Rice Yield and Nitrogen Use Efficiency Under Climate Change: Unraveling Key Drivers with Least Absolute Shrinkage and Selection Operator Regression
Abstract
1. Introduction
2. Materials and Methods
2.1. Experimental Design
2.2. Fertilizer Application
2.3. Sample Collection
2.4. Sample Analysis and Measurement Methods
2.5. LASSO Regression and Data Analysis
3. Results
3.1. Temperature and Rainfall
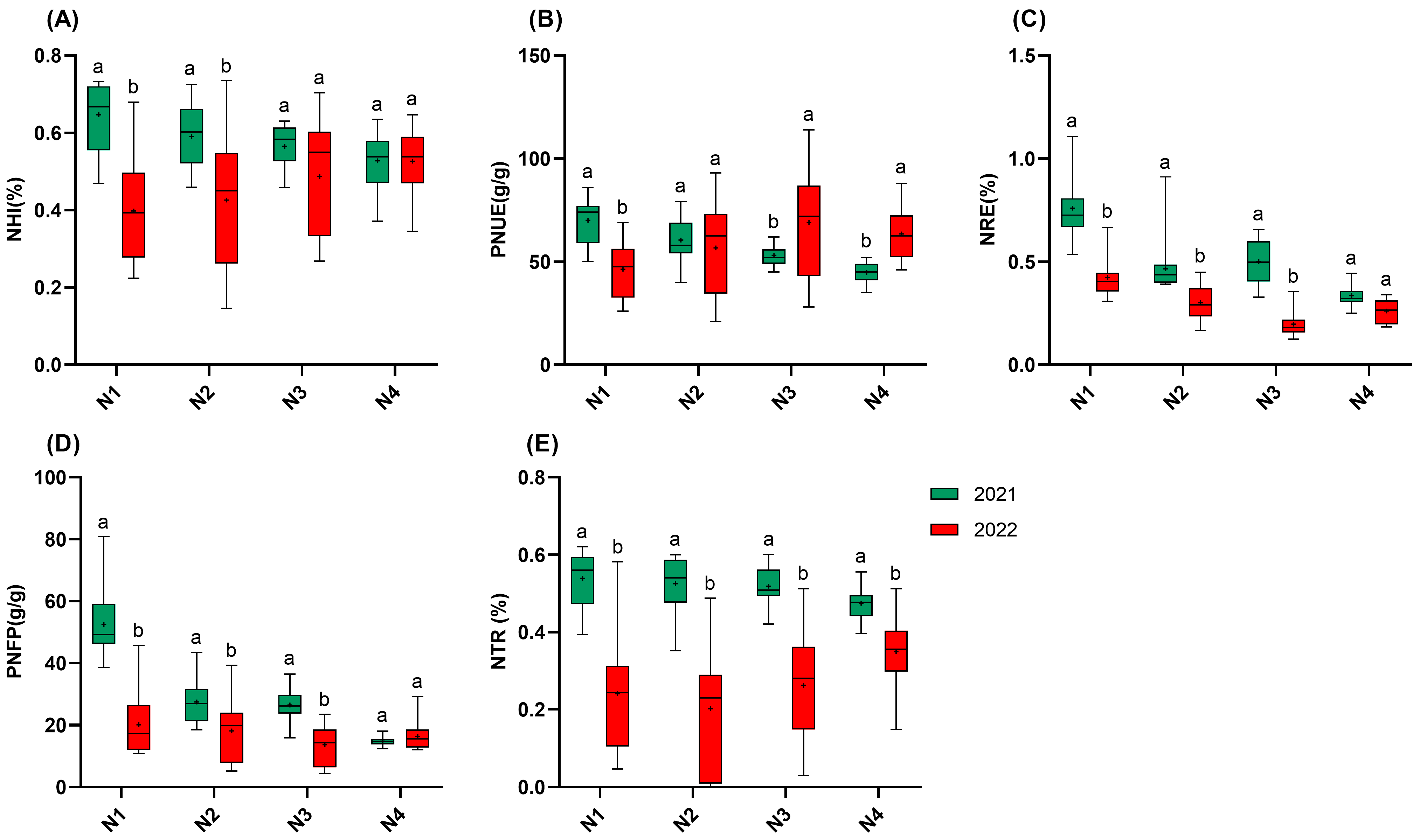
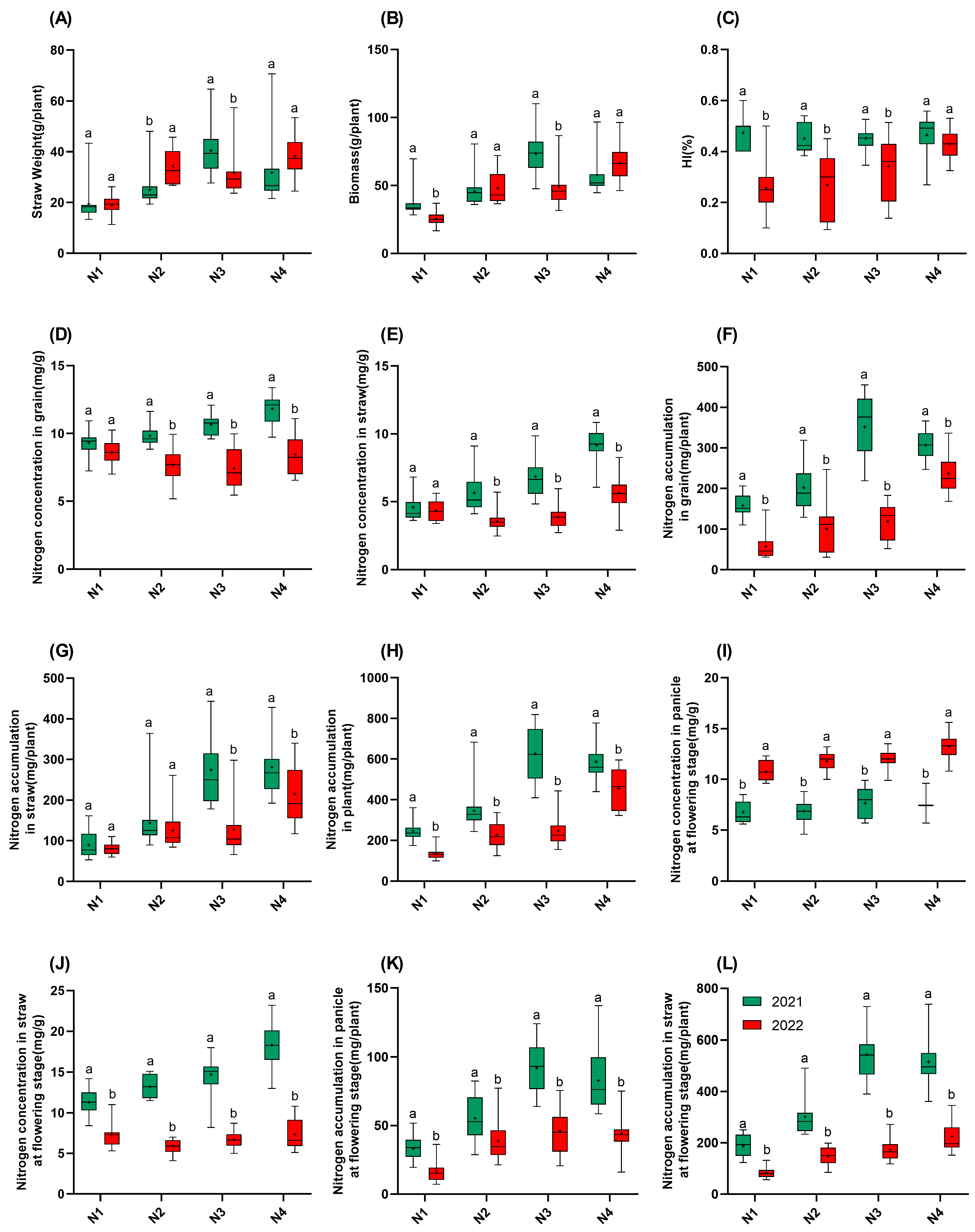
3.2. Traits of Rice Under Different Temperature and Rainfall Conditions
3.3. LASSO Regression Analysis on Traits of Rice
4. Discussion
4.1. Rainfall During Tillering Stage Is Crucial for the Growth of Rice and NUE
4.2. High Temperature Significantly Reduces the Yield and NUE of Rice, and the Reproductive Growth Stage Is the Most Sensitive to High Temperatures
4.3. Practical Suggestions for Farmers’ Production: Multi-Dimensional Strategies to Help Rice Cope with Climate Change and Achieve Efficient Production
4.4. Beyond Traditional Models: LASSO Reveals True Climate Drivers of NUE in Rice Growth Analysis
4.5. Limitation
5. Conclusions
Supplementary Materials
Author Contributions
Funding
Data Availability Statement
Conflicts of Interest
Abbreviations
| LASSO | Least absolute shrinkage and selection operator |
| NUE | Nitrogen use efficiency |
| NRE | Nitrogen recovery efficiency |
| NTR | Nitrogen translocation ratio |
| PNUE | Physiological nitrogen use efficiency |
| HI | Harvest index |
| NHI | Nitrogen harvest index |
| NPFP | Nitrogen partial factor productivity |
| NUtE | Nitrogen Utilization Efficiency |
References
- Liu, X.; Liu, Y.; Liu, Z.; Chen, Z. Impacts of climatic warming on cropping system borders of China and potential adaptation strategies for regional agriculture development. Sci. Total Environ. 2021, 755, 142415. [Google Scholar] [CrossRef] [PubMed]
- Vergé, X.P.C.; De Kimpe, C.; Desjardins, R.L. Agricultural production, greenhouse gas emissions and mitigation potential. Agric. Forest Meteorol. 2007, 142, 255–269. [Google Scholar] [CrossRef]
- Xia, L.; Ti, C.; Li, B.; Xia, Y.; Yan, X. Greenhouse gas emissions and reactive nitrogen releases during the life-cycles of staple food production in China and their mitigation potential. Sci. Total Environ. 2016, 556, 116–125. [Google Scholar] [CrossRef] [PubMed]
- Abascal, E.; Gómez-Coma, L.; Ortiz, I.; Ortiz, A. Global diagnosis of nitrate pollution in groundwater and review of removal technologies. Sci. Total Environ. 2022, 810, 152233. [Google Scholar] [CrossRef]
