Capturing the Variability in Instantaneous Vehicle Emissions Based on Field Test Data
Abstract
1. Introduction
2. Methodology
2.1. Data Collection
2.2. Estimates of Emission Variability
3. Results
3.1. Average Speed, VSP, and Emissions
3.2. Emission Variability in VSP Bins
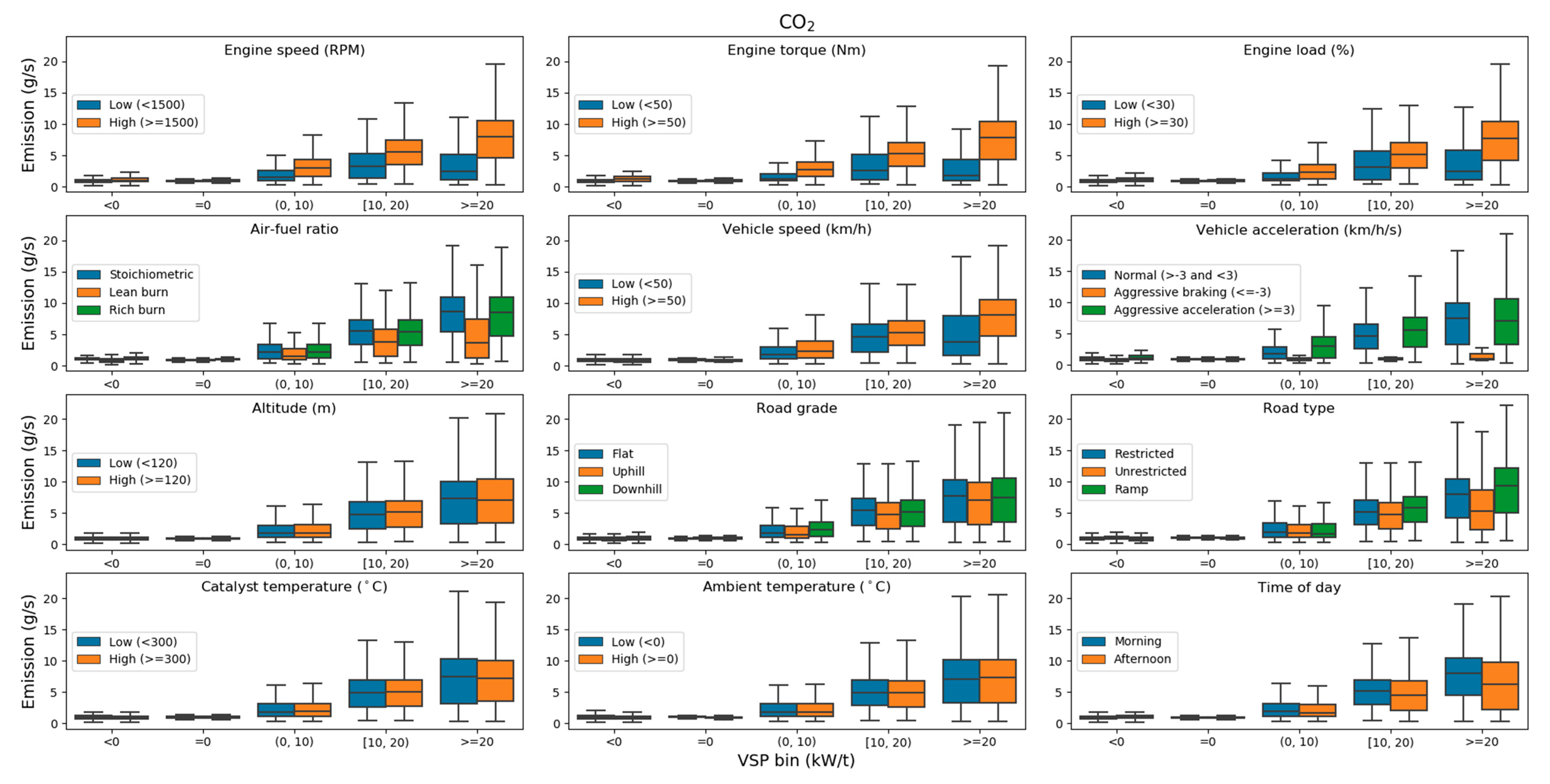
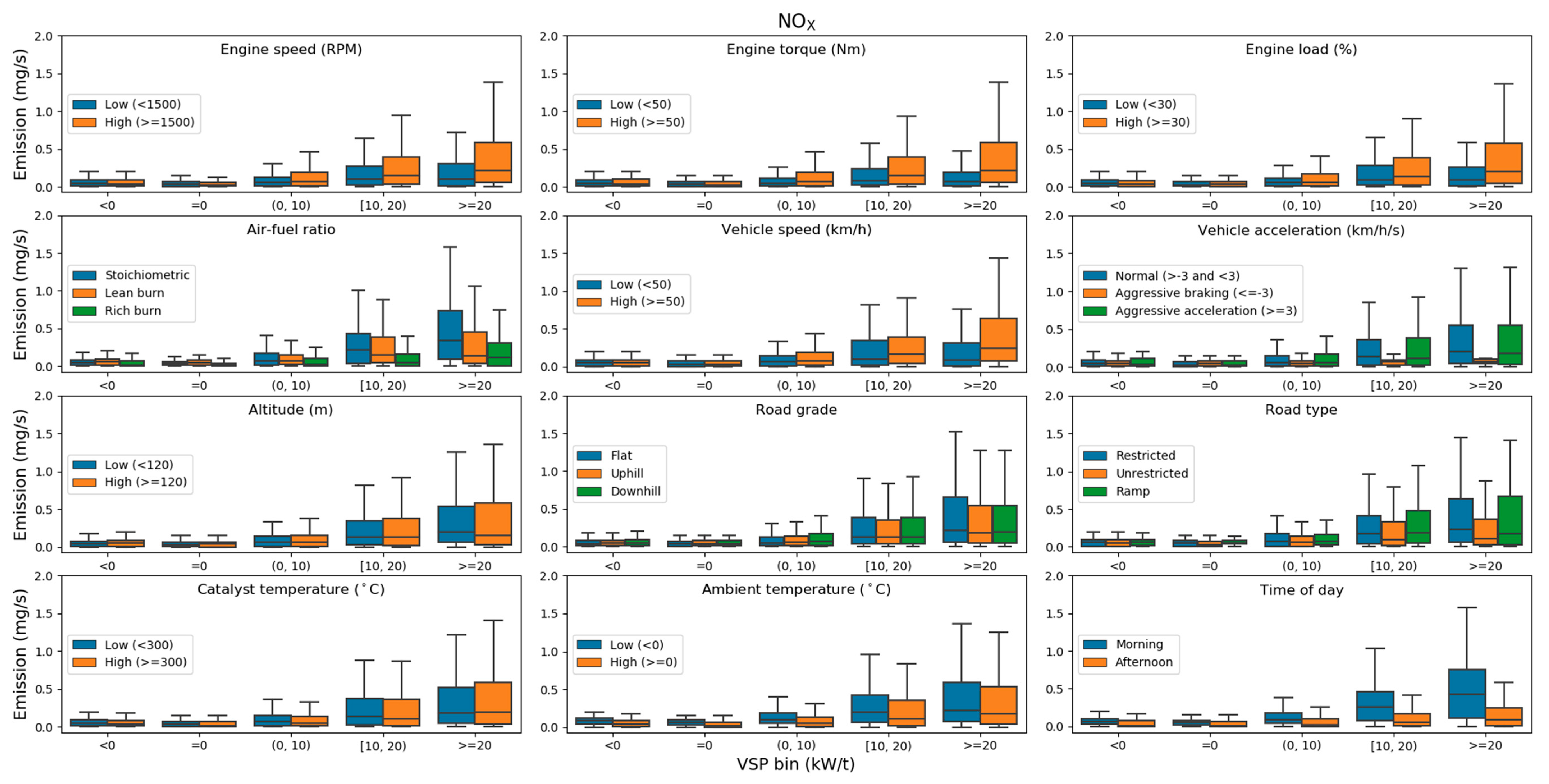
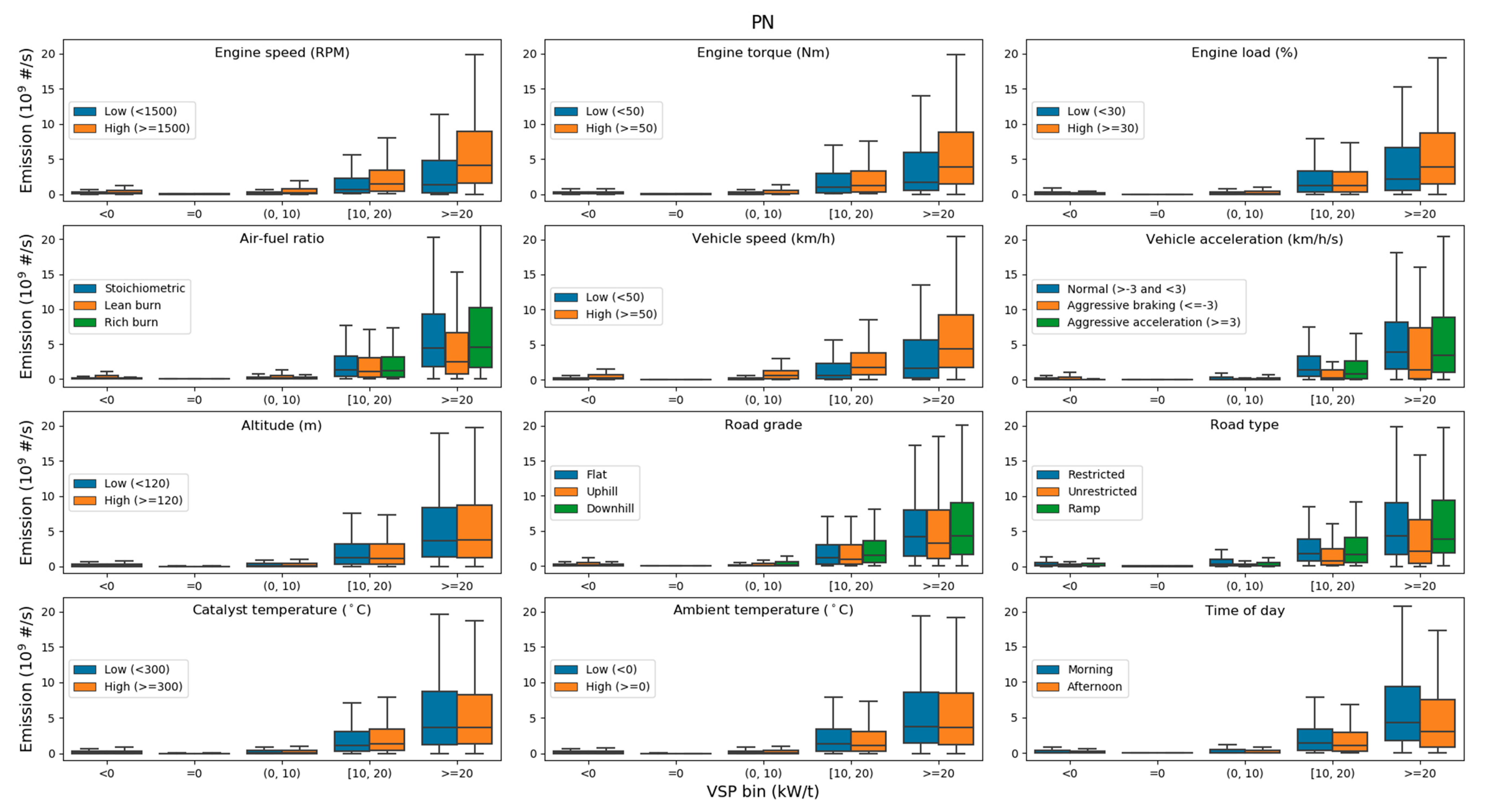
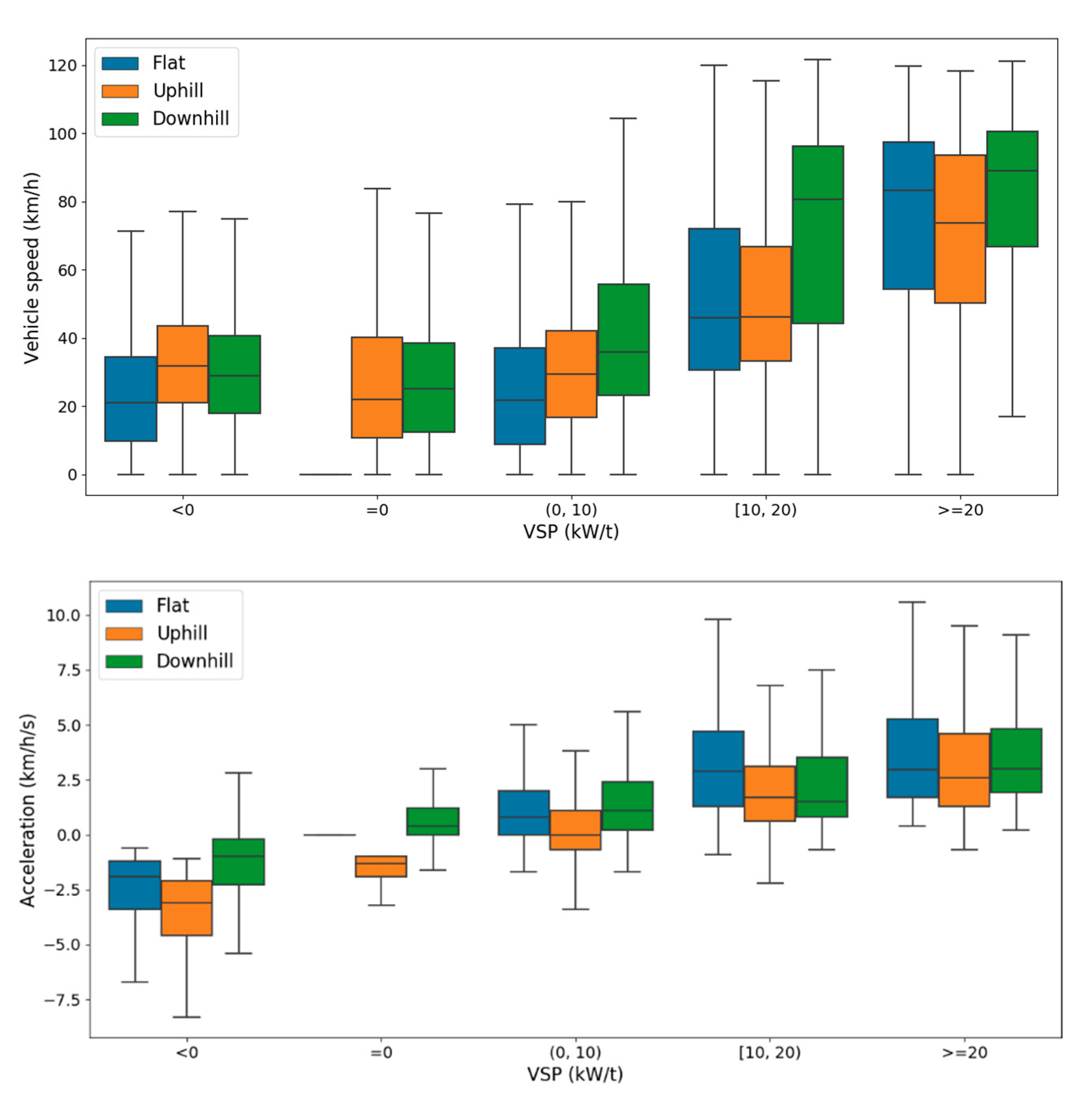
