VOCs Fugitive Emission Characteristics and Health Risk Assessment from Typical Plywood Industry in the Yangtze River Delta Region, China
Abstract
:1. Introduction
2. Methodology
2.1. VOCs Sampling
2.2. VOCs Instrumental Analyses
2.3. Health Risk Assessment of VOCs Using the US EPA-Recommend Method
2.4. Health Risk Assessment of VOCs Using the ACGIH-Recommend Method
3. Results and Discussion
3.1. Fugitive Emission Characteristics of VOCs
3.1.1. General Characteristics of VOCs
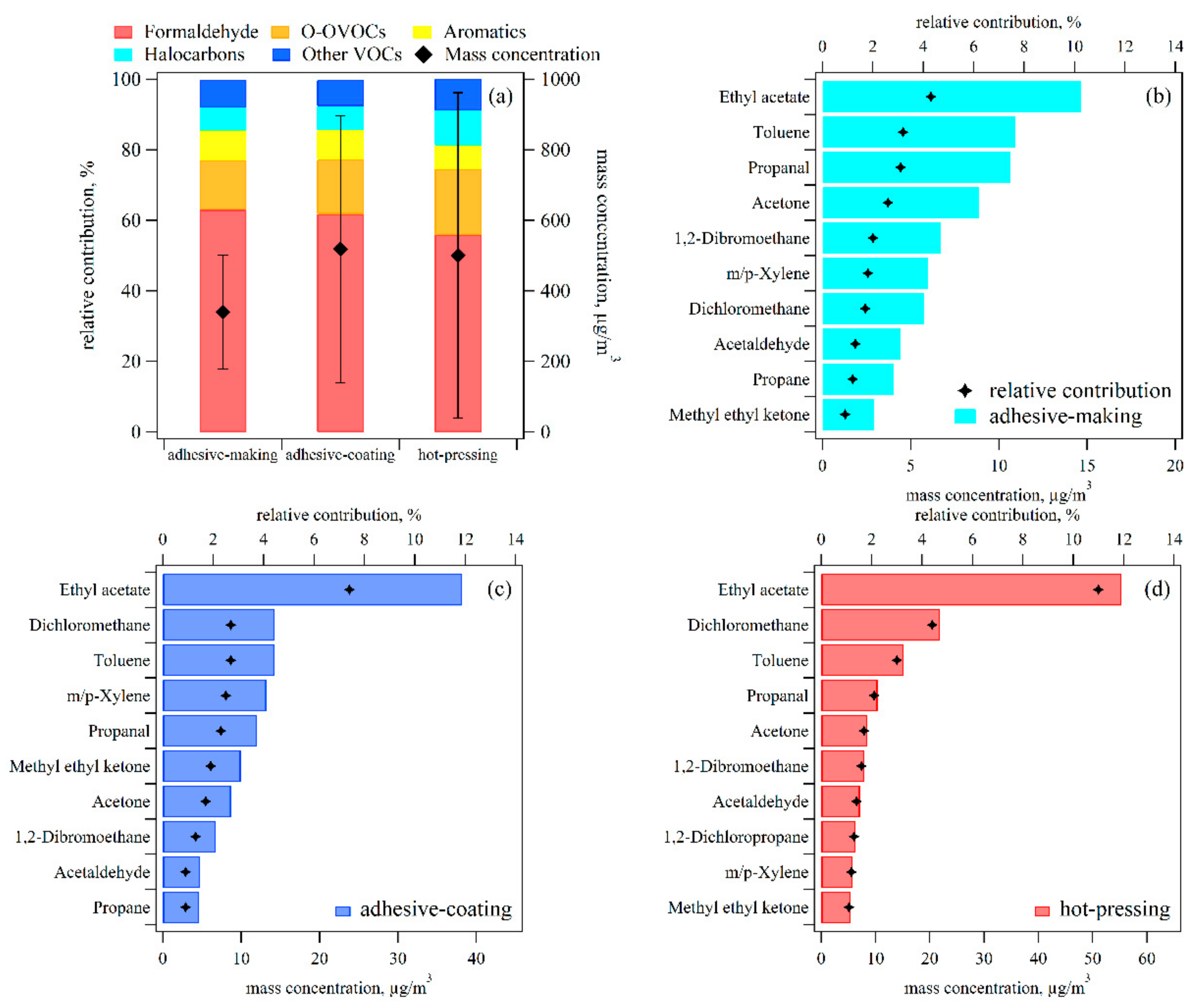
3.1.2. Process-Specific VOC Concentrations and Chemical Compositions
3.1.3. Ozone Formation Potentials (OFP) of VOCs
3.2. Health Risk Assessment of VOCs
3.2.1. Non-Cancer Toxic Risk of VOCs
3.2.2. Lifetime Cancer Risk of VOCs
3.2.3. Occupational Exposure Cancer Risk of VOCs
3.2.4. A Cancer Health Risk Reduction Scheme Based on Air Ventilation
4. Conclusions
Supplementary Materials
Author Contributions
Funding
Institutional Review Board Statement
Informed Consent Statement
Data Availability Statement
Acknowledgments
Conflicts of Interest
References
- Fan, M.Y.; Zhang, Y.-L.; Lin, Y.C.; Li, L.; Xie, F.; Hu, J.; Mozaffar, A.; Cao, F. Source apportionments of atmospheric volatile organic compounds in Nanjing, China during high ozone pollution season. Chemosphere 2021, 263, 128025. [Google Scholar] [CrossRef]
- Zhu, J.; Cheng, H.; Peng, J.; Zeng, P.; Wang, Z.; Lyu, X.; Guo, H. O3 photochemistry on O3 episode days and non-O3 episode days in Wuhan, Central China. Atmos. Environ. 2020, 223, 117236. [Google Scholar] [CrossRef]
- Atkinson, R. Atmospheric chemistry of VOCs and NOx. Atmos. Environ. 2000, 34, 2063–2101. [Google Scholar] [CrossRef]