- Fan, X.; Sun, X.; Yang, R.; Chen, S.; Li, R.; Bian, X.; Xia, L.; Zhang, C. Comparative Analyses of Grain Quality in Response to High Temperature during the Grain-Filling Stage between Wxa and Wxb under Indica and Japonica Backgrounds. Agronomy 2023, 13, 17. [Google Scholar] [CrossRef]
- Yao, D.; Wu, J.; Luo, Q.; Li, J.; Zhuang, W.; Xiao, G.; Deng, Q.; Lei, D.; Bai, B. Influence of high natural field temperature during grain filling stage on the morphological structure and physicochemical properties of rice (Oryza sativa L.) starch. Food Chem. 2020, 310, 125817. [Google Scholar] [CrossRef]
- Huang, M.; Zhang, H.; Zhao, C.; Chen, G.; Zou, Y. Amino acid content in rice grains is affected by high temperature during the early grain-filling period. Sci. Rep. 2019, 9, 2700. [Google Scholar] [CrossRef]
- Liao, G.; Yang, Y.; Xiao, W.; Mo, Z. Nitrogen Modulates Grain Yield, Nitrogen Metabolism, and Antioxidant Response in Different Rice Genotypes. J. Plant Growth Regul. 2023, 42, 2103–2114. [Google Scholar] [CrossRef]
- Yu, J.; Du, T.; Zhang, P.; Ma, Z.; Chen, X.; Cao, J.; Li, H.; Li, T.; Zhu, Y.; Xu, F.; et al. Impacts of High Temperatures on the Growth and Development of Rice and Measures for Heat Tolerance Regulation: A Review. Agronomy 2024, 14, 2811. [Google Scholar] [CrossRef]
- Liu, K.; Deng, J.; Lu, J.; Wang, X.; Lu, B.; Tian, X.; Zhang, Y. High Nitrogen Levels Alleviate Yield Loss of Super Hybrid Rice Caused by High Temperatures During the Flowering Stage. Front. Plant Sci. 2019, 10, 357. [Google Scholar] [CrossRef]
- Yamori, W.; Nagai, T.; Makino, A. The rate-limiting step for CO2 assimilation at different temperatures is influenced by the leaf nitrogen content in several C3 crop species. Plant Cell Environ. 2011, 34, 764–777. [Google Scholar] [CrossRef] [PubMed]
- Huang, G.; Zhang, Q.; Wei, X.; Peng, S.; Li, Y. Nitrogen Can Alleviate the Inhibition of Photosynthesis Caused by High Temperature Stress under Both Steady-State and Flecked Irradiance. Front. Plant Sci. 2017, 8, 945. [Google Scholar] [CrossRef] [PubMed]
- Cao, J.; Zhang, Z.; Tao, F.; Zhang, L.; Luo, Y.; Zhang, J.; Han, J.; Xie, J. Integrating Multi-Source Data for Rice Yield Prediction across China using Machine Learning and Deep Learning Approaches. Agric. Forest Meteorol. 2021, 297, 108275. [Google Scholar] [CrossRef]
