Characterization of Peripheral Blood TCR in Patients with Type 1 Diabetes Mellitus by BD RhapsodyTM VDJ CDR3 Assay
Abstract
1. Introduction
2. Materials and Methods
2.1. Study Design and Participants
2.2. Data Collection
2.3. BD Rhapsody Single Cell Analysis System
2.4. Data Analyses
2.5. Detection of CD8+ Cells and FOXP3 Expression in Tregs Using Whole Transcriptome scRNA-seq Data
2.6. TCR CDR3 Motif Identification
3. Results
3.1. Single-Cell mRNA Immunophenotyping Identifies Distinct Trajectories of T-Cell Differentiation in Blood
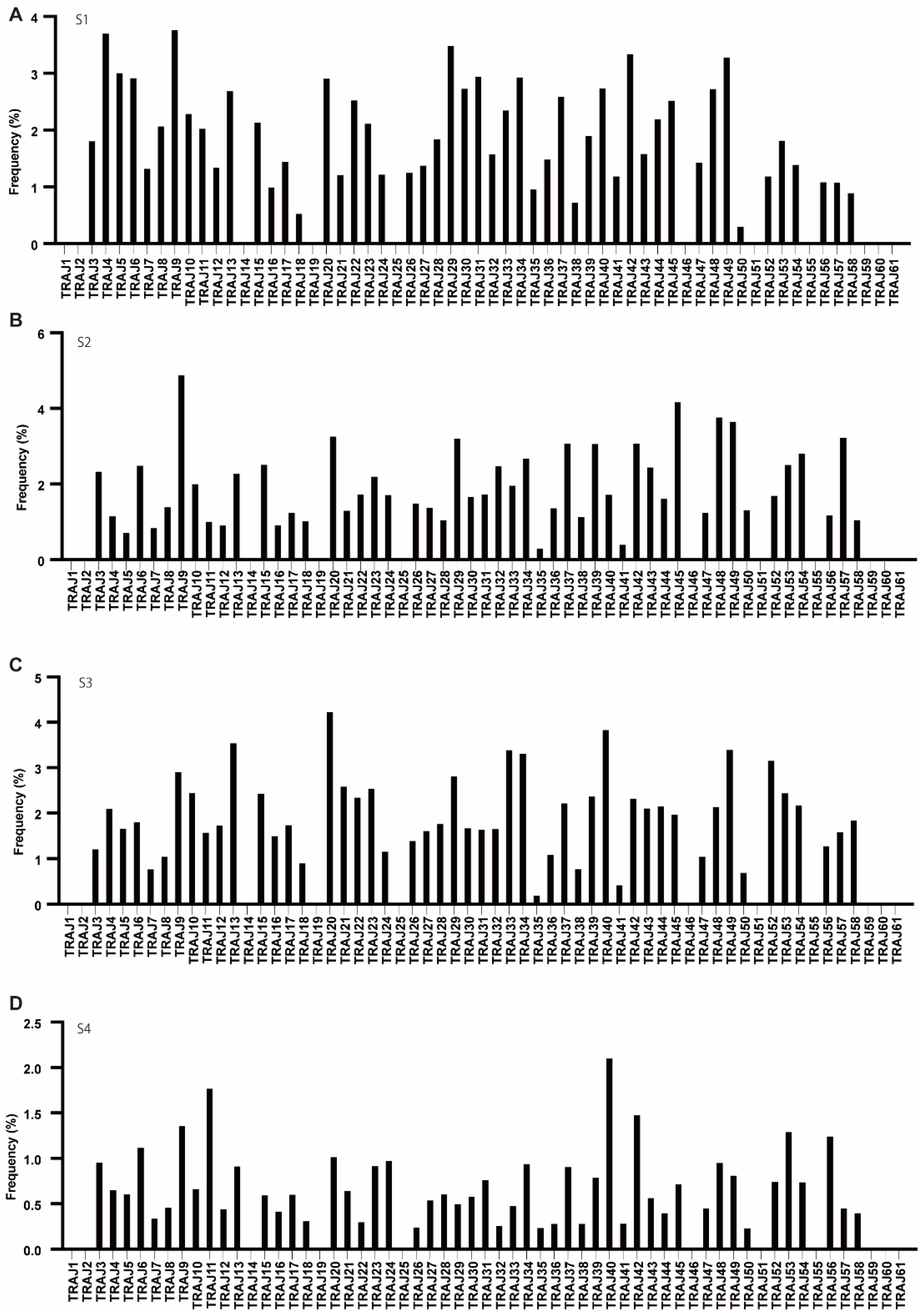
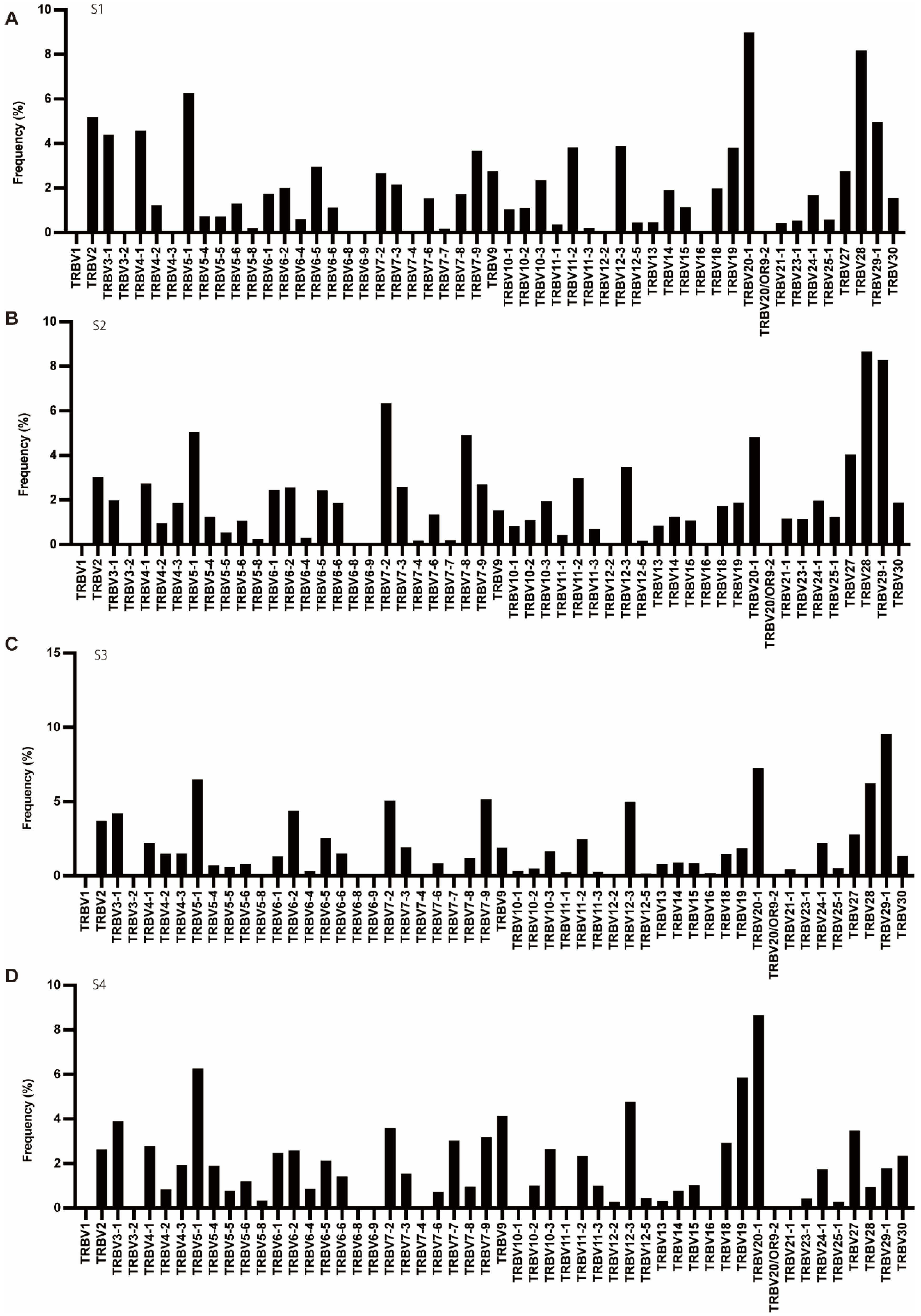
3.2. Recombination of TRAV and TRAJ
3.3. TCR Clonotypes of CD8+ T Cells and FOXP3+ T Cells
3.4. T-Cells in Blood of Patients with T1DM Have Phenotypic Hallmarks
4. Discussion
5. Conclusions
Supplementary Materials
Author Contributions
Funding
Institutional Review Board Statement
Informed Consent Statement
Data Availability Statement
Acknowledgments
Conflicts of Interest
References
- Maecker, H.T.; Lindstrom, T.M.; Robinson, W.H.; Utz, P.J.; Hale, M.; Boyd, S.D.; Shen-Orr, S.S.; Fathman, C.G. New Tools for Classification and Monitoring of Autoimmune Diseases. Nat. Rev. Rheumatol. 2012, 8, 317–328. [Google Scholar] [CrossRef] [PubMed]
- Tarbell, K.V.; Lee, M.; Ranheim, E.; Chao, C.C.; Sanna, M.; Kim, S.K.; Dickie, P.; Teyton, L.; Davis, M.; Mcdevitt, H. CD4+ T Cells from Glutamic Acid Decarboxylase (GAD)65-Specific T Cell Receptor Transgenic Mice Are Not Diabetogenic and Can Delay Diabetes Transfer. J. Exp. Med. 2002, 196, 481–492. [Google Scholar] [CrossRef] [PubMed]
- Cole, D.K.; Bulek, A.M.; Dolton, G.; Schauenberg, A.J.; Szomolay, B.; Rittase, W.; Trimby, A.; Jothikumar, P.; Fuller, A.; Skowera, A.; et al. Hotspot Autoimmune T Cell Receptor Binding Underlies Pathogen and Insulin Peptide Cross-Reactivity. J. Clin. Investig. 2016, 126, 2191–2204. [Google Scholar] [CrossRef] [PubMed]
- Roep, B.O.; Peakman, M. Diabetogenic T Lymphocytes in Human Type 1 Diabetes. Curr. Opin. Immunol. 2011, 23, 746–753. [Google Scholar] [CrossRef]
- Atkinson, M.A.; Eisenbarth, G.S.; Michels, A.W. Type 1 Diabetes. Lancet 2014, 383, 69–82. [Google Scholar] [CrossRef]
- Wing, J.B.; Sakaguchi, S. TCR Diversity and Treg Cells, Sometimes More Is More. Eur. J. Immunol. 2011, 41, 3097–3100. [Google Scholar] [CrossRef]
- Sakai, R.; Hashimoto, Y.; Ushigome, E.; Miki, A.; Okamura, T.; Matsugasumi, M.; Fukuda, T.; Majima, S.; Matsumoto, S.; Senmaru, T.; et al. Late-Night-Dinner Is Associated with Poor Glycemic Control in People with Type 2 Diabetes: The KAMOGAWA-DM Cohort Study. Endocr. J. 2018, 65, 395–402. [Google Scholar] [CrossRef]
- Expert Committee on the Diagnosis and Classification of Diabetes Mellitus. Report of the Expert Committee on the Diagnosis and Classification of Diabetes Mellitus. Diabetes Care 2003, 26 (Suppl. 1), S5–S20. [Google Scholar] [CrossRef]
