Abstract
Epigenetic signatures such as DNA methylation may be associated with specific obesity traits in different tissues. The onset and development of some obesity-related complications are often linked to visceral fat accumulation. The aim of this study was to explore DNA methylation levels in peripheral white blood cells to identify epigenetic methylation marks associated with waist circumference (WC). DNA methylation levels were assessed using Infinium Human Methylation 450K and MethylationEPIC beadchip (Illumina) to search for putative associations with WC values of 473 participants from the Methyl Epigenome Network Association (MENA) project. Statistical analysis and Ingenuity Pathway Analysis (IPA) were employed for assessing the relationship between methylation and WC. A total of 669 CpGs were statistically associated with WC (FDR < 0.05, slope ≥ |0.1|). From these CpGs, 375 CpGs evidenced a differential methylation pattern between females with WC ≤ 88 and > 88 cm, and 95 CpGs between males with WC ≤ 102 and > 102 cm. These differentially methylated CpGs are located in genes related to inflammation and obesity according to IPA. Receiver operating characteristic (ROC) curves of the top four significant differentially methylated CpGs separated by sex discriminated individuals with presence or absence of abdominal fat. ROC curves of all the CpGs from females and one CpG from males were validated in an independent sample (n = 161). These methylation results add further insights about the relationships between obesity, adiposity-associated comorbidities, and DNA methylation where inflammation processes may be involved.
1. Introduction
Obesity has increased worldwide to reach epidemic proportions [1]. According to the World Health Organization, the prevalence of obesity nearly doubled between 1980 and 2014, reaching an alarming percentage of 11% in men and 15% in women worldwide [2]. This rising burden is accompanied by the increased prevalence of obesity-linked comorbidities, such as cardiovascular diseases, diabetes, cancer, and musculoskeletal disorders, among others [2]. The development of these obesity-related complications are more often associated with visceral fat instead of total body fat [3]. In this context, waist circumference (WC) measurements can be a useful tool to assess abdominal obesity, anatomically discriminating between visceral and subcutaneous fat depositions in individuals with obesity [4].
Obesity is a multifactorial disease resulting from the interaction of environmental and lifestyle factors with the genetic make-up [5]. Genetic variations contribute to the individual susceptibility to developing diseases, but accumulating evidences suggest that epigenetic phenomena are also involved [6]. Epigenetic marks and modifications may play a causative role in the development of obesity by altering the expression of obesity-related genes, or alternatively, be a consequence of obesity, predisposing some subjects to associated comorbidities [7]. Indeed, several epigenome-wide association studies (EWASs) have revealed that obesity traits are associated with DNA methylation shifts in different tissues [6,8,9]. However, most of these studies use body mass index (BMI) instead of WC, but WC appears to be a more accurate and convenient surrogate for central obesity assessment [4], being therefore more associated with obesity-related diseases [3]. Indeed, there are only few EWAS analyzing the association of methylation status and WC [10,11,12,13,14,15,16].
The aim of the current research was to explore DNA methylation levels in peripheral white blood cells to identify epigenetic methylation signatures associated with WC.
2. Subjects and Methods
2.1. Participants
This study was performed in 523 adult participants from cohorts composing the Methyl Epigenome Network Association (MENA) project such as DiOGenes-UNAV with n = 58 [17], OBEPALIP with n = 29 [18], Food4Me-UNAV with n = 42 [19], GEDYMET with n = 57 [20], ICTUS with n = 7 [21], NUGENOB-UNAV with n = 42 [22], PREDIMED-UNAV with n = 129 [23], RESMENA with n = 47 [24], OBEKIT with n = 100 [25], and NormoP with n = 12 [26], whose providers are gratefully acknowledged. Study design, characteristics, and exclusion and inclusion criteria of each of these cohorts have been previously described. All of these studies were approved by the research ethics committees at all recruiting centers in compliance with the Helsinki Declaration of ethical principles for medical research involving human subjects (DiOGenes KF01-267787 IHE 4-1-2.0091 dd. 23-03-2006, OBEPALIP 007/2009, Food4Me-UNAV 041/2012, GEDYMET 14-281, ICTUS 2/10, NUGENOB-UNAV 5/04/2001, PREDIMED-UNAV 50/2005, RESMENA 065/2009, OBEKIT and NormoP 132/2005). All participants provided written informed consent.
A validation was performed in an independent sample of individuals (n = 161) from the OBEKIT and NormoP studies (not included in the MENA study) (Supplementary Table S1).
2.2. Study Variables
Anthropometric measurements at baseline were obtained from databases of the aforementioned cohorts following standardized validated protocols [27]. BMI was calculated dividing weight in kg by height in meters squared (kg/m2). WC was measured at the mid-point between the lower rib and the iliac crest using a tape measure. Blood samples for methylation analysis were obtained at the same visit. A summary of the studies design and collected samples are reported (Supplementary Table S2).
2.3. DNA Extraction, DNA Methylation Analysis, and Treatment of Methylation Raw Data
Procedures explaining DNA extraction and DNA methylation analysis have been detailed elsewhere [26]. Briefly, Infinium Human Methylation 450K bead chip technology (Illumina, San Diego, CA, USA) was employed to measure DNA methylation levels in all the cohorts, except OBEKIT, which was performed with Infinium MethylationEPIC beadchip (Illumina).
2.4. Treatment of Methylation Raw Data
Beta-values were employed to assess methylation levels in order to estimate the methylation degree using the ratio of the methylation probe intensity and the overall intensity, corresponding to the percentage of methylation on a specific site [28]. Intensity data were obtained using the ChAMP package for R v.1.11.0 [29] as described elsewhere [30]. Then, the filtering process was performed in probes with a detection p-value > 0.01 in one or more samples, probes with a beadcount < 3 in at least 5% of samples, non-CG site (CpG) probes, probes with single nucleotide polymorphisms [31], probes that align to multiple locations [31], and probes located on the X or Y chromosomes.
Out of the 523 initial participants, 20 samples with a failed CpG fraction above 0.01 were eliminated, leaving 503 individuals. Afterwards, intra-cell type normalization using the subset-quantile within array normalization method was performed to avoid any bias introduced by the Infinium type 2 probe design [32]. Then, multidimensional scaling plots based on top 1000 most variable probes were carried out to evaluate the similarity of normalized methylation samples in both batches and the pooled data. A total of 29 samples failed to accomplish this requirement, leaving 474 participants for the subsequent analyses.
Since the methylation data was obtained at different times in the lab, following subset-quantile within array normalization, the ComBat normalization method was used to assess and correct the magnitude of batch effects [33,34]. Furthermore, the Houseman procedure [35] was employed to correct differences in methylation resulting from cellular heterogeneity.
The data have been deposited in NCBI’s Gene Expression Omnibus [36] and are accessible through GEO Series accession number GSE115278 [37].
2.5. Statistical Analysis
After pre-processing, the linear models for microarray data (LIMMA) package for the R statistical software [29] was used to compute a linear regression between DNA methylation and WC (n = 473, since data of WC was not available for one participant) adjusted by the effect of confounding factors, such as sex, age, study, and batch effect. Raw p-values were corrected employing the Benjamini–Hochberg procedure as a correction for multiple comparisons. A quantile–quantile plot showed that there was a small inflation of the adjusted p-values, which were corrected [38] (Supplementary Figure S1). The statistically significant threshold for CpG selection was set by a false discovery rate cut-off of 0.05 and a slope ≥ |0.1|.
