Abstract
The WRKY gene family is a key transcription factor family for plant development and the stress response. However, few studies have investigated the WRKY gene family in Chinese rose (Rosa chinensis). In this study, 68 RcWRKY genes were identified from the Chinese rose genome and classified into three primary groups and five subgroups based on the structural and phylogenetic characteristics. The analysis of the conserved domains, motifs, and gene structure revealed that the RcWRKY genes within the same group had the same exon–intron organization and composition. Chromosome mapping and gene duplication revealed that the RcWRKY genes were randomly dispersed across seven chromosomes. Fragment duplication and refined selection may have influenced the evolution of the WRKY gene family in Chinese rose. The cis-acting elements in the WRKY promoter region revealed that the RcWRKY genes contained numerous abiotic stress response elements. The results of qRT-PCR revealed that the expression of RcWRKY was tissue-specific, with high expression being observed under drought, heat, and salt stress. Notably, RcWRKY49′s expression increased more than fivefold following salt stress, indicating that it is a crucial gene mediating the salt stress response of Chinese rose. These findings shed light on the regulatory role of RcWRKY in the growth and development of Chinese rose, and they serve as a foundation for future molecular breeding programs and gene discovery.
1. Introduction
Transcription factors (TFs) are crucial for plant growth and the stress response as they interact with cis-acting elements to regulate the transcription of downstream target genes. Since the discovery of the WRKY gene SPF1 in sweet potato in 1994, researchers have identified the corresponding WRKY genes [1,2,3,4,5] from the three-flowered maple (Acer triflorum), chrysanthemum (Dendranthema morifolium), flax (Linum usitatissimum), and corn (Zea mays). Sixty to seventy amino acids constitute the WRKY family members’ conserved domain, which also includes a zinc finger structure (C2H2 or C2HC) and a highly conserved heptabenzo ring sequence (WRKYGQK) [6]. Based on the number of conserved domains and the type of zinc finger structure, the WRKY gene family members can be divided into three groups: I, II, and III. Group II is further divided into five subgroups: IIa, IIb, IIc, IId, and IIe [7,8]. Group I members have two conserved WRKY domains, while group II and III members have only one conserved WRKY domain. Group I and II members have a C-X4-5C-X23-24-H-X1-H (C2H2) zinc finger structure, while group III members have a C-X5-7-C-X23-38-H-X1-C (C2HC) zinc finger structure.
WRKY TFs can explicitly bind to the cis-acting elements in the promoter regions of target genes to regulate the expression of downstream genes and enhance plants’ resistance to low-temperature, drought, and salt stress, as well as pathogenic bacteria [7,8]. Although GhWRKY21 has a negative regulatory effect on cotton (Gossypium hirsutum) under drought stress, inhibiting GhWRKY21 expression can improve drought tolerance in cotton [9]. The overexpression of MaWRKY80 in wild banana (Musa acuminata) improves the phenotypic traits, enhances drought tolerance, reduces the water loss rate, and reduces the reactive oxygen species levels in the leaves of transgenic MaWRKY80 when compared to wild-type Arabidopsis thaliana under drought stress [10]. Through the mediation of jasmonic acid (JA) and salicylic acid (SA) signaling, AtWRKY11 and AtWRKY70 can enhance plants’ resistance to Bacillus. The overexpression of AtWRKY11 and AtWRKY70 can enhance A. thaliana’s tolerance to drought stress, as well as enhancing seed germination and root development [11,12]. Sorghum (Sorghum bicolor) WRKY TF SbWRKY30 is predominantly expressed in the leaves and roots and is induced under drought stress. The drought tolerance of maize can be increased by ZmWRKY79 through the abscisic corrosive (ABA) biosynthetic pathway [13]. The expression level of ClWRKY20 increases under saltiness, drought, ABA, and SA treatments. During seed germination, ClWRKY20 overexpression increases the sensitivity of transgenic A. thaliana to ABA at low temperatures and in salinity [14]. In addition, WRKY, which is associated with drought stress, has been identified in other crops, which demonstrates the importance of the WRKY genes in regulating responses and adaptation to drought stress [15,16,17,18].
Chinese rose (R. chinensis) is an evergreen or semi-evergreen low shrub of the Rosaceae family. In China, the plant species is largely distributed in mountainous areas in Hubei, Sichuan, and Gansu Provinces. Chinese rose has high adaptability and drought tolerance; however, the species thrives in microstrip acidic sandy loam soils with rich organic matter and good drainage. Chinese rose, which is native to China, prefers sunny, warm, and humid climates [19,20]. Furthermore, Chinese rose is a valuable gene resource for the resistance breeding of Rosaceae because of its superior biological characteristics, such as cold resistance, drought resistance, salt and alkali tolerance, and other key traits, such as yellow flowers with purple and red spots, leaves without stipules, and a well-developed root system. The effect of exogenous calcium on Chinese rose exposed to salt stress has been investigated [21]. However, the resistance capacity and diversity of Chinese rose at a molecular level have not been studied. The Chinese rose genome has been sequenced and assembled at the chromosomal level. Whole-genome and gene annotation files of the Chinese rose genome are publicly available in the Ensembl Plants database (http://plants.ensembl.org/Rosa_chinensis/Info/Index, accessed on 1 April 2024) [1]. In this study, the WRKY gene family in the Chinese rose genome was identified using bioinformatics, and their phylogenetic relationships, physicochemical properties, gene mapping, and collinearity were analyzed. Sixty-eight cis-acting genes in the WRKY promoter region were screened and their expression levels under different types of stress and plant tissue were analyzed. Furthermore, some potentially interacting WRKY proteins were predicted. This study forms a basis for further research on the potential mechanisms underlying the responses of WRKY genes to stress in Chinese rose and the identification of candidate genes for stress resistance.
2. Results
2.1. Identification and Chromosomal Localization of WRKY Genes in Chinese Rose
To identify all members of the histone family in Chinese rose, 72 Arabidopsis AtWRKY protein sequences with moderate phylogenetic relationships with roses were used as seed sequences to search the whole-genome protein sequences of Chinese rose using BLASTP. The hidden Markov model (HMM) file of the histone domain (PF03106) was downloaded from the Pfam protein family database. All protein sequences were aligned with these HMMs using TBtools. Incomplete and candidate sequences without corresponding domains were excluded, according to the Pfam, SMART, and CDD databases. A total of 68 RcWRKY genes were identified from the Chinese rose genome (Table S1). The genes were named RcWRKY1–RcWRKY68 based on their positions on the seven chromosomes of Chinese rose.
RcWRKY’s sequence length ranged from 78 to 1574 amino acids. The isoelectric point (pI) values ranged from 4.87 to 9.85. The molecular weights ranged from 13629.17 kDa to 178605.88 kDa. The RcWRKY protein was primarily located in the nucleus, with the exception of RcWRKY4, which was located in the peroxisome. RcWRKY15, RcWRKY50, RcWRKY10, RcWRKY65, RcWRKY8, RcWRKY26, and RcWRKY47 were located in the cytoplasm.