- Kahn, R. Report of the Expert Committee on the Diagnosis and Classification of Diabetes Mellitus. Diabetes Care 1997, 20, 1183–1197. [Google Scholar] [CrossRef]
- Kobayashi, T.; Nakanishi, K.; Sugimoto, T.; Itoh, T.; Murase, T.; Kosaka, K.; Tsuji, K. Maleness as Risk Factor for Slowly Progressive IDDM. Diabetes Care 1989, 12, 7–11. [Google Scholar] [CrossRef]
- Kobayashi, T.; Tamemoto, K.; Nakanishi, K.; Kato, N.; Okubo, M.; Kajio, H.; Sugimoto, T.; Murase, T.; Kosaka, K. Immunogenetic and Clinical Characterization of Slowly Progressive IDDM. Diabetes Care 1993, 16, 780–788. [Google Scholar] [CrossRef] [PubMed]
- Kobayashi, T. Subtype of Insulin-Dependent Diabetes Mellitus (IDDM) in Japan: Slowly Progressive IDDM—The Clinical Characteristics and Pathogenesis of the Syndrome. Diabetes Res. Clin. Pract. 1994, 24, S95–S99. [Google Scholar] [CrossRef]
- Kobayashi, T.; Itoh, T.; Kosaka, K.; Sato, K.; Tsuji, K. Time Course of Islet Cell Antibodies and β-Cell Function in Non-Insulin-Dependent Stage of Type I Diabetes. Diabetes 1987, 36, 510–517. [Google Scholar] [CrossRef] [PubMed]
- Trzupek, D.; Dunstan, M.; Cutler, A.J.; Lee, M.; Godfrey, L.; Jarvis, L.; Rainbow, D.B.; Aschenbrenner, D.; Jones, J.L.; Uhlig, H.H.; et al. Discovery of CD80 and CD86 as Recent Activation Markers on Regulatory T Cells by Protein-RNA Single-Cell Analysis. Genome Med. 2020, 12, 55. [Google Scholar] [CrossRef]
- Shannon, C.E. A Mathematical Theory of Communication. Bell Syst. Tech. J. 1948, 27, 379–423. [Google Scholar] [CrossRef]
- Gao, C.; Zhang, M.; Chen, L. The Comparison of Two Single-Cell Sequencing Platforms: BD Rhapsody and 10x Genomics Chromium. Curr. Genom. 2020, 21, 602–609. [Google Scholar] [CrossRef]
- Reinink, P.; Shahine, A.; Gras, S.; Cheng, T.-Y.; Farquhar, R.; Lopez, K.; Suliman, S.A.; Reijneveld, J.F.; le Nours, J.; Tan, L.L.; et al. A TCR β-Chain Motif Biases toward Recognition of Human CD1 Proteins. J. Immunol. 2019, 203, 3395–3406. [Google Scholar] [CrossRef]
- Van Rhijn, I.; Gherardin, N.A.; Kasmar, A.; de Jager, W.; Pellicci, D.G.; Kostenko, L.; Tan, L.L.; Bhati, M.; Gras, S.; Godfrey, D.I.; et al. TCR Bias and Affinity Define Two Compartments of the CD1b–Glycolipid-Specific T Cell Repertoire. J. Immunol. 2014, 192, 4054–4060. [Google Scholar] [CrossRef]
- Kitaura, K.; Shini, T.; Matsutani, T.; Suzuki, R. A New High-Throughput Sequencing Method for Determining Diversity and Similarity of T Cell Receptor (TCR) α and β Repertoires and Identifying Potential New Invariant TCR α Chains. BMC Immunol. 2016, 17, 38. [Google Scholar] [CrossRef]