In order to ascertain if there were methylation differences between subjects with high and low WC, and due to gender differences in the established cut points for WC, the selected CpGs were categorized by sex. WC was used as an anthropometric marker of abdominal obesity and was dichotomized following the National Cholesterol Education Program Adult Treatment Panel III. The cut-off for WC in females was 88 cm, whereas, a WC of 102 cm was considered for males [39]. Differentially methylated CpGs were explored using Student’s t-test with the Bonferroni correction (in order to avoid type I errors) between females with WC ≤ 88 and > 88 cm, and between males with WC ≤ 102 and > 102 cm. A p-value < 7.47·10–5 was considered statistically significant. Receiver operating characteristic (ROC) curves adjusted by age were calculated for the top four significant differentially methylated CpGs for each sex. ROC curves were validated in an independent sample of individuals (n = 161).
Statistical calculations were performed with Stata version 12.1 (StataCorp 2011, College Station, TX, USA), unless otherwise indicated. Correlation graphs and box plots were generated using GraphPad Prism 6 (Graph-Pad Software, San Diego, CA, USA). The volcano plot, quantile–quantile plot, and heat map (using library gplots and the heatmap.2 function) were created with the R software [29].
2.6. Ingenuity Pathway Analysis
The genes corresponding to the differentially methylated CpGs between females with WC ≤ 88 and > 88 cm, or males with WC ≤ 102 and > 102 cm, were analyzed by Ingenuity Pathway Analysis (IPA) software (Qiagen Redwood City, CA, USA, www.ingenuity.com). Associated pathways and gene regulatory networks were identified by predefined pathways and functional categories of the Ingenuity Knowledge Base [40]. Canonical pathway analyses were performed with IPA’s core analysis module and selected if p < 0.05 after Fisher’s test as statistically significant.
3. Results
Anthropometric characteristics including weight, BMI, and WC of the participants are reported (Table 1). The proportion of females is higher than men and the average age is 47 years, although there are studies with a mean of 27 years, such as GEDYMET or 65 years, such as PREDIMED-UNAV. Furthermore, mean BMI indicates that the average population is obese, but the range of means of the studies goes from 22.8 to 44.3 kg/m2. WC values showed a higher number of individuals from both sexes with central adiposity, although it also depends on the study.
Table 1.
Anthropometric, clinical, and biochemical characteristics of the study population categorized by project/consortium.
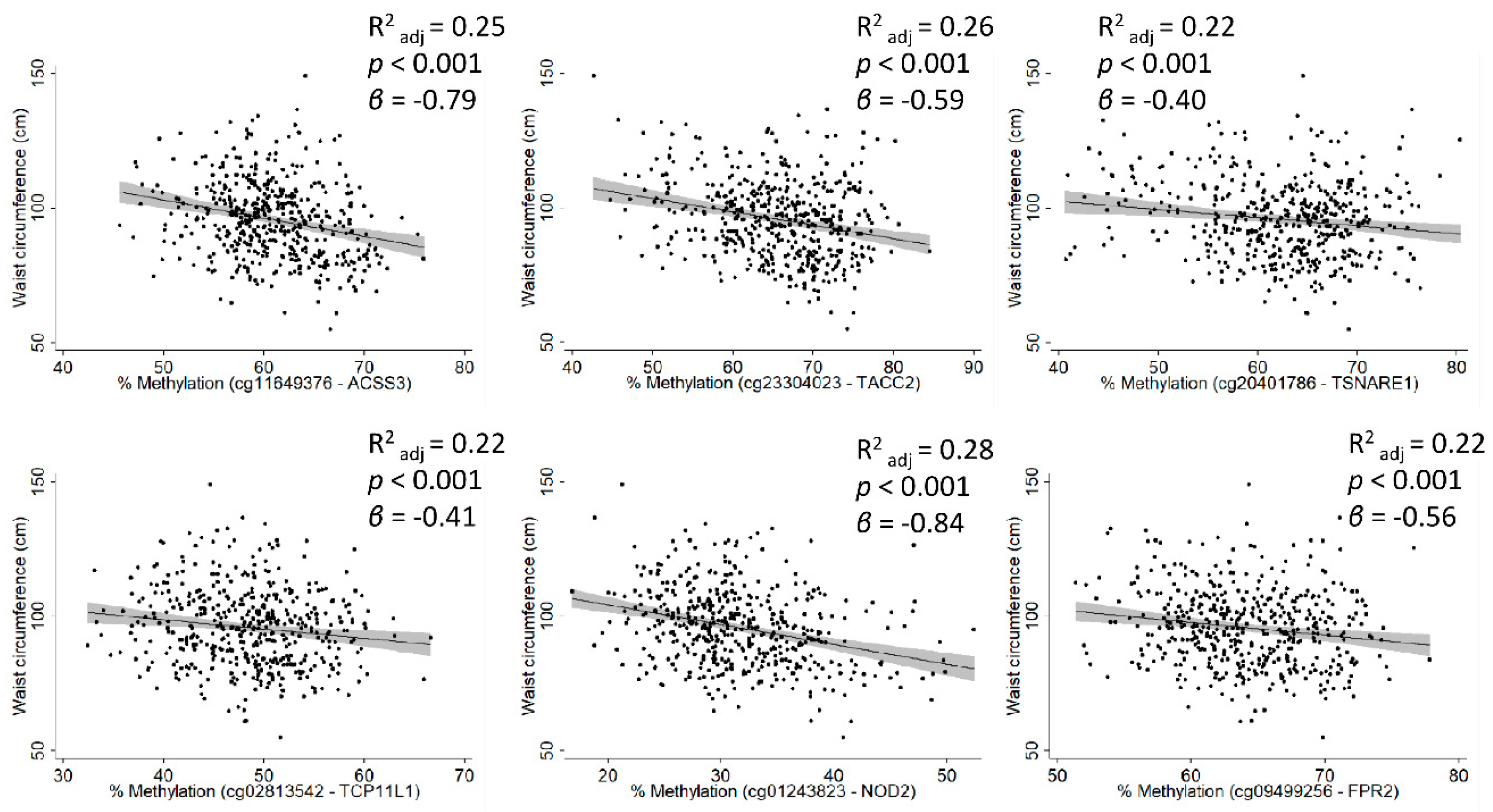
Linear regressions (LIMMA) between methylation values and WC were performed and 669 significant CpGs were selected after applying false discovery rate cut-off of 0.05 and a slope ≥ |0.1|, and correcting for inflation (Supplementary Table S3). The six top CpGs were cg11649376 (corresponding gene according to Illumina CG database ACSS3), cg23304023 (TACC2), cg20401786 (TSNARE1), cg02813542 (TCP11L1), cg01243823 (NOD2), and cg09499256 (FPR2), which are plotted in Figure 1. Linear regression graphs adjusted by sex and age between methylation values and WC for these six CpGs are depicted in Figure 2.
Figure 1.
Volcano plot of waist circumference-associated CpGs (corresponding gene according to Illumina). Points above the horizontal line showed a false discovery rate (FDR) < 0.05 and outside the vertical lines represented a slope ≥ |0.1|.
Figure 2.