3.3. Emission Variability and Influencing Factors
4. Conclusions and Recommendations
Author Contributions
Funding
Conflicts of Interest
References
- Jiménez-Palacios, J.L. Understanding and Quantifying Motor Vehicle Emissions with Vehicle Specific Power and TILDAS Remote Sensing; University of Cambridge: Cambridge, UK, 1999. [Google Scholar]
- Scora, G.; Barth, M. Comprehensive Modal Emission Model (CMEM), version 3.01; User’s Guide; Centre for Environmental Research and Technology, University of California: Riverside, CA, USA, 2006. [Google Scholar]
- Cappiello, A.; Chabini, I.; Nam, E.K.; Lue, A.; Abou Zeid, M. A statistical model of vehicle emissions and fuel consumption. In Proceedings of the IEEE 5th International Conference on Intelligent Transportation Systems, Singapore, 6 September 2002; pp. 801–809. [Google Scholar]
- Sturm, P.J.; Hausberger, S. Emissions and Fuel Consumption from Heavy Duty Vehicles; European Cooperation in Science and Technology: Brussels, Belgium, 2005. [Google Scholar]
- Carolien, B.; Luc, I.; Rudi, T.; Davy, J.; Steven, B. The Application of the Simulation Software Vetess To Evaluate. In Proceedings of the 10th International Conference on Computers in Urban Planning and Urban Management, Iguassu, Brazil, 11–13 July 2007. [Google Scholar]
- US EPA. User’s Guide to MOBILE6.1 and MOBILE6.2: Mobile Source Emission Factor Model; US EPA: Washington, DC, USA, 2002.