- Henderson, L.A.; Volpi, S.; Frugoni, F.; Janssen, E.; Kim, S.; Sundel, R.P.; Dedeoglu, F.; Lo, M.S.; Hazen, M.M.; Beth Son, M.; et al. Next-Generation Sequencing Reveals Restriction and Clonotypic Expansion of Treg Cells in Juvenile Idiopathic Arthritis. Arthritis Rheumatol. 2016, 68, 1758–1768. [Google Scholar] [CrossRef]
- Ritter, J.; Zimmermann, K.; Jöhrens, K.; Mende, S.; Seegebarth, A.; Siegmund, B.; Hennig, S.; Todorova, K.; Rosenwald, A.; Daum, S.; et al. T-Cell Repertoires in Refractory Coeliac Disease. Gut 2018, 67, 644–653. [Google Scholar] [CrossRef] [PubMed]
- Bottazzo, G.F.; Dean, B.M.; McNally, J.M.; MacKay, E.H.; Swift, P.G.F.; Gamble, D.R. In Situ Characterization of Autoimmune Phenomena and Expression of HLA Molecules in the Pancreas in Diabetic Insulitis. N. Engl. J. Med. 1985, 313, 353–360. [Google Scholar] [CrossRef]
- Willcox, A.; Richardson, S.J.; Bone, A.J.; Foulis, A.K.; Morgan, N.G. Analysis of Islet Inflammation in Human Type 1 Diabetes. Clin. Exp. Immunol. 2009, 155, 173–181. [Google Scholar] [CrossRef] [PubMed]
- Wicker, L.S.; Leiter, E.H.; Todd, J.A.; Renjilian, R.J.; Peterson, E.; Fischer, P.A.; Podolin, P.L.; Zijlstra, M.; Jaenisch, R.; Peterson, L.B. Β2-Microglobulin-Deficient NOD Mice Do Not Develop Insulitis or Diabetes. Diabetes 1994, 43, 500–504. [Google Scholar] [CrossRef] [PubMed][Green Version]
- Liblau, R.S.; Wong, F.S.; Mars, L.T.; Santamaria, P. Autoreactive CD8 T Cells in Organ-Specific Autoimmunity: Emerging Targets for Therapeutic Intervention. Immunity 2002, 17, 1–6. [Google Scholar] [CrossRef]
- Peakman, M.; Warnock, T.; Vats, A.; McNab, G.L.; Underhill, J.; Donaldson, P.T.; Vergani, D. Lymphocyte Subset Abnormalities, Autoantibodies and Their Relationship with HLA DR Types in Children with Type 1 (Insulin-Dependent) Diabetes and Their First Degree Relatives. Diabetologia 1994, 37, 155–165. [Google Scholar] [CrossRef]
- Schneider, A.; Rieck, M.; Sanda, S.; Pihoker, C.; Greenbaum, C.; Buckner, J.H. The Effector T Cells of Diabetic Subjects Are Resistant to Regulation via CD4+ FOXP3+ Regulatory T Cells. J. Immunol. 2008, 181, 7350–7355. [Google Scholar] [CrossRef]
- Maerten, P.; Shen, C.; Bullens, D.M.A.; van Assche, G.; van Gool, S.; Geboes, K.; Rutgeerts, P.; Ceuppens, J.L. Effects of Interleukin 4 on CD25+CD4+ Regulatory T Cell Function. J. Autoimmun. 2005, 25, 112–120. [Google Scholar] [CrossRef]
- Dardalhon, V.; Awasthi, A.; Kwon, H.; Galileos, G.; Gao, W.; Sobel, R.A.; Mitsdoerffer, M.; Strom, T.B.; Elyaman, W.; Ho, I.C.; et al. IL-4 Inhibits TGF-β-Induced Foxp3+ T Cells and, Together with TGF-β, Generates IL-9+ IL-10+ Foxp3- Effector T Cells. Nat. Immunol. 2008, 9, 1347–1355. [Google Scholar] [CrossRef]
- Pillemer, B.B.L.; Qi, Z.; Melgert, B.; Oriss, T.B.; Ray, P.; Ray, A. STAT6 Activation Confers upon T Helper Cells Resistance to Suppression by Regulatory T Cells. J. Immunol. 2009, 183, 155–163. [Google Scholar] [CrossRef]