Linear regression graphs adjusted by sex and age representing the association between waist circumference and methylation β values of top six CpGs (corresponding gene according to Illumina) selected by a slope ≥ |0.1| and false discovery rate < 0.05. The grey stripe represent a 95% confidence band.
Participants were classified according to sex and WC, separating females with WC ≤ 88 and > 88 cm, and males with WC ≤ 102 and > 102 cm, in order to analyze whether methylation was differential between both groups for each sex. There were 121 females with WC ≤ 88 cm and 182 with WC > 88 cm, and 82 males with WC ≤ 102 cm and 88 with WC > 102 cm (Table 1). Methylation values of the 669 CpGs were compared between both WC groups for each sex. For females, 375 CpGs showed statistically significant differences and 95 CpGs for males (p < 7.47×10−5) (Supplementary Table S4A and S4B, respectively).
The respective 375 and 95 CpGs were clustered in a heat map according to methylation patterns (Figure 3). For females (Figure 3A), three main clusters of 35, 84, and 184 individuals were generated. The first and third clusters contained 51.1% of individuals with WC > 88 cm. However, the second cluster included 83.3% of WC > 88 cm. On the other hand, males (Figure 3B) were clustered in two groups of 71 and 99 individuals. The first cluster group showed a percentage of 77.5% of males with WC > 102 cm, while in the second group, the percentage was 33.3%. The difference in WC proportions of the clusters was statistically significant (p < 0.001) for both sexes.
Figure 3.
Heat maps representing the clusters between methylation levels (rows) and subjects from the different cohorts (columns). (A) Heat map of 375 CpGs selected by Student’s t-test between females with waist circumference ≤ 88 and > 88 cm. (B) Heat map of 95 CpGs selected by Student’s t-test between males with waist circumference ≤ 102 and > 102 cm. Significance: p < 7.47 × 10–5 after Bonferroni correction.
Canonical pathways were obtained from IPA for the significant 375 and 95 CpGs for females and males, respectively (Supplementary Figure S2). Some of the statistically significant pathways were related to inflammation and obesity in both sexes. In females, some of these pathways were lipoate biosynthesis and incorporation II, role of JAK2 in hormone-like cytokine signaling, inflammasome pathway, growth hormone signaling, and acetate conversion to acetyl-CoA. In the case of males, some of the pathways were inflammasome pathway, TREM1 signaling, intrinsic prothrombin activation pathway, pentose phosphate pathway, Gai signaling, STAT3 pathway, and GP6 signaling pathway.
The top four CpGs showing differences between WC ≤ 88 or > 88 cm in females were cg09907509 (c13orf36), cg17478979 (ZC3H12D), cg24679890 (MYO9B), and cg06638795 (KCNG3) (Supplementary Table S4A). In males, the top four CpGs with differences between WC ≤ 102 or > 102 cm were cg01807303 (NA), cg03325085 (JPH3), cg02813542 (TCP11L1), and cg16379885 (GRIK3) (Supplementary Table S4B).
In order to analyze whether the four CpGs were valuable for assessing WC, areas under the curve (AUC) of the ROC curve were calculated for each CpG. For females, the AUCs were cg09907509 = 0.74, cg17478979 = 0.73, cg24679890 = 0.72, and cg06638795 = 0.72 (Figure 4A). For males, the AUCs were cg01807303 = 0.76, cg03325085 = 0.75, cg02813542 = 0.75, and cg16379885 = 0.75 (Figure 4B). Validation of these results was performed in an independent sample (n = 161). Results showed valuable AUCs (AUC > 0.70) for the four CpGs in females, confirming the results of the current investigation, whereas only cg02813542 was validated in males (Table 2).
Figure 4.
Receiver operating characteristic (ROC) curves. (A) Top four significant differentially methylated CpGs for females adjusted by age; (B) Top four significant differentially methylated CpGs for males adjusted by age.
Table 2.
Validation of ROC curves in an independent sample (n = 161) for the top four significant differentially methylated CpGs for each sex adjusted by age.
4. Discussion
This study involving the MENA project reports the association between DNA methylation and WC in specific CpGs of several genes, mainly related to inflammation, obesity, and related comorbidities. Furthermore, current analyses showed the differential pattern in methylation depending on the degree of abdominal fat in both sexes, which can be predicted by several CpGs with AUCs > 0.70. This assay adds further insights into the relationship between obesity, associated comorbidities, and epigenetic DNA methylation.
Obesity is usually classified according to BMI, which is an index widely employed for measuring the overall body size or generalized adiposity [12]. However, WC has been suggested as a better estimator of metabolic complications accompanying excessive adiposity [1], being associated with metabolic diseases, such as type 2 diabetes (T2D) and cardiovascular events [1]. Indeed, few EWAS have studied the putative association between DNA methylation and WC values [10,11,12,13,14,15,16], in contrast to the number of EWAS correlating methylation with BMI. In this sense, we found a relationship between DNA methylation levels of 669 CpGs and WC (slope ≥ |0.1| and false discovery rate < 0.05). The top six CpGs corresponded to the genes ACSS3, TACC2, TSNARE1, TCP11L1, NOD2, and FPR2 (according to the Illumina CG database). Interestingly, methylation of all these genes was also associated with BMI (data not shown), indicating that both general and central adiposity might be related to epigenetic modifications in these genes [41]. Moreover, in a subanalysis (n = 108) concerning the current study, WC was associated with circulating levels of TNF-α and C-reactive protein (CRP), and some of the selected CpGs were also related to these inflammatory molecules (data not shown). These associations confirm that inflammatory processes are involved in the obesity status as previously described [41], which may be partly mediated by epigenetic mechanisms.
Remarkably, five of the six selected genes have been found related to different traits in previous EWAS. For instance, BMI has been associated with methylation in CpGs of the genes FPR2, TACC2, TSNARE1, TCP11L1, and NOD2 [42]. Interestingly, the selected CpG cg01243823 (NOD2) from this study was related to BMI in different investigations [9,42,43,44]. Moreover, methylation in some CpGs located in the genes TACC2, TSNARE1, TCP11L1, and NOD2, including the CpGs cg02813542 (TCP11L1) and cg01243823 (NOD2) selected in this study, was statistically different when comparing diabetic and non-diabetic subjects [45]. Furthermore, the CpG cg02813542 was associated with BMI in adipose tissue from non-diabetic subjects, and the CpG cg01243823 was related to fasting glucose in the same samples [45]. Other CpGs in the genes NOD2 [46] and TCP11L1 [47] have been linked to atherosclerosis, and in the TSNARE1 gene, with CRP [48]. The inflammation-related molecule CRP was also connected to the CpG cg01243823 selected in this research [48].
Although DNA methylation in the selected CpGs might not be exerting changes in the expression of the genes where they are located, their involvement in metabolic and inflammatory processes might indicate a putative connection. Specifically, the gene ACSS3 encodes a protein that converts propionate to propionyl-CoA allowing it to enter mitochondrial respiration and the Krebs cycle [49]. Proteins of the same family (acyl-CoA synthases) have been related to inflammatory processes [50,51]. The gene TACC2 has been found hypomethylated before weight loss in the top 20 differentially methylated CpGs in a study comparing before and after weight loss [52]. In the case of TSNARE1, differential methylation levels between basal and insulin-stimulated muscle has been described [53], as well as the association between methylation degree and C-reactive protein, which is a sensitive marker for low-grade inflammation [48]. The NOD2 gene has been related to inflammation, since a higher expression of NOD2 may contribute to an increased inflammatory response of immune cells in diet-induced obesity [54]. Genetic variants of NOD2 may also influence the risk of chronic inflammation, insulin resistance, and T2D [55]. The gene FPR2 binds to lipid mediators such as resolvin D1 for promoting resolution of inflammation [56], including the resolution of obesity-induced chronic low-grade inflammation [57]. These lipid mediators have been found decreased in obese mice [58]. In the case of the TCP11L1 gene, two SNPs (rs3168277 and rs2273553) showed significant association with fasting blood glucose and HDL-C, respectively [59].
