Impacts of the COVID-19 Lockdown Measures on the 2020 Columnar and Surface Air Pollution Parameters over South-Eastern Italy
Abstract
:1. Introduction
2. Experimental and Methodology
2.1. Study Area, Analysed Time Intervals, and Statistical Analyses
2.2. Columnar Aerosol Parameters
2.3. Surface Air Pollution Parameters: PM2.5, PM10, NO2, CO, and SO2
3. Results and Discussion
3.1. Changes in Columnar Aerosol Parameters before, during, and after the Lockdown
3.1.1. Columnar Optical Parameter throughout the Year 2020 and Comparison with the Corresponding Ref-Year Data
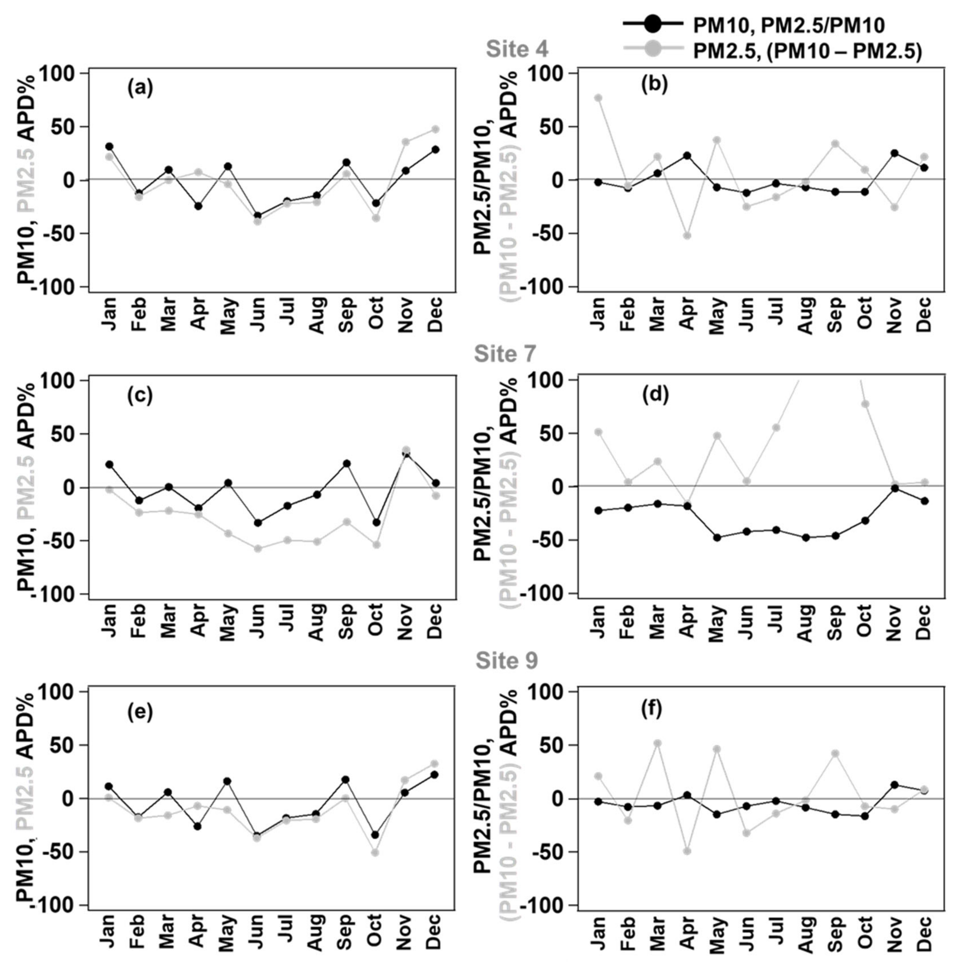
3.2. PM Mass Concentrations before, during, and after the Lockdown
Comparison between PM Mass Concentrations in 2020 and Ref-Year
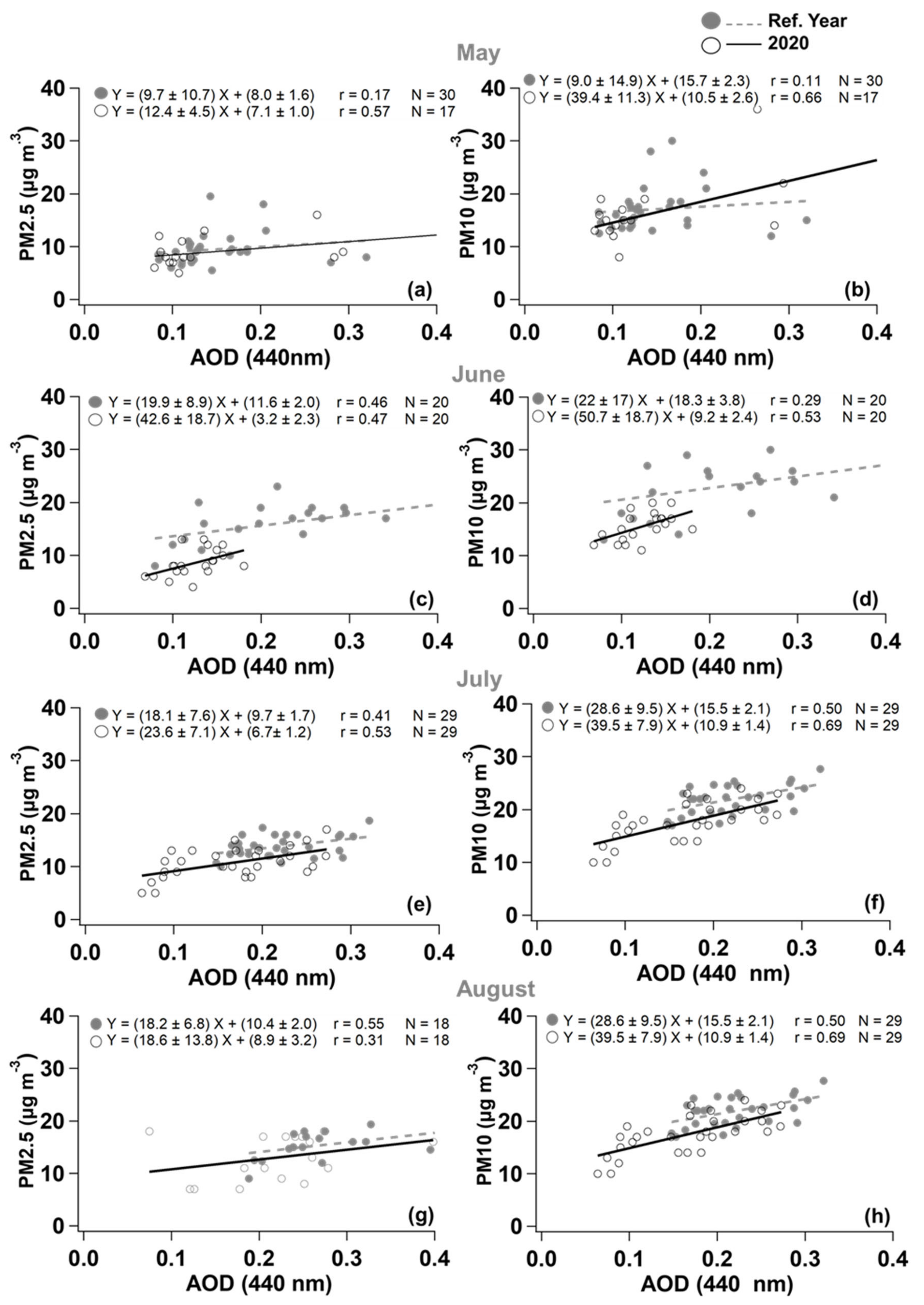
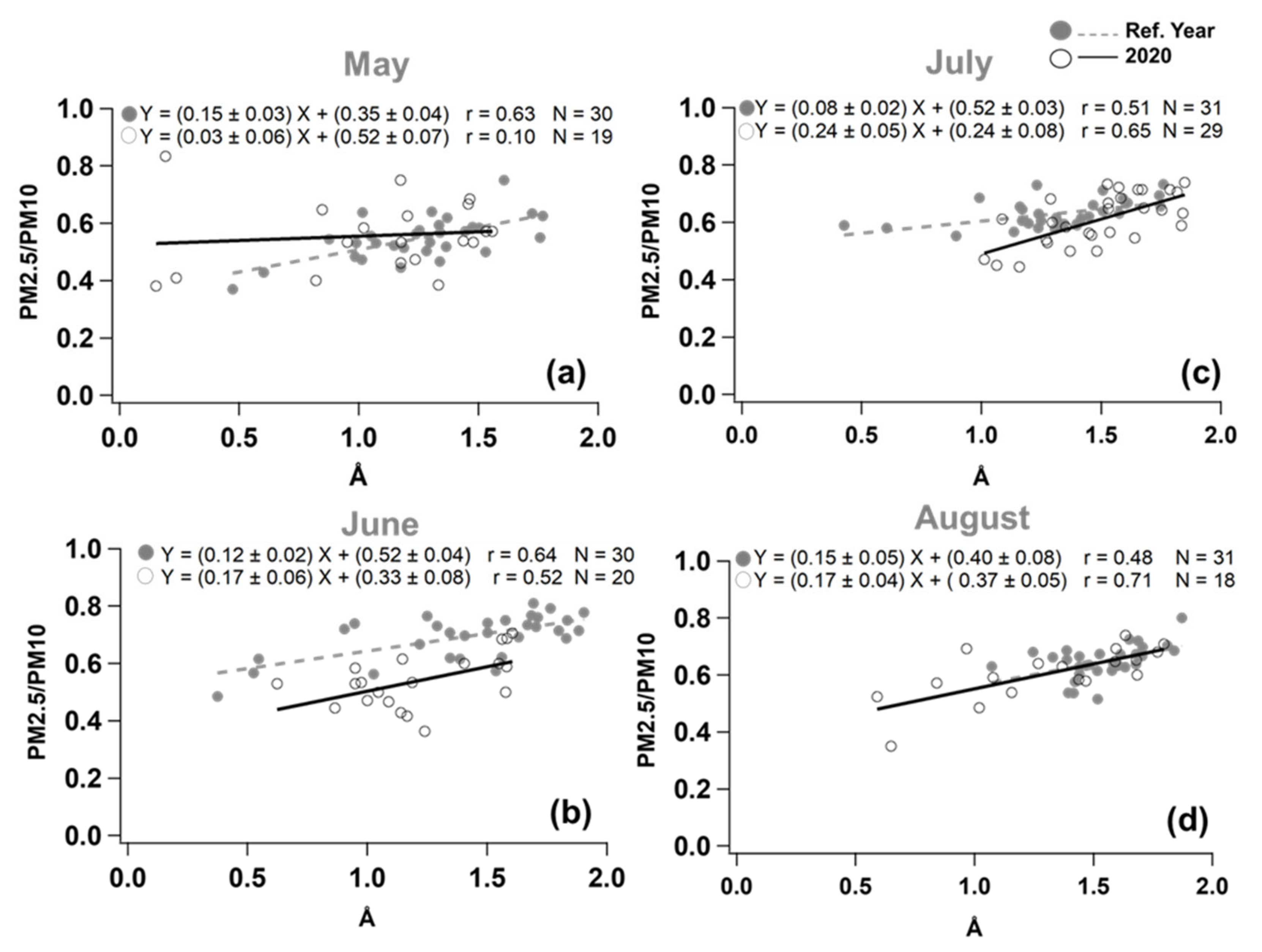
3.3. Correlations between Columnar Aerosol Parameters and Corresponding PM2.5 and PM10 Mass Concentrations in the 2020- and Ref-Year