- Chapoval, S.; Dasgupta, P.; Dorsey, N.J.; Keegan, A.D. Regulation of the T Helper Cell Type 2 (Th2)/T Regulatory Cell (Treg) Balance by IL-4 and STAT6. J. Leukoc. Biol. 2010, 87, 1011–1018. [Google Scholar] [CrossRef] [PubMed]
- NovalRivas, M.; Burton, O.T.; Wise, P.; Charbonnier, L.M.; Georgiev, P.; Oettgen, H.C.; Rachid, R.; Chatila, T.A. Regulatory T Cell Reprogramming toward a Th2-Cell-like Lineage Impairs Oral Tolerance and Promotes Food Allergy. Immunity 2015, 42, 512–523. [Google Scholar] [CrossRef] [PubMed]
- Wang, Y.; Souabni, A.; Flavell, R.A.; Wan, Y.Y. An Intrinsic Mechanism Predisposes Foxp3-Expressing Regulatory T Cells to Th2 Conversion In Vivo. J. Immunol. 2010, 185, 5983–5992. [Google Scholar] [CrossRef] [PubMed]
- Hansmann, L.; Schmidl, C.; Kett, J.; Steger, L.; Andreesen, R.; Hoffmann, P.; Rehli, M.; Edinger, M. Dominant Th2 Differentiation of Human Regulatory T Cells upon Loss of FOXP3 Expression. J. Immunol. 2012, 188, 1275–1282. [Google Scholar] [CrossRef] [PubMed]
- Massoud, A.H.; Charbonnier, L.M.; Lopez, D.; Pellegrini, M.; Phipatanakul, W.; Chatila, T.A. An Asthma-Associated IL4R Variant Exacerbates Airway Inflammation by Promoting Conversion of Regulatory T Cells to TH17-like Cells. Nat. Med. 2016, 22, 1013–1022. [Google Scholar] [CrossRef]
- Pelly, V.S.; Coomes, S.M.; Kannan, Y.; Gialitakis, M.; Entwistle, L.J.; Perez-Lloret, J.; Czieso, S.; Okoye, I.S.; Rückerl, D.; Allen, J.E.; et al. Interleukin 4 Promotes the Development of Ex-Foxp3 Th2 Cells during Immunity to Intestinal Helminths. J. Exp. Med. 2017, 214, 1809–1826. [Google Scholar] [CrossRef]
- Brusko, T.; Wasserfall, C.; McGrail, K.; Schatz, R.; Viener, H.L.; Schatz, D.; Haller, M.; Rockell, J.; Gottlieb, P.; Clare-Salzler, M.; et al. No Alterations in the Frequency of FOXP3+ Regulatory T-Cells in Type 1 Diabetes. Diabetes 2007, 56, 604–612. [Google Scholar] [CrossRef]
- Lindley, S.; Dayan, C.M.; Bishop, A.; Roep, B.O.; Peatman, M.; Tree, T.I.M. Defective Suppressor Function in CD4+CD25+ T-Cells from Patients with Type 1 Diabetes. Diabetes 2005, 54, 92–99. [Google Scholar] [CrossRef]
- Brusko, T.M.; Wasserfall, C.H.; Clare-Salzler, M.J.; Schatz, D.A.; Atkinson, M.A. Functional Defects and the Influence of Age on the Frequency of CD4 +CD25+ T-Cells in Type 1 Diabetes. Diabetes 2005, 54, 1407–1414. [Google Scholar] [CrossRef]
- Ryba-Stanisławowska, M.; Rybarczyk-Kapturska, K.; Myśliwiec, M.; Myśliwska, J. Elevated Levels of Serum IL-12 and IL-18 Are Associated with Lower Frequencies of CD4+CD25highFOXP3+ Regulatory T Cells in Young Patients with Type 1 Diabetes. Inflammation 2014, 37, 1513–1520. [Google Scholar] [CrossRef]
- Haseda, F.; Imagawa, A.; Murase-Mishiba, Y.; Terasaki, J.; Hanafusa, T. CD4+CD45RA-FoxP3high Activated Regulatory T Cells Are Functionally Impaired and Related to Residual Insulin-Secreting Capacity in Patients with Type 1 Diabetes. Clin. Exp. Immunol. 2013, 173, 207–216. [Google Scholar] [CrossRef]