Abdominal obesity is a major risk factor concerning systemic inflammation, hyperlipidemia, insulin resistance, and cardiovascular disease [60]. Our study revealed that individuals with abdominal obesity traits (WC females > 88 cm, males > 102 cm) exhibited a differential methylation pattern for at least 375 and 95 CpGs, respectively. Remarkably, more than 75% of the males and more than 80% of the females that were in the same cluster with similar methylation patterns presented abdominal obesity. Therefore, specific epigenetic modifications may be representative for people with central obesity and might potentially influence the onset and development of other adiposity-associated complications, such as T2D and cardiovascular events. Indeed, these differentially methylated CpGs were related to pathways of inflammation, obesity, and related comorbidities for both males and females, such as the pathway lipoate biosynthesis and incorporation II, since lipoic acid has anti-inflammatory and anti-oxidant actions, and it has been reported to be helpful against insulin resistance and hypertriglyceridemia [61]. Additionally, the role of JAK2 in the hormone-like cytokine signaling pathway, where JAK2 is involved in binding to receptors such as GHR, activating the signal transduction cascade, and growth hormone signaling. The expression of GHR has been found to be increased in adipose tissue abdominal depots, compared to gluteal depots, suggesting an effect of growth hormone to specifically reduce abdominal adipose tissue mass [62]. Moreover, growth hormone secretion is usually impaired in obesity [63]. Furthermore, in the inflammasome pathway, inflammasomes play the role of central regulators connecting the induction and the progression of autoinflammatory disease with cellular stress from obesity-induced inflammation, metabolic distress, and other stress signals [64]. The TREM-1 gene in TREM1 signaling acts as an amplifier of inflammation expressed in macrophages. TREM-1 has been found to be overexpressed in patients with obesity, predisposing pre-diabetics to obesity-induced insulin resistance [65]. The rate-limiting enzyme in the pentose phosphate pathway, glucose-6-phosphate dehydrogenase (G6PD), is an important mediator of adipose tissue inflammation and insulin resistance in subjects with obesity [66]. In the case of the intrinsic prothrombin activation pathway, prothrombin activity is higher in individuals with central obesity [67], and weight loss interventions reduce the circulating levels of prothrombic markers [68].
The top four CpGs that were found to be differentially methylated between individuals with and without abdominal obesity were located at the genes c13orf36, ZC3H12D, MYO9B, and KCNG3 in females; and JPH3, TCP11L1, and GRIK3 in males (one CpG had no annotated gene). As aforementioned, the observed DNA methylation differences might not be indicative of changes in the corresponding gene expression, but their relationship with obesity and other metabolic processes might suggest a possible link. For instance, the gene ZC3H12D is involved in inflammatory diseases and in immune response [69]. CpG cg24679890 (MYO9B) has been previously related to BMI in various EWAS [16]. In the case of JPH3, it is necessary for glucose-stimulated insulin secretion [70]. Additionally, the gene GRIK3, involved in glutamate receptor signaling, was one of the genes differentially methylated related to inflammation and T2D in siblings born before and after maternal bariatric surgery [71]. Interestingly, cg02813542 (TCP11L1) also appeared in the top six CpGs after the association between DNA methylation and WC, as previously mentioned. Nevertheless, the c13orf36 and KCNG3 genes have not already been described in relation to obesity.
Since the methylation patterns of some CpGs were able to characterize individuals according to whether they do or do not have abdominal obesity, the ability of the four CpGs with higher AUC to differentiate between both WC groups for each sex was analyzed. All the CpGs distinguished WC groups with AUCs above 0.70. However, validation in an independent sample showed that cg09907509-c13orf36, cg17478979-ZC3H12D, cg24679890-MYO9B, and cg06638795-KCNG3 for females, and cg02813542-TCP11L1 for males were capable of discriminating individuals regarding their central adiposity. Although these CpGs cannot be confirmed as a cause or consequence of central adiposity, they might be considered for futures studies as potential biomarkers for early prediction or putative targets for the development of therapeutic approaches in the prevention and treatment of diseases, such as obesity or associated comorbidities.
The present study presents some limitations. The most important is the cross-sectional nature of the study, which does not allow the establishment of causality. Longitudinal studies are necessary to evaluate the direction of the association between DNA methylation and WC, although a validation in an independent population (n = 161) confirmed the general trends. In addition, RNA assays would have been interesting to relate methylation to gene expression. Another limitation is that methylation is tissue-specific [72]. The ideal tissue for this study would have been visceral adipose tissue, but peripheral blood is the best non-invasive alternative tissue that reflects multiple metabolic and inflammatory pathways. Indeed, multiple studies have analyzed DNA methylation in blood in relation to obesity [9,10,73] and inflammation [74,75]. Furthermore, some studies have demonstrated that blood can reflect epigenetic changes in other tissues, such as adipose tissue [73,76]. Finally, though multiple comparison tests and statistical adjustments for potential confounding factors such as sex, age, cohorts, bead chips, and cell composition heterogeneity were performed, type I and type II errors could not be discarded. However, correction of inflation was performed to avoid type I errors. Despite these limitations, we understand that our study contributes to the growing body of evidence in support of epigenetic methylation mechanisms correlating with obesity features in a relative wide sample (n = 473), followed by a validation (n = 161).
In conclusion, this study found associations between DNA methylation in several CpGs and an excessive central adiposity in peripheral white blood cells. In addition, novel loci with differential DNA methylation variations in individuals with abdominal adiposity were identified. Further studies, especially longitudinal studies, are needed to assess causality and identify additional putative methylation biomarkers and early predictors of obese phenotypes.
Supplementary Materials
The following are available online at https://www.mdpi.com/2073-4425/10/6/444/s1: Figure S1: Q–Q plot of corrected adjusted p-values, Figure S2: Canonical pathways from Ingenuity Pathway Analysis. A) Canonical pathways from 375 CpGs selected by Student’s t-test between females with waist circumference ≤ 88 and > 88 cm. B) Canonical pathways from 95 CpGs selected by Student’s t-test between males with waist circumference ≤ 102 and > 102 cm. Significance: p < 7.47·10–5 after Bonferroni correction, Table S1: Anthropometric, clinical and biochemical characteristics of the validation population, Table S2: Summary of the studies and the collected anthropometric and DNA methylation measurements, Table S3: Selection of 669 CpGs applying false discovery rate cut-off of 0.05 and a slope ≥ |0.1|, Table S4: Selection of CpGs separating by waist circumference cut-points. (A) Selection of 375 CpGs for females after comparing waist circumference ≤ 88 and > 88 cm. (B) Selection of 95 CpGs for males after comparing waist circumference ≤ 102 and > 102 cm.