3.4. NO2, CO, and SO2 Mass Concentrations before, during, and after the Lockdown
Comparison of the Monthly NO2, CO, and SO2 Mass Concentrations of the Year 2020 with the Corresponding Ref-Year Ones
4. Summary and Conclusions
- Sun/sky photometer measurements have highlighted a significant decrease in the columnar aerosol load (by AOD) and a change of the mean particle size/type (by Å and ΔÅ) in 2020. The highest changes were observed in the few months after the LD measure start time;
- The analysis of the AOD, Å, and ΔÅ variability range by colour-coded scatter-plots referring to the 2020 and the ref-year has allowed inferring that the columnar aerosol load was in June, July, and August 2020 less affected by continental urban/industrial particles than in the ref-year;
- The APD% monthly evolution of PM mass concentrations was characterized by a trend similar to the one of AOD-APD%, highlighting a similar effect of the LD restrictions on column- and ground-based extensive particle parameter;
- The LD restrictions were responsible for larger PM2.5 concentration reductions compared to the corresponding PM10 ones;
- PM-APD% values were highly site-dependent with larger decreases on average detected at urban and suburban sites than at background sites. In fact, the minimum monthly PM2.5-APD% detected in June was −57% at a suburban site and −37% at a background site;
- Both column- (AODs) and ground-based (PMs) particle parameters were similarly affected by the LD restrictions;
- The impact of the LD measures on gaseous pollutant (NO2, CO, and SO2) mass concentrations was on average observed immediately after the LD measure onset, in contrast to aerosol parameters. In fact, gaseous pollutants are directly emitted in the atmosphere from their sources, while most atmospheric particles are formed from gas-to-particle conversion, coagulation, and/or mixing processes.
