Study of Urban Heat Islands Using Different Urban Canopy Models and Identification Methods
Abstract
1. Introduction
2. Materials and Methods
2.1. Model Setup and Description
2.1.1. Topography and Land Use Data
2.1.2. Urban Canopy Models
2.1.3. Simulation Experiments
2.2. Model Evaluation Procedure
2.3. Urban Heat Island Identification Methods
3. Results
3.1. Synoptic Description of the Heatwave Event
3.2. Model Evaluation
3.3. Urban Heat Island Analysis
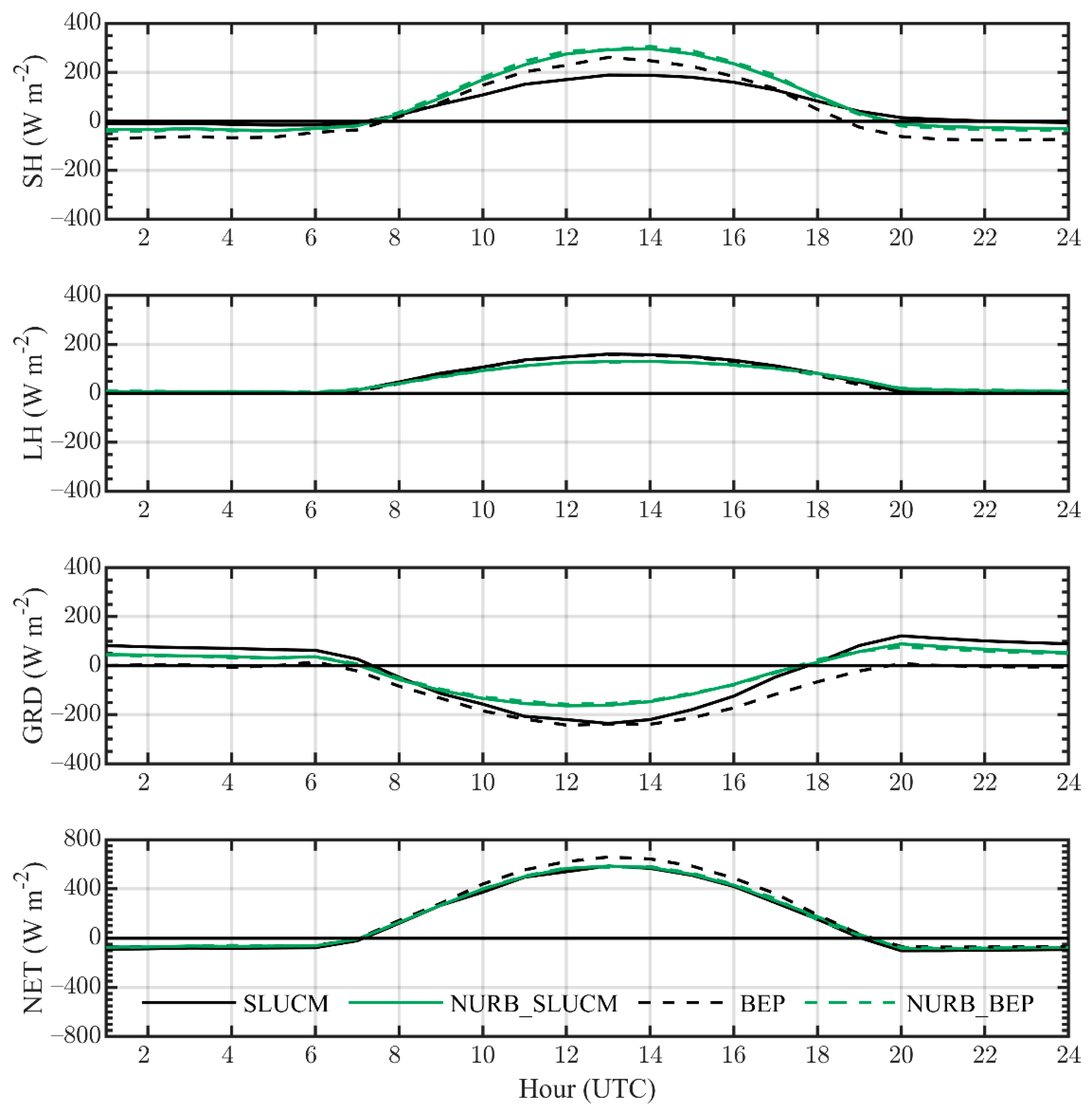
3.4. Surface Heat Fluxes
3.5. Vertical Analysis
4. Conclusions
Supplementary Materials
Author Contributions
Funding
Institutional Review Board Statement
Informed Consent Statement
Data Availability Statement
Acknowledgments
Conflicts of Interest
References
- Oke, T. City Size and the Urban Heat Island. Atmos. Environ. 1973, 7, 769–779. [Google Scholar] [CrossRef]
- Dong, L.; Mitra, C.; Greer, S.; Burt, E. The Dynamical Linkage of Atmospheric Blocking to Drought, Heatwave and Urban Heat Island in Southeastern US: A Multi-Scale Case Study. Atmosphere 2018, 9, 33. [Google Scholar] [CrossRef]
- Rasul, A.; Balzter, H.; Smith, C.; Remedios, J.; Adamu, B.; Sobrino, J.; Srivanit, M.; Weng, Q. A Review on Remote Sensing of Urban Heat and Cool Islands. Land 2017, 6, 38. [Google Scholar] [CrossRef]
- Rizwan, A.M.; Dennis, L.Y.C.; Liu, C. A Review on the Generation, Determination and Mitigation of Urban Heat Island. J. Environ. Sci. 2008, 20, 120–128. [Google Scholar] [CrossRef]
- Markowski, P.; Richardson, Y. Mesoscale Meteorology in Midlatitudes; John Wiley & Sons, Ltd.: Chichester, UK, 2010; ISBN 978-0-470-68210-4. [Google Scholar]
- Oke, T.R. Canyon Geometry and the Nocturnal Urban Heat Island: Comparison of Scale Model and Field Observations. J. Climatol. 1981, 1, 237–254. [Google Scholar] [CrossRef]
- Arnfield, A.J. Two Decades of Urban Climate Research: A Review of Turbulence, Exchanges of Energy and Water, and the Urban Heat Island. Int. J. Climatol. 2003, 23, 1–26. [Google Scholar] [CrossRef]
- Unger, J. Intra-Urban Relationship between Surface Geometry and Urban Heat Island: Review and New Approach. Clim. Res. 2004, 27, 253–264. [Google Scholar] [CrossRef]
- Morini, E.; Touchaei, A.; Castellani, B.; Rossi, F.; Cotana, F. The Impact of Albedo Increase to Mitigate the Urban Heat Island in Terni (Italy) Using the WRF Model. Sustainability 2016, 8, 999. [Google Scholar] [CrossRef]
- Weng, Q.; Lu, D.; Schubring, J. Estimation of Land Surface Temperature–Vegetation Abundance Relationship for Urban Heat Island Studies. Remote Sens. Environ. 2004, 89, 467–483. [Google Scholar] [CrossRef]
- Wong, N.H.; Yu, C. Study of Green Areas and Urban Heat Island in a Tropical City. Habitat Int. 2005, 29, 547–558. [Google Scholar] [CrossRef]