The results showed that the 68 RcWRKY genes were unevenly distributed on seven chromosomes in Chinese rose, and most were in high-gene-density positions (Figure S1). Among them, chromosomes chr1 and chr2 had the highest numbers of RcWRKY genes (12), although they were not the longest chromosomes. Chromosomes chr4 and chr6 had the lowest numbers of RcWRKY genes (6). Gene aggregation was observed on chr1, chr3, chr4, chr5, chr6, and chr7. The uneven distribution of the genes could be the result of the uneven replication of chromosome fragments in Chinese rose.
2.2. Phylogenetic Analysis of WRKY Genes in Chinese Rose
A phylogenetic tree of the WRKY protein sequence in Chinese rose and A. thaliana (reference gene) is illustrated in Figure 1. The RcWRKY proteins were divided into three groups (I–III). Based on the AtWRKY gene family members, group I had the most members (42 members), group II had 20 members, and group III had the least members (six members).
Figure 1.
Phylogenetic analysis of Chinese rose and Arabidopsis WRKY proteins. An unrooted neighbor-joining (NJ) phylogenetic tree was constructed with the WRKY domains of the WRKY proteins from Chinese rose and Arabidopsis using MEGA7.0 with a bootstrap of 1000. Three major groups are indicated: I, II, and III. Subgroups are represented by different colored areas.
2.3. Motifs, Domains, and Gene Structures of WRKY Genes in Chinese Rose
The motifs, domains, and gene structures of the RcWRKY genes revealed the evolution of the WRKY gene family in Chinese rose. According to the constructed simplified phylogenetic tree, 68 RcWRKY proteins were divided into three groups (Figure 2A). All genes identified had 1–8 introns. In addition, genes within the same branch of the phylogenetic tree had a similar structure and their coding sequences (CDS) had similar numbers of introns. The position and length of the introns in the groups did not vary significantly, but significant variations were observed between groups.
Figure 2.
Phylogenetic tree, motif, domain, and gene structure of RcWRKY in Chinese rose: (A) phylogenetic tree of RcWRKY protein; (B) motif composition of RcWRKY; (C) domain composition of RcWRKY; and (D) gene structure of RcWRKY gene in Chinese rose. The phylogenetic tree was constructed from the RcWRKY protein sequences using the MEGA 7.0 software with the neighbor-joining method. The conserved motifs and domains of the RcWRKY proteins were analyzed using the MEME tool. The structures of all 68 RcWRKY genes were obtained by the TBtools software.
The analysis of the structural characteristics of the RcWRKY proteins revealed that 10 conserved motifs contained 21–50 amino acids (Figure 2B). Most RcWRKY protein family members within the same group or subgroup had comparative conservative motifs, although slight differences were observed between the groups. Members of the same group or subgroup had a particular conservative motif. For instance, motif 3 only existed in group I members, and motifs 5 and 9 only existed in group II and III members. Based on these findings, it appears that gene evolution and function depend on the conserved motifs. In addition, almost all members of the RcWRKY family consisted of a WRKYGQK heptapeptide sequence (motif 1), indicating that WRKYGQK is the key conserved motif of the RcWRKY gene family.
A domain can be formed by several motifs. A protein molecule transcribed by a gene can contain multiple structurally specific and functionally different regions, which are called domains. The conserved domain names detected were the WRKYRPW8 superfamily, zf-CCCHAAAPLN03210 superfamily, TIRPlan-zn-clustWRKY superfamily, and C-JIDPRK13923 superfamily (Figure 2C).
Based on the results of gene annotation, the exon–intron coding sequence structure of the RcWRKY gene is as shown in Figure 2D. The results showed that most of the RcWRKY gene family members had 1–8 exons, except for a few members without untranslated regions (RcWRKY47, RcWRKY4, RcWRKY60, RcWRKY15, RcWRKY17, RcWRKY11, RcWRKY53, RcWRKY58, RcWRKY40, RcWRKY23, RcWRKY64, and RcWRKY32). Most of the RcWRKY genes contained two exons (three introns), accounting for 32.35% (22/68) of all RcWRKY genes. RcWRKY members within the same group or subgroup had similar gene structures and high conservation, which suggests functional similarities among the members.
2.4. Cis-Acting Elements of the WRKY Gene Family in Chinese Rose
The 2000 bp promoter sequence of the RcWRKY gene was extracted and its cis-elements were analyzed using the PlantCARE database to investigate the likely function of the RcWRKY gene in the abiotic stress response (Figure 3). A total of 31 cis-acting elements related to plant hormones and stress responses were identified in the promoter region of the RcWRKY gene, including light-, stress-, and growth and development-related response elements. The cis-acting elements related to the stress response included drought stress-, injury-, and hypoxia stress-related response elements. RcWRKYs, RcWRKY5, RcWRKY14, RcWRKY16, RcWRKY28, RcWRKY39, RcWRKY49, RcWRKY56, and RcWRKY62 had the most cis-acting elements related to the stress response.
Figure 3.
Distribution of cis-acting elements in the promoter region of the WRKY gene in Chinese rose.
2.5. Collinearity Analysis of WRKY Genes in Chinese Rose
A total of 23 pairs of replicated genes were identified in the RcWRKY gene family (Figure 4 and Table 1). The 23 pairs of genes were defined as intrasegment and interchromosomal replications. Nine of the RcWRKY genes underwent multiple replications (RcWRKY40, RcWRKY41, RcWRKY45, RcWRKY37, RcWRKY24, RcWRKY23, RcWRKY3, RcWRKY58, and RcWRKY60). The nonsynonymous (KA) and synonymous (KS) substitution rates and KA/KS ratios demonstrating the evolution of the RcWRKY protein coding sequences are presented in Table 1. The KA/KS ratios of 19 replicated genes were less than one, indicating that the genes mainly underwent purified selection.
Figure 4.
Collinear analysis of WRKY genes in Chinese rose; colored lines represent duplicated gene pairs in RcWRKY and gray lines represent collinear gene pairs in the genome.
Table 1.
Intrasegment replication of WRKY homologous pairs in Chinese rose.
2.6. Collinearity Analysis of WRKY Genes in Chinese Rose and Other Species
The genome comparisons and collinearity analysis of the WRKY genes in four typical plant species (A. thaliana, Ipomoea triloba L., Papaver somniferum L., Prunus persica L.) and Chinese rose revealed 57, 95, 67, and 91 pairs of repeats between Chinese rose and A. thaliana, Ipomoea triloba L., P. somniferum L., and P. persica L., respectively (Figure 5). Several collinearities were detected between Chinese rose and plant species in the Convolvulaceae and Rosaceae families, suggesting that they are closely related.
Figure 5.
Collinearity analysis of WRKY genes in in Chinese rose and four representative plants. All RcWRKY homologous genes in R. chinensis, Arabidopsis thaliana, Ipomoea triloba, Prunus persica, and Prunus persica are denoted by red lines. Collinear blocks of Chinese rose and other species are shown as gray lines.
2.7. Protein–Protein Interaction Network Analysis of WRKY Genes in Chinese Rose
The protein–protein interaction network analysis showed that the RcWRKY proteins with high sequence similarity to AtWRKY40 (RcWRKY54), AtWRK33 (RcWRKY29), AtWRKY18 (RcWRKY54), and AtWRKY70 (RcWRKY61) were the core nodes of the protein–protein interaction network. The rest of the RcWRKY proteins had strong or weak interactions with RcWRKY54, RcWRKY29, RcWRKY54, and RcWRKY61 (Figure 6).