- Arvey, A.; van der Veeken, J.; Plitas, G.; Rich, S.S.; Concannon, P.; Rudensky, A.Y. Genetic and Epigenetic Variation in the Lineage Specification of Regulatory T Cells. eLife 2015, 4, e07571. [Google Scholar] [CrossRef]
- Zemmour, D.; Zilionis, R.; Kiner, E.; Klein, A.M.; Mathis, D.; Benoist, C. Single-Cell Gene Expression Reveals a Landscape of Regulatory T Cell Phenotypes Shaped by the TCR Article. Nat. Immunol. 2018, 19, 291–301. [Google Scholar] [CrossRef] [PubMed]
- Magnuson, A.M.; Kiner, E.; Ergun, A.; Park, J.S.; Asinovski, N.; Ortiz-Lopez, A.; Kilcoyne, A.; Paoluzzi-Tomada, E.; Weissleder, R.; Mathis, D.; et al. Identification and Validation of a Tumor-Infiltrating Treg Transcriptional Signature Conserved across Species and Tumor Types. Proc. Natl. Acad. Sci. USA 2018, 115, E10672–E10681. [Google Scholar] [CrossRef]
- Plitas, G.; Konopacki, C.; Wu, K.; Bos, P.D.; Morrow, M.; Putintseva, E.v.; Chudakov, D.M.; Rudensky, A.Y. Regulatory T Cells Exhibit Distinct Features in Human Breast Cancer. Immunity 2016, 45, 1122–1134. [Google Scholar] [CrossRef] [PubMed]
- Williams, P.; Basu, S.; Garcia-Manero, G.; Hourigan, C.S.; Oetjen, K.A.; Cortes, J.E.; Ravandi, F.; Jabbour, E.J.; Al-Hamal, Z.; Konopleva, M.; et al. The Distribution of T-Cell Subsets and the Expression of Immune Checkpoint Receptors and Ligands in Patients with Newly Diagnosed and Relapsed Acute Myeloid Leukemia. Cancer 2019, 125, 1470–1481. [Google Scholar] [CrossRef] [PubMed]
- Croft, M.; So, T.; Duan, W.; Soroosh, P. The Significance of OX40 and OX40L to T-Cell Biology and Immune Disease. Immunol. Rev. 2009, 229, 173–191. [Google Scholar] [CrossRef]
- Watts, T.H. TNF/TNFR Family Members in Costimulation of T Cell Responses. Annu. Rev. Immunol. 2005, 23, 23–68. [Google Scholar] [CrossRef]
- Moriyama, H.; Kotani, R.; Katsuta, A.; Kameno, M.; Arai, T.; Okumachi, Y.; Kishi, M.; Yamada, K.; Yasuda, H.; Hara, K.; et al. Autoreactive T Cell Response in CD25-Negative Fraction of Peripheral Blood Mononuclear Cells in Established Type 1 Diabetes. Ann. N. Y. Acad. Sci. 2008, 1150, 278–281. [Google Scholar] [CrossRef]








| Sample | 1 | 2 | 3 | 4 | 
|---|---|---|---|---|
| Sex | Male | Female | Male | Male | 
| Type | 1A | 1B | 1B | SPIDDM | 
| Age, yrs | 71 | 68 | 47 | 49 | 
| Disease duration | 16 | 46 | 19 | 7 | 
| Height, cm | 169 | 150.2 | 181 | 168.4 | 
| Body weight, kg | 57 | 45 | 100 | 76 | 
| Body mass index, kg/m2 | 20.0 | 19.9 | 30.5 | 26.8 | 
| Fasting plasma glucose, mmol/L | 7.2 | 4.3 | 11.3 | 7.3 | 
| Hemoglobin A1c, % | 8.1 | 7.5 | 7.5 | 8.5 | 
| C-peptide, mmol/L | <0.01 | <0.01 | <0.01 | 0.301 | 
| Creatinine, mmol/L | 65.4 | 66.3 | 86.6 | 84.9 | 
| Estimated GFR, mL/min/1.73 m2 | 79.4 | 58.5 | 66.1 | 66.8 | 
