Proteomic and Transcriptomic Responses of the Desiccation-Tolerant Moss Racomitrium canescens in the Rapid Rehydration Processes
Abstract
1. Introduction
2. Materials and Methods
2.1. Plant Materials and Desiccation Treatment
2.2. Rehydration Treatments and Morphological Observations
2.3. Physiological and Biochemical Analyses
2.4. Label-Free Quantitative Proteomic Analysis
2.5. Transcriptome Deep Sequencing (RNA-Seq) Analysis
2.6. Quantitative Real-Time PCR Analysis
3. Results
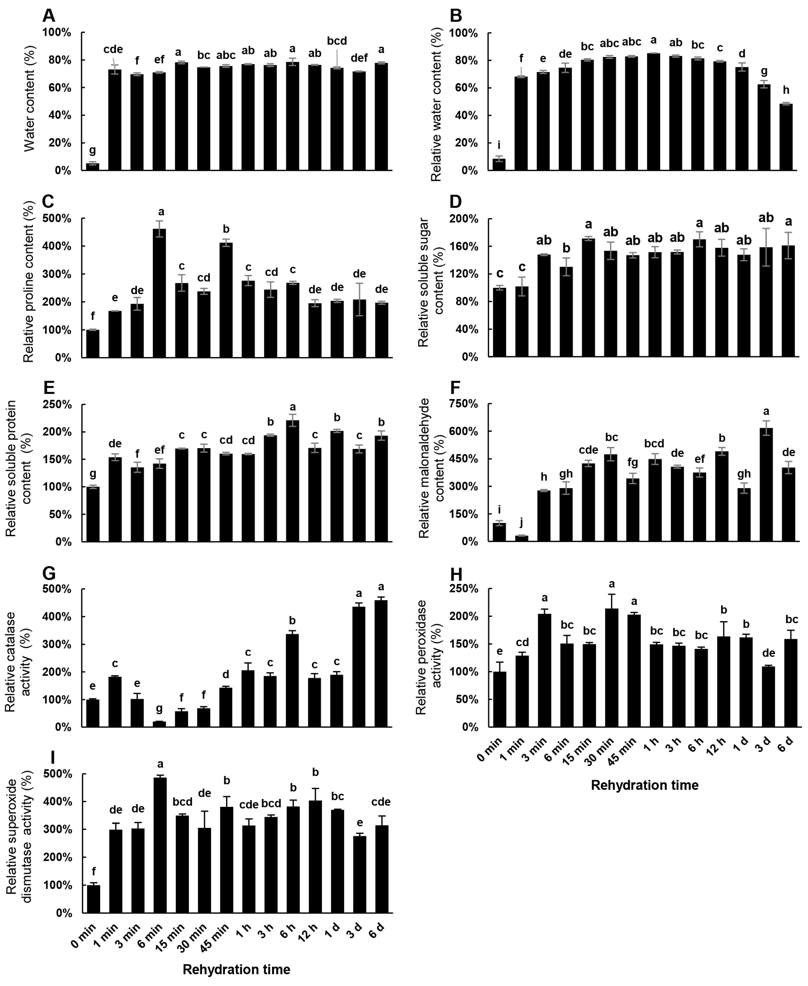
3.1. Physiological and Biochemical Changes during the Rehydration of Desiccated R. canescens
3.2. Proteomics Analysis of R. canescens Plants during the Early Stages of Rehydration
3.3. Transcriptomics Analysis of R. canescens during Rehydration
4. Discussion
4.1. R. canescens Is a Desiccation-Tolerant Bryophyte That Recovers from Rehydration through Rapid Physiological Changes
4.2. Proteomics Analysis Indicates That the Protein Content of R. Canescens Undergoes Substantial Changes during Early Rehydration
4.3. Energy Substances and Classic Desiccation-Tolerant Regulators Accumulated during the Rapid Desiccation of R. canescens
4.4. Vacuolar Components May Play Important Roles in the Initial Stage of Rehydration in R. canescens
4.5. Different Functions and Cellular Structures Showed Distinct Patterns of Cell Function Recovery at Different Stages of Rehydration
5. Conclusions
Supplementary Materials
Author Contributions
Funding
Institutional Review Board Statement
Informed Consent Statement
Data Availability Statement
Conflicts of Interest
References
- Farooq, M.; Wahid, A.; Kobayashi, N.; Fujita, D.; Basra, S.M.A. Plant drought stress: Effects, mechanisms and management. Sustain. Agric. 2009, 29, 153–183. [Google Scholar]
- Zhang, Q. Strategies for developing Green Super Rice. Proc. Natl. Acad. Sci. USA 2007, 104, 16402–16409. [Google Scholar] [CrossRef] [PubMed]
- Wood, A.J. The nature and distribution of vegetative desiccation-tolerance in hornworts, liverworts and mosses. Bryologist 2007, 110, 163–177. [Google Scholar] [CrossRef]
- Dinakar, C.; Bartels, D. Desiccation tolerance in resurrection plants: New insights from transcriptome, proteome and metabolome analysis. Front. Plant Sci. 2013, 4, 482. [Google Scholar] [CrossRef] [PubMed]
- Jogaiah, S.; Govind, S.R.; Tran, L.-S.P. Systems biology-based approaches toward understanding drought tolerance in food crops. Crit. Rev. Biotechnol. 2013, 33, 23–39. [Google Scholar] [CrossRef]
- Bewley, J.D. Physiological aspects of desiccation tolerance. Annu. Rev. Plant Physiol. 1979, 30, 195–238. [Google Scholar]
- Oliver, M.; Bewley, J. Desiccation-tolerance of plant tissues: A mechanistic overview. In Horticultural Reviews; John Wiley & Sons: Hoboken, NJ, USA, 2010; Volume 18, pp. 171–213. [Google Scholar]
- Oliver, M.J.; Velten, J.; Mishler, B.D. Desiccation tolerance in bryophytes: A reflection of the primitive strategy for plant survival in dehydrating habitats? Integr. Comp. Biol. 2005, 45, 788–799. [Google Scholar] [CrossRef]
