Dynamics of Vegetation Net Primary Productivity and Its Response to Drought in the Mongolian Plateau
Abstract
:1. Introduction
2. Data and Methodology
2.1. Study Area
2.2. Datasets
2.3. Methodology
2.3.1. Carnegie-Ames-Stanford Approach (CASA) Model
2.3.2. Standardized Precipitation Evapotranspiration Index (SPEI)
2.3.3. Sen’s Trend Analysis
2.3.4. Correlational Analysis Method
3. Results
3.1. Spatial-Temporal Variations of NPP in the Mongolian Plateau
3.1.1. Model Validation
3.1.2. Temporal Changes in NPP
3.1.3. Spatial Variation of NPP
3.2. Spatial-Temporal Variations of Drought in the Mongolian Plateau
3.2.1. Temporal Variation of Drought
3.2.2. Spatial Variation of Drought
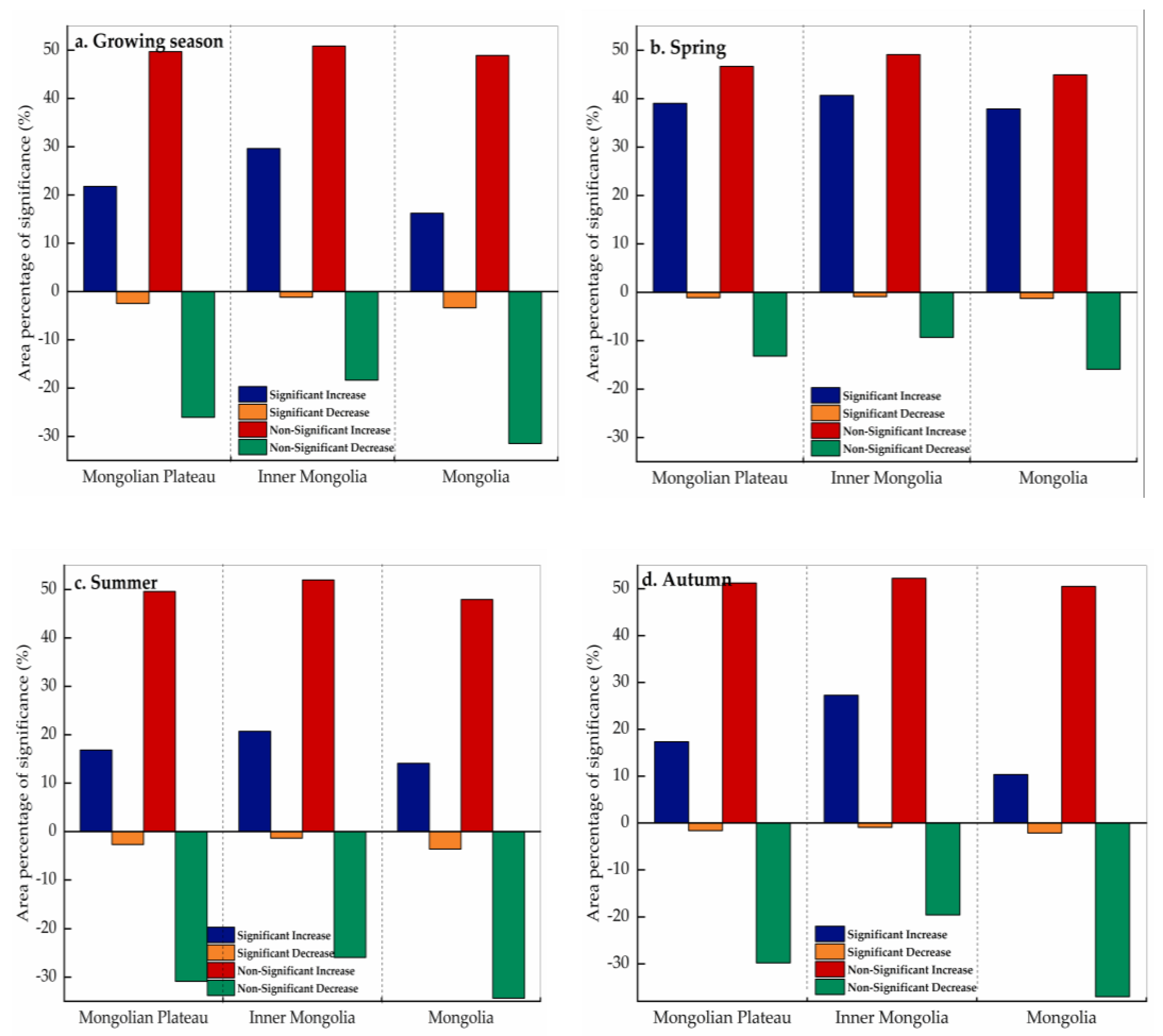
3.3. Relationship between NPP and SPEI in the Mongolian Plateau
3.4. Response of Different Vegetation NPP to Drought
4. Discussion
5. Conclusions
Author Contributions
Funding
Institutional Review Board Statement
Informed Consent Statement
Data Availability Statement
Conflicts of Interest
References
- Liu, S.L.; Zhang, Y.Q.; Cheng, F.Y.; Hou, X.Y.; Zhao, S. Response of Grassland Degradation to Drought at Different Time-Scales in Qinghai Province: Spatio-Temporal Characteristics, Correlation, and Implications. Remote Sens. 2017, 9, 1329. [Google Scholar] [CrossRef] [Green Version]
- Gang, C.C.; Wang, Z.Q.; Chen, Y.Z.; Yang, Y.; Li, J.L.; Cheng, J.M.; Qi, J.G.; Odeh, I. Drought-induced dynamics of carbon and water use efficiency of global grasslands from 2000 to 2011. Ecol. Indic. 2016, 67, 788–797. [Google Scholar] [CrossRef]
- Dai, A.G. Increasing drought under global warming in observations and models. Nat. Clim. Chang. 2013, 3, 52–58. [Google Scholar] [CrossRef]
- Jiang, D.B.; Wang, X.X. A brief interpretation of drought change from IPCC Sixth Assessment Report. Trans. Atmos. Sci. 2021, 44, 650–653. [Google Scholar]
- Sun, Y. Human Influence on the Climate System—An Interpretation of WGI Report of IPCC AR6. Trans. Atmos. Sci. 2021, 44, 654–657. [Google Scholar]
- IPCC. Climate Change 2021: The Physical Science Basis. In China Meteorological News; Sixth Assessment Report Working Group I; IPCC: Geneva, Switzerland, 2021; Volume 1. [Google Scholar]
- Trenberth, K.E.; Dai, A.G.; van der Schrier, G.; Jones, P.D.; Barichivich, J.; Briffa, K.R.; Sheffield, J. Global warming and changes in drought. Nat. Clim. Chang. 2014, 4, 17–22. [Google Scholar] [CrossRef]
- Keyantash, J.; Dracup, J.A. The quantification of drought: An evaluation of drought indices. Bull. Am. Meteorol Soc. 2002, 83, 1167–1180. [Google Scholar] [CrossRef]
- Porter, S.C.; Hallet, B.; Wu, X.H.; An, Z.S. Dependence of Near-Surface Magnetic Susceptibility on Dust Accumulation Rate and Precipitation on the Chinese Loess Plateau. Quat. Res. 2001, 55, 271–283. [Google Scholar] [CrossRef]