- Dorter, M.; Odabasi, M.; Yenisoy-Karakas, S. Source apportionment of biogenic and anthropogenic VOCs in Bolu plateau. Sci. Total Environ. 2020, 731, 139201. [Google Scholar] [CrossRef] [PubMed]
- Casset, A.; Marchand, C.; Purohit, A.; le Calve, S.; Uring-Lambert, B.; Donnay, C.; Meyer, P.; de Blay, F. Inhaled formaldehyde exposure: Effect on bronchial response to mite allergen in sensitized asthma patients. Allergy 2006, 61, 1344–1350. [Google Scholar] [CrossRef] [PubMed]
- Kanjanasiranont, N.; Prueksasit, T.; Morknoy, D.; Tunsaringkarn, T.; Sematong, S.; Siriwong, W.; Zapaung, K.; Rungsiyothin, A. Determination of ambient air concentrations and personal exposure risk levels of outdoor workers to carbonyl compounds and BTEX in the inner city of Bangkok, Thailand. Atmos. Pollut. Res. 2016, 7, 268–277. [Google Scholar] [CrossRef]
- Lerner, J.E.; Kohajda, T.; Aguilar, M.E.; Massolo, L.A.; Sanchez, E.Y.; Porta, A.A.; Opitz, P.; Wichmann, G.; Herbarth, O.; Mueller, A. Improvement of health risk factors after reduction of VOC concentrations in industrial and urban areas. Environ. Sci. Pollut. Res. Int. 2014, 21, 9676–9688. [Google Scholar] [CrossRef]
- McKeon, T.P.; Hwang, W.T.; Ding, Z.; Tam, V.; Wileyto, P.; Glanz, K.; Penning, T.M. Environmental exposomics and lung cancer risk assessment in the Philadelphia metropolitan area using ZIP code-level hazard indices. Environ. Sci. Pollut. Res. Int. 2021, 28, 31758–31769. [Google Scholar] [CrossRef]
- FAO. FAOSTAT System. Available online: https://www.fao.org/faostat/zh/#data/FO (accessed on 1 October 2021).