- Platt, K.A.; Oliver, M.J.; Thomson, W.W. Membranes and organelles of dehydrated Selaginella and Tortula retain their normal configuration and structural integrity—Freeze fracture evidence. Protoplasma 1994, 178, 57–65. [Google Scholar]
- Oliver, M.J.; Bewley, J.D. Desiccation and ultrastructure in bryophytes. Adv. Bryol. 1984, 2, 91–131. [Google Scholar]
- Oliver, M.J. Influence of protoplasmic water loss on the control of protein synthesis in the desiccation-tolerant moss Tortula ruralis: Ramifications for a repair-based mechanism of desiccation tolerance. Plant Physiol. 1991, 97, 1501–1511. [Google Scholar]
- Tucker, E.B.; Costerton, J.W.; Bewley, J.D. The ultrastructure of the moss Tortula ruralis on recovery from desiccation. Can. J. Bot. 2011, 53, 94–101. [Google Scholar] [CrossRef]
- Bewley, J.D.; Halmer, P.; Krochko, J.E.; Winner, W.E. Metabolism of a drought-tolerant and a drought-sensitive moss: Respiration, ATP synthesis and carbohydrate status. In Dry Biological Systems; Elsevier: New York, NY, USA, 2012; pp. 185–203. [Google Scholar]
- Scott, H.B.; Oliver, M.J. Accumulation and polysomal recruitment of transcripts in response to desiccation and rehydration of the moss Tortula ruralis. J. Exp. Bot. 1994, 45, 577–583. [Google Scholar] [CrossRef]
- Wood, A.J.; Oliver, M.J. Translational control in plant stress: The formation of messenger ribonucleoprotein particles (mRNPs) in response to desiccation of Tortula ruralis gametophytes. Plant J. 1999, 18, 359–370. [Google Scholar] [CrossRef]
- Proctor, M.C.F.; Pence, V.C. Vegetative tissues: Bryophytes, vascular plants and vegetative propagules. In Desiccation Survival in Plants: Drying without Dying; CABI: Wallingford, UK, 2002; pp. 207–237. [Google Scholar]
- Proctor, M.C.F.; Smirnoff, N. Rapid recovery of photosystems on rewetting desiccation-tolerant mosses: Chlorophyll fluorescence and inhibitor experiments. J. Exp. Bot. 2000, 51, 1695–1704. [Google Scholar] [CrossRef]
- Csintalan, Z.; Proctor, M.C.F.; Tuba, Z. Chlorophyll fluorescence during drying and rehydration in the mosses Rhytidiadelphus loreus (Hedw.) Warnst., Anomodon viticulosus (Hedw.) Hook. & Tayl. and Grimmia pulvinata (Hedw.) Sm. Ann. Bot. 1999, 84, 235–244. [Google Scholar]
- Gao, B.; Zhang, D.; Li, X.; Yang, H.; Liang, Y.; Chen, M.; Zhang, Y.; Zhang, J.; Andrew, W. Desiccation tolerance in bryophytes: The rehydration proteomes of Bryum argenteum provide insights into the resuscitation mechanism. J. Arid Land 2018, 10, 152–167. [Google Scholar] [CrossRef]
- Xu, X.; Legay, S.; Sergeant, K.; Zorzan, S.; Leclercq, C.C.; Charton, S.; Giarola, V.; Liu, X.; Challabathula, D.; Renaut, J.; et al. Molecular insights into plant desiccation tolerance: Transcriptomics, proteomics and targeted metabolite profiling in Craterostigma plantagineum. Plant J. 2021, 107, 377–398. [Google Scholar] [CrossRef]
- Oliver, M.J.; Dowd, S.E.; Zaragoza, J.; Mauget, S.A.; Payton, P.R. The rehydration transcriptome of the desiccation-tolerant bryophyte Tortula ruralis: Transcript classification and analysis. BMC Genom. 2004, 5, 89. [Google Scholar] [CrossRef]