- US CARB. EMFAC2007 Version 2.30 Calculating Emission Inventories for Vehicles in California User’s Guide; US CARB: Sacramento, CA, USA, 2006. [Google Scholar]
- Ntziachristos, L.; Gkatzoflias, D.; Kouridis, C.; Samaras, Z. COPERT: A European Road Transport Emission Inventory Model. In Information Technologies in Environmental Engineering; Springer: Berlin/Heidelberg, Germany, 2009; ISBN 978-3-540-88350-0. [Google Scholar]
- US EPA. IVE Model Users Manual Version 2.0; US EPA: Washington, DC, USA, 2008.
- Haan, P.; Keller, M. Emission Factors for Passenger Cars and Light-Duty Vehicles: Handbook Emission Factors for Road Transport (HBEFA), Version 2.1. 2004. Available online: https://www.hbefa.net/e/index.html (accessed on 25 May 2020).
- Rakha, H.; Ahn, K.; Trani, A. Development of VT-Micro model for estimating hot stabilized light duty vehicle and truck emissions. Transp. Res. Part D Transp. Environ. 2004, 9, 49–74. [Google Scholar] [CrossRef]
- US EPA. Population and Activity of On-Road Vehicles in MOVES2014; US EPA: Washington, DC, USA, 2016.
- Abo-Qudais, S.; Qdais, H.A. Performance evaluation of vehicles emissions prediction models. Clean Technol. Environ. Policy 2005, 7, 279–284. [Google Scholar] [CrossRef]
- US EPA. Development of Emission Rates for Light-Duty Vehicles in the Motor Vehicle Emissions Simulator (MOVES2010); US EPA: Washington, DC, USA, 2011.
- Bishop, J.D.K.; Stettler, M.E.J.; Molden, N.; Boies, A.M. Engine maps of fuel use and emissions from transient driving cycles. Appl. Energy 2016, 183, 202–217. [Google Scholar] [CrossRef]
- Boroujeni, B.Y.; Frey, H.C. Road grade quantification based on global positioning system data obtained from real-world vehicle fuel use and emissions measurements. Atmos. Environ. 2014, 85, 179–186. [Google Scholar] [CrossRef]
- Hu, J.; Frey, H.C. Comparison of Real World Light-Duty Gasoline Vehicle Emissions for High Altitude Mountainous Versus Low Altitude Piedmont Study Areas. In Proceedings of the 100th Annual Conference and Exhibition, Air & Waste Management Association, Pittsburgh, PA, USA, 26–29 June 2007. [Google Scholar]
- Nagpure, A.S.; Gurjar, B.R.; Kumar, P. Impact of altitude on emission rates of ozone precursors from gasoline-driven light-duty commercial vehicles. Atmos. Environ. 2011, 45, 1413–1417. [Google Scholar] [CrossRef][Green Version]
- Wyatt, D.W.; Li, H.; Tate, J.E. The impact of road grade on carbon dioxide (CO2) emission of a passenger vehicle in real-world driving. Transp. Res. Part D Transp. Environ. 2014, 32, 160–170. [Google Scholar] [CrossRef]
- Gallus, J.; Kirchner, U.; Vogt, R.; Benter, T. Impact of driving style and road grade on gaseous exhaust emissions of passenger vehicles measured by a Portable Emission Measurement System (PEMS). Transp. Res. Part D Transp. Environ. 2017, 52, 215–226. [Google Scholar] [CrossRef]
- Costagliola, M.A.; Costabile, M.; Prati, M.V. Impact of road grade on real driving emissions from two Euro 5 diesel vehicles. Appl. Energy 2018, 231, 586–593. [Google Scholar] [CrossRef]
- Varella, R.A.; Faria, M.V.; Mendoza-Villafuerte, P.; Baptista, P.C.; Sousa, L.; Duarte, G.O. Assessing the influence of boundary conditions, driving behavior and data analysis methods on real driving CO2 and NOx emissions. Sci. Total Environ. 2019, 658, 879–894. [Google Scholar] [CrossRef]
- Boriboonsomsin, K.; Barth, M. Impacts of road grade on fuel consumption and carbon dioxide emissions evidenced by use of advanced navigation systems. Transp. Res. Rec. 2009, 2139, 21–30. [Google Scholar] [CrossRef]
- Sentoff, K.M.; Aultman-Hall, L.; Holmén, B.A. Implications of Driving Style and Road Grade for Accurate Vehicle Activity Data and Emissions Estimates. Transp. Res. Part D Transp. Environ. 2015, 35, 175–188. [Google Scholar] [CrossRef]
- De Vlieger, I.; De Keukeleere, D.; Kretzschmar, J. Environmental effects of driving behaviour and congestion related to passenger cars. Atmos. Environ. 2000, 34, 4649–4655. [Google Scholar] [CrossRef]
- Jackson, E.; Qu, Y.; Holmén, B.; Aultman-Hall, L. Driver and Road Type Effects on Light-Duty Gas and Particulate Emissions. Transp. Res. Rec. J. Transp. Res. Board 2006, 1987, 118–127. [Google Scholar] [CrossRef]
- Ko, J.; Jin, D.; Jang, W.; Myung, C.L.; Kwon, S.; Park, S. Comparative investigation of NOx emission characteristics from a Euro 6-compliant diesel passenger car over the NEDC and WLTC at various ambient temperatures. Appl. Energy 2017, 187, 652–662. [Google Scholar] [CrossRef]
- Government of Canada. Sulphur in Gasoline Regulations. Available online: https://www.canada.ca/en/environment-climate-change/services/managing-pollution/energy-production/fuel-regulations/sulphur-gasoline.html (accessed on 1 July 2020).