- Qin, L.; Liu, X.; Zhang, Z. Development Status and Trend of Plywood Industry in China. China For. Prod. Ind. 2020, 57, 1–3. (In Chinese) [Google Scholar] [CrossRef]
- Jia, L.; Chu, J.; Li, J.; Ren, J.; Huang, P.; Li, D. Formaldehyde and VOC emissions from plywood panels bonded with bio-oil phenolic resins. Environ Pollut. 2020, 264, 114819. [Google Scholar] [CrossRef]
- Wang, J.; Xiong, C.; Chen, J.; Han, L.; Xu, C. Study on emission characteristics and source composition spectrum of VOCs in typical wood-based panel manufacturing enterprises. Sichuan Environ. 2019, 38, 1–8. (In Chinese) [Google Scholar] [CrossRef]
- The Ministry of Ecology and Environment of China. The Technical Guidelines for the Emission Inventories of Volatile Organic Compounds (VOCs). 2014; (In Chinese). Available online: https://www.mee.gov.cn/gkml/hbb/bgg/201408/t20140828_288364 (accessed on 1 October 2021).
- Lv, D.; Lu, S.; Shao, M.; Wang, L.; Ren, J. Emission characteristics of volatile organic compounds (VOCs) from typical plywood industry. China Environ. Sci. 2020, 40, 1924–1931. (In Chinese) [Google Scholar] [CrossRef]
- Cao, T.; Shen, J.; Wang, Q.; Li, H.; Xu, C. Influence of loading factors on VOCs emission from veneered plywood. Eur. J. Wood. Wood. Prod. 2020, 78, 1287–1293. [Google Scholar] [CrossRef]
- He, Z.; Zhang, Y.; Wei, W. Formaldehyde and VOC emissions at different manufacturing stages of wood-based panels. Build. Environ. 2012, 47, 197–204. [Google Scholar] [CrossRef]
- Liu, Y.; Kong, L.; Liu, X.; Zhang, Y.; Li, C.; Zhang, Y.; Zhang, C.; Qu, Y.; An, J.; Ma, D.; et al. Characteristics, secondary transformation, and health risk assessment of ambient volatile organic compounds (VOCs) in urban Beijing, China. Atmos. Pollut. Res. 2021, 12, 33–46. [Google Scholar] [CrossRef]
- An, T.; Huang, Y.; Li, G.; He, Z.; Chen, J.; Zhang, C. Pollution profiles and health risk assessment of VOCs emitted during e-waste dismantling processes associated with different dismantling methods. Environ. Int. 2014, 73, 186–194. [Google Scholar] [CrossRef] [PubMed]
- Zheng, G.; Liu, J.; Shao, Z.; Chen, T. Emission characteristics and health risk assessment of VOCs from a food waste anaerobic digestion plant: A case study of Suzhou, China. Environ. Pollut. 2020, 257, 113546. [Google Scholar] [CrossRef]
- He, Z.; Li, G.; Chen, J.; Huang, Y.; An, T.; Zhang, C. Pollution characteristics and health risk assessment of volatile organic compounds emitted from different plastic solid waste recycling workshops. Environ. Int. 2015, 77, 85–94. [Google Scholar] [CrossRef]
- Zheng, H.; Kong, S.; Yan, Y.; Chen, N.; Yao, L.; Liu, X.; Wu, F.; Cheng, Y.; Niu, Z.; Zheng, S.; et al. Compositions, sources and health risks of ambient volatile organic compounds (VOCs) at a petrochemical industrial park along the Yangtze River. Sci. Total Environ. 2020, 703, 135505. [Google Scholar] [CrossRef]
- Nie, E.; Zheng, G.; Ma, C. Characterization of odorous pollution and health risk assessment of volatile organic compound emissions in swine facilities. Atmos. Environ. 2020, 223, 117233. [Google Scholar] [CrossRef]
- Wang, M.; Zeng, L.; Lu, S.; Shao, M.; Liu, X.; Yu, X.; Chen, W.; Yuan, B.; Zhang, Q.; Hu, M.; et al. Development and validation of a cryogen-free automatic gas chromatograph system (GC-MS/FID) for online measurements of volatile organic compounds. Anal. Methods 2014, 6, 9424–9434. [Google Scholar] [CrossRef]
- US EPA. Integrated Risk Information System (IRIS). Available online: https://iris.epa.gov/AtoZ/?list_type=alpha (accessed on 1 October 2021).