- Gao, B.; Zhang, D.; Li, X.; Yang, H.; Wood, A.J. De novo assembly and characterization of the transcriptome in the desiccation-tolerant moss Syntrichia caninervis. BMC Res. Notes 2014, 7, 490. [Google Scholar] [CrossRef]
- Yang, H.; Zhang, D.; Li, X.; Li, H.; Zhang, D.; Lan, H.; Wood, A.J.; Wang, J. Overexpression of ScALDH21 gene in cotton improves drought tolerance and growth in greenhouse and field conditions. Mol. Breed. 2016, 36, 34. [Google Scholar]
- Zhang, Y.; Liu, X.; Zhang, K.; Zhang, D.; Guan, K. An ABSCISIC ACID INSENSITIVE3-like gene from the desert moss Syntrichia caninervis confers abiotic stress tolerance and reduces ABA sensitivity. Plant Cell Tissue Organ Cult. 2018, 133, 417–435. [Google Scholar] [CrossRef]
- Li, X.; Liang, Y.; Gao, B.; Mijiti, M.; Bozorov, T.A.; Yang, H.; Zhang, D.; Wood, A.J. ScDREB10, an A-5c type of DREB gene of the desert moss Syntrichia caninervis, confers osmotic and salt tolerances to Arabidopsis. Genes 2019, 10, 146. [Google Scholar] [CrossRef]
- Gao, B.; Zhang, D.; Li, X.; Yang, H.; Zhang, Y.; Wood, A.J. De novo transcriptome characterization and gene expression profiling of the desiccation tolerant moss Bryum argenteum following rehydration. BMC Genom. 2015, 16, 416. [Google Scholar] [CrossRef]
- Gao, B.; Li, X.; Zhang, D.; Liang, Y.; Yang, H.; Chen, M.; Zhang, Y.; Zhang, J.; Wood, A.J. Desiccation tolerance in bryophytes: The dehydration and rehydration transcriptomes in the desiccation-tolerant bryophyte Bryum argenteum. Sci. Rep. 2017, 7, 7571. [Google Scholar] [CrossRef]
- Stech, M.; Veldman, S.; Larrain, J.; Muñoz, J.; Quandt, D.; Hassel, K.; Kruijer, H. Molecular species delimitation in the Racomitrium canescens complex (Grimmiaceae) and implications for DNA barcoding of species complexes in mosses. PLoS ONE 2013, 8, e53134. [Google Scholar] [CrossRef] [PubMed]
- Ondimu, S.N.; Murase, H. Comparison of plant water stress detection ability of color and gray-level texture in Sunagoke moss. Trans. ASABE 2008, 51, 1111–1120. [Google Scholar] [CrossRef]
- Anderson, M.; Lambrinos, J.; Schroll, E. The potential value of mosses for stormwater management in urban environments. Urban Ecosyst. 2010, 13, 319–332. [Google Scholar] [CrossRef]
- Yin, Z.; Zhang, H.; Zhao, Q.; Yoo, M.J.; Zhu, N.; Yu, J.; Yu, J.; Guo, S.; Miao, Y.; Chen, S. Physiological and comparative proteomic analyses of saline-alkali NaHCO3− responses in leaves of halophyte Puccinellia tenuiflora. Plant Soil 2019, 437, 137–158. [Google Scholar] [CrossRef]
- Bradford, M.M. A rapid and sensitive method for the quantitation of microgram quantities of protein utilizing the principle of protein-dye binding. Anal. Biochem. 1976, 72, 248–254. [Google Scholar] [CrossRef]
- Liu, N.; Zhang, S.; Huang, Y.; Cai, H.; Zhu, X. Understory and canopy additions of nitrogen differentially affect carbon and nitrogen metabolism of Psychotria rubra in an evergreen broad-leaved forest. Sci. Total Environ. 2020, 724, 138183. [Google Scholar] [CrossRef]