Figure 6.
Chinese rose WRKY protein interaction network. The network was visualized using the Cytoscape software. The blue ball (node) represents the RcWRKY gene. Connecting lines indicate potential regulatory relationships. Text shows predicted gene names.
2.8. Expression Patterns of WRKY Genes in Different Tissue Types of Chinese Rose under Drought, Heat, and Salt Stress
The expression levels of the RcWRKY genes in the roots, stems, and flowers were determined. The results showed that the expression levels of eight RcWRKY genes varied, suggesting that they perform different functions in plant development. The expression levels of RcWRKY5 in the stems were the highest; the expression levels of RcWRKY14, RcWRKY16, RcWRKY39, and RcWRKY49 in the roots were the highest; the expression levels of RcWRKY14, RcWRKY39, and RcWRKY49 in the flowers were the lowest; the expression level of RcWRKY16 in the leaves was the lowest; and the expression levels of other members were not significant (Figure 7).
Figure 7.
Relative expression levels of the WRKY gene in Chinese rose in different tissue types. Rcactin is quantified as an internal control. X-axes represent various treatments (0 h, normal conditions; 3 h, 9 h, and 24 h indicate hours of stress treatment), and y-axes are scales of relative expression levels. Data represent means ± SEs of three reproducible experiments. Bars with lowercase letters above the columns indicate significant differences between the four development periods at p < 0.05 (Tukey’s test).
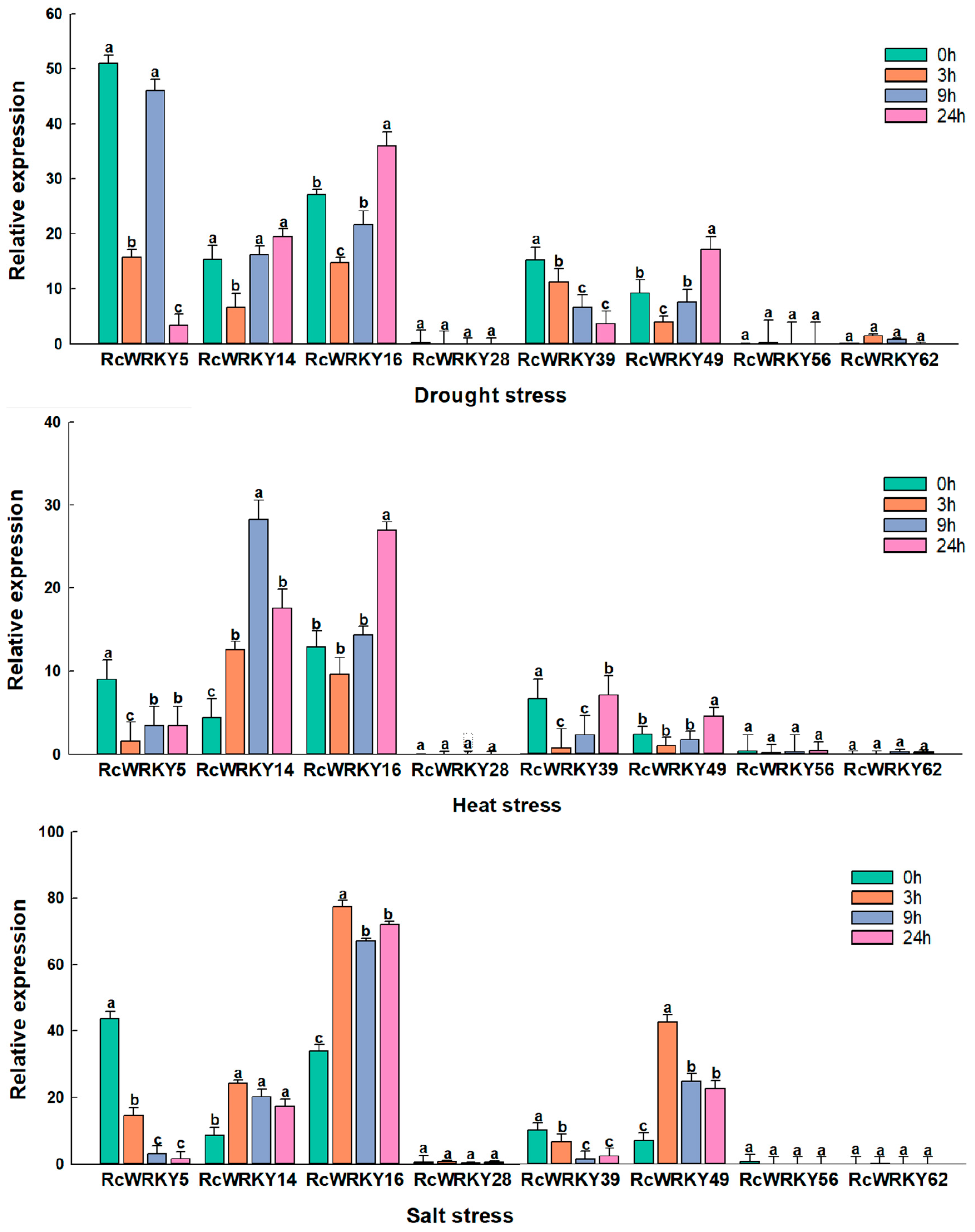
The analysis of the expression of the RcWRKY genes under abiotic stress revealed that RcWRKY5, RcWRKY14, RcWRKY16, and RcWRKY49 were expressed after 3 h of drought stress treatment, although their expression levels increased gradually with an increase in the treatment time. Similarly, the expression level of RcWRKY39 increased with an increase in the treatment time. The expression levels of other members were not significant. RcWRKY14 was significantly expressed after 9 h of exposure to heat stress, while RcWRKY16, RcWRKY39, and RcWRKY49 were significantly expressed after 24 h of heat stress treatment. The expression of RcWRKY5 and other members did not vary significantly with the prolongation of the treatment time. RcWRKY14, RcWRKY16, and RcWRKY49 were significantly expressed after 3 h of salt stress treatment. No significant differences were observed in the expression of RcWRKY5 and RcWRKY39 with the prolongation of the treatment time. In general, the expression of RcWRKY5, RcWRKY14, RcWRKY16, RcWRKY39, and RcWRKY49 was induced in Chinese rose under drought, heat, and salt stress conditions. RcWRKY exhibited a strong response to salt, drought, and heat stress. The expression level of RcWRKY49 increased more than fivefold after exposure to salt stress, suggesting that RcWRKY49 is a key gene associated with the response to salt stress (Figure 8).
Figure 8.
Relative expression levels of the WRKY gene in Chinese rose under drought, heat, and salt treatment. Rcactin is quantified as an internal control. X-axes represent various treatments (0 h, normal conditions; 3 h, 9 h, and 24 h indicate hours of stress treatment), and y-axes are scales of relative expression levels. Data represent means ± SEs of three reproducible experiments. Bars with lowercase letters above the columns indicate significant differences between the four development periods at p < 0.05 (Tukey’s test).