Supplementary Materials
Author Contributions
Funding
Institutional Review Board Statement
Informed Consent Statement
Data Availability Statement
Acknowledgments
Conflicts of Interest
References
- Gorbalenya, A.E.; Baker, S.C.; Baric, R.S.; de Groot, R.J.; Drosten, C.; Gulyaeva, A.A.; Haagmans, B.L.; Lauber, C.; Leontovich, A.M.; Neuman, B.W.; et al. Severe acute respiratory syndrome-related coronavirus: The species and its viruses—a statement of the coronavirus study group. Nat. Microbiol. 2020, 5, 536–544. [Google Scholar] [CrossRef] [Green Version]
- Lai, A.; Chang, M.L.; O’Donnell, R.P.; Zhou, C.; Sumner, J.A.; Hsiai, T.K. Association of COVID-19 transmission with high levels of ambient pollutants: Initiation and impact of the inflammatory response on cardiopulmonary disease. Sci. Total Environ. 2021, 779, 146464. [Google Scholar] [CrossRef]
- Cao, Y.; Shao, L.; Jones, T.; Oliveira, M.L.S.; Ge, S.; Feng, X.; Silva, L.F.O.; BéruBée, K. Multiple relationships between aerosol and COVID-19: A framework for global studies. Gondwana Res. 2021, 93, 243–251. [Google Scholar] [CrossRef]
- Eleftheriadis, K.; Gini, M.I.; Diapouli, E.; Vratolis, S.; Vasilatou, V.; Fetfatzis, P.; Manousakas, M.I. Aerosol microphysics and chemistry reveal the COVID19 lockdown impact on urban air quality. Sci. Rep. 2021, 11, 1–11. [Google Scholar] [CrossRef]
- Gama, C.; Relvas, H.; Lopes, M.; Monteiro, A. The impact of COVID-19 on air quality levels in Portugal: A way to assess traffic contribution. Environ. Res. 2021, 193, 110515. [Google Scholar] [CrossRef]
- Jarvis, M.C. Aerosol Transmission of SARS-CoV-2: Physical Principles and Implications. Public Health Front. 2020, 8, 813. [Google Scholar] [CrossRef] [PubMed]
- Venter, Z.S.; Aunan, K.; Chowdhury, S.; Lelieveld, J. COVID-19 lockdowns cause global air pollution declines. PNAS 2020, 117, 18984–18990. [Google Scholar] [CrossRef] [PubMed]
- Gkatzelis, G.I.; Gilman, J.B.; Brown, S.S.; Eskes, H.; Gomes, A.R.; Lange, A.C.; McDonald, B.C.; Peischl, J.; Petzold, A.; Thompson, C.R.; et al. The global impacts of COVID-19 lockdowns on urban air pollution: A critical review and recommendations. Elem. Sci. Anth. 2021, 9, 00176. [Google Scholar] [CrossRef]
- Lonati, G.; Riva, F. Regional scale impact of the COVID-19 Lockdown on Air Quality: Gaseous Pollutants in the Po Valley, Northern Italy. Atmosphere 2021, 12, 264. [Google Scholar] [CrossRef]
- Kerimray, A.; Baimatova, N.; Ibragimova, O.P.; Bukenov, B.; Kenessov, B.; Plotitsyn, P.; Karaca, F. Assessing air quality changes in large cities during COVID-19 lockdowns: The impacts of traffic-free urban conditions in Almaty, Kazakhstan. Sci. Total Environ. 2020, 15, 730–139179. [Google Scholar] [CrossRef]
- Li, J.Y.; Tartarini, F. Changes in air quality during the COVID-19 lockdown in Singapore and associations with human mobility trends. Aerosol Air Qual. Res. 2020, 20, 1748–1758. [Google Scholar] [CrossRef]
- Arregocés, A.; Roberto, R.; Restrepo, G. Effects of Lockdown due to the COVID-19 Pandemic on Air Quality at Latin America’s Largest Open-pit Coal Mine. Aerosol Air Qual. Res. 2021, 21, 200664. [Google Scholar] [CrossRef]
- Donzelli, G.; Cioni, L.; Cancellieri, M.; Llopis-Morales, A.; Morales-Suárez-Varela, M. Relations between Air Quality and COVID-19 Lockdown in Valencia, Spain. Int. J. Environ. Res. Public Health 2021, 18, 2296. [Google Scholar] [CrossRef] [PubMed]
- Brancher, M. Increased ozone pollution alongside reduced nitrogen dioxideconcentrations during Vienna’sfirst COVID-19 lockdown: Significance for air quality management. Environ. Pollut. 2021, 284, 117153. [Google Scholar] [CrossRef] [PubMed]
- Goldberg, D.L.; Anenberg, S.C.; Griffin, D.; McLinden, C.A.; Lu, Z.; Streets, D.G. Disentangling the Impact of the COVID-19 Lockdownson Urban NO2 From Natural Variability. Geophys. Res. Lett. 2020, 47, 17. [Google Scholar] [CrossRef] [PubMed]