- Tang, B.Z.; Meng, E.; Zhang, H.J.; Zhang, X.M.; Asgari, S.; Lin, Y.P.; Lin, Y.-Y.; Peng, Z.Q.; Qiao, T.; Zhang, X.F.; et al. Combination of label-free quantitative proteomics and transcriptomics reveals intraspecific venom variation between the two strains of Tetrastichus brontispae, a parasitoid of two invasive beetles. J. Proteom. 2019, 192, 37–53. [Google Scholar] [CrossRef]
- Perez-Riverol, Y.; Csordas, A.; Bai, J.; Bernal-Llinares, M.; Hewapathirana, S.; Kundu, D.J.; Inuganti, A.; Griss, J.; Mayer, G.; Eisenacher, M.; et al. The PRIDE database and related tools and resources in 2019: Improving support for quantification data. Nucleic Acids Res 2019, 47, D442–D450. [Google Scholar] [CrossRef] [PubMed]
- Schwanhäusser, B.; Busse, D.; Li, N.; Dittmar, G.; Schuchhardt, J.; Wolf, J.; Chen, W.; Selbach, M. Corrigendum: Global quantification of mammalian gene expression control. Nature 2013, 495, 126–127. [Google Scholar] [CrossRef] [PubMed]
- Chen, S.; Zhou, Y.; Chen, Y.; Gu, J. Fastp: An ultra-fast all-in-one FASTQ preprocessor. Bioinformatics 2018, 34, i884–i890. [Google Scholar] [CrossRef] [PubMed]
- Grabherr, M.G.; Haas, B.J.; Yassour, M.; Levin, J.Z.; Thompson, D.A.; Amit, I.; Adiconis, X.; Fan, L.; Raychowdhury, R.; Zeng, Q. Full-length transcriptome assembly from RNA-Seq data without a reference genome. Nat. Biotechnol. 2011, 29, 644–652. [Google Scholar] [CrossRef]
- Mortazavi, A.; Williams, B.A.; McCue, K.; Schaeffer, L.; Wold, B. Mapping and quantifying mammalian transcriptomes by RNA-Seq. Nat. Methods 2008, 5, 621–628. [Google Scholar] [CrossRef] [PubMed]
- Robinson, M.D.; McCarthy, D.J.; Smyth, G.K. edgeR: A Bioconductor package for differential expression analysis of digital gene expression data. Bioinformatics 2010, 26, 139–140. [Google Scholar] [CrossRef]
- Chen, Y.; Li, C.; Yi, J.; Yang, Y.; Gong, M. Transcriptome response to drought, rehydration and re-rehydration in potato. Int. J. Mol. Sci. 2019, 21, 159. [Google Scholar] [CrossRef]
- Ernst, J.; Bar-Joseph, Z. STEM: A tool for the analysis of short time series gene expression data. BMC Bioinform. 2006, 7, 191. [Google Scholar] [CrossRef]
- Yoo, M.J.; Ma, T.; Zhu, N.; Liu, L.; Harmon, A.C.; Wang, Q.; Chen, S. Genome-wide identification and homeolog-specific expression analysis of the SnRK2 genes in Brassica napus guard cells. Plant Mol. Biol. 2016, 91, 211–227. [Google Scholar] [CrossRef]
- Livak, K.J.; Schmittgen, T.D. Analysis of relative gene expression data using real-time quantitative PCR and the 2(-Delta Delta C(T)) Method. Methods 2001, 25, 402–408. [Google Scholar] [CrossRef]
- Tymms, M.J.; Gaff, D.F. Proline accumulation during water stress in resurrection plants. J. Exp. Bot. 1979, 30, 165–168. [Google Scholar] [CrossRef]
- Gechev, T.S.; Dinakar, C.; Benina, M.; Toneva, V.; Bartels, D. Molecular mechanisms of desiccation tolerance in resurrection plants. Cell. Mol. Life Sci. 2012, 69, 3175–3186. [Google Scholar] [CrossRef]