Author Contributions
Conceptualization, A.A., J.I.-R.B. and J.A.M.; methodology, A.A., F.I.M., O.R.L., J.I.-R.B. and J.A.M.; software, M.L.M.; validation, A.A.; formal analysis, A.A. and M.L.M.; writing—original draft preparation, A.A.; writing—review and editing, F.I.M., J.I.-R.B. and J.A.M.; supervision, F.I.M., J.I.-R.B. and J.A.M.; project administration, J.A.M.; funding acquisition, F.I.M. and J.A.M.
Funding
This work was supported by grants from the Government of Navarra (PT024), CIBERobn (CB12/03/30002), and the Ministerio de Economía y Competitividad (AGL2013-45554-R). A.A was supported by a “Formación de Profesorado Universitario” predoctoral fellowship from the Ministerio de Educación, Cultura y Deporte (FPU15/02790). O.R.L. was supported by a postdoctoral grant from the National Council of Science and Technology from Mexico (CONACyT, Num. CVU. 444175) in collaboration with the Doctoral Program in Sciences in Molecular Biology in Medicine (CONACyT, PNPC 000091).
Acknowledgments
Other members of MENA project are: Abete I., Crujeiras A.B., Cuervo M., Goni L., Marti A., Martinez-Gonzalez M.A., Moreno-Aliaga M.J., Navas-Carretero S., San-Cristobal R., Santos J.L., and Zulet M.A. Additionally, leaders of specific cohorts such as Astrup A., Saris W.H.M., Mathers J.C., Gibney M., Lopez de Munain A., Sorensen T.I., Arner P., Langin D., Salas-Salvadó J., and Estruch R., are gratefully acknowledged. The authors wish to thank all the volunteers who took part in the study, the personnel of the primary care centers, and other investigators of the different research groups for their participation in the recruitment process and the acquisition of the data.
Conflicts of Interest
The authors have no conflicts of interest to declare.
References
- Cornier, M.A.; Despres, J.P.; Davis, N.; Grossniklaus, D.A.; Klein, S.; Lamarche, B.; Lopez-Jimenez, F.; Rao, G.; St-Onge, M.P.; Towfighi, A.; et al. Assessing adiposity: A scientific statement from the American Heart Association. Circulation 2011, 124, 1996–2019. [Google Scholar] [CrossRef] [PubMed]
- WHO. Global Status Report on Noncommunicable Diseases 2014; WHO: Geneva, Switzerland, 2014; p. 298. [Google Scholar]
- Goni, L.; Milagro, F.I.; Cuervo, M.; Martinez, J.A. Single-nucleotide polymorphisms and DNA methylation markers associated with central obesity and regulation of body weight. Nutr. Rev. 2014, 72, 673–690. [Google Scholar] [CrossRef] [PubMed]
- Gonzalez-Muniesa, P.; Martinez-Gonzalez, M.A.; Hu, F.B.; Despres, J.P.; Matsuzawa, Y.; Loos, R.J.F.; Moreno, L.A.; Bray, G.A.; Martinez, J.A. Obesity. Nat. Rev. Dis. Primers 2017, 3, 17034. [Google Scholar] [CrossRef] [PubMed]
- Heianza, Y.; Qi, L. Gene-Diet Interaction and Precision Nutrition in Obesity. Int. J. Mol. Sci. 2017, 18, 787. [Google Scholar] [CrossRef]
- Van Dijk, S.J.; Tellam, R.L.; Morrison, J.L.; Muhlhausler, B.S.; Molloy, P.L. Recent developments on the role of epigenetics in obesity and metabolic disease. Clin. Epigenet. 2015, 7, 66. [Google Scholar] [CrossRef]
- Aronica, L.; Levine, A.J.; Brennan, K.; Mi, J.; Gardner, C.; Haile, R.W.; Hitchins, M.P. A systematic review of studies of DNA methylation in the context of a weight loss intervention. Epigenomics 2017, 9, 769–787. [Google Scholar] [CrossRef]
- Al Muftah, W.A.; Al-Shafai, M.; Zaghlool, S.B.; Visconti, A.; Tsai, P.C.; Kumar, P.; Spector, T.; Bell, J.; Falchi, M.; Suhre, K. Epigenetic associations of type 2 diabetes and BMI in an Arab population. Clin. Epigenet. 2016, 8, 13. [Google Scholar] [CrossRef]
- Wahl, S.; Drong, A.; Lehne, B.; Loh, M.; Scott, W.R.; Kunze, S.; Tsai, P.C.; Ried, J.S.; Zhang, W.; Yang, Y.; et al. Epigenome-wide association study of body mass index, and the adverse outcomes of adiposity. Nature 2017, 541, 81–86. [Google Scholar] [CrossRef]
- Demerath, E.W.; Guan, W.; Grove, M.L.; Aslibekyan, S.; Mendelson, M.; Zhou, Y.H.; Hedman, A.K.; Sandling, J.K.; Li, L.A.; Irvin, M.R.; et al. Epigenome-wide association study (EWAS) of BMI, BMI change and waist circumference in African American adults identifies multiple replicated loci. Hum. Mol. Genet. 2015, 24, 4464–4479. [Google Scholar] [CrossRef]
- Aslibekyan, S.; Demerath, E.W.; Mendelson, M.; Zhi, D.; Guan, W.; Liang, L.; Sha, J.; Pankow, J.S.; Liu, C.; Irvin, M.R.; et al. Epigenome-wide study identifies novel methylation loci associated with body mass index and waist circumference. Obesity (Silver Spring) 2015, 23, 1493–1501. [Google Scholar] [CrossRef]
- Meeks, K.A.C.; Henneman, P.; Venema, A.; Burr, T.; Galbete, C.; Danquah, I.; Schulze, M.B.; Mockenhaupt, F.P.; Owusu-Dabo, E.; Rotimi, C.N.; et al. An epigenome-wide association study in whole blood of measures of adiposity among Ghanaians: The RODAM study. Clin. Epigenet. 2017, 9, 103. [Google Scholar] [CrossRef] [PubMed]
- Dhana, K.; Braun, K.V.E.; Nano, J.; Voortman, T.; Demerath, E.W.; Guan, W.; Fornage, M.; van Meurs, J.B.J.; Uitterlinden, A.G.; Hofman, A.; et al. An Epigenome-Wide Association Study (EWAS) of Obesity-Related Traits. Am. J. Epidemiol. 2018. [Google Scholar] [CrossRef] [PubMed]
- Campanella, G.; Gunter, M.J.; Polidoro, S.; Krogh, V.; Palli, D.; Panico, S.; Sacerdote, C.; Tumino, R.; Fiorito, G.; Guarrera, S.; et al. Epigenome-wide association study of adiposity and future risk of obesity-related diseases. Int. J. Obes. (Lond.) 2018. [Google Scholar] [CrossRef] [PubMed]
- Mamtani, M.; Kulkarni, H.; Dyer, T.D.; Goring, H.H.; Neary, J.L.; Cole, S.A.; Kent, J.W.; Kumar, S.; Glahn, D.C.; Mahaney, M.C.; et al. Genome- and epigenome-wide association study of hypertriglyceridemic waist in Mexican American families. Clin. Epigenet. 2016, 8, 6. [Google Scholar] [CrossRef] [PubMed]
- Sayols-Baixeras, S.; Subirana, I.; Fernandez-Sanles, A.; Senti, M.; Lluis-Ganella, C.; Marrugat, J.; Elosua, R. DNA methylation and obesity traits: An epigenome-wide association study. The REGICOR study. Epigenetics 2017, 12, 909–916. [Google Scholar] [CrossRef] [PubMed]