- Sternberg, T. Regional drought has a global impact. Nature 2011, 472, 169. [Google Scholar] [CrossRef]
- Kong, R.; Zhang, Z.; Zhang, F.; Tian, J.; Chang, J.; Jiang, S.; Zhu, B.; Chen, X. Increasing carbon storage in subtropical forests over the Yangtze River basin and its relations to the major ecological projects. Sci. Total. Environ. 2020, 709, 136–163. [Google Scholar] [CrossRef]
- Chen, T.; Li, P.; Shao, Q.L.; Wang, Q. Spatio-temporal Pattern of Net Primary Productivity in Hengduan Mountains area, China: Impacts of Climate Change and Human Activities. Chin. Geogr. Sci. 2017, 27, 948–962. [Google Scholar] [CrossRef] [Green Version]
- Ren, H.; Shang, Y.; Zhang, S. Measuring the spatiotemporal variations of vegetation net primary productivity in Inner Mongolia using spatial autocorrelation. Ecol. Indic. 2020, 112, 106–108. [Google Scholar] [CrossRef]
- Wang, J.; Brown, D.G.; Chen, J.Q. Drivers of the dynamics in net primary productivity across ecological zones on the Mongolian Plateau. Landsc. Ecol. 2013, 28, 725–739. [Google Scholar] [CrossRef]
- Ersahin, S.; Bilgili, B.; Dikmen, U.; Ercanli, I. Net Primary Productivity of Anatolian Forests in Relation to Climate, 2000–2010. Forest Sci. 2016, 62, 698–709. [Google Scholar] [CrossRef]
- Zhao, M.; Running, S.W. Drought-induced reduction in global terrestrial net primary production from 2000 through 2009. Science 2010, 329, 940–943. [Google Scholar] [CrossRef] [PubMed] [Green Version]
- Yu, C.L.; Liu, D. Response in productivity of natural vegetation to drought in northeast China based on MODIS. Acta Ecologica Sinica. 2019, 39, 3978–3990. [Google Scholar]
- Chen, T.; Werf, G.R.; Jeu, R.A.M.; Wang, G.; Dolman, A.J. A global analysis of the impact of drought on net primary productivity. Hydrol. Earth Syst. Sci. 2013, 17, 3885–3894. [Google Scholar] [CrossRef] [Green Version]
- Lai, C.G.; Li, J.; Wang, Z.; Wu, X.; Zeng, Z.; Chen, X.; Lian, Y.; Yu, H.; Wang, P.; Bai, X. Drought-Induced Reduction in Net Primary Productivity across Mainland China from 1982 to 2015. Remote Sens. 2018, 10, 1433. [Google Scholar] [CrossRef] [Green Version]
- Yang, S.Y.; Meng, D.; Li, X.J.; Wu, X.L. Multi-scale responses of vegetation changes relative to the SPEI meteorological drought index in North China in 2001–2014. Acta Ecol. Sin. 2018, 38, 1028–1039. [Google Scholar]
- Sun, B.; Zhao, H.; Wang, X. Effects of drought on net primary productivity: Roles of temperature, drought intensity, and duration. Chin. Geogr. Sci. 2016, 26, 270–282. [Google Scholar] [CrossRef] [Green Version]
- John, R.; Chen, J.Q.; Ou-Yang, Z.-T.; Xiao, J.F.; Becker, R.; Samanta, A.; Ganguly, S.; Yuan, W.P.; Batkhishig, O. Vegetation response to extreme climate events on the Mongolian Plateau from 2000 to 2010. Environ. Res. Lett. 2013, 8, 035033. [Google Scholar] [CrossRef]