- Feng, J.-M.; Wang, Y.-L.; Ma, Z.-G.; Liu, Y.-H. Simulating the Regional Impacts of Urbanization and Anthropogenic Heat Release on Climate across China. J. Clim. 2012, 25, 7187–7203. [Google Scholar] [CrossRef]
- Ziter, C.D.; Pedersen, E.J.; Kucharik, C.J.; Turner, M.G. Scale-Dependent Interactions between Tree Canopy Cover and Impervious Surfaces Reduce Daytime Urban Heat during Summer. Proc. Natl. Acad. Sci. USA 2019, 116, 7575–7580. [Google Scholar] [CrossRef]
- Nastran, M.; Kobal, M.; Eler, K. Urban Heat Islands in Relation to Green Land Use in European Cities. Urban For. Urban Green. 2019, 37, 33–41. [Google Scholar] [CrossRef]
- Li, D.; Liao, W.; Rigden, A.J.; Liu, X.; Wang, D.; Malyshev, S.; Shevliakova, E. Urban Heat Island: Aerodynamics or Imperviousness? Sci. Adv. 2019, 5, eaau4299. [Google Scholar] [CrossRef] [PubMed]
- Manoli, G.; Fatichi, S.; Schläpfer, M.; Yu, K.; Crowther, T.W.; Meili, N.; Burlando, P.; Katul, G.G.; Bou-Zeid, E. Magnitude of Urban Heat Islands Largely Explained by Climate and Population. Nature 2019, 573, 55–60. [Google Scholar] [CrossRef]
- Shahmohamadi, P.; Che-Ani, A.I.; Maulud, K.N.A.; Tawil, N.M.; Abdullah, N.A.G. The Impact of Anthropogenic Heat on Formation of Urban Heat Island and Energy Consumption Balance. Urban Stud. Res. 2011, 2011, 1–9. [Google Scholar] [CrossRef]
- Salamanca, F.; Georgescu, M.; Mahalov, A.; Moustaoui, M.; Wang, M. Anthropogenic Heating of the Urban Environment Due to Air Conditioning: Anthropogenic Heating Due to AC. J. Geophys. Res. Atmos. 2014, 119, 5949–5965. [Google Scholar] [CrossRef]
- Sailor, D.J.; Georgescu, M.; Milne, J.M.; Hart, M.A. Development of a National Anthropogenic Heating Database with an Extrapolation for International Cities. Atmos. Environ. 2015, 118, 7–18. [Google Scholar] [CrossRef]
- Stewart, I.D. A Systematic Review and Scientific Critique of Methodology in Modern Urban Heat Island Literature. Int. J. Climatol. 2011, 31, 200–217. [Google Scholar] [CrossRef]
- Lowry, W.P. Empirical Estimation of Urban Effects on Climate: A Problem Analysis. J. Appl. Meteorol. 1977, 16, 129–135. [Google Scholar] [CrossRef]
- Georgescu, M.; Moustaoui, M.; Mahalov, A.; Dudhia, J. An Alternative Explanation of the Semiarid Urban Area “Oasis Effect”: The Semiarid Urban Area “Oasis Effect”. J. Geophys. Res. Atmos. 2011, 116. [Google Scholar] [CrossRef]
- Ma, S.; Pitman, A.; Hart, M.; Evans, J.P.; Haghdadi, N.; MacGill, I. The Impact of an Urban Canopy and Anthropogenic Heat Fluxes on Sydney’s Climate. Int. J. Climatol. 2017, 37, 255–270. [Google Scholar] [CrossRef]
- Li, D.; Bou-Zeid, E. Synergistic Interactions between Urban Heat Islands and Heat Waves: The Impact in Cities Is Larger than the Sum of Its Parts. J. Appl. Meteorol. Climatol. 2013, 52, 2051–2064. [Google Scholar] [CrossRef]
- Ramamurthy, P.; González, J.; Ortiz, L.; Arend, M.; Moshary, F. Impact of Heatwave on a Megacity: An Observational Analysis of New York City during July 2016. Environ. Res. Lett. 2017, 12, 054011. [Google Scholar] [CrossRef]
