.; Chen, J.; Xu, Q.; Liang, C. Effects of moso bamboo (Phyllostachys edulis) expansion on soil microbial community in evergreen broad-leaved forest. Chin. J. Appl. Ecol. 2022, 33, 1091. [Google Scholar] [CrossRef]
- Bhattacharyya, S.S.; Ros, G.H.; Furtak, K.; Iqbal, H.M.; Parra-Saldívar, R. Soil carbon sequestration–An interplay between soil microbial community and soil organic matter dynamics. Sci. Total Environ. 2022, 815, 152928. [Google Scholar] [CrossRef] [PubMed]
- Rousk, J.; Brookes, P.C.; Bååth, E. The microbial PLFA composition as affected by pH in an arable soil. Soil Biol. Biochem. 2010, 42, 516–520. [Google Scholar] [CrossRef]
- Frey, S.D.; Six, J.; Elliott, E. Reciprocal transfer of carbon and nitrogen by decomposer fungi at the soil–litter interface. Soil Biol. Biochem. 2003, 35, 1001–1004. [Google Scholar] [CrossRef]
- Baker, B.J.; Lazar, C.S.; Teske, A.P.; Dick, G.J. Genomic resolution of linkages in carbon, nitrogen, and sulfur cycling among widespread estuary sediment bacteria. Microbiome 2015, 3, 14. [Google Scholar] [CrossRef] [PubMed]
- Dees, P.M.; Ghiorse, W.C. Microbial diversity in hot synthetic compost as revealed by PCR-amplified rRNA sequences from cultivated isolates and extracted DNA. FEMS Microbiol. Ecol. 2001, 35, 207–216. [Google Scholar] [CrossRef]
- Purahong, W.; Kapturska, D.; Pecyna, M.J.; Jariyavidyanont, K.; Kaunzner, J.; Juncheed, K.; Uengwetwanit, T.; Rudloff, R.; Schulz, E.; Hofrichter, M.; et al. Effects of forest management practices in temperate beech forests on bacterial and fungal communities involved in leaf litter degradation. Microb. Ecol. 2015, 69, 905–913. [Google Scholar] [CrossRef] [PubMed]
- Fang, J.; Jin, L.; Meng, Q.; Wang, D.; Lin, D. Interactions of extracellular DNA with aromatized biochar and protection against degradation by DNase I. J. Environ. Sci. 2021, 101, 205–216. [Google Scholar] [CrossRef] [PubMed]
- Lehmann, J.; Joseph, S. Biochar for Environmental Management: Science, Technology and Implementation; Routledge: London, UK, 2015. [Google Scholar]
- Yan, C.; Yang, G.; Li, D.; Sun, Y.; Han, D.; Xu, X. Effect of biochar addition on soil respiration of oasis farmland in arid areas. Chin. J. Agrometeorol. 2018, 39, 575. [Google Scholar] [CrossRef]
- do Nascimento, Í.V.; Fregolente, L.G.; de Araújo Pereira, A.P.; do Nascimento, C.D.V.; Mota, J.C.A.; Ferreira, O.P.; de Freitas Sousa, H.H.; da Silva, D.G.G.; Simões, L.R.; Souza Filho, A. Biochar as a carbonaceous material to enhance soil quality in drylands ecosystems: A review. Environ. Res. 2023, 233, 116489. [Google Scholar] [CrossRef] [PubMed]
- Zheng, J.; Han, J.; Liu, Z.; Xia, W.; Zhang, X.; Li, L.; Liu, X.; Bian, R.; Cheng, K.; Zheng, J. Biochar compound fertilizer increases nitrogen productivity and economic benefits but decreases carbon emission of maize production. Agric. Ecosyst. Environ. 2017, 241, 70–78. [Google Scholar] [CrossRef]
- Zhang, S.; Xue, L.; Liu, J.; Xia, L.; Jia, P.; Feng, Y.; Hao, X.; Zhao, X. Biochar application reduced carbon footprint of maize production in the saline- alkali soils. Agric. Ecosyst. Environ. 2024, 368, 109001. [Google Scholar] [CrossRef]
- Xu, L.; Li, X.; Li, C.; Kou, Y.; Li, J.; Yao, M.; Zhang, B.; Wang, L.; Xu, H.; You, C. Disentangling the relative importance of precipitation, biocrust succession, and shrub cover in mediating soil phoD-harbouring communities and organic phosphorus mineralisation. Soil Biol. Biochem. 2023, 186, 109165. [Google Scholar] [CrossRef]