3. Materials and Methods
3.1. Genome-Wide Identification and Analysis of Physicochemical Properties of Chinese Rose WRKY Gene Family
The whole-genome and gene annotation files of the Chinese rose genome were obtained from the Ensembl Plants database (http://plants.ensembl.org/Rosa_chinensis/Info/Index, accessed on 1 April 2024) [1]. The identification of the WRKY gene family in Chinese rose was performed as follows. First, the full-length amino acid sequences of AtWRKY4 (AT1G13960.1) in A. thaliana (http://www.arabidopsis.org/, accessed on 1 April 2024) were used as query sequences. The protein sequences were used as a template, while the protein sequences of the WRKY gene family in Chinese rose were preliminarily screened using BLAST in TBtools (v2.085), and an E-value of e−6 was used as the threshold [1]. Thereafter, the hidden Markov model (HMM) file of the WRKY domain (PF03106) was downloaded from the Pfam protein family database (http://pfam.sanger.ac.uk/, accessed on 1 April 2024) and the WRKY genes in the Chinese rose genome database were identified using TBtools [5]. Subsequently, the Pfam (http://pfam.xfam.org/search # tabview=Table 1, accessed on 1 April 2024), SMART (http://art.embl.de/, accessed on 1 April 2024), and NCBI CDD (https://www.ncbi.nlm.nih.gov/cdd/, accessed on 1 April 2024) databases were used to verify whether the RcWRKY proteins had a conserved WRKY domain. Candidate protein sequences without conserved domains were deleted. The physicochemical properties of the RcWRKY proteins, including the molecular weight, isoelectric point, and hydrophilicity, were analyzed using TBtools, with the parameters set to the default values. WoLF PSORT (https://wolfpsort.hgc.jp/, accessed on 1 April 2024) was used to predict the subcellular localization of the RcWRKY gene family members [22].
3.2. Phylogenetic Analysis and Chromosome Mapping of the WRKY Gene Family in Chinese Rose
The whole genome, protein sequences, and annotation file of the WRKY gene family were downloaded from the Arabidopsis Information Resource (TAIR) database (https://www.arabidopsis.org/, accessed on 1 April 2024) [23]. Multisequence alignment of the AtWRKY gene family proteins in Chinese rose and A. thaliana was carried out using DNAMAN 9.0. A phylogenetic tree was constructed based on the nearest neighbor-joining (NJ) method using MEGA 7.0, and 1000 bootstrap repetitions were performed. A staining map of the RcWRKY gene family was generated using TBtools based on the gene annotation file of the Chinese rose genome [24].
3.3. Gene Structure, Promoter, and Collinearity Analysis of WRKY Gene Family in Chinese Rose
The intron and exon features of the RcWRKY genes were analyzed using TBtools based on the gene annotation information [25]. The conserved motifs of the RcWRKY proteins were identified using MEME (http://meme.sdsc.edu/meme/, accessed on 3 April 2024) [26]. Peptide sequences for the RcWRKY proteins were searched using Phytozome 13.0, and the conserved domains in the protein structure were identified using the NCBI CDD database. Motif widths of up to 10 motifs and 6–150 amino acid residues, as well as the gene structure, conserved domains, and motifs, were visualized using TBtools based on arbitrary repetition. Promoter sequences of up to 2000 base pairs in the upstream CDS regions of the RcWRKY genes and cis-acting elements were obtained using TBtools [27]. The light-responsive elements of the RcWRKY genes were predicted using the PlantCARE database (http://bioinformatics.psb.ugent.be/webtools/plancare/html/, accessed on 6 April 2024). The collinearity data of the RcWRKY genes were obtained using MCScanX, and fragment and tandem gene replications were identified based on the Chinese rose genome data [28]. The following criteria were used to determine gene duplication events: assuming that two genes were located in the same chromosome region and were adjacent or separated by one gene, the genes were considered to be tandem replications [29]. TBtools was used to calculate the KA, KS, and KA/KS values of the RcWRKY genes.
3.4. Protein–Protein Interaction Network Analysis of WRKY Genes in Chinese Rose
The RcWRKY protein–protein association network was built using the Search Tool for the Retrieval of Interacting Genes/Proteins (STRING; https://string-db.org/, accessed on 10 April 2024) database, with the Arabidopsis WRKY protein as a template. Five interactions were identified based on the protein–protein interaction score (≥0.700) [30]. A strong interaction was indicated by a thick line between the interaction network targets. Cytoscape (v3.10.0) was used to import the results and visualize the protein–protein interaction networks [31].
3.5. Plant Material, Stress Treatments, and Tissue Collection
In this study, the Chinese rose cultivar “R. chinensis Jacq.” was cultivated under an ambient temperature of 25 °C and 16 h/8 h light/dark conditions for 14 days. Samples (0.2 g) were collected from the roots, stems, leaves, and petals of the Chinese rose plants. The samples were immediately frozen in liquid nitrogen and stored at −80 °C until RNA extraction.
For the drought, heat, and salt stress treatments, Chinese rose cuttings of uniform size were soaked in quarter-strength Hoagland’s solution and 20% (w/v) polyethylene glycol (PEG) 6000 solution (pH 6.5). The plants were divided into four groups: (1) plants treated with quarter-strength Hoagland’s solution (CK); (2) plants treated with 20% PEG 6000; (3) plants treated with quarter-strength Hoagland’s solution and incubated under light and heat (42 °C) conditions; (4) plants treated with quarter-strength Hoagland’s solution and 200 mmol/L NaCl. Samples of leaves (the first leaf under the flower) were collected at 0, 3, 9, and 24 h after exposure to the stress treatments. Afterward, the samples were immediately frozen in liquid nitrogen and stored in a refrigerator at −80 °C until RNA extraction. Three repetitions per treatment were used for analysis.
3.6. Analysis of WRKY Gene Expression in Chinese Rose under Drought Stress by qRT-PCR
RNA was extracted using the TRIzol reagent according to the methods described by Yin et al. (2008) [32] and Chi et al. (2021) [33]. Reverse transcription was performed using the RevertAid First-Strand cDNA Synthesis Kit (K1622; Thermo Fisher Scientific, Waltham, MA, USA), according to the manufacturer’s instructions. The first-strand cDNA obtained by reverse transcription was packaged and stored at −80 °C until analysis. The sequences were extracted based on the whole-genome sequence of Chinese rose. The specific primers were designed with Primer 5.0 (Table S2). The primers were synthesized by the Kunming Branch of Beijing Qingke Biological Co., Ltd. (Kunming, China). The reaction system consisted of Hieff qPCR SYBR Green Master Mix (Shanghai Yisheng Biotechnology Co., Ltd., Shanghai, China), 10 µL; positive and negative primers, 0.4 µL each; template DNA, 2 µL; and sterile ultrapure water, 7.2 µL. The amplification procedure consisted of 95 °C pre-denaturation for 5 min, 95 °C denaturation for 10 s, 60 °C annealing for 30 s, and extension at 72 °C for 30 s and 40 cycles. The qPCR analysis was performed with Rcactin as the internal reference gene. The relative gene expression was calculated using the 2−∆∆CT method.