- Larsen, T.M.; Dalskov, S.; van Baak, M.; Jebb, S.; Kafatos, A.; Pfeiffer, A.; Martinez, J.A.; Handjieva-Darlenska, T.; Kunesova, M.; Holst, C.; et al. The Diet, Obesity and Genes (Diogenes) Dietary Study in eight European countries—A comprehensive design for long-term intervention. Obes. Rev. 2010, 11, 76–91. [Google Scholar] [CrossRef] [PubMed]
- Huerta, A.E.; Navas-Carretero, S.; Prieto-Hontoria, P.L.; Martinez, J.A.; Moreno-Aliaga, M.J. Effects of alpha-lipoic acid and eicosapentaenoic acid in overweight and obese women during weight loss. Obesity (Silver Spring) 2015, 23, 313–321. [Google Scholar] [CrossRef] [PubMed]
- Celis-Morales, C.; Livingstone, K.M.; Marsaux, C.F.; Forster, H.; O’Donovan, C.B.; Woolhead, C.; Macready, A.L.; Fallaize, R.; Navas-Carretero, S.; San-Cristobal, R.; et al. Design and baseline characteristics of the Food4Me study: A web-based randomised controlled trial of personalised nutrition in seven European countries. Genes Nutr. 2015, 10, 450. [Google Scholar] [CrossRef] [PubMed]
- Santos, J.L.; Yevenes, I.; Cataldo, L.R.; Morales, M.; Galgani, J.; Arancibia, C.; Vega, J.; Olmos, P.; Flores, M.; Valderas, J.P.; et al. Development and assessment of the disposition index based on the oral glucose tolerance test in subjects with different glycaemic status. J. Physiol. Biochem. 2016, 72, 121–131. [Google Scholar] [CrossRef]
- Abete, I.; Gomez-Uriz, A.M.; Mansego, M.L.; De Arce, A.; Goyenechea, E.; Blazquez, V.; Martinez-Zabaleta, M.T.; Gonzalez-Muniesa, P.; Lopez De Munain, A.; Martinez, J.A.; et al. Epigenetic Changes in the Methylation Patterns of KCNQ1 and WT1 after a Weight Loss Intervention Program in Obese Stroke Patients. Curr. Neurovasc. Res. 2015, 12, 321–333. [Google Scholar] [CrossRef]
- Petersen, M.; Taylor, M.A.; Saris, W.H.; Verdich, C.; Toubro, S.; Macdonald, I.; Rossner, S.; Stich, V.; Guy-Grand, B.; Langin, D.; et al. Randomized, multi-center trial of two hypo-energetic diets in obese subjects: High- versus low-fat content. Int. J. Obes. (Lond.) 2006, 30, 552–560. [Google Scholar] [CrossRef] [PubMed]
- Estruch, R.; Ros, E.; Salas-Salvado, J.; Covas, M.I.; Corella, D.; Aros, F.; Gomez-Gracia, E.; Ruiz-Gutierrez, V.; Fiol, M.; Lapetra, J.; et al. Primary prevention of cardiovascular disease with a Mediterranean diet. N. Engl. J. Med. 2013, 368, 1279–1290. [Google Scholar] [CrossRef] [PubMed]
- Zulet, M.A.; Bondia-Pons, I.; Abete, I.; de la Iglesia, R.; Lopez-Legarrea, P.; Forga, L.; Navas-Carretero, S.; Martinez, J.A. The reduction of the metabolyc syndrome in Navarra-Spain (RESMENA-S) study: A multidisciplinary strategy based on chrononutrition and nutritional education, together with dietetic and psychological control. Nutr. Hosp. 2011, 26, 16–26. [Google Scholar] [PubMed]
- Ramos-Lopez, O.; Riezu-Boj, J.I.; Milagro, F.I.; Goni, L.; Cuervo, M.; Martinez, J.A. Differential lipid metabolism outcomes associated with ADRB2 gene polymorphisms in response to two dietary interventions in overweight/obese subjects. Nutr. Metab. Cardiovasc. Dis. 2018, 28, 165–172. [Google Scholar] [CrossRef] [PubMed]
- Arpón, A.; Milagro, F.I.; Ramos-Lopez, O.; Mansego, M.L.; Santos, J.L.; Riezu-Boj, J.I.; Martínez, J.A. Epigenome-wide association study in peripheral white blood cells involving insulin resistance. Sci. Rep. 2019, 9, 2445. [Google Scholar] [CrossRef] [PubMed]
- Madden, A.M.; Smith, S. Body composition and morphological assessment of nutritional status in adults: A review of anthropometric variables. J. Hum. Nutr. Diet. 2016, 29, 7–25. [Google Scholar] [CrossRef] [PubMed]
- Du, P.; Kibbe, W.A.; Lin, S.M. lumi: A pipeline for processing Illumina microarray. Bioinformatics 2008, 24, 1547–1548. [Google Scholar] [CrossRef] [PubMed]
- Team, R. RStudio: Integrated Development for R. Available online: http://www.rstudio.com/ (accessed on 5 June 2018).
- Morris, T.J.; Butcher, L.M.; Feber, A.; Teschendorff, A.E.; Chakravarthy, A.R.; Wojdacz, T.K.; Beck, S. ChAMP: 450k Chip Analysis Methylation Pipeline. Bioinformatics 2014, 30, 428–430. [Google Scholar] [CrossRef]
- Nordlund, J.; Backlin, C.L.; Wahlberg, P.; Busche, S.; Berglund, E.C.; Eloranta, M.L.; Flaegstad, T.; Forestier, E.; Frost, B.M.; Harila-Saari, A.; et al. Genome-wide signatures of differential DNA methylation in pediatric acute lymphoblastic leukemia. Genome Biol. 2013, 14, r105. [Google Scholar] [CrossRef]
- Maksimovic, J.; Gordon, L.; Oshlack, A. SWAN: Subset-quantile within array normalization for illumina infinium HumanMethylation450 BeadChips. Genome Biol. 2012, 13, R44. [Google Scholar] [CrossRef]
- Teschendorff, A.E.; Zhuang, J.; Widschwendter, M. Independent surrogate variable analysis to deconvolve confounding factors in large-scale microarray profiling studies. Bioinformatics 2011, 27, 1496–1505. [Google Scholar] [CrossRef] [PubMed]
- Johnson, W.E.; Li, C.; Rabinovic, A. Adjusting batch effects in microarray expression data using empirical Bayes methods. Biostatistics 2007, 8, 118–127. [Google Scholar] [CrossRef] [PubMed]
- Houseman, E.A.; Accomando, W.P.; Koestler, D.C.; Christensen, B.C.; Marsit, C.J.; Nelson, H.H.; Wiencke, J.K.; Kelsey, K.T. DNA methylation arrays as surrogate measures of cell mixture distribution. BMC Bioinformatics 2012, 13, 86. [Google Scholar] [CrossRef] [PubMed]
- Edgar, R.; Domrachev, M.; Lash, A.E. Gene Expression Omnibus: NCBI gene expression and hybridization array data repository. Nucleic Acids Res. 2002, 30, 207–210. [Google Scholar] [CrossRef] [PubMed]
- Arpón, A.; Milagro, F.I.; Ramos-Lopez, O.; Mansego, M.L.; Riezu-Boj, J.I.; Martinez, J.A. GSE115278: Epigenome-Wide Association Study in Peripheral White Blood Cells: Methyl Epigenome Network Association (MENA) Project. Available online: www.ncbi.nlm.nih.gov/geo/query/acc.cgi?acc=GSE115278 (accessed on 2 May 2019).