- ACGIH. TLV and BEI Documentation. Available online: http://www.acgih.org/ (accessed on 1 October 2021).
- Liu, Y.; Zhu, X. Measurement of formaldehyde and VOCs emissions from wood-based panels with nanomaterial-added melamine-impregnated paper. Constr. Build. Mater. 2014, 66, 132–137. [Google Scholar] [CrossRef]
- Cao, T.; Shen, J.; Wang, Q.; Li, H.; Xu, C.; Dong, H. Characteristics of VOCs released from plywood in airtight environments. Forests 2019, 10, 709. [Google Scholar] [CrossRef] [Green Version]
- Mo, Z.; Shao, M.; Lu, S. Compilation of a source profile database for hydrocarbon and OVOC emissions in China. Atmos. Environ. 2016, 143, 209–217. [Google Scholar] [CrossRef]
- Venecek, M.A.; Carter, W.P.L.; Kleeman, M.J. Updating the SAPRC Maximum Incremental Reactivity (MIR) scale for the United States from 1988 to 2010. J. Air Waste Manag. Assoc. 2018, 68, 1301–1316. [Google Scholar] [CrossRef] [Green Version]
- Ishikawa, A.; Ohira, T.; Miyamoto, K.; Inoue, A.; Ohkoshi, M. Emission of volatile organic compounds during drying of veneer: Red meranti (Shorea sect. Rubroshorea), larch (Larix sp.), and sugi (Cryptomeria japonica D. Don). Bull. For. For. Prod. Res. Inst. 2009, 8, 115–125. [Google Scholar]








Publisher’s Note: MDPI stays neutral with regard to jurisdictional claims in published maps and institutional affiliations. |
© 2021 by the authors. Licensee MDPI, Basel, Switzerland. This article is an open access article distributed under the terms and conditions of the Creative Commons Attribution (CC BY) license (https://creativecommons.org/licenses/by/4.0/).
Share and Cite
Hu, K.; Liu, Z.; Wang, M.; Zhang, B.; Lin, H.; Lu, X.; Chen, W. VOCs Fugitive Emission Characteristics and Health Risk Assessment from Typical Plywood Industry in the Yangtze River Delta Region, China. Atmosphere 2021, 12, 1530. https://doi.org/10.3390/atmos12111530
Hu K, Liu Z, Wang M, Zhang B, Lin H, Lu X, Chen W. VOCs Fugitive Emission Characteristics and Health Risk Assessment from Typical Plywood Industry in the Yangtze River Delta Region, China. Atmosphere. 2021; 12(11):1530. https://doi.org/10.3390/atmos12111530
Chicago/Turabian StyleHu, Kun, Zhiqiang Liu, Ming Wang, Bingjie Zhang, Haotian Lin, Xingdong Lu, and Wentai Chen. 2021. "VOCs Fugitive Emission Characteristics and Health Risk Assessment from Typical Plywood Industry in the Yangtze River Delta Region, China" Atmosphere 12, no. 11: 1530. https://doi.org/10.3390/atmos12111530
APA StyleHu, K., Liu, Z., Wang, M., Zhang, B., Lin, H., Lu, X., & Chen, W. (2021). VOCs Fugitive Emission Characteristics and Health Risk Assessment from Typical Plywood Industry in the Yangtze River Delta Region, China. Atmosphere, 12(11), 1530. https://doi.org/10.3390/atmos12111530