| Urine albumin to creatinine ratio, mg/gCr | 3673 | 64 | 8 | 19 | 
| Anti-GAD antibody | 237 | <5 | <5 | 18.1 | 
| TRA | TRB | |
|---|---|---|
| S1 | 10.80 | 10.83 | 
| S2 | 11.62 | 11.69 | 
| S3 | 10.26 | 10.57 | 
| S4 | 11.37 | 11.25 | 
| S1 FOXP3+ | 5.37 | 5.57 | 
| S2 FOXP3+ | 6.27 | 6.35 | 
| S3 FOXP3+ | 5.62 | 6.14 | 
| S4 FOXP3+ | 5.84 | 5.77 | 
| S1 CD8+ | 9.17 | 9.14 | 
| S2 CD8+ | 9.74 | 9.77 | 
| S3 CD8+ | 8.24 | 8.61 | 
| S4 CD8+ | 9.44 | 9.37 | 
| Clone ID | Frequency (%) | TRA | TRB | |||||
|---|---|---|---|---|---|---|---|---|
| TRAV | CDR3 | TRAJ | TRBV | CDR3 | TRBJ | |||
| S1 | 1-1 | 7.9 | V27 | AGAISNNDMR | J43 | V9 | ASSVVGSGTDEQF | J2-1 | 
| 1-2 | 7.4 | V13-1 | AASGSSASKII | J3 | V6-5 | ASSYSGQGSYT | J1-2 | |
| 1-3 | 4.0 | V17 | ATDSGGYQKVT | J13 | V19 | ASRLTGAGANVLT | J2-6 | |
| 1-4 | 3.6 | V1-1 | AVRDLDGGFKTI | J9 | V10-3 | AISEPEGNTEAF | J1-1 | |
| 1-5 | 3.4 | V14/DV4 | AMRRPSGGYNKLI | J4 | V19 | ASNAGYNEQF | J2-1 | |
| 1-6 | 3.1 | V13-1 | AASWDNAGNMLT | J39 | V12-3 | ASSDGTGGYEQY | J2-7 | |
| 1-7 | 2.7 | V12-2 | AVNPRRGFKTI | J9 | V27 | ASSLGLAGGYEQF | J2-1 | |
| 1-8 | 2.6 | V6 | ARASYGGATNKLI | J32 | V9 | ASSVTFERVPGANVLT | J2-6 | |
| 1-9 | 2.6 | V1-1 | APDTGRRALT | J5 | V20-1 | SARVVTGSSYEQY | J2-7 | |
| 1-10 | 2.6 | V17 | ATDMEEGGSQGNLI | J42 | V19 | ASNAGYNEQF | J2-1 | |
| S2 | 2-1 | 18.1 | V12-1 | VVRARPPLPWSGGGADGLT | J45 | V7-2 | ASTPPSSPGYEQY | J2-7 | 
| 2-2 | 10.3 | V12-3 | VPGGSASKII | J3 | V20-1 | SARGRPAGEQF | J2-1 | |
| 2-3 | 9.1 | V6 | ALKGYSGGYQKVT | J13 | V28 | ASSFSDRVNQPQH | J1-5 | |
| 2-4 | 8.1 | V17 | ATEGDSNYQLI | J33 | V7-3 | ASSSGTGDSLH | J1-6 | |
| 2-5 | 5.6 | V12-3 | AMSDYGGATNKLI | J32 | V5-1 | ASSPGRDRGSYEQY | J2-7 | |
| 2-6 | 5.2 | V21 | AVSPLSSGSARQLT | J22 | V7-2 | ASSLVSGPTYEQY | J2-7 | |
| 2-7 | 4.8 | V9-2 | AFDGGGATNKLI | J32 | V4-2 | ASSPGLGQPQH | J1-5 | |
| 2-8 | 4.4 | V5 | AESSGTGKLI | J37 | V24-1 | ATSDPAGGRADTQY | J2-3 | |
| 2-9 | 4.3 | V12-1 | VVNPRGSTLGRLY | J18 | V10-2 | ASSAGQGEAF | J1-1 | |
| 2-10 | 3.5 | V14/DV4 | AMQIDSWGKLQ | J24 | V29-1 | SVEDPHMDTQY | J2-3 | |
| S3 | 3-1 | 5.6 | V38-1 | AFSGGYQKVT | J13 | V7-9 | ASSLAGEGSGTGELF | J2-2 | 
| 3-2 | 3.4 | V2 | AVEDLLNSGYSTLT | J11 | V6-2 | ASSLRDSSYEQY | J2-7 | |
| 3-3 | 3.3 | V21 | AQGAYKLS | J20 | V7-6 | ASSPREAYEQY | J2-7 | |
| 3-4 | 2.7 | V14/DV4 | AMREGGSGYSTLT | J11 | V2 | ASSDRRGSSTDTQY | J2-3 | |
| 3-5 | 2.5 | V27 | GLN | J41 | V20-1 | SALRSGELF | J2-2 | |
| 3-6 | 2.4 | V12-3 | AMSGNQFY | J49 | V28 | ASRRFTGTDTQY | J2-3 | |
| 3-7 | 2.3 | V12-3 | AMTAGTYKYI | J40 | V29-1 | SADSSVGFHNEQF | J2-1 | |
| 3-8 | 2.3 | V14/DV4 | AMREYGNQFY | J49 | V5-4 | ASSRGQQPSYEQY | J2-7 | |
| 3-9 | 2.2 | V12-2 | AVNNQAGTALI | J15 | V4-3 | ASSQDLGANTEAF | J1-1 | |
| 3-10 | 2.1 | V38-2/DV8 | AYRSRGDMR | J43 | V27 | ASSFLAGATGELF | J2-2 | |