- Rogers, C.D.W.; Gallant, A.J.E.; Tapper, N.J. Is the Urban Heat Island Exacerbated during Heatwaves in Southern Australian Cities? Theor. Appl. Climatol. 2019, 137, 441–457. [Google Scholar] [CrossRef]
- Heaviside, C.; Macintyre, H.; Vardoulakis, S. The Urban Heat Island: Implications for Health in a Changing Environment. Curr. Environ. Health Rep. 2017, 4, 296–305. [Google Scholar] [CrossRef] [PubMed]
- IPCC Climate Change 2013: The Physical Science Basis. Contribution of Working Group I to the Fifth Assessment Report of the Intergovernmental Panel on Climate Change 2013; IPCC: Geneva, Switzerland, 2013.
- Rocha, A.; Pereira, S.C.; Viceto, C.; Silva, R.; Neto, J.; Marta-Almeida, M. A Consistent Methodology to Evaluate Temperature and Heat Wave Future Projections for Cities: A Case Study for Lisbon. Appl. Sci. 2020, 10, 1149. [Google Scholar] [CrossRef]
- Jacob, D.; Petersen, J.; Eggert, B.; Alias, A.; Christensen, O.B.; Bouwer, L.M.; Braun, A.; Colette, A.; Déqué, M.; Georgievski, G.; et al. EURO-CORDEX: New High-Resolution Climate Change Projections for European Impact Research. Reg. Environ. Chang. 2014, 14, 563–578. [Google Scholar] [CrossRef]
- Schär, C.; Vidale, P.L.; Lüthi, D.; Frei, C.; Häberli, C.; Liniger, M.A.; Appenzeller, C. The Role of Increasing Temperature Variability in European Summer Heatwaves. Nature 2004, 427, 332–336. [Google Scholar] [CrossRef]
- García-Herrera, R.; Díaz, J.; Trigo, R.M.; Luterbacher, J.; Fischer, E.M. A Review of the European Summer Heat Wave of 2003. Crit. Rev. Environ. Sci. Technol. 2010, 40, 267–306. [Google Scholar] [CrossRef]
- Alcoforado, M.-J.; Andrade, H. Nocturnal Urban Heat Island in Lisbon (Portugal): Main Features and Modelling Attempts. Theor. Appl. Climatol. 2006, 84, 151–159. [Google Scholar] [CrossRef]
- Lopes, A.; Alves, E.; Alcoforado, M.J.; Machete, R. Lisbon Urban Heat Island Updated: New Highlights about the Relationships between Thermal Patterns and Wind Regimes. Adv. Meteorol. 2013, 2013, 1–11. [Google Scholar] [CrossRef]
- Alcoforado, M.-J.; Lopes, A.; Alves, E.; Canário, P. Lisbon’s Urban Heat Island. Statistical Study 2004–2012. Finisterra 2014, 48, 61–80. [Google Scholar] [CrossRef]
- Oliveira, A.; Lopes, A.; Correia, E.; Niza, S.; Soares, A. Heatwaves and Summer Urban Heat Islands: A Daily Cycle Approach to Unveil the Urban Thermal Signal Changes in Lisbon, Portugal. Atmosphere 2021, 12, 292. [Google Scholar] [CrossRef]
- Skamarock, W.; Klemp, J.; Dudhia, J.; Gill, D.; Barker, D.; Duda, M.; Huang, X.-Y.; Wang, W.; Powers, J. A Description of the Advanced Research WRF Version 3; University Corporation for Atmospheric Research: Boulder, CO, USA, 2008. [Google Scholar]