4. Discussion
The WRKY TF family is a type of plant-specific supergene family that plays a key role in plant growth and development, as well as biotic and abiotic stress. The numbers and types of WRKY genes in different plant species vary. For example, there are 74 WRKY genes in A. thaliana, 103 in rice (Oryza sativa), 64 in strawberry (Fragaria vesca), 54 in maple (A. triflorum), 138 in citrus (Citrus reticulata), 102 in flax (L. usitatissimum), and 125 in corn (Z. mays). These variations could be associated with the genetic background as well as the growth and evolutionary histories of plant species [34]. In this study, 68 RcWRKY genes distributed on seven chromosomes were identified from the Chinese rose genome. In addition, several genes were clustered in the same chromosome segment to form a gene cluster, indicating that these genes share biological functions due to the fact that they are regulated and co-expressed together. The WRKY gene family members can be divided into three groups, groups I, II, and III, based on the number of conserved domains and the type of zinc finger structure. Group II is further divided into five subgroups: IIa, IIb, IIc, IId, and IIe [6]. Sixty-eight RcWRKY genes were divided into three major groups and five subgroups in this study, which was consistent with previous findings. Group I consisted of 42 WRKY proteins, indicating that the group could be the main driving force for the expansion of the WRKY gene family. Group III consisted of only six WRKY proteins, which could be due to its shorter evolutionary history compared to the other groups [35].
Gene structures can provide essential information for an understanding of the evolution of a gene family. The WRKY gene structures in different plant species vary [36]. Variations in the number and distribution of exons and introns of the WRKY genes in different plant species have also been observed. For example, the MdWRKY gene in apple (Malus domestica) is highly conserved in structure and most of the genes consist of 2–5 exons [37]. Most CtWRKY genes in safflower (Carthamus tinctorius) consist of four exons (two introns) [38]. Most RcWRKY genes identified in this study consisted of two exons (three introns). The difference could be associated with the genetic background, evolution, and adaptability of the species. For example, the WRKY genes of some plant species may have more exons to encode more complex protein structures that enhance their adaptation to complex changes. In other plant species, the WRKY genes have fewer introns to enhance the efficiency of gene expression due to the complexity of transcription and splicing [39]. As key regulators of plant gene expression, WRKY TFs usually have a typical gene structure that includes exons and introns. However, a few members of the WRKY gene family in Chinese rose have no exons, which is consistent with observations of the WRKY gene family in safflower [38]. The possible reasons for these observations are as follows. First, exons may be atypical gene structures. Although most WRKY genes have a typical exon–intron structure, some types of WRKY genes have structures that differ from those of conventional WRKY genes. However, this does not imply that such genes have no exons; their structures may have been altered to a certain extent. Second, the observations could be attributed to unique evolutionary mechanisms. In some cases, gene structures can be altered through unique evolutionary mechanisms, such as intron loss [40].
The gene replication events of the WRKY family are important in the evolution of plant genomes because they lead to diversity among the members and functions of the WRKY family. The gene replication events of the WRKY family have characteristics that are specific to different plant species. For example, 89 WRKY genes have been identified in pea (Pisum sativum) and these genes have been shown to be randomly distributed on chromosomes, with nine pairs of tandem repeats and 19 pairs of segment repeats [41]. A total of 68 CtWRKY genes have been identified among the CtWRKY TF genes, including five tandem-replicated gene pairs and 34 fragment-replicated gene pairs, which collectively constitute 82.93% of the WRKY family members in CtWRKY. These replication events are crucial for the evolution of the WRKY gene family in safflower [38]. In this study, 23 fragmented and duplicated gene pairs were identified among the RcWRKY TF genes, including 46 RcWRKY genes, which accounted for 67.65% of the WRKY family members in Chinese rose. This finding suggests that the fragment duplication events of the WRKY gene family are key factors influencing evolution in Chinese rose when compared to pea and safflower. Chinese rose is a diploid; therefore, the WRKY genes are not only subgenomic homologous pairs. These events are of great significance for plants’ adaptation to complex and challenging environmental conditions based on the number and functional diversity of genes. Replication events not only increase the number of WRKY genes, but also produce WRKY genes with novel functions or optimize existing functions through subsequent mutation and selection. Gene replication is also closely associated with the evolutionary processes and adaptive mechanisms of plants [42]. For example, the WRKY gene can produce more members with specific response functions through replication and differentiation in plant responses to biotic and abiotic stress. These members are associated with different transduction pathways that regulate plant growth and development and defense responses, thereby improving plants’ adaptability and viability [43]. Notably, not all replicated genes can be preserved, although the replication of the WRKY gene family results in diversity in its members and functions. Some replicated genes may be eliminated due to functional redundancies or harmful mutations, while others may be retained by natural selection to perform new functions. Therefore, multiple factors, including the occurrence, retention mechanism, and functional changes associated with WRKY gene replication events, should be taken into consideration when studying the gene replication events of the WRKY family. Overall, the gene replication events of the WRKY gene family are an important component of the plant genome’s evolution [44]. However, the specific mechanisms and influence of WRKY gene family replication require further research.
Concerning the interactions of WRKY proteins in other species, the potential gene-regulatory function of the RcWRKY protein and its relationship with biological functions can be predicted. In this study, protein–protein interaction network analysis uncovered that three RcWRKY proteins (RcWRKY54, RcWRKY29, and RcWRKY61) had high sequence similarity to AtWRKY40, AtWRKY33, AtWRKY18, and AtWRKY70; these proteins were distinguished as core nodes in the interaction network. These proteins interact with other proteins to varying degrees. AtWRKY40 can form a dimer with AtWRKY18 or AtWRKY60 to regulate osmotic adjustment, increase plant pathogen resistance, boost the antioxidant capacity, and improve drought tolerance [45]. AtWRKY33 can render A. thaliana more resistant to low temperatures, salt stress, and pathogenic fungi [46,47]. In A. thaliana, AtWRKY53 regulates drought tolerance by modulating stomatal movement; this is accomplished by either decreasing the hydrogen peroxide content or increasing starch synthesis [48,49]. Homologous proteins with similar domains and sequences in different species may have the same functions. Therefore, RcWRKY54, RcWRKY29, and RcWRKY61, in addition to other proteins, could be involved in the transcriptional regulation of the stress response in Chinese rose. Overall, the strong and weak interactions observed between the RcWRKY proteins suggest that the proteins are co-expressed and they regulate the resistance of Chinese rose to biotic and abiotic stress.
Cis-acting elements are crucial “switches” for the regulation of gene expression in plants. Numerous abiotic stress-responsive cis-acting elements have been identified in the promoter regions of the WRKY gene family in several plant species, indicating that the WRKY genes regulate the transcriptional response to abiotic stress in most plants [25]. In this study, 31 cis-acting elements related to the plant stress response were identified in the promoter regions of the RcWRKY genes. The 31 response elements included light-, stress-, and plant growth and development-related response elements. The cis-acting elements related to the stress response included drought stress, injury, and hypoxia stress response elements. Previous studies have shown that WRKY TFs regulate the responses to abiotic stress by binding to transcriptional regulatory elements related to stress. For example, the ZmWRKY65 gene in maize can be transcriptionally activated by a variety of factors, including drought-, salinity-, heat-, and plant defense-related hormones, such as SA and ABA, to improve its resilience against abiotic stress [50]. The expression of the McWRKY57 gene is induced by mannitol, ABA, and methyl jasmonate. The overexpression of the McWRKY57-like gene in A. thaliana considerably improves the drought tolerance capacity of plants [51]. Furthermore, the overexpression of EjWRKY17 in transgenic A. thaliana has been reported to promote cotyledon greening and root lengthening under ABA treatment [52].