- Zhang, J.; Fu, Z.; Zhang, K.; Li, J.; Cao, Q.; Tian, Y.; Zhu, Y.; Cao, W.; Liu, X. Optimizing rice in-season nitrogen topdressing by coupling experimental and modeling data with machine learning algorithms. Comput. Electron. Agric. 2023, 209, 107858. [Google Scholar] [CrossRef]
- Das, B.; Nair, B.; Reddy, V.K.; Venkatesh, P. Evaluation of multiple linear, neural network and penalised regression models for prediction of rice yield based on weather parameters for west coast of India. Int. J. Biometeorol. 2018, 62, 1809–1822. [Google Scholar] [CrossRef]
- Zhang, Y.; Tateishi-Karimata, H.; Endoh, T.; Jin, Q.; Li, K.; Fan, X.; Ma, Y.; Gao, L.; Lu, H.; Wang, Z.; et al. High-temperature adaptation of an OsNRT2.3 allele is thermoregulated by small RNAs. Sci. Adv. 2022, 8, eadc9785. [Google Scholar] [CrossRef]
- Friedman, J.; Hastie, T.; Tibshirani, R. Regularization Paths for Generalized Linear Models via Coordinate Descent. J. Stat. Softw. 2010, 33, 1–22. [Google Scholar] [CrossRef]
- Das, S.; Krishnan, P.; Nayak, M.; Ramakrishnan, B. High temperature stress effects on pollens of rice (Oryza sativa L.) genotypes. Environ. Exp. Bot. 2014, 101, 36–46. [Google Scholar] [CrossRef]
- Xu, G.; Fan, X.; Miller, A.J. Plant nitrogen assimilation and use efficiency. Annu. Rev. Plant Biol. 2012, 63, 153–182. [Google Scholar] [CrossRef]
- Li, J.; Veeranampalayam-Sivakumar, A.; Bhatta, M.; Garst, N.D.; Stoll, H.; Stephen Baenziger, P.; Belamkar, V.; Howard, R.; Ge, Y.; Shi, Y. Principal variable selection to explain grain yield variation in winter wheat from features extracted from UAV imagery. Plant Methods 2019, 15, 123. [Google Scholar] [CrossRef]
- Farooq, M.S.; Uzair, M.; Maqbool, Z.; Fiaz, S.; Yousuf, M.; Yang, S.H.; Khan, M.R. Improving Nitrogen Use Efficiency in Aerobic Rice Based on Insights into the Ecophysiology of Archaeal and Bacterial Ammonia Oxidizers. Front. Plant Sci. 2022, 13, 913204. [Google Scholar] [CrossRef] [PubMed]
- Sun, Y.; Gao, L.; Meng, X.; Huang, J.; Guo, J.; Zhou, X.; Fu, G.; Xu, Y.; Firbank, L.G.; Wang, M.; et al. Large-scale exploration of nitrogen utilization efficiency in Asia region for rice crop: Variation patterns and determinants. Glob. Change Biol. 2023, 29, 5367–5378. [Google Scholar] [CrossRef] [PubMed]
- Fu, J.; Jian, Y.; Wang, X.; Li, L.; Ciais, P.; Zscheischler, J.; Wang, Y.; Tang, Y.; Müller, C.; Webber, H.; et al. Extreme rainfall reduces one-twelfth of China’s rice yield over the last two decades. Nat. Food 2023, 4, 416–426. [Google Scholar] [CrossRef] [PubMed]