- Lamprecht, C.; Graus, M.; Striednig, M.; Stichaner, M.; Karl, T. Decoupling of urban CO2 and air pollutant emission reductions during the European SARS-CoV-2 lockdown. Atmos. Chem. Phys. 2021, 21, 3091–3102. [Google Scholar] [CrossRef]
- Sulaymon, I.D.; Zhang, Y.; Hopke, P.K.; Zhang, Y.; Hua, J.; Mei, X. COVID-19 pandemic in Wuhan: Ambient air quality and the relationships between criteria air pollutants and meteorological variables before, during, and after lockdown. Atmos. Res. 2021, 250, 105362. [Google Scholar] [CrossRef]
- Albayati, N.; Waisi, B.; Al-Furaiji, M.; Kadhom, M.; Alalwan, H. Effect of COVID-19 on air quality and pollution in different countries. J. Transp. Health 2021, 21, 101061. [Google Scholar] [CrossRef]
- Skirienė, A.F.; Stasiškienė, Ž. COVID-19 and Air Pollution: Measuring Pandemic Impact to Air Quality in Five European Countries. Atmosphere 2021, 12, 290. [Google Scholar] [CrossRef]
- Munir, S.; Luo, Z.; Dixon, T. Comparing different approaches for assessing the impact of COVID-19 lockdown on urban air quality in Reading, UK. Atmos. Res. 2021, 261, 105730. [Google Scholar] [CrossRef]
- Marinello, S.; Lolli, F.; Gamberini, R. The Impact of the COVID-19 Emergency on Local Vehicular Traffic and Its Consequences for the Environment: The Case of the City of Reggio Emilia (Italy). Sustainability 2021, 13, 118. [Google Scholar] [CrossRef]
- Campanelli, M.; Iannarelli, A.M.; Mevi, G.; Casadio, S.; Diémoz, H.; Finardi, S.; Dinoi, A.; Castelli, E.; Di Sarra, A.; Di Bernardino, A.; et al. A wide-ranging investigation of the COVID-19 lockdown effects on the atmospheric composition in various Italian urban sites (AER—LOCUS). Urban Clim. 2021, 39, 100954. [Google Scholar] [CrossRef]
- Shen, L.; Zhao, T.; Wang, H.; Liu, J.; Bai, Y.; Kong, S.; Zheng, H.; Zhu, Y.; Shu, Z. Importance of meteorology in air pollution events during the city lockdown for COVID-19 in Hubei Province, Central China. Sci. Total Environ. 2021, 754, 142227. [Google Scholar] [CrossRef]
- Sarla, S.; Srivastava, A.K.; Ahlawat, A.; Mishra, S.K. Impact of COVID-19 lockdown on aerosol optical and radiative properties over Indo-Gangetic Plain. Urban Clim. 2021, 37, 100839. [Google Scholar] [CrossRef]
- Acharya, P.; Barik, G.; Gayen, B.K.; Bar, S.; Maiti, A.; Sarkar, A.; Ghosh, S.; De, S.K.; Sreekesh, S. Revisiting the levels of Aerosol Optical Depth in south-southeast Asia, Europe and USA amid the COVID-19 pandemic using satellite observations. Environ. Res. 2021, 193, 110514. [Google Scholar] [CrossRef] [PubMed]
- Ibrahim, S.; Landa, M.; Pešek, O.; Pavelka, K.; Halounova, L. Space-Time Machine Learning Models to Analyze COVID-19 Pandemic Lockdown Effects on Aerosol Optical Depth over Europe. Remote Sens. 2021, 13, 3027. [Google Scholar] [CrossRef]
- Perrone, M.R.; Becagli, S.; Garcia Orza, J.A.; Vecchi, R.; Dinoi, A.; Udisti, R.; Cabello, M. The impact of long-range-transport on PM1 and PM2.5 at a Central Mediterranean site. Atmos. Environ. 2013, 71, 176–186. [Google Scholar] [CrossRef]
- Perrone, M.R.; Romano, S.; Garcia Orza, J.A. Columnar and ground-level aerosol optical properties: Sensitivity to the transboundary pollution, daily and weekly patterns, and relationships. Environ. Sci. Pollut. Res. 2015, 22, 16570–16589. [Google Scholar] [CrossRef]
- Perrone, M.R.; Romano, S.; Orza, J.A.G. Particle optical properties at a Central Mediterranean site: Impact of advection routes and local meteorology. Atmos. Res. 2014, 145, 152–167. [Google Scholar] [CrossRef]
- Romano, S.; Perrone, M.R.; Pavese, G.; Esposito, F.; Calvello, M. Optical properties of PM2.5 particles: Results from a monitoring campaign in southeastern Italy. Atmos. Environ. 2019, 203, 35–47. [Google Scholar] [CrossRef] [Green Version]