- Huang, L.; He, B.; Chen, A.; Wang, H.; Liu, J.; Lu, A.; Chen, Z. Drought dominates the interannual variability in global terrestrial net primary production by controlling semi-arid ecosystems. Sci. Rep. 2016, 6, 554. [Google Scholar]
- Lu, C.Q.; Tian, H.Q.; Zhang, J.; Yu, Z.; Pan, S.F.; Dangal, S.; Zhang, B.; Yang, J.; Pederson, N.; Hessl, A. Severe Long-Lasting Drought Accelerated Carbon Depletion in the Mongolian Plateau. Geophys. Res. Lett. 2019, 46, 5303–5312. [Google Scholar] [CrossRef]
- Cao, X.M.; Feng, Y.M.; Shi, Z.J. Spatio-temporal variations in drought with remote sensing from the Mongolian Plateau during 1982–2018. Chin Geogr Sci. 2020, 30, 1081–1094. [Google Scholar] [CrossRef]
- Tong, S.Q.; Liu, G.X.; Bao, Y.H.; Bao, G. Drought Monitoring in Mongolia Plateau from 1982 to 2006. In Proceedings of the Sixth Annual Meeting of Risk Analysis Committee of China Disaster Prevention Association, Hohhot, China, 23 August 2014; Volume 5. [Google Scholar]
- Huang, D.C. Estimation of Net Primary Productivity in the Mongolian Plateau Based on CASA Model. Master’s Thesis, Liaoning Technical University, Fuxin, China, 2014. [Google Scholar]
- Zhu, W.Q. Estimation of Net Primary Productivity of Chinese Terrestrial Vegetation Based on Remote Sensing and Its Relationship with Global Climate Change. Ph.D. Thesis, Beijing Normal University, Beijing, China, 2005. [Google Scholar]
- Zhu, W.Q.; Pan, Y.Z.; Zhang, J.S. Estimation of net primary productivity of Chinese terrestrial vegetation based on remote sensing. J. Plant Ecol. 2007, 31, 413–424. [Google Scholar]
- Pei, F.S.; Li, X.; Liu, X.P.; Wang, S.J.; He, Z.J. Assessing the differences in net primary productivity between pre-and post-urban land development in China. Agric. For. Meteorol. 2013, 171, 174–186. [Google Scholar] [CrossRef]
- Pei, F.S.; Li, X.; Liu, X.P.; Lao, C.H. Assessing the impacts of droughts on net primary productivity in China. J. Environ. Manag. 2013, 114, 362–371. [Google Scholar] [CrossRef]
- Bao, G.; Chen, J.Q.; Chopping, M.; Bao, Y.H.; Bayarsaikhan, S.; Dorjsuren, A.; Tuya, A.; Jirigala, B.; Qin, Z. Dynamics of net primary productivity on the Mongolian Plateau: Joint regulations of phenology and drought. Int. J. Appl. Earth Obs. Geoinf. 2019, 81, 85–97. [Google Scholar] [CrossRef]
- Zhu, W.Q.; Pan, Y.Z.; He, H.; Yu, D.Y.; Hu, H.B. Simulation of maximum light utilization efficiency of typical vegetation in China. Chin Sci Bull. 2006, 6, 700–706. [Google Scholar]
- Bao, G.; Bao, Y.H.; Qin, Z.H.; Xin, X.P.; Bao, Y.L.; Bayarsaikan, S.; Zhou, Y.; Chuntai, B. Modeling net primary productivity of terrestrial ecosystems in the semi-arid climate of the Mongolian Plateau using LSWI-based CASA ecosystem model. Int. J. Appl. Earth Obs. Geoinf. 2016, 46, 84–93. [Google Scholar] [CrossRef]