- Pradhan, C.; Mohanty, M. Submergence Stress: Responses and adaptations in crop plants. In Molecular Stress Physiology of Plants; Rout, G.R., Das, A.B., Eds.; Springer: New Delhi, India, 2013; pp. 331–357. [Google Scholar]
- Abbas, S.; Mayo, Z.A. Impact of temperature and rainfall on rice production in Punjab, Pakistan. Environ. Dev. Sustain. 2021, 23, 1706–1728. [Google Scholar] [CrossRef]
- Zhao, C.; Liu, B.; Piao, S.; Wang, X.; Lobell, D.B.; Huang, Y.; Huang, M.; Yao, Y.; Bassu, S.; Ciais, P.; et al. Temperature increase reduces global yields of major crops in four independent estimates. Proc. Natl. Acad. Sci. USA 2017, 114, 9326–9331. [Google Scholar] [CrossRef]
- Kolb, P.F.; Robberecht, R. High temperature and drought stress effects on survival of Pinus ponderosa seedlings. Tree Physiol. 1996, 16, 665–672. [Google Scholar] [CrossRef]
- Impa, S.M.; Raju, B.; Hein, N.T.; Sandhu, J.; Prasad, P.V.V.; Walia, H.; Jagadish, S.V.K. High night temperature effects on wheat and rice: Current status and way forward. Plant Cell Environ. 2021, 44, 2049–2065. [Google Scholar] [CrossRef]
- Xiong, D.; Ling, X.; Huang, J.; Peng, S. Meta-analysis and dose-response analysis of high temperature effects on rice yield and quality. Environ. Exp. Bot. 2017, 141, 1–9. [Google Scholar] [CrossRef]
- Pereira, J.; Figueiredo, N.; Goufo, P.; Carneiro, J.; Morais, R.; Carranca, C.; Coutinho, J.; Trindade, H. Effects of elevated temperature and atmospheric carbon dioxide concentration on the emissions of methane and nitrous oxide from Portuguese flooded rice fields. Atmos Environ. 2013, 80, 464–471. [Google Scholar] [CrossRef]
- Shi, P.; Zhu, Y.; Tang, L.; Chen, J.; Sun, T.; Cao, W.; Tian, Y. Differential effects of temperature and duration of heat stress during anthesis and grain filling stages in rice. Environ. Exp. Bot. 2016, 132, 28–41. [Google Scholar] [CrossRef]
- Saud, S.; Wang, D.; Fahad, S.; Alharby, H.F.; Bamagoos, A.A.; Mjrashi, A.; Alabdallah, N.M.; AlZahrani, S.S.; AbdElgawad, H.; Adnan, M.; et al. Comprehensive Impacts of Climate Change on Rice Production and Adaptive Strategies in China. Front. Microbiol. 2022, 13, 926059. [Google Scholar] [CrossRef] [PubMed]
- Song, Y.; Wang, C.; Linderholm, H.W.; Fu, Y.; Cai, W.; Xu, J.; Zhuang, L.; Wu, M.; Shi, Y.; Wang, G.; et al. The negative impact of increasing temperatures on rice yields in southern China. Sci. Total Environ. 2022, 820, 153262. [Google Scholar] [CrossRef]