- Sicard, P.; De Marco, A.; Agathokleous, E.; Feng, Z.; Xu, X.; Paoletti, E.; Rodriguez, J.J.D.; Calatayud, V. Amplified ozone pollution in cities during the COVID-19 lockdown. Sci. Total Environ. 2020, 735, 139542. [Google Scholar] [CrossRef]
- Wetchayont, P.; Hayasaka, T.; Khatri, P. Air Quality Improvement during COVID-19 Lockdown in Bangkok Metropolitan, Thailand: Effect of the Long-range Transport of Air Pollutants. Aerosol Air Qual. Res. 2021, 21, 200662. [Google Scholar] [CrossRef]
- Brankov, E.; Trivikrama Rao, S.; Steven Porter, P. A trajectory-clustering-correlation methodology for examining the long-range transport of air pollutants. Atmos. Environ. 1998, 32, 1525–2534. [Google Scholar] [CrossRef]
- Dinno, A. Nonparametric Pairwise Multiple Comparisons in Independent Groups using Dunn’s Test. The Stata Journal 2015, 15, 292–300. [Google Scholar] [CrossRef] [Green Version]
- Tiwari, S.; Thomas, A.; Rao, P.; Chate, D.M.; Soni, V.K.; Singh, S.; Ghude, S.D.; Singh, D.; Hopke, P.K. Pollution concentrations in Delhi India during winter 2015–16: A case study of an odd-even vehicle strategy. Atmos. Pollut. Res. 2018, 9, 1137–1145. [Google Scholar] [CrossRef]
- Holben, B.N.; Eck, T.F.; Slutsker, I.; Tanrè, D.; Buis, J.P.; Setzer, A.; Vermote, E.; Reagan, J.A.; Kaufman, Y.J.; Nakajima, T.; et al. AERONET—A Federated Instrument Network and Data Archive for Aerosol Characterization. Remote Sens. Environ. 1998, 66, 1–16. [Google Scholar] [CrossRef]
- Mallet, M.; Dubovik, O.; Nabat, P.; Dulac, F.; Kahn, R.; Sciare, J.; Paronis, D.; Léon, J.F. Absorption properties of Mediterranean aerosols obtained from multi-year ground-based remote sensing observations. Atmos. Chem. Phys. 2013, 13, 9195–9210. [Google Scholar] [CrossRef] [Green Version]
- Schuster, G.L.; Dubovik, O.; Holben, B.N. Ångström exponent and bimodal aerosol size distributions. J. Geophys. Res. 2006, 111, D07207. [Google Scholar] [CrossRef] [Green Version]
- Kaufman, J.Y. Aerosol optical thickness and atmospheric path radiance. JGR Atmos. 1993, 98, 2677–2692. [Google Scholar] [CrossRef] [Green Version]
- O’Neill, M.S.; Jerrett, M.; Kawachi, I.; Levy, J.I.; Cohen, A.J.; Gouveia, N.; Wilkinson, P.; Fletcher, T.; Cifuentes, L.; Schwartz, J. Health, wealth, and air pollution: Advancing theory and methods. Environ. Health Perspect. 2003, 111, 1861–1870. [Google Scholar] [CrossRef]
- Perrone, M.R.; Burlizzi, P. Methodologies to obtain aerosol property profiles from three-wavelength elastic lidar signals. Int. J. Remote Sens. 2015, 36, 4748–4773. [Google Scholar] [CrossRef]
- Perrone, M.R.; Burlizzi, P. Mediterranean aerosol typing by integrating three-wavelength lidar and sun photometer meas-urements. Environ. Sci. Pollut. Res. 2016, 23, 14123–14146. [Google Scholar] [CrossRef] [PubMed]
- Seinfeld, J.H.; Pandis, S.N. Atmospheric Chemistry and Physics: From Air Pollution to Climate Change; J. Wiley &Sons, INC: Hoboken, NJ, USA, 1998. [Google Scholar]
- Rodríguez, S.; Van Dingenen, R.; Putaud, J.-P.; Dell’Acqua, A.; Pey, J.; Querol, X.; Alastuey, A.; Chenery, S.; Ho, K.-F.; Harrison, R.; et al. A study on the relationship between mass concentrations, chemistry and number size distribution of urban fine aerosols in Milan, Barcelona and London. Atmos. Chem. Phys. 2007, 7, 2217–2232. [Google Scholar] [CrossRef] [Green Version]
- Martins, L.D.; Martins, J.A.; Freitas, E.D.; Mazzoli, C.R.; Gonçalves, F.L.T.; Ynoue, R.Y.; Hallak, R.; Albuquerque, T.T.A.; Andrade, M.d.F. Potential healthimpact of ultrafine particles under clean and polluted urban atmospheric conditions: A model-based study. Air Qual. Atmos. Health 2010, 3, 29–39. [Google Scholar] [CrossRef] [PubMed] [Green Version]