- Farrant, J.M. An overview of mechanisms of desiccation tolerance in selected angiosperm resurrection plants. In Plant Desiccation Tolerance; Blackwell: Danvers, MA, USA, 2007; Volume 1, pp. 72–84. [Google Scholar]
- Winchester, B. Role of alpha-D-mannosidases in the biosynthesis and catabolism of glycoproteins. Biochem. Soc. Trans. 1984, 12, 522–524. [Google Scholar] [CrossRef] [PubMed]
- Walters, C.; Farrant, J.M.; Pammenter, N.W.; Berjak, P.; Black, M.; Pritchard, H.W. Desiccation stress and damage. In Desiccation and Survival in Plants: Drying without Dying; CABI Publishing: New York, NY, USA, 2002; pp. 263–291. [Google Scholar]
- Osborne, D.J.; Boubriak, I.; Leprince, O.; Black, M.; Pritchard, H.W. Rehydration of dried systems: Membranes and the nuclear genome. In Desiccation and Survival in Plants: Drying without Dying; CABI: Wallingford, UK, 2002; p. 343. [Google Scholar]
- Smirnoff, N. The carbohydrates of bryophytes in relation to desiccation tolerance. J. Bryol. 1992, 17, 185–191. [Google Scholar] [CrossRef]
- Bewley, J.D.; Reynolds, T.L.; Oliver, M.J. Evolving strategies in the adaptation to desiccation. Curr. Top. Plant Physiol. 1993, 10, 193–201. [Google Scholar]
- Alamillo, J.M.; Bartels, D. Effects of desiccation on photosynthesis pigments and the ELIP-like dsp 22 protein complexes in the resurrection plant Craterostigma plantagineum. Plant Sci. 2001, 160, 1161–1170. [Google Scholar] [CrossRef]
- Haghighi, M.; Saadat, S.; Abbey, L. Effect of exogenous amino acids application on growth and nutritional value of cabbage under drought stress. Sci. Hortic. 2020, 272, 109561. [Google Scholar] [CrossRef]
- Alcázar, R.; Bitrián, M.; Bartels, D.; Koncz, C.; Altabella, T.; Tiburcio, A.F. Polyamine metabolic canalization in response to drought stress in Arabidopsis and the resurrection plant Craterostigma plantagineum. Plant Signal. Behav. 2011, 6, 243–250. [Google Scholar] [CrossRef] [PubMed]
- Depuydt, S.; Hardtke, C.S. Hormone signalling crosstalk in plant growth regulation. Curr. Biol. 2011, 21, R365–R373. [Google Scholar] [CrossRef]
- Krishna, P.; Prasad, B.D.; Rahman, T. Brassinosteroid action in plant abiotic stress tolerance. In Brassinosteroids; Humana Press: New York, NY, USA, 2017; Volume 1564, pp. 193–202. [Google Scholar]
- Raschke, K.; Firn, R.D.; Pierce, M. Stomatal closure in response to xanthoxin and abscisic acid. Planta 1975, 125, 149–160. [Google Scholar] [CrossRef] [PubMed]
- Norwood, M.; Truesdale, M.R.; Richter, A.; Scott, P. Photosynthetic carbohydrate metabolism in the resurrection plant Craterostigma plantagineum. J. Exp. Bot. 2000, 51, 159–165. [Google Scholar] [CrossRef]
- Drennan, P.M.; Smith, M.T.; Goldsworthy, D.; Van Staden, J. The occurrence of trehalose in the leaves of the desiccation-tolerant angiosperm Myrothamnus flabellifolius welw. J. Plant Physiol. 1993, 142, 493–496. [Google Scholar] [CrossRef]
- Zunaira, A.; Howton, T.C.; Sun, Y.; Mukhtar, M.S. The roles of aquaporins in plant stress responses. J. Dev. Biol. 2016, 4, 9. [Google Scholar]