- Bloom, A.J.; Chapin, F.S.; Mooney, H.A. Resource limitation in plants—An economic analogy. Annu. Rev. Ecol. Syst. 1985, 16, 363–392. [Google Scholar] [CrossRef]
- Aber, J.D.; Melillo, J.M.; Nadelhoffer, K.J.; Pastor, J.; Boone, R.D. Factors controlling nitrogen cycling and nitrogen saturation in northern temperate forest ecosystems. Ecol. Appl. 1991, 1, 303–315. [Google Scholar] [CrossRef] [PubMed]
- Hobbie, J.E.; Hobbie, E.A. Microbes in nature are limited by carbon and energy: The starving-survival lifestyle in soil and consequences for estimating microbial rates. Front. Microbiol. 2013, 4, 324. [Google Scholar] [CrossRef]
- Zeng, Q.; Zhang, Q.; Lin, K.; Zhou, J.; Yuan, X.; Mei, K.; Wu, Y.; Cui, J.; Xu, J.; Chen, Y. Enzyme stoichiometry evidence revealed that five years nitrogen addition exacerbated the carbon and phosphorus limitation of soil microorganisms in a Phyllostachys pubescens forest. Chin. J. Appl. Ecol. 2021, 32, 521–528. [Google Scholar] [CrossRef]
- Li, R.; Chang, R. Effects of external nitrogen additions on soil organic carbon dynamics and the mechanism. Chin. J. Plant Ecol. 2015, 39, 1012. [Google Scholar] [CrossRef]
- Gul, S.; Whalen, J.K. Biochemical cycling of nitrogen and phosphorus in biochar-amended soils. Soil Biol. Biochem. 2016, 103, 1–15. [Google Scholar] [CrossRef]
- Cotrufo, M.F.; Wallenstein, M.D.; Boot, C.M.; Denef, K.; Paul, E. The M icrobial E fficiency-M atrix S tabilization (MEMS) framework integrates plant litter decomposition with soil organic matter stabilization: Do labile plant inputs form stable soil organic matter? Glob. Change Biol. 2013, 19, 988–995. [Google Scholar] [CrossRef] [PubMed]
- Manzoni, S.; Taylor, P.; Richter, A.; Porporato, A.; Ågren, G.I. Environmental and stoichiometric controls on microbial carbon-use efficiency in soils. New Phytol. 2012, 196, 79–91. [Google Scholar] [CrossRef]
- Spohn, M.; Chodak, M. Microbial respiration per unit biomass increases with carbon-to-nutrient ratios in forest soils. Soil Biol. Biochem. 2015, 81, 128–133. [Google Scholar] [CrossRef]
- Liao, J.; Dou, Y.; Wang, B.; Gunina, A.; Yang, Y.; An, S.; Chang, S.X. Soil stoichiometric imbalances constrain microbial-driven C and N dynamics in grassland. Sci. Total Environ. 2024, 924, 171655. [Google Scholar] [CrossRef]
- Mooshammer, M.; Wanek, W.; Zechmeister-Boltenstern, S.; Richter, A. Stoichiometric imbalances between terrestrial decomposer communities and their resources: Mechanisms and implications of microbial adaptations to their resources. Front. Microbiol. 2014, 5, 22. [Google Scholar] [CrossRef]
- Gou, Z.; Zheng, H.; He, Z.; Su, Y.; Chen, S.; Chen, H.; Chen, G.; Ma, N.L.; Sun, Y. The combined action of biochar and nitrogen-fixing bacteria on microbial and enzymatic activities of soil N cycling. Environ. Pollut. 2023, 317, 120790. [Google Scholar] [CrossRef] [PubMed]
- Arif, M.; Ilyas, M.; Riaz, M.; Ali, K.; Shah, K.; Haq, I.U.; Fahad, S. Biochar improves phosphorus use efficiency of organic-inorganic fertilizers, maize-wheat productivity and soil quality in a low fertility alkaline soil. Field Crops Res. 2017, 214, 25–37. [Google Scholar] [CrossRef]