- Monteiro dos Santos, D.; Varanda Rizzo, L.; Carbone, S.; Schlag, P.; Artaxo, P. Physical and chemical properties of urban aerosols in São Paulo, Brazil: Links between composition and size distribution of submicron particles. Atmos. Chem. Phys. 2021, 21, 8761–8773. [Google Scholar] [CrossRef]
- Sannino, A.; D’Emilio, M.; Castellano, P.; Amoruso, S.; Boselli, A. Analysis of Air Quality during the COVID-19 Pandemic Lockdown in Naples (Italy). Aerosol Air Qual. Res. 2021, 21, 200381. [Google Scholar] [CrossRef]
- Shukla, N.; Sharma, G.K.; Baruah, P.; Shukla, V.K.; Gargava, P. Impact of Shutdown due to COVID-19 Pandemic on Aerosol Characteristics in Kanpur, India. J. Health Pollut. 2020, 10. [Google Scholar] [CrossRef]
- Perrone, M.R.; Vecchi, R.; Romano, S.; Becagli, S.; Traversi, R.; Paladini, F. Weekly cycle assessment of PM mass concentrations and sources, and impacts on temperature and wind speed in Southern Italy. Atmos. Res. 2019, 218, 129–144. [Google Scholar] [CrossRef]
- Romano, S.; Vecchi, R.; Perrone, M.R. Intensive optical parameters of pollution sources identified by the positive matrix factorization technique. Atmos. Res. 2020, 244, 105029. [Google Scholar] [CrossRef]
- Dubovik, O.; Smirnov, A.; Holben, B.N.; King, M.D.; Kaufman, Y.J.; Eck, T.F.; Slutsker, I. Accuracy assessments of aerosol optical properties retrieved from Aerosol Robotic Network (AERONET) Sun and sky radiance measurements. J. Geophys. Res. 2000, 105, 9791–9806. [Google Scholar] [CrossRef] [Green Version]
- Santese, M.; De Tomasi, F.; Perrone, M.R. Advection patterns and aerosol optical and microphysical properties by AERONET over south-east Italy in the central Mediterranean. Atmos. Chem. Phys. 2008, 8, 1881–1896. [Google Scholar] [CrossRef] [Green Version]
- Dubovik, O.; Holben, B.; Eck, T.F.; Smirnov, A.; Kaufman, Y.J.; King, M.D.; Tanré, D.; Slutsker, I. Variability of Absorption and Optical Properties of Key Aerosol Types Observed in Worldwide Locations. J. Atmos. Sci. 2002, 59, 590–608. [Google Scholar] [CrossRef]
- Collivignarelli, M.C.; Abbà, A.; Bertanza, G.; Pedrazzani, R.; Ricciardi, P.; Carnevale Miino, M. Lockdown for COVID-2019 in Milan: What are the effects on air quality? Sci. Total Environ. 2020, 732, 139280. [Google Scholar] [CrossRef] [PubMed]
- Grivas, G.; Athanasopoulou, E.; Kakouri, A.; Bailey, J.; Liakakou, E.; Stavroulas, I.; Kalkavouras, P.; Bougiatioti, A.; Kaskaoutis, D.; Ramonet, M.; et al. Integrating in situ Measurements and City Scale Modelling to Assess the COVID–19 Lockdown Effects on Emissions and Air Quality in Athens, Greece. Atmosphere 2020, 11, 1174. [Google Scholar] [CrossRef]
- Tobías, A.; Carnerero, C.; Reche, C.; Massagué, J.; Via, M.; Minguillón, M.C.; Alastuey, A.; Querol, X. Changes in air quality during the lockdown in Barcelona (Spain) one month into the SARS-CoV-2 epidemic. Sci. Total Environ. 2020, 726, 138540. [Google Scholar] [CrossRef]
- Hashim, B.M.; Al-Naseri, S.K.; Al-Maliki, A.; Al-Ansari, N. Impact of COVID-19 lockdown on NO2, O3, PM2.5 and PM10 concentrations and assessing air quality changes in Baghdad, Iraq. Sci. Total Environ. 2021, 754, 141978. [Google Scholar] [CrossRef]
- Munir, S.; Coskuner, G.; Jassim, M.S.; Aina, Y.A.; Ali, A.; Mayfield, M. Changes in Air Quality Associated with Mobility Trends and Meteorological Conditions during COVID-19 Lockdown in Northern England, UK. Atmosphere 2021, 12, 504. [Google Scholar] [CrossRef]
- Paciorek, C.J.; Yanosky, J.D.; Puett, R.C.; Laden, F.; Suh, H.H. Practical large-scale spatio-temporal modeling of particulate matter concentrations. Ann. Appl. Stat. 2009, 3, 370–397. [Google Scholar] [CrossRef]
- INEMAR. INEMAR (AIR Emissions Inventory) (in Italian) 2017. Arpa Lomb. Available online: http://www.inemar.eu/xwiki/bin/view/Inemar/WebHome (accessed on 10 October 2021).