- Rehmani, M.I.A.; Wei, G.; Hussain, N.; Ding, C.; Li, G.; Liu, Z.; Wang, S.; Ding, Y. Yield and quality responses of two indica rice hybrids to post-anthesis asymmetric day and night open-field warming in lower reaches of Yangtze River delta. Field Crops Res. 2014, 156, 231–241. [Google Scholar] [CrossRef]
- Chen, J.L.; Wilson, C.R.; Tapley, B.D.; Scanlon, B.; Güntner, A. Long-term groundwater storage change in Victoria, Australia from satellite gravity and in situ observations. Glob. Planet Change 2016, 139, 56–65. [Google Scholar] [CrossRef]
- Lu, B.; Xu, C.; Li, Z.; Tang, X.; Yang, F.; Xu, D.; Zhu, G.; Zhang, J.; Jiang, Y.; Li, W.; et al. Influence of the temperature during grain filling stage and nitrogen application rate on yield and quality of indica hybrid rice. Field Crops Res. 2024, 309, 109333. [Google Scholar] [CrossRef]
- Su, Q.; Rohila, J.S.; Ranganathan, S.; Karthikeyan, R. Rice yield and quality in response to daytime and nighttime temperature increase—A meta-analysis perspective. Sci. Total Environ. 2023, 898, 165256. [Google Scholar] [CrossRef]
- Hedhly, A.; Hormaza, J.I.; Herrero, M. Global warming and sexual plant reproduction. Trends Plant Sci. 2009, 14, 30–36. [Google Scholar] [CrossRef]
- Zinn, K.E.; Tunc-Ozdemir, M.; Harper, J.F. Temperature stress and plant sexual reproduction: Uncovering the weakest links. J Exp. Bot. 2010, 61, 1959–1968. [Google Scholar] [CrossRef]
- Matsui, T. Rice (Oryza sativa L.) Cultivars Tolerant to High Temperature at Flowering: Anther Characteristics. Ann. Bot. 2002, 89, 683–687. [Google Scholar] [CrossRef]
- Xu, Y.; Chu, C.; Yao, S. The impact of high-temperature stress on rice: Challenges and solutions. Crop J. 2021, 9, 963–976. [Google Scholar] [CrossRef]
- Jiang, X.; Hua, M.; Yang, X.; Hu, N.; Qiu, R.; Yang, S. Impacts of Mist Spray on Rice Field Micrometeorology and Rice Yield under Heat Stress Condition. Sci. Rep. 2020, 10, 1579. [Google Scholar] [CrossRef] [PubMed]
- Matsue, Y.; Takasaki, K.; Abe, J. Water Management for Improvement of Rice Yield, Appearance Quality and Palatability with High Temperature During Ripening Period. Rice Sci. 2021, 28, 409–416. [Google Scholar] [CrossRef]
- Yu, Q.; Dai, Y.; Wei, J.; Wang, J.; Liao, B.; Cui, Y. Rice yield and water productivity in response to water-saving irrigation practices in China: A meta-analysis. Agric. Water Manag. 2024, 302, 109006. [Google Scholar] [CrossRef]