| Reference | pH | Soil Type | Biochar Type | Biochar Application Rate | Time | △MBC (mg kg−1) |
|---|---|---|---|---|---|---|
| [68] | 7.3 | Purple soil | Rice straw biochar 480 °C | 7.2 t ha−1 | 2-year | +4 |
| [69] | 8.2 | Alkaline and calcareous soil | Maize straw biochar 450 °C | 22.5 t ha−1 | 2-year | +28 |
| [67] | 8.1 | Sandy loam | Corncobs biochar 360 °C | B1: 4.5 t ha−1 B2: 9 t ha−1 | 8-month | B1: +105 B2: +298 |
| [71] | 8.2 | Aeolian sandy soil | Maize straw biochar 450 °C | B1: 20 t ha−1 B2: 40 t ha−1 B3: 60 t ha−1 | 1-year | B1: +6.3 B2: +12 B3: +15 |
| 2-year | B1: +4 B2: +11 B3: +20 | |||||
| [70] | 8.5 | Saline-alkaline soil | Wheat straw biochar 350 °C | 13.5 t ha−1 | 1-year | No N fertilization B: +55 |
| N fertilization B: −27 | ||||||
| [72] | 7.9 | Black clay | Maize straw biochar 450 °C | B1: 10 t ha−1 B2: 30 t ha−1 | 1-year | B1: +24 B2: +46 |
| 2-year | B1: −12 B2: −84 | |||||
| [73] | 8.5 | Sandy loam | Sugarcane bagasse biochar 350 °C | B1: 5 t ha−1 B2: 10 t ha−1 | 2-year | No fertilization B1: −29 B2: −53 |
| NPK fertilization B1: −71 B2: −50 | ||||||
| [75] | 8.2 | Saline-alkaline soil | Cotton straw biochar 850 °C | B1: 5 t ha−1 B2: 10 t ha−1 B3: 20 t ha−1 | 7-month | B1: −9 B2: −43 B3: −30 |
| [74] | 7.3 | Calcareous soil | Fruit tree trunks and branch biochar 450 °C | B1: 20 t ha−1 B2: 40 t ha−1 B3: 60 t ha−1 | 7-year | B1: −9 B2: −60.5 B3: −29 |
| This study | 7.7 | Saline-alkaline soil | Maize straw biochar 500 °C | 10 t ha−1 | 5-year | LNLWB: −27 MNMWB: −146 HNHWB: −181 |
Disclaimer/Publisher’s Note: The statements, opinions and data contained in all publications are solely those of the individual author(s) and contributor(s) and not of MDPI and/or the editor(s). MDPI and/or the editor(s) disclaim responsibility for any injury to people or property resulting from any ideas, methods, instructions or products referred to in the content. |
© 2025 by the authors. Licensee MDPI, Basel, Switzerland. This article is an open access article distributed under the terms and conditions of the Creative Commons Attribution (CC BY) license (https://creativecommons.org/licenses/by/4.0/).
Share and Cite
Li, J.; Liang, Y.; Xue, L.; Li, W.; Zhang, S.; Zamanian, K.; Zhao, X. Enzymatic Stoichiometry and Microbial Resource Limitation in a Saline-Alkaline Soil Five Years After Biochar Application, Fertilization, and Irrigation. Agronomy 2025, 15, 589. https://doi.org/10.3390/agronomy15030589
Li J, Liang Y, Xue L, Li W, Zhang S, Zamanian K, Zhao X. Enzymatic Stoichiometry and Microbial Resource Limitation in a Saline-Alkaline Soil Five Years After Biochar Application, Fertilization, and Irrigation. Agronomy. 2025; 15(3):589. https://doi.org/10.3390/agronomy15030589
Chicago/Turabian StyleLi, Jingjing, Yinku Liang, Lihua Xue, Wenwen Li, Sheng Zhang, Kazem Zamanian, and Xiaoning Zhao. 2025. "Enzymatic Stoichiometry and Microbial Resource Limitation in a Saline-Alkaline Soil Five Years After Biochar Application, Fertilization, and Irrigation" Agronomy 15, no. 3: 589. https://doi.org/10.3390/agronomy15030589
APA StyleLi, J., Liang, Y., Xue, L., Li, W., Zhang, S., Zamanian, K., & Zhao, X. (2025). Enzymatic Stoichiometry and Microbial Resource Limitation in a Saline-Alkaline Soil Five Years After Biochar Application, Fertilization, and Irrigation. Agronomy, 15(3), 589. https://doi.org/10.3390/agronomy15030589