- Ayinke, A.; Morakinyo, M.; Olalekan, I.; Philip, T.; Oluokun, O. In vitro evaluation of membrane stabilizing potential of selected bryophyte species. Eur. J. Med. Plants 2015, 6, 181–190. [Google Scholar] [CrossRef]
- Anterola, A.; Shanle, E.; Mansouri, K.; Schuette, S.; Renzaglia, K. Gibberellin precursor is involved in spore germination in the moss Physcomitrella patens. Planta 2009, 229, 1003–1007. [Google Scholar] [CrossRef]
- Hayashi, K.-I.; Horie, K.; Hiwatashi, Y.; Kawaide, H.; Yamaguchi, S.; Hanada, A.; Nakashima, T.; Nakajima, M.; Mander, L.N.; Yamane, H. Endogenous diterpenes derived from ent-kaurene, a common gibberellin precursor, regulate protonema differentiation of the moss Physcomitrella patens. Plant Physiol. 2010, 153, 1085–1097. [Google Scholar] [CrossRef]
- Tuba, Z.; Csintalan, Z.; Proctor, M.C.F. Photosynthetic responses of a moss, Tortula ruralis, ssp. ruralis, and the lichens Cladonia convoluta and C. furcata to water deficit and short periods of desiccation, and their ecophysiological significance: A baseline study at present-day CO2 concentration. New Phytol. 1996, 133, 353–361. [Google Scholar] [PubMed]
- Havaux, M. Carotenoid oxidation products as stress signals in plants. Plant J. 2013, 79, 597–606. [Google Scholar] [CrossRef] [PubMed]







Disclaimer/Publisher’s Note: The statements, opinions and data contained in all publications are solely those of the individual author(s) and contributor(s) and not of MDPI and/or the editor(s). MDPI and/or the editor(s) disclaim responsibility for any injury to people or property resulting from any ideas, methods, instructions or products referred to in the content. |
© 2023 by the authors. Licensee MDPI, Basel, Switzerland. This article is an open access article distributed under the terms and conditions of the Creative Commons Attribution (CC BY) license (https://creativecommons.org/licenses/by/4.0/).
Share and Cite
Peng, Y.; Ma, T.; Wang, X.; Zhang, M.; Xu, Y.; Wei, J.; Sha, W.; Li, J. Proteomic and Transcriptomic Responses of the Desiccation-Tolerant Moss Racomitrium canescens in the Rapid Rehydration Processes. Genes 2023, 14, 390. https://doi.org/10.3390/genes14020390
Peng Y, Ma T, Wang X, Zhang M, Xu Y, Wei J, Sha W, Li J. Proteomic and Transcriptomic Responses of the Desiccation-Tolerant Moss Racomitrium canescens in the Rapid Rehydration Processes. Genes. 2023; 14(2):390. https://doi.org/10.3390/genes14020390
Chicago/Turabian StylePeng, Yifang, Tianyi Ma, Xin Wang, Meijuan Zhang, Yingxu Xu, Jie Wei, Wei Sha, and Jing Li. 2023. "Proteomic and Transcriptomic Responses of the Desiccation-Tolerant Moss Racomitrium canescens in the Rapid Rehydration Processes" Genes 14, no. 2: 390. https://doi.org/10.3390/genes14020390
APA StylePeng, Y., Ma, T., Wang, X., Zhang, M., Xu, Y., Wei, J., Sha, W., & Li, J. (2023). Proteomic and Transcriptomic Responses of the Desiccation-Tolerant Moss Racomitrium canescens in the Rapid Rehydration Processes. Genes, 14(2), 390. https://doi.org/10.3390/genes14020390