- Sun, Y.; Ma, J.; Sun, Y.; Xu, H.; Yang, Z.; Liu, S.; Jia, X.; Zheng, H. The effects of different water and nitrogen managements on yield and nitrogen use efficiency in hybrid rice of China. Field Crops Res. 2012, 127, 85–98. [Google Scholar] [CrossRef]
- Liu, C.; Van der Fels-Klerx, H.J. Quantitative Modeling of Climate Change Impacts on Mycotoxins in Cereals: A Review. Toxins 2021, 13, 276. [Google Scholar] [CrossRef]
- He, S.; Li, X.; Sivakumar, V.; Banerjee, A. Interpretable Predictive Modeling for Climate Variables with Weighted Lasso. Proceedings of the. AAAI Conf. Artif. Intell. 2019, 33, 1385–1392. [Google Scholar] [CrossRef]
- Liang, X.; Sun, H. Weighted Selection Probability to Prioritize Susceptible Rare Variants in Multi-Phenotype Association Studies with Application to a Soybean Genetic Data Set. J. Comput. Biol. 2023, 30, 1075–1088. [Google Scholar] [CrossRef]
- Tibshirani, R. Regression Shrinkage and Selection via the Lasso. J. R. Stat. Soc. Ser. B 1996, 1, 267–288. [Google Scholar] [CrossRef]
- Abbasi, A.; Özkale, M.R. Restricted Liu estimator under stochastic linear restrictions in generalized linear models: Theory and applications. Commun. Stat.-Simul. Comput. 2023, 1–23. [Google Scholar] [CrossRef]
- Chen, G.; Duan, Q.; Wu, C.; He, X.; Hu, M.; Li, C.; Ouyang, Y.; Peng, L.; Yang, H.; Zhang, Q.; et al. Optimizing rice yield, quality and nutrient use efficiency through combined application of nitrogen and potassium. Front. Plant Sci. 2024, 15, 1335744. [Google Scholar] [CrossRef]






| Response Variable | Grain Yield | Biomass | HI | NHI | PNUE | NRE | PNFP | NTR | Plant Height | Tiller Number | Straw Weight |
|---|---|---|---|---|---|---|---|---|---|---|---|
| Intercept | 21.46 | 28.78 | 0.4760 | 0.5200 | 61.63 | 1.429 | 30.88 | 0.3190 | 151.0 | 8.850 | 21.81 |
| X1 | 0.0471 | 0.0877 | 0.0001 | −0.0007 | −0.0408 | 0.0645 | 0.0093 | 0.0387 | |||
| X2 | |||||||||||
| X3 | |||||||||||
| X4 | −0.1709 | −0.0142 | |||||||||
| X5 | −0.0046 | −0.0038 | |||||||||
| X6 | |||||||||||
| X7 | |||||||||||
| X8 | |||||||||||
| X9 | −0.0169 | ||||||||||
| X10 | −1.313 | ||||||||||
| X11 | −1.406 | ||||||||||
| X12 | |||||||||||
| X13 | 0.9020 | 0.0090 | 0.0049 | 0.0063 | 0.6729 | 0.0296 | −0.1849 | ||||
| X14 | 0.0043 | 1.136 | |||||||||
| X15 | −0.3313 | ||||||||||
| X16 | 0.0042 | ||||||||||
| X17 | |||||||||||
| X18 | |||||||||||
| X19 | |||||||||||
| X20 | −0.6705 | −0.0045 | −0.0077 | −0.7238 | |||||||
| X21 | −0.8887 | −1.572 | −0.0028 | −0.0051 | −1.076 | −0.2137 | −0.0937 | ||||
| X22 | |||||||||||
| X23 | |||||||||||
| X24 | 0.0007 | −0.2501 | |||||||||