The functions of cis-acting elements in response to stress can be evaluated by comparing the expression levels of genes under different treatment conditions. To date, numerous studies have investigated the expression of WRKY TFs in other plant species under stress. For example, the expression level of TaWRKYs in wheat (Triticum aestivum) increases rapidly under drought stress, suggesting its crucial role in regulating the wheat drought response [53]. The rapid response facilitates growth and increases the wheat yield under drought stress. The overexpression of PbrWRKY53 in birchleaf pear (Pyrus betulifolia) increases drought resistance [54]. PbrWRKY53 enhances the adaptability of birchleaf pear to drought by regulating the antioxidant capacity and PbrNCED1 expression. WRKY TFs are associated with the tomato seedling response to low-temperature stress. These TFs are activated at low temperatures and they enhance the adaptability of tomato seedlings to low temperatures by regulating the expression of downstream genes. The overexpression of WRKY TFs in rice improves its cold resistance capacity by activating the expression of antioxidant enzyme and lipid transport genes to protect the plasma membrane from damage caused by cold [55]. OsWRKY71 positively regulates cold tolerance in rice by regulating downstream target genes [56]. In this study, RcWRKY5, RcWRKY14, RcWRKY16, RcWRKY28, RcWRKY39, RcWRKY49, RcWRKY56, and RcWRKY62 had the most cis-acting elements related to the stress response. Therefore, these eight genes were selected to investigate the stress responses of the RcWRKY genes under drought, heat, and salt stress. Our results revealed that the expression levels of RcWRKY9 and RcWRKY55 were more than fivefold higher than those of the control group under salt stress, suggesting that they are involved in enhancing salt stress tolerance. However, the potential of these genes as key regulatory factors of salt stress and the mechanisms underlying this phenomenon require further study. Based on the results of studies that have investigated the functions of the WRKY gene family in several plant species, we can speculate that there are more RcWRKY genes that are related to abiotic stress and could have unknown regulatory functions.
5. Conclusions
Chinese rose is an important ornamental flower with medicinal and nutritional values. A total of 68 RcWRKY genes were identified from the Chinese rose genome in this study. Bioinformatics and gene expression analyses revealed the key functions of the RcWRKY genes in plant growth and development and the abiotic stress response. Eight RcWRKY genes were responsive to drought, heat, and salt stress based on qRT-PCR analysis, indicating that they had positive and negative regulatory effects on the response of Chinese rose to the three types of abiotic stress. In addition, RcWRKY14 and RcWRKY16 were associated with rapid responses to drought, heat, and salt stress, which provides a basis for further studies on candidate genes related to stress resistance in Chinese rose. The results of this study form a theoretical basis for the further exploration of the RcWRKY genes’ functions in growth and development and the response to abiotic stress in Chinese rose. This study also provides a basis for the breeding of new varieties with excellent genetic characteristics, such as drought resistance, salt tolerance, and heat resistance, which would be conducive to agricultural development.
Supplementary Materials
The following supporting information can be downloaded at: https://www.mdpi.com/article/10.3390/genes15060800/s1, Table S1 Characteristics of identified RcWRKY gene gamily; Table S2. Primers of RcWRKY gene needed for fluorescence quantification; Figure S1. Chromosomal localization of RcWRKY gene family members in Chinese rose. The scale on the left is in megabytes blue to yellow in chromosome indicates gene density. The chromosome number is displayed on the left side of the vertical bar; The right side of the vertical bar shows the gene location.
Author Contributions
Conceptualization, J.W., M.D. and X.Y.; formal analysis, X.Y. and J.W.; investigation, X.Y., J.Z., W.H., C.L., X.H. and C.G.; data curation, X.Y.; writing, X.Y. and J.W. All authors have read and agreed to the published version of the manuscript.
Funding
This project is supported by the National Natural Science Foundation of China (No. 32160721), awarded to Jin-fen Wen of Kunming University of Science and Technology.
Institutional Review Board Statement
Not applicable.
Informed Consent Statement
Not applicable.
Data Availability Statement
The original contributions presented in the study are included in the article/Supplementary Materials, further inquiries can be directed to the corresponding authors.
Conflicts of Interest
The authors declare no conflicts of interest. The funders had no role in the design of the study; in data collection, data analyses, or interpretation of the data; in the writing of the manuscript; or in the decision to publish the results.
References
- Zhao, X. Genome-wide identifcation and analysis of the WRKY gene family and cold stress response in Acer truncatum. Genes 2021, 12, 1867. [Google Scholar]
- Ishiguro, S.; Nakamura, K. Characterization of a cDNA encoding a novel DNA-binding protein, SPF1, that recognizes SP8 sequences in the 5′ upstream regions of genes coding for sporamin and β-amylase from sweet potato. Mol. Gen. Genet. 1994, 244, 563–571. [Google Scholar] [CrossRef] [PubMed]
- Cheng, Y.F. Identifcation of the WRKY gene family and characterization of stress-responsive genes in Taraxacum kok-saghyz Rodin. Int. J. Mol. Sci. 2022, 23, 10270. [Google Scholar] [CrossRef]
- Muhammad, A.K.; Kang, D.R.; Wu, Y.F.; Wang, Y.A.; Peng, H.; Wang, Z.C. Characterization of WRKY gene family in whole-genome and exploration of fowering improvement genes in Chrysanthemum lavandulifolium. Front. Plant Sci. 2022, 13, 861193. [Google Scholar]
- Hu, W.J.; Ren, Q.; Chen, Y.; Xu, G.; Qian, Y. Genome-wide identifcation and analysis of WRKY gene family in maize provide insights into regulatory network in response to abiotic stresses. BMC Plant Biol. 2021, 21, 427. [Google Scholar] [CrossRef] [PubMed]