- Vicente-Serrano, S.M.; Beguería, S.; López-Moreno, J.I. A multi-scalar drought index sensitive to global warming: The standardized precipitation evapotranspiration index. J. Clim. 2010, 23, 1696–1718. [Google Scholar] [CrossRef] [Green Version]
- Rusnam, R.; Yanti, N.R. Potential Evapotranspiration Uses Thornthwaite Method to the Water Balance in Padang City. In IOP Conference Series: Earth and Environmental Science; IOP Publishing: Bristol, UK, 2021; Volume 757. [Google Scholar]
- Fensholt, R.; Langanke, T.; Rasmussen, K.; Reenberg, A.; Prince, S.; Tucker, C.; Scholes, R.; Le, Q.; Bondeau, A.; Eastman, R.; et al. Greenness in semi-arid areas across the globe 1981–2007—An Earth Observing Satellite based analysis of trends and drivers. Remote Sens Environ. 2012, 121, 144–158. [Google Scholar] [CrossRef]
- Sen, P.K. Estimates of the regression coefficient based on Kendall’s tau. J. Am. Stat. Assoc. 1968, 63, 1379–1389. [Google Scholar] [CrossRef]
- Piao, S.L.; Fang, J.Y.; Chen, A.P. Seasonal Dynamics of Terrestrial Net Primary Production in Response to Climate Changes in China. Acta Botanica Sinica 2003, 3, 269–275. [Google Scholar]
- Piao, S.L.; Fang, J.Y.; Guo, Q.H. Application of CASA model to the estimation of Chinese terrestrial net primary productivity. Acta Phytoecol. Sin. 2001, 25, 603–608. [Google Scholar]
- Tian, H.J.; Cao, C.X.; Chen, W.; Bao, S.N.; Yang, B.; Myneni, R.B. Response of vegetation activity dynamic to climatic change and ecological restoration programs in Inner Mongolia from 2000 to 2012. Ecol. Eng. 2015, 82, 276–289. [Google Scholar] [CrossRef]
- Ma, W.Y.; He, L.; Zhao, C.Y. Desertification dynamics in Alxa League over the period of 2000–2012. J. Lanzhou Univ. 2015, 51, 55–60. [Google Scholar]
- Tong, S.; Zhang, J.; Bao, Y.; Lai, Q.; Lian, X.; Li, N.; Bao, Y.B. Analyzing vegetation dynamic trend on the Mongolian Plateau based on the Hurst exponent and influencing factors from 1982–2013. J. Geogr. Sci. 2018, 28, 5. [Google Scholar] [CrossRef] [Green Version]
- Tong, S.; Zhang, J.; Bao, Y. Spatial and temporal variations of vegetation cover and the relationships with climate factors in Inner Mongolia based on GIMMS NDVI3g data. J. Arid. Land. 2017, 9, 394–407. [Google Scholar] [CrossRef] [Green Version]
- Tong, S.; Lai, Q.; Zhang, J.; Bao, Y.; Lusi, A.; Ma, Q.; Li, X.; Zhang, F. Spatiotemporal drought variability on the Mongolian Plateau from 1980–2014 based on the SPEI-PM, intensity analysis and Hurst exponent. Sci. Total Environ. 2017, 615, 1557–1565. [Google Scholar] [CrossRef]
- Cao, X.M.; Feng, Y.M.; Wang, J.L.; Gao, Z.; Ning, J.; Gao, W. The study of the spatio-temporal changes of drought in the Mongolian Plateau in 40 years based on TVDI. SPIE Int. 2014, 9221, 92210X. [Google Scholar]