| S4 | 4-1 | 9.3 | V10 | VVSAFFSGGSYIPT | J6 | V5-1 | ASSSSRDRGNYEQY | J2-7 | 
| 4-2 | 5.5 | V21 | AVKGGSEKLV | J57 | V7-8 | ASSLVGLESYNEQF | J2-1 | |
| 4-3 | 3.7 | V12-1 | AVNLNTGFQKLV | J8 | V2 | ASRGYSYEQY | J2-7 | |
| 4-4 | 3.1 | V12-3 | AMVRAGGYNKLI | J4 | V6-6 | ASRSERESPISNEQF | J2-1 | |
| 4-5 | 3.1 | V5 | AALSGGSYIPT | J6 | V4-3 | ASSQGLREGLGEQY | J2-7 | |
| 4-6 | 3.1 | V14/DV4 | AMRNKSWGKFQ | J24 | V3-1 | ASSQEIVRTSGENTGELF | J2-2 | |
| 4-7 | 3.0 | V6 | ALGHSSASKII | J3 | V20-1 | SARDRDSSSYEQY | J2-7 | |
| 4-8 | 2.9 | V21 | AVASNFGNEKLT | J48 | V29-1 | SVAAGAQTQY | J2-5 | |
| 4-9 | 2.3 | V2 | AVEERIMGTYKYI | J40 | V20-1 | SARGVAANPYEQY | J2-7 | |
| 4-10 | 2.3 | V12-1 | VVPYNTDKLI | J34 | V5-6 | ASKPPGGSIYEQY | J2-7 | |
| Clone ID | Frequency (%) | TRA | TRB | |||||
|---|---|---|---|---|---|---|---|---|
| TRAV | CDR3 | TRAJ | TRBV | CDR3 | TRBJ | |||
| S1 | 1-1 | 6.7 | V12-3 | AMRFKSGYNKLI | J4 | V18 | ASSPPTSGASYEQY | J2-7 | 
| 1-2 | 6.3 | V12-2 | AVNIRDSSYKLI | J12 | V20-1 | SARSRLAVSGELF | J2-2 | |
| 1-3 | 6.0 | V12-3 | AMSDSGGGADGLT | J45 | V3-1 | ASSQRGGTQY | J2-3 | |
| 1-4 | 5.9 | V12-1 | VGLTNAGKST | J27 | V11-2 | ASSLGTQTTNEKLF | J1-4 | |
| 1-5 | 5.6 | V2 | AVEGGSGNTGKLI | J37 | V2 | ASSEEGNTEAF | J1-1 | |
| 1-6 | 4.6 | V9-2 | ATTRYSGAGSYQLT | J28 | V28 | ASTGTTSINEQY | J2-7 | |
| 1-7 | 4.1 | V16 | ARNFGNEKLT | J48 | V12-3 | ASSSRGGDNQPQH | J1-5 | |
| 1-8 | 3.2 | V25 | GRSGSARQLT | J22 | V30 | AWNRQGANTGELF | J2-2 | |
| 1-9 | 3.1 | V13-1 | AAPTIGRSKLT | J56 | V7-3 | ASSPLSSGANVLT | J2-6 | |
| 1-10 | 3.0 | V4 | LVAFDTGRRALT | J5 | V23-1 | ASSPPKFELLRAV | J2-7 | |
| S2 | 2-1 | 17.2 | V9-2 | ALSSNDYKLS | J20 | V12-3 | ASTLDGPGSPLH | J1-6 | 
| 2-2 | 9.3 | V9-2 | ALSGRNTGGFKTI | J9 | V2 | ASSRTKTDTQY | J2-3 | |
| 2-3 | 7.2 | V35 | AGPYSGAGSYQLT | J28 | V28 | ASSPSSGRASYEQY | J2-7 | |
| 2-4 | 5.4 | V41 | AVNAGNMLT | J39 | V7-9 | ASSSLDRGNIQY | J2-4 | |
| 2-5 | 4.5 | V13-1 | AASRPQGRRC*RTH | J45 | V7-9 | ASRLDATNEKLF | J1-4 | |
| 2-6 | 4.3 | V38-2/DV8 | AYRSYGAGNMLT | J39 | V28 | ASSQQGRQETQY | J2-5 | |
| 2-7 | 3.5 | V12-1 | VVRLNTGGFKTI | J9 | V20-1 | SARVGSTEKLF | J1-4 | |
| 2-8 | 2.9 | V41 | AVSSTPARQLT | J22 | V6-6 | ASSYSGSGSRRWHEQY | J2-7 | |
| 2-9 | 2.8 | V38-2/DV8 | APLGAGSYQLT | J28 | V20-1 | SASLMAVSYEQY | J2-7 | |
| 2-10 | 2.5 | V12-1 | VVNKQTGANNLF | J36 | V28 | ASRRRGGGTGELF | J2-2 | |
| S3 | 3-1 | 3.2 | V21 | GFSSGSARQLT | J22 | V7-2 | ASSFGRYEQY | J2-7 | 
| 3-2 | 2.6 | V22 | AANTPLV | J29 | V12-3 | ASSLLVDTQY | J2-3 | |
| 3-3 | 2.5 | V21 | AVTTGKST | J27 | V20-1 | SGQGTDTQY | J2-3 | |
| 3-4 | 2.1 | V12-1 | VVNMGGGFKTI | J9 | V20-1 | SASGGPGYNEQF | J2-1 | |
| 3-5 | 2.1 | V13-1 | AAGPMDSSYKLI | J12 | V6-1 | ASRLALTYNEQF | J2-1 | |
| 3-6 | 1.9 | V13-1 | AARGTSYGKLT | J52 | V20-1 | SARDPSSGLYNEQF | J2-1 | |
| 3-7 | 1.7 | V21 | AVRDDYKLS | J20 | V20-1 | SAGPGLAGVYEQF | J2-1 | |