- Hinrichs, A.L.; Larkin, E.K.; Suarez, B.K. Population stratification and patterns of linkage disequilibrium. Genet. Epidemiol. 2009, 33 (Suppl. 1), S88–S92. [Google Scholar] [CrossRef] [PubMed]
- Expert Panel on Detection, E.; Treatment of High Blood Cholesterol in, A. Executive Summary of The Third Report of The National Cholesterol Education Program (NCEP) Expert Panel on Detection, Evaluation, And Treatment of High Blood Cholesterol In Adults (Adult Treatment Panel III). JAMA 2001, 285, 2486–2497. [Google Scholar]
- Volkmar, M.; Dedeurwaerder, S.; Cunha, D.A.; Ndlovu, M.N.; Defrance, M.; Deplus, R.; Calonne, E.; Volkmar, U.; Igoillo-Esteve, M.; Naamane, N.; et al. DNA methylation profiling identifies epigenetic dysregulation in pancreatic islets from type 2 diabetic patients. EMBO J. 2012, 31, 1405–1426. [Google Scholar] [CrossRef] [PubMed]
- Rodriguez-Hernandez, H.; Simental-Mendia, L.E.; Rodriguez-Ramirez, G.; Reyes-Romero, M.A. Obesity and inflammation: Epidemiology, risk factors, and markers of inflammation. Int. J. Endocrinol. 2013, 2013, 678159. [Google Scholar] [CrossRef]
- Ronn, T.; Volkov, P.; Gillberg, L.; Kokosar, M.; Perfilyev, A.; Jacobsen, A.L.; Jorgensen, S.W.; Brons, C.; Jansson, P.A.; Eriksson, K.F.; et al. Impact of age, BMI and HbA1c levels on the genome-wide DNA methylation and mRNA expression patterns in human adipose tissue and identification of epigenetic biomarkers in blood. Hum. Mol. Genet. 2015, 24, 3792–3813. [Google Scholar] [CrossRef]
- Mendelson, M.M.; Marioni, R.E.; Joehanes, R.; Liu, C.; Hedman, A.K.; Aslibekyan, S.; Demerath, E.W.; Guan, W.; Zhi, D.; Yao, C.; et al. Association of Body Mass Index with DNA Methylation and Gene Expression in Blood Cells and Relations to Cardiometabolic Disease: A Mendelian Randomization Approach. PLoS Med. 2017, 14, e1002215. [Google Scholar] [CrossRef]
- Geurts, Y.M.; Dugue, P.A.; Joo, J.E.; Makalic, E.; Jung, C.H.; Guan, W.; Nguyen, S.; Grove, M.L.; Wong, E.M.; Hodge, A.M.; et al. Novel associations between blood DNA methylation and body mass index in middle-aged and older adults. Int. J. Obes. (Lond.) 2018, 42, 887–896. [Google Scholar] [CrossRef] [PubMed]
- Nilsson, E.; Jansson, P.A.; Perfilyev, A.; Volkov, P.; Pedersen, M.; Svensson, M.K.; Poulsen, P.; Ribel-Madsen, R.; Pedersen, N.L.; Almgren, P.; et al. Altered DNA methylation and differential expression of genes influencing metabolism and inflammation in adipose tissue from subjects with type 2 diabetes. Diabetes 2014, 63, 2962–2976. [Google Scholar] [CrossRef] [PubMed]
- Yamada, Y.; Nishida, T.; Horibe, H.; Oguri, M.; Kato, K.; Sawabe, M. Identification of hypo- and hypermethylated genes related to atherosclerosis by a genome-wide analysis of DNA methylation. Int. J. Mol. Med. 2014, 33, 1355–1363. [Google Scholar] [CrossRef]
- Zaina, S.; Heyn, H.; Carmona, F.J.; Varol, N.; Sayols, S.; Condom, E.; Ramirez-Ruz, J.; Gomez, A.; Goncalves, I.; Moran, S.; et al. DNA methylation map of human atherosclerosis. Circ. Cardiovasc. Genet. 2014, 7, 692–700. [Google Scholar] [CrossRef] [PubMed]
- Ligthart, S.; Marzi, C.; Aslibekyan, S.; Mendelson, M.M.; Conneely, K.N.; Tanaka, T.; Colicino, E.; Waite, L.L.; Joehanes, R.; Guan, W.; et al. DNA methylation signatures of chronic low-grade inflammation are associated with complex diseases. Genome Biol. 2016, 17, 255. [Google Scholar] [CrossRef] [PubMed]
- Yoshimura, Y.; Araki, A.; Maruta, H.; Takahashi, Y.; Yamashita, H. Molecular cloning of rat acss3 and characterization of mammalian propionyl-CoA synthetase in the liver mitochondrial matrix. J. Biochem. 2017, 161, 279–289. [Google Scholar] [CrossRef] [PubMed]
- Kanter, J.E.; Kramer, F.; Barnhart, S.; Averill, M.M.; Vivekanandan-Giri, A.; Vickery, T.; Li, L.O.; Becker, L.; Yuan, W.; Chait, A.; et al. Diabetes promotes an inflammatory macrophage phenotype and atherosclerosis through acyl-CoA synthetase 1. Proc. Natl. Acad. Sci. USA 2012, 109, E715–E724. [Google Scholar] [CrossRef] [PubMed]
- Kendrick, S.F.; O’Boyle, G.; Mann, J.; Zeybel, M.; Palmer, J.; Jones, D.E.; Day, C.P. Acetate, the key modulator of inflammatory responses in acute alcoholic hepatitis. Hepatology 2010, 51, 1988–1997. [Google Scholar] [CrossRef] [PubMed]
- Benton, M.C.; Johnstone, A.; Eccles, D.; Harmon, B.; Hayes, M.T.; Lea, R.A.; Griffiths, L.; Hoffman, E.P.; Stubbs, R.S.; Macartney-Coxson, D. An analysis of DNA methylation in human adipose tissue reveals differential modification of obesity genes before and after gastric bypass and weight loss. Genome Biol. 2015, 16, 8. [Google Scholar] [CrossRef] [PubMed]
- Mudry, J.M.; Lassiter, D.G.; Nylen, C.; Garcia-Calzon, S.; Naslund, E.; Krook, A.; Zierath, J.R. Insulin and Glucose Alter Death-Associated Protein Kinase 3 (DAPK3) DNA Methylation in Human Skeletal Muscle. Diabetes 2017, 66, 651–662. [Google Scholar] [CrossRef] [PubMed]
- Kim, M.S.; Choi, M.S.; Han, S.N. High fat diet-induced obesity leads to proinflammatory response associated with higher expression of NOD2 protein. Nutr. Res. Pract. 2011, 5, 219–223. [Google Scholar] [CrossRef] [PubMed]
- Ozbayer, C.; Kurt, H.; Kebapci, M.N.; Gunes, H.V.; Colak, E.; Degirmenci, I. Effects of genetic variations in the genes encoding NOD1 and NOD2 on type 2 diabetes mellitus and insulin resistance. J. Clin. Pharm. Ther. 2017, 42, 98–102. [Google Scholar] [CrossRef] [PubMed]