| X25 | −0.0056 | 0.2527 | |||||||||
| X26 | |||||||||||
| X27 | 13.67 | ||||||||||
| X28 | 18.80 | −0.0259 | −0.0300 | 0.0244 | 42.84 | 15.1792 | |||||
| X29 | 13.635 | ||||||||||
| X30 | −0.0044 | ||||||||||
| X31 | 1.299 | ||||||||||
| X32 | −1.664 | ||||||||||
| X33 | 6.502 | 7.487 | 2.8714 | ||||||||
| X34 | −0.0208 | 2.087 | |||||||||
| X35 | −11.57 | ||||||||||
| X36 | −10.15 | ||||||||||
| X37 | −4.645 | ||||||||||
| X38 | −1.295 | ||||||||||
| X39 | |||||||||||
| X40 | −3.447 | ||||||||||
| X41 | 8.553 | ||||||||||
| Lambda.1se | 1.240 | 2.046 | 0.0150 | 0.0182 | 5.016 | 0.0192 | 2.789 | 0.0347 | 0.0906 | 0.7524 | 1.928 |
Disclaimer/Publisher’s Note: The statements, opinions and data contained in all publications are solely those of the individual author(s) and contributor(s) and not of MDPI and/or the editor(s). MDPI and/or the editor(s) disclaim responsibility for any injury to people or property resulting from any ideas, methods, instructions or products referred to in the content. |
© 2025 by the authors. Licensee MDPI, Basel, Switzerland. This article is an open access article distributed under the terms and conditions of the Creative Commons Attribution (CC BY) license (https://creativecommons.org/licenses/by/4.0/).
Share and Cite
Ma, Y.; Sun, M.; Liang, X.; Zhang, H.; Xiang, J.; Zhao, L.; Fan, X. Rice Yield and Nitrogen Use Efficiency Under Climate Change: Unraveling Key Drivers with Least Absolute Shrinkage and Selection Operator Regression. Agronomy 2025, 15, 677. https://doi.org/10.3390/agronomy15030677
Ma Y, Sun M, Liang X, Zhang H, Xiang J, Zhao L, Fan X. Rice Yield and Nitrogen Use Efficiency Under Climate Change: Unraveling Key Drivers with Least Absolute Shrinkage and Selection Operator Regression. Agronomy. 2025; 15(3):677. https://doi.org/10.3390/agronomy15030677
Chicago/Turabian StyleMa, Yingjun, Menglong Sun, Xianglong Liang, Huimin Zhang, Jinxia Xiang, Ling Zhao, and Xiaorong Fan. 2025. "Rice Yield and Nitrogen Use Efficiency Under Climate Change: Unraveling Key Drivers with Least Absolute Shrinkage and Selection Operator Regression" Agronomy 15, no. 3: 677. https://doi.org/10.3390/agronomy15030677
APA StyleMa, Y., Sun, M., Liang, X., Zhang, H., Xiang, J., Zhao, L., & Fan, X. (2025). Rice Yield and Nitrogen Use Efficiency Under Climate Change: Unraveling Key Drivers with Least Absolute Shrinkage and Selection Operator Regression. Agronomy, 15(3), 677. https://doi.org/10.3390/agronomy15030677