- Khoso, M.A.; Hussain, A.; Ritonga, F.N.; Ali, Q.; Channa, M.M.; Alshegaihi, R.M.; Meng, Q.; Ali, M.; Zaman, W.; Brohi, R.D.; et al. WRKY transcription factors (TFs): Molecular switches to regulate drought, temperature, and salinity stresses in plants. Front. Plant Sci. 2022, 13, 1039329. [Google Scholar] [CrossRef] [PubMed]
- Wani, S.H.; Anand, S.; Singh, B.; Bohra, A.; Joshi, R. WRKY transcription factors and plant defense responses: Latest discoveries and future prospects. Plant Cell Rep. 2021, 40, 1071–1085. [Google Scholar] [CrossRef] [PubMed]
- Yuan, H.M.; Guo, W.; Zhao, L.; Yu, Y.; Chen, S.; Tao, L. Genome-wide identifcation and expression analysis of the WRKY transcription factor family in fax (Linum usitatissimum L.). BMC Genom. 2021, 22, 375. [Google Scholar] [CrossRef] [PubMed]
- Wang, J.Y.; Wang, L.; Yan, Y.; Zhang, S.; Guo, X. GhWRKY21 regulates ABA-mediated drought tolerance by fne-tuning the expression of GhHAB in cotton. Plant Cell Rep. 2021, 40, 2135–2150. [Google Scholar] [CrossRef]
- Liu, G.Y.; Li, B.; Li, X.; Wei, Y.; Shi, H. MaWRKY80 positively regulates plant drought stress resistance through modulation of abscisic acid and redox metabolism. Plant Physiol. Biochem. 2020, 156, 155–166. [Google Scholar] [CrossRef]
- Ali, M.A.; Azeem, F.; Nawaz, M.A.; Acet, T.; Bohlmann, H. Transcription factors WRKY11 and WRKY17 are involved in abiotic stress responses in Arabidopsis. J. Plant Physiol. 2018, 226, 12–21. [Google Scholar] [CrossRef] [PubMed]
- Yang, Z.; Chi, X.; Guo, F.; Jin, X.; Sun, B. SbWRKY30 enhances the drought tolerance of plants and regulates a drought stress-responsive gene, SbRD19, in sorghum. J. Plant Physiol. 2020, 246, 153142. [Google Scholar] [CrossRef] [PubMed]
- Gulzar, F.; Fu, J.Y.; Zhu, C.Y.; Yan, J.; Li, X.L.; Meraj, T.A.; Shen, Q.L.; Hassan, B.; Wang, Q. Maize WRKY transcription factor ZmWRKY79 positively regulates drought tolerance through elevating ABA biosynthesis. Int. J. Mol. Sci. 2021, 22, 10080. [Google Scholar] [CrossRef] [PubMed]
- Zhu, L.; Li, S.; Ouyang, M.; Yang, L.; Sun, S.; Wang, Y. Overexpression of watermelon ClWRKY20 in transgenic Arabidopsis improves salt and low-temperature tolerance. Sci. Hortic. 2022, 295, 110848. [Google Scholar] [CrossRef]
- Long, L.X. Progress in the understanding of WRKY transcription factors in woody plants. Int. J. Biol. Macromol. 2023, 242, 124379. [Google Scholar] [CrossRef] [PubMed]
- Zhang, Y.L.; Du, P.; Xiong, F.Q.; Zhang, X.J.; Song, H. WRKY genes improve drought tolerance in Arachis duranensis. Front. Plant Sci. 2022, 13, 910408. [Google Scholar] [CrossRef] [PubMed]
- An, X. Bioinformatics analysis of WRKY family genes in fax (Linum usitatissimum). Life 2023, 13, 1258. [Google Scholar] [CrossRef] [PubMed]
- Huang, J.J.; Liu, F.H.; Chao, D.; Xin, B.N.; Liu, K.; Cao, S.L.; Chen, X.X.; Peng, L.Y.; Zhang, B.L.; Fu, S.; et al. The WRKY transcription factor OsWRKY54 is involved in salt tolerance in rice. Int. J. Mol. Sci. 2022, 23, 11999. [Google Scholar] [CrossRef] [PubMed]
- Hui, J.A.; Zhang, X.; Wang, S.M. Analysis of biological characteristics of wild Hulthemia berberifolia (Pall.) Dumort. Xinjiang Shandong For. Sci. Technol. 2013, 43, 61–63. [Google Scholar]
- Hui, J.A.; Zhang, X.; Wang, S.M. Microstructure characteristics of Hulthemia berberifolia (Pall.) Dumort. in Xinjiang. Jiangsu Agric. Sci. 2014, 42, 126–127. [Google Scholar]
- Yan, Z.; Li, J.; Linuera, A.B. Effects of exogenous calcium on seed germination and seedling growth of Hulthemia berberifolia under salt stress. Acta Agrestia Sin. 2022, 30, 1185–1193. [Google Scholar]
- Horton, P.; Keun-Joon, P.; Takeshi, O.; Naoya, F.; Hajime, H.; Adams-Collier, C.J. WoLF PSORT: Protein localization predictor. Nucleic Acids Res. 2007, 35, W585–W587. [Google Scholar] [CrossRef]
- Swarbreck, D.; Wilks, C.; Lamesch, P.; Berardini, T.Z.; Garcia-Hernandez, M.; Foerster, H. The Arabidopsis Information Resource (TAIR): Gene structure and function annotation. Nucleic Acids Res. 2007, 36, D1009–D1014. [Google Scholar] [CrossRef]
- Kumar, S.; Glen, S.; Michael, L.; Christina, K.; Koichiro, T. MEGA X: Molecular evolutionary genetics analysis across computing platforms. Mol. Biol. Evol. 2018, 35, 1547–1549. [Google Scholar] [CrossRef]
- Gao, S.Q. Genome-wide identifcation of the histone acetyltransferase gene family in Triticum aestivum. BMC Genom. 2021, 22, 49. [Google Scholar] [CrossRef]
- Viana, V.E.; Carlos, L.; Busanello, C.; Pegoraro, C.; Costa, A. When rice gets the chills: Comparative transcriptome profling at germination shows WRKY transcription factor responses. Plant Biol. 2021, 23, 100–112. [Google Scholar] [CrossRef]
- Lescot, M.; Déhais, P.; Thijs, G.; Marchal, K.; Moreau, Y.; Van de Peer, Y.; Rouzé, P.; Rombauts, S. PlantCARE, a database of plant cis-acting regulatory elements and a portal to tools for in silico analysis of promoter sequences. Nucleic Acids Res. 2002, 30, 325–327. [Google Scholar] [CrossRef]
- Wang, Y.P.; Haibao, T.; Debarry, J.D.; Xu, T.; Jingping, L.; Xiyin, W. MCScanX: A toolkit for detection and evolutionary analysis of gene synteny and collinearity. Nucleic Acids Res. 2012, 40, e49. [Google Scholar] [CrossRef]
- Wang, Y.Y.; Jiang, X.; Bai, H.; Liu, C. Genome-wide ldentifcation and expression analysis of NF-YA gene family in gossypium arboreum. Mol. Plant Breed. 2021, 19, 4564–4573. [Google Scholar]
- Szklarczyk, D.; Gable, A.L.; Nastou, K.C.; David, L.; Rebecca, K.; Sampo, P. The STRING database in 2021: Customizable protein-protein networks, and functional characterization of user-uploaded gene/measurement sets. Nucleic Acids Res 2021, 49, D605–D612. [Google Scholar] [CrossRef]
- Doncheva, N.T.; Morris, J.H.; Gorodkin, J.; Jensen, L.J. Cytoscape StringApp: Network analysis and visualization of proteomics data. J. Proteome Res. 2019, 18, 623–632. [Google Scholar] [CrossRef] [PubMed]
- Yin, H.; Chen, I.; Li, X.Y. Analysis and improvement of high—Quality RNA extraction in leaves of lily. J. China Agric. Univ. 2008, 13, 41–45. [Google Scholar]