- Transportation Association of Canada. Geometric Design Guide for Canadian Roads; Transportation Association of Canada: Ottawa, ON, Canada, 2017. [Google Scholar]










| Parameter | Model Name | Abbreviation | Reference |
|---|---|---|---|
| Engine Operation | Comprehensive Modal Emission Model | CMEM | [2] |
| Emissions from Traffic | EMIT | [3] | |
| Passenger Car and Heavy-Duty Emission Model | PHEM | [4] | |
| Vehicle Transient Emissions Simulation Software | VeTESS | [5] | |
| Vehicle activity | Mobile Source Emission Factor Model | MOBILE | [6] |
| Emission Factors Model | EMFAC | [7] | |
| Computer Program to Calculate Emissions from Road Transport | COPERT | [8] | |
| International Vehicle Emission Model | IVE | [9] | |
| Handbook Emission Factors for Road Transport | HBEFA | [10] | |
| Virginia Tech Microscopic Model | VT-Micro | [11] | |
| Motor Vehicle Emissions Simulator | MOVES | [12] |
| Specifications | Value |
|---|---|
| Engine | 2.5-Litre DOHC 16-Valve 4-Cylinder |
| Horsepower | 170 HP @ 6,000 RPM |
| Torque | 175 lb-ft @ 4,400 RPM |
| Curb weight | 1,681 kg |
| Mileage | 500 km |
| Fuel type | Regular Gasoline |
| Fuel injection type | GDI |
| Emission standard | Tier 2, Bin 5 |
| Transmission | Automatic |
| Turbo-compound | No |
| Ignition type | Direct ignition system |
| Road Type for Emission Model | Road Type | Length (km) |
|---|---|---|
| Restricted access | Expressway | 28.9 |
| Ramp | Expressway ramp | 7.2 |
| Unrestricted access | Major arterial | 70.4 |
| Minor arterial | 20.9 | |
| Collector | 2.9 | |
| Local | 1.3 | |
| Other | 1.3 | |
| Total | 132.8 | |
© 2020 by the authors. Licensee MDPI, Basel, Switzerland. This article is an open access article distributed under the terms and conditions of the Creative Commons Attribution (CC BY) license (http://creativecommons.org/licenses/by/4.0/).
Share and Cite
Zhai, Z.; Tu, R.; Xu, J.; Wang, A.; Hatzopoulou, M. Capturing the Variability in Instantaneous Vehicle Emissions Based on Field Test Data. Atmosphere 2020, 11, 765. https://doi.org/10.3390/atmos11070765
Zhai Z, Tu R, Xu J, Wang A, Hatzopoulou M. Capturing the Variability in Instantaneous Vehicle Emissions Based on Field Test Data. Atmosphere. 2020; 11(7):765. https://doi.org/10.3390/atmos11070765
Chicago/Turabian StyleZhai, Zhiqiang, Ran Tu, Junshi Xu, An Wang, and Marianne Hatzopoulou. 2020. "Capturing the Variability in Instantaneous Vehicle Emissions Based on Field Test Data" Atmosphere 11, no. 7: 765. https://doi.org/10.3390/atmos11070765
APA StyleZhai, Z., Tu, R., Xu, J., Wang, A., & Hatzopoulou, M. (2020). Capturing the Variability in Instantaneous Vehicle Emissions Based on Field Test Data. Atmosphere, 11(7), 765. https://doi.org/10.3390/atmos11070765