- Krishnamoorthy, S.; Recchiuti, A.; Chiang, N.; Yacoubian, S.; Lee, C.H.; Yang, R.; Petasis, N.A.; Serhan, C.N. Resolvin D1 binds human phagocytes with evidence for proresolving receptors. Proc. Natl. Acad. Sci. USA 2010, 107, 1660–1665. [Google Scholar] [CrossRef] [PubMed]
- Claria, J.; Dalli, J.; Yacoubian, S.; Gao, F.; Serhan, C.N. Resolvin D1 and resolvin D2 govern local inflammatory tone in obese fat. J. Immunol. 2012, 189, 2597–2605. [Google Scholar] [CrossRef] [PubMed]
- Neuhofer, A.; Zeyda, M.; Mascher, D.; Itariu, B.K.; Murano, I.; Leitner, L.; Hochbrugger, E.E.; Fraisl, P.; Cinti, S.; Serhan, C.N.; et al. Impaired local production of proresolving lipid mediators in obesity and 17-HDHA as a potential treatment for obesity-associated inflammation. Diabetes 2013, 62, 1945–1956. [Google Scholar] [CrossRef] [PubMed]
- Kent, J.W., Jr. Analysis of multiple phenotypes. Genet. Epidemiol. 2009, 33 (Suppl. 1), S33–S39. [Google Scholar] [CrossRef] [PubMed]
- Paley, C.A.; Johnson, M.I. Abdominal obesity and metabolic syndrome: Exercise as medicine? BMC Sports Sci. Med. Rehabil. 2018, 10, 7. [Google Scholar] [CrossRef] [PubMed]
- Shay, K.P.; Moreau, R.F.; Smith, E.J.; Smith, A.R.; Hagen, T.M. Alpha-lipoic acid as a dietary supplement: Molecular mechanisms and therapeutic potential. Biochim. Biophys. Acta 2009, 1790, 1149–1160. [Google Scholar] [CrossRef] [PubMed]
- Karastergiou, K.; Bredella, M.A.; Lee, M.J.; Smith, S.R.; Fried, S.K.; Miller, K.K. Growth hormone receptor expression in human gluteal versus abdominal subcutaneous adipose tissue: Association with body shape. Obesity (Silver Spring) 2016, 24, 1090–1096. [Google Scholar] [CrossRef]
- Yang, S.A. Association study between growth hormone receptor (GHR ) gene polymorphisms and obesity in Korean population. J. Exerc. Rehabil. 2016, 12, 632–636. [Google Scholar] [CrossRef]
- Lukens, J.R.; Dixit, V.D.; Kanneganti, T.D. Inflammasome activation in obesity-related inflammatory diseases and autoimmunity. Discov. Med. 2011, 12, 65–74. [Google Scholar] [PubMed]
- Subramanian, S.; Pallati, P.K.; Sharma, P.; Agrawal, D.K.; Nandipati, K.C. TREM-1 associated macrophage polarization plays a significant role in inducing insulin resistance in obese population. J. Transl. Med. 2017, 15, 85. [Google Scholar] [CrossRef] [PubMed]
- Park, Y.J.; Choe, S.S.; Sohn, J.H.; Kim, J.B. The role of glucose-6-phosphate dehydrogenase in adipose tissue inflammation in obesity. Adipocyte 2017, 6, 147–153. [Google Scholar] [CrossRef] [PubMed]
- Montilla, M.; Santi, M.J.; Carrozas, M.A.; Ruiz, F.A. Biomarkers of the prothrombotic state in abdominal obesity. Nutr. Hosp. 2014, 31, 1059–1066. [Google Scholar] [CrossRef] [PubMed]
- Ruf, W.; Samad, F. Tissue factor pathways linking obesity and inflammation. Hamostaseologie 2015, 35, 279–283. [Google Scholar] [CrossRef] [PubMed][Green Version]
- Huang, S.; Qi, D.; Liang, J.; Miao, R.; Minagawa, K.; Quinn, T.; Matsui, T.; Fan, D.; Liu, J.; Fu, M. The putative tumor suppressor Zc3h12d modulates toll-like receptor signaling in macrophages. Cell Signal 2012, 24, 569–576. [Google Scholar] [CrossRef] [PubMed]
- Li, L.; Pan, Z.F.; Huang, X.; Wu, B.W.; Li, T.; Kang, M.X.; Ge, R.S.; Hu, X.Y.; Zhang, Y.H.; Ge, L.J.; et al. Junctophilin 3 expresses in pancreatic beta cells and is required for glucose-stimulated insulin secretion. Cell Death Dis. 2016, 7, e2275. [Google Scholar] [CrossRef]
- Berglind, D.; Muller, P.; Willmer, M.; Sinha, I.; Tynelius, P.; Naslund, E.; Dahlman-Wright, K.; Rasmussen, F. Differential methylation in inflammation and type 2 diabetes genes in siblings born before and after maternal bariatric surgery. Obesity (Silver Spring) 2016, 24, 250–261. [Google Scholar] [CrossRef]
- Bell, C.G. The Epigenomic Analysis of Human Obesity. Obesity (Silver Spring) 2017, 25, 1471–1481. [Google Scholar] [CrossRef]
- Dick, K.J.; Nelson, C.P.; Tsaprouni, L.; Sandling, J.K.; Aissi, D.; Wahl, S.; Meduri, E.; Morange, P.E.; Gagnon, F.; Grallert, H.; et al. DNA methylation and body-mass index: A genome-wide analysis. Lancet 2014, 383, 1990–1998. [Google Scholar] [CrossRef]
- Arpón, A.; Riezu-Boj, J.I.; Milagro, F.I.; Razquin, C.; Martinez-Gonzalez, M.A.; Corella, D.; Estruch, R.; Casas, R.; Fito, M.; Ros, E.; et al. Adherence to Mediterranean diet is associated with methylation changes in inflammation-related genes in peripheral blood cells. J. Physiol. Biochem. 2017, 73, 445–455. [Google Scholar] [CrossRef] [PubMed]
- Horsburgh, S.; Robson-Ansley, P.; Adams, R.; Smith, C. Exercise and inflammation-related epigenetic modifications: Focus on DNA methylation. Exerc. Immunol. Rev. 2015, 21, 26–41. [Google Scholar] [PubMed]
- Crujeiras, A.B.; Diaz-Lagares, A.; Sandoval, J.; Milagro, F.I.; Navas-Carretero, S.; Carreira, M.C.; Gomez, A.; Hervas, D.; Monteiro, M.P.; Casanueva, F.F.; et al. DNA methylation map in circulating leukocytes mirrors subcutaneous adipose tissue methylation pattern: A genome-wide analysis from non-obese and obese patients. Sci. Rep. 2017, 7, 41903. [Google Scholar] [CrossRef] [PubMed]
© 2019 by the authors. Licensee MDPI, Basel, Switzerland. This article is an open access article distributed under the terms and conditions of the Creative Commons Attribution (CC BY) license (http://creativecommons.org/licenses/by/4.0/).