- Hassler, B.; McDonald, B.C.; Frost, G.J.; Borbon, A.; Carslaw, D.C.; Civerolo, K.; Granier, C.; Monks, P.S.; Monks, S.; Parrish, D.D.; et al. Analysis of Long-Term Observations of NOx and CO in Megacities and Application to Constraining Emissions Inventories. Geophys. Res. Lett. 2016, 43, 9920. [Google Scholar] [CrossRef] [Green Version]
- Lama, S.; Houwelling, S.; Boersma, K.F.; Eskes, H.; Aben, I.; van der Gon, H.A.C.D.; Krol, M.C.; Dolman, H.; Borsdorff, T.; Lorente, A. Quantifying burning efficiency in megacities using the NO2/CO ratio from the Tropospheric Monitoring Instrument (TROPOMI). Atmos. Chem. Phys. 2020, 20, 10295–10310. [Google Scholar] [CrossRef]
- Teixidó, O.; Tobías, A.; Massagué, J.; Mohamed, R.; Ekaabi, R.; Hamed, H.I.; Perry, R.; Querol, X.; Al Hosani, S. The influence of COVID-19 preventive measures on the air quality in Abu Dhabi (United Arab Emirates). Air Qual. Atmos. Health 2021, 14, 1071–1079. [Google Scholar] [CrossRef] [PubMed]
- Xu, K.; Cui, K.; Young, L.-H.; Hsieh, Y.-K.; Wang, Y.-F.; Zhang, J.; Wan, S. Impact of the COVID-19 Event on Air Quality in Central China. Aerosol Air Qual. Res. 2020, 20, 915–929. [Google Scholar] [CrossRef] [Green Version]
- Nakada, L.Y.K.; Urban, R.C. COVID–19 pandemic: Impacts on the air quality during the partial lockdown in São Paulo state, Brazil. Sci. Total Environ. 2020, 730, 13908. [Google Scholar] [CrossRef] [PubMed]









| Period | Time Interval | Number of Days | 
|---|---|---|
| Pre-LD | 1 January–8 March 2020 | 68 | 
| LD | 9 March–17 May 2020 | 69 | 
| Post-LD | 18 May–26 July 2020 | 69 | 
| Publisher’s Note: MDPI stays neutral with regard to jurisdictional claims in published maps and institutional affiliations. | 
© 2021 by the authors. Licensee MDPI, Basel, Switzerland. This article is an open access article distributed under the terms and conditions of the Creative Commons Attribution (CC BY) license (https://creativecommons.org/licenses/by/4.0/).
Share and Cite
Romano, S.; Catanzaro, V.; Paladini, F. Impacts of the COVID-19 Lockdown Measures on the 2020 Columnar and Surface Air Pollution Parameters over South-Eastern Italy. Atmosphere 2021, 12, 1366. https://doi.org/10.3390/atmos12101366
Romano S, Catanzaro V, Paladini F. Impacts of the COVID-19 Lockdown Measures on the 2020 Columnar and Surface Air Pollution Parameters over South-Eastern Italy. Atmosphere. 2021; 12(10):1366. https://doi.org/10.3390/atmos12101366
Chicago/Turabian StyleRomano, Salvatore, Valentina Catanzaro, and Fabio Paladini. 2021. "Impacts of the COVID-19 Lockdown Measures on the 2020 Columnar and Surface Air Pollution Parameters over South-Eastern Italy" Atmosphere 12, no. 10: 1366. https://doi.org/10.3390/atmos12101366
APA StyleRomano, S., Catanzaro, V., & Paladini, F. (2021). Impacts of the COVID-19 Lockdown Measures on the 2020 Columnar and Surface Air Pollution Parameters over South-Eastern Italy. Atmosphere, 12(10), 1366. https://doi.org/10.3390/atmos12101366
 
         
                                                


 
       