- Chi, B.W.; Liu, I.; Xie, T.; Zhao, Z.X.; Wen, J.F. Cloning and expression analysis of LbCAT and LbGPX in Lilium. Acta Bot. Boreali—Occident. Sin. 2021, 41, l467–1474. [Google Scholar]
- Garrido-Gala, J. A comprehensive study of the WRKY transcription factor family in strawberry. Plants 2022, 11, 1585. [Google Scholar] [CrossRef]
- Ding, X.Q.; Hu, M.J.; Xiang, S. Bioinformatics analysis of WRKY gene family in Kandelia cande. Jiangsu Agric. Sci. 2022, 50, 50–60. [Google Scholar]
- Hu, B.; Jin, J.P.; Yuan, G. GSDS 2.0: An upgraded gene feature visualization server. Bioinformatics 2015, 31, 1296–1297. [Google Scholar] [CrossRef]
- Yang, B.; Jiang, Y.; Rahman, M.H.; Deyholos, M.K.; Kav, N.N. Identification and expression analysis of wrky transcription factor genes in canola (Brassica napus L.) in response to fungal pathogens and hormone treatments. BMC Plant Biol. 2009, 9, 68. [Google Scholar] [CrossRef]
- Song, X.M.; Zeng, Y.; Yin, F.; Mao, X. Genome-wide identification and comprehensive analysis of WRKY transcription factor family in safflower during drought stress. Sci. Rep. 2023, 13, 16955. [Google Scholar] [CrossRef] [PubMed]
- Wu, W.; Zhu, S.; Xu, L.; Zhu, L.; Wang, D.; Liu, Y. Genome-wide identification of the liriodendron chinense wrky gene family and its diverse roles in response to multiple abiotic stress. BMC Plant Biol. 2022, 22, 1–27. [Google Scholar]
- Karlsson, M.; Reue, K.; Xia, Y.R.; Lusis, A.J.; Langin, D.; Tornqvist, H. Exon–intron organization and chromosomal localization of the mouse monoglyceride lipase gene. Gene 2001, 272, 11–18. [Google Scholar] [CrossRef]
- Song, H.; Wang, P.F.; Li, J.Y.; Zhang, C.Z.; Bai, Y.P.; Wanf, X.J. Genome-wide identification and characterization of wrky gene family in peanut. Front. Plant Sci. 2016, 7, 9. [Google Scholar] [CrossRef] [PubMed]
- Zhang, Y.; Zhang, W.; Manzoor, M.A.; Sabir, I.A.; Zhang, P.; Cao, Y. Differential involvement of wrky genes in abiotic stress tolerance of dendrobium huoshanense. Ind. Crop. Prod. 2023, 204 Pt A, 117295. [Google Scholar] [CrossRef]
- Morel, J.B.; Kwak, S.S.; South, K.; Bai, Y. The Role of Tomato WRKY Genes in Plant Responses to Combined Abiotic and Biotic Stresses. Front. Plant Sci. 2018, 9, 352235. [Google Scholar] [CrossRef] [PubMed]
- Wang, L.; Zhu, W.; Fang, L.; Sun, X.; Su, L.; Liang, Z. Genome-wide identification of wrky family genes and their response to cold stress in vitis vinifera. BMC Plant Biol. 2014, 14, 103. [Google Scholar] [CrossRef] [PubMed]
- Liu, Z.Q.; Shi, L.P.; Yang, S.; Qiu, S.S.; Ma, X.L.; Cai, J.S. A conserved double-W box in the promoter of CaWRKY40 mediates autoregulation during response to pathogen attack and heat stress in pepper. Mol. Plant Pathol. 2021, 22, 3–18. [Google Scholar] [CrossRef] [PubMed]
- Zheng, Z.Y.; Qamar, S.A.; Chen, Z.; Mengiste, T. Arabidopsis WRKY33 transcription factor is required for resistance to necrotrophic fungal pathogens. Plant J. 2006, 48, 592–605. [Google Scholar] [CrossRef] [PubMed]
- Zhou, J.; Wang, J.; Zheng, Z.Y.; Fan, B.F.; Yu, J.Q.; Chen, Z.X. Characterization of the promoter and extended C-terminal domain of Arabidopsis WRKY33 and functional analysis of tomato WRKY33 homologues in plant stress responses. J. Exp. Bot. 2015, 66, 4567–4583. [Google Scholar] [CrossRef] [PubMed]
- Sun, Y.D.; Yu, D.Q. Activated expression of AtWRKY53 negatively regulates drought tolerance by mediating stomatal movement. Plant Cell Rep. 2015, 34, 1295–1306. [Google Scholar] [CrossRef] [PubMed]
- Zhao, M.M.; Zhang, X.W.; Liu, Y.W.; Li, K.; Zhou, C.J. A WRKY transcription factor, TaWRKY42-B, facilitates initiation of leaf senescence by promoting jasmonic acid biosynthesis. BMC Plant Biol. 2020, 20, 444. [Google Scholar] [CrossRef]
- Zhao, D.; Li, M.; Hou, T. Overexpression of ZmWRKY65 transcription factor from maize confers stress resistances in transgenic Arabidopsis. Sci. Rep. 2021, 11, 4024. [Google Scholar]
- Bai, Y.; Zhang, T.; Zheng, X.; Li, B.; Qi, X.; Xu, Y. Overexpression of a WRKY transcription factor McWRKY57-like from Mentha canadensis L. enhances drought tolerance in transgenic Arabidopsis. BMC Plant Biol. 2023, 23, 216. [Google Scholar] [CrossRef]
- Wang, D.; Chen, Q.; Chen, W.; Liu, X.; Liang, G. A WRKY transcription factor, EjWRKY17, from eriobotrya japonica enhances drought tolerance in transgenic Arabidopsis. Int. J. Mol. Sci. 2021, 22, 5593. [Google Scholar] [CrossRef] [PubMed]
- Li, F.; Zhang, L.; Ji, H.; Xu, Z.; Zhou, Y.; Yang, S. The specific w-boxes of gapc5 promoter bound by tawrky are involved in drought stress response in wheat. Plant Sci. 2020, 296, 110460. [Google Scholar] [CrossRef] [PubMed]
- Liu, Y.; Yang, T.; Lin, Z.; Gu, B.; Xing, C.; Zhao, L. A wrky transcription factor pbrwrky53 from pyrus betulaefolia is involved in drought tolerance and asa accumulation. Plant Biotechnol. J. 2019, 17, 1770–1787. [Google Scholar] [CrossRef] [PubMed]
- Xu, Z.; Wang, J.; Ma, Y.; Wang, F.; Wang, J.; Zhang, Y. The bzip transcription factor slareb1 regulates anthocyanin biosynthesis in response to low temperature in tomato. Plant J. For. Cell Mol. Biol. 2023, 115, 205–219. [Google Scholar] [CrossRef]
- Budhagatapalli, N.; Narasimhan, R.; Rajaraman, J.; Viswanathan, C.; Nataraja, K.N. Ectopic expression of atice1 and osice1 transcription factor delays stress-induced senescence and improves tolerance to abiotic stresses in tobacco. J. Plant Biochem. Biotechnol. 2016, 25, 285–293. [Google Scholar] [CrossRef]
Disclaimer/Publisher’s Note: The statements, opinions and data contained in all publications are solely those of the individual author(s) and contributor(s) and not of MDPI and/or the editor(s). MDPI and/or the editor(s) disclaim responsibility for any injury to people or property resulting from any ideas, methods, instructions or products referred to in the content. |
© 2024 by the authors. Licensee MDPI, Basel, Switzerland. This article is an open access article distributed under the terms and conditions of the Creative Commons Attribution (CC BY) license (https://creativecommons.org/licenses/by/4.0/).