- Narisu, N.; Bao, Y.; Bao, Y. Drought Temporal Variation Characteristics Analysis Based on the PDSI Data in Mongolian Plateau. In Meeting of Risk Analysis Council of China Association for Disaster Prevention; Atlantis Press: Paris, France, 2016; pp. 843–848. [Google Scholar]
- Jha, S.; Srivastava, R. Impact of drought on vegetation carbon storage in arid and semi-arid regions. Remote Sens. Appl. 2018, 11, 22–29. [Google Scholar] [CrossRef]
- Zhao, J. The Responses to Drought and Drought-Resistant Characteristics of Nature Vegetation in Huang-Huai-Hai River Basion. Master’s Thesis, Donghua University, Shanghai, China, 2015. [Google Scholar]
- Ciais, P.; Reichstein, M.; Viovy, N.; Granier, A.; Ogee, J.; Allard, V.; Aubi-Net, M.; Buchmann, N.; Bernhofer, C.; Carrara, A. Europe-wide reduction in primary productivity caused by the heat and drought in 2003. Nature 2005, 437, 529–533. [Google Scholar] [CrossRef] [PubMed]
- Saleska, S.R.; Didan, K.; Huete, A.R.; da Rocha, H.R. Amazon forests green-up during 2005 drought. Science 2007, 318, 612. [Google Scholar] [CrossRef] [PubMed] [Green Version]












| Time Scale | Positive Correlation (%) | Significantly Positive Correlation (%, p < 0.05) | Negative Correlation (%) | Significantly Negative Correlation (%, p < 0.05) |
|---|---|---|---|---|
| Growing season | 91.86 | 20.89 | 8.14 | 7.29 |
| Spring | 53.27 | 47.96 | 46.73 | 37.71 |
| Summer | 93.48 | 21.26 | 6.52 | 5.87 |
| Autumn | 89.50 | 50.27 | 10.50 | 10.26 |
Publisher’s Note: MDPI stays neutral with regard to jurisdictional claims in published maps and institutional affiliations. |
© 2021 by the authors. Licensee MDPI, Basel, Switzerland. This article is an open access article distributed under the terms and conditions of the Creative Commons Attribution (CC BY) license (https://creativecommons.org/licenses/by/4.0/).
Share and Cite
Guo, X.; Tong, S.; Ren, J.; Ying, H.; Bao, Y. Dynamics of Vegetation Net Primary Productivity and Its Response to Drought in the Mongolian Plateau. Atmosphere 2021, 12, 1587. https://doi.org/10.3390/atmos12121587
Guo X, Tong S, Ren J, Ying H, Bao Y. Dynamics of Vegetation Net Primary Productivity and Its Response to Drought in the Mongolian Plateau. Atmosphere. 2021; 12(12):1587. https://doi.org/10.3390/atmos12121587
Chicago/Turabian StyleGuo, Xiaomeng, Siqin Tong, Jinyuan Ren, Hong Ying, and Yuhai Bao. 2021. "Dynamics of Vegetation Net Primary Productivity and Its Response to Drought in the Mongolian Plateau" Atmosphere 12, no. 12: 1587. https://doi.org/10.3390/atmos12121587
APA StyleGuo, X., Tong, S., Ren, J., Ying, H., & Bao, Y. (2021). Dynamics of Vegetation Net Primary Productivity and Its Response to Drought in the Mongolian Plateau. Atmosphere, 12(12), 1587. https://doi.org/10.3390/atmos12121587