| 3-8 | 1.6 | V6 | ALEDTGRRALT | J5 | V25-1 | ASTAPLGGLKQY | J2-3 | |
| 3-9 | 1.5 | V21 | AVYTSGSARQLT | J22 | V6-5 | ASSQGGGNTIY | J1-3 | |
| 3-10 | 1.5 | V9-2 | ALISSGSARQLT | J22 | V10-2 | ASSESRGSSNQPQH | J1-5 | |
| S4 | 4-1 | 4.4 | V13-1 | AAGRGNNRLA | J7 | V12-3 | ASSRTGGGYGYT | J1-2 | 
| 4-2 | 4.3 | V10 | VVRIAAISNTGKLI | J37 | V24-1 | ATSDHTQGRQGYT | J1-2 | |
| 4-3 | 3.8 | V12-2 | AVNGENFNKFY | J21 | V12-3 | ASSLAGTGVGYT | J1-2 | |
| 4-4 | 3.8 | V2 | AVEDRRQSGAGSYQLT | J28 | V28 | ASSFGFSNTEAF | J1-1 | |
| 4-5 | 3.8 | V13-1 | AASMNNQGGKLI | J23 | V3-1 | ASSQVRTGAYSNQPQH | J1-5 | |
| 4-6 | 3.7 | V13-1 | AASHGGSQGNLI | J42 | V9 | ASSVEVSGSYNEQF | J2-1 | |
| 4-7 | 3.4 | V21 | AGYNNDMR | J43 | V4-1 | ASSQGQGNYGYT | J1-2 | |
| 4-8 | 3.1 | V1-1 | ADRMDSNYQLI | J33 | V20-1 | SASPGQGADTQY | J2-3 | |
| 4-9 | 2.9 | V12-2 | AVRTKGGYQKVT | J13 | V20-1 | SPRGGGTEAF | J1-1 | |
| 4-10 | 2.8 | V13-1 | AASHGGSQGNLI | J42 | V27 | ASSYGVGGSIQY | J2-4 | |
| Publisher’s Note: MDPI stays neutral with regard to jurisdictional claims in published maps and institutional affiliations. | 
© 2022 by the authors. Licensee MDPI, Basel, Switzerland. This article is an open access article distributed under the terms and conditions of the Creative Commons Attribution (CC BY) license (https://creativecommons.org/licenses/by/4.0/).
Share and Cite
Okamura, T.; Hamaguchi, M.; Tominaga, H.; Kitagawa, N.; Hashimoto, Y.; Majima, S.; Senmaru, T.; Okada, H.; Ushigome, E.; Nakanishi, N.; et al. Characterization of Peripheral Blood TCR in Patients with Type 1 Diabetes Mellitus by BD RhapsodyTM VDJ CDR3 Assay. Cells 2022, 11, 1623. https://doi.org/10.3390/cells11101623
Okamura T, Hamaguchi M, Tominaga H, Kitagawa N, Hashimoto Y, Majima S, Senmaru T, Okada H, Ushigome E, Nakanishi N, et al. Characterization of Peripheral Blood TCR in Patients with Type 1 Diabetes Mellitus by BD RhapsodyTM VDJ CDR3 Assay. Cells. 2022; 11(10):1623. https://doi.org/10.3390/cells11101623
Chicago/Turabian StyleOkamura, Takuro, Masahide Hamaguchi, Hiroyuki Tominaga, Noriyuki Kitagawa, Yoshitaka Hashimoto, Saori Majima, Takafumi Senmaru, Hiroshi Okada, Emi Ushigome, Naoko Nakanishi, and et al. 2022. "Characterization of Peripheral Blood TCR in Patients with Type 1 Diabetes Mellitus by BD RhapsodyTM VDJ CDR3 Assay" Cells 11, no. 10: 1623. https://doi.org/10.3390/cells11101623
APA StyleOkamura, T., Hamaguchi, M., Tominaga, H., Kitagawa, N., Hashimoto, Y., Majima, S., Senmaru, T., Okada, H., Ushigome, E., Nakanishi, N., Shichino, S., & Fukui, M. (2022). Characterization of Peripheral Blood TCR in Patients with Type 1 Diabetes Mellitus by BD RhapsodyTM VDJ CDR3 Assay. Cells, 11(10), 1623. https://doi.org/10.3390/cells11101623
 
         
                                                





 
       