- Powers, J.G.; Klemp, J.B.; Skamarock, W.C.; Davis, C.A.; Dudhia, J.; Gill, D.O.; Coen, J.L.; Gochis, D.J.; Ahmadov, R.; Peckham, S.E.; et al. The Weather Research and Forecasting Model: Overview, System Efforts, and Future Directions. Bull. Am. Meteorol. Soc. 2017, 98, 1717–1737. [Google Scholar] [CrossRef]
- Dee, D.P.; Uppala, S.M.; Simmons, A.J.; Berrisford, P.; Poli, P.; Kobayashi, S.; Andrae, U.; Balmaseda, M.A.; Balsamo, G.; Bauer, P.; et al. The ERA-Interim Reanalysis: Configuration and Performance of the Data Assimilation System. Q. J. R. Meteorol. Soc. 2011, 137, 553–597. [Google Scholar] [CrossRef]
- Marta-Almeida, M.; Teixeira, J.C.; Carvalho, M.J.; Melo-Gonçalves, P.; Rocha, A.M. High Resolution WRF Climatic Simulations for the Iberian Peninsula: Model Validation. Phys. Chem. Earth Parts ABC 2016, 94, 94–105. [Google Scholar] [CrossRef]
- Miguez-Macho, G.; Stenchikov, G.L.; Robock, A. Spectral Nudging to Eliminate the Effects of Domain Position and Geometry in Regional Climate Model Simulations. J. Geophys. Res. Atmos. 2004, 109. [Google Scholar] [CrossRef]
- Jacobs, S.J.; Gallant, A.J.E.; Tapper, N.J. The Sensitivity of Urban Meteorology to Soil Moisture Boundary Conditions: A Case Study in Melbourne, Australia. J. Appl. Meteorol. Climatol. 2017, 56, 2155–2172. [Google Scholar] [CrossRef]
- Xue, H.; Jin, Q.; Yi, B.; Mullendore, G.L.; Zheng, X.; Jin, H. Modulation of Soil Initial State on WRF Model Performance Over China. J. Geophys. Res. Atmos. 2017, 122, 11278–11300. [Google Scholar] [CrossRef]
- Li, M.; Wu, P.; Ma, Z. A Comprehensive Evaluation of Soil Moisture and Soil Temperature from Third-Generation Atmospheric and Land Reanalysis Data Sets. Int. J. Climatol. 2020, 40, 5744–5766. [Google Scholar] [CrossRef]
- Hong, S.-Y.; Lim, J.-O.J. The WRF Single-Moment 6-Class Microphysics Scheme (WSM6). Asia-Pac. J. Atmos. Sci. 2006, 42, 129–151. [Google Scholar]
- Dudhia, J. Numerical Study of Convection Observed during the Winter Monsoon Experiment Using a Mesoscale Two-Dimensional Model. J. Atmos. Sci. J Atmos. Sci. 1989, 46, 3077–3107. [Google Scholar] [CrossRef]
- Mlawer, E.J.; Taubman, S.J.; Brown, P.D.; Iacono, M.J.; Clough, S.A. Radiative Transfer for Inhomogeneous Atmospheres: RRTM, a Validated Correlated-k Model for the Longwave. J. Geophys. Res. Atmos. 1997, 102, 16663–16682. [Google Scholar] [CrossRef]
- Jiménez, P.A.; Dudhia, J.; González-Rouco, J.F.; Navarro, J.; Montávez, J.P.; García-Bustamante, E. A Revised Scheme for the WRF Surface Layer Formulation. Mon. Weather Rev. 2011, 140, 898–918. [Google Scholar] [CrossRef]
- Bougeault, P.; Lacarrere, P. Parameterization of Orography-Induced Turbulence in a Mesobeta—Scale Model. Mon. Weather Rev. 1989, 117, 1872–1890. [Google Scholar] [CrossRef]
- Chen, F.; Dudhia, J. Coupling an Advanced Land Surface–Hydrology Model with the Penn State–NCAR MM5 Modeling System. Part I: Model Implementation and Sensitivity. Mon. Weather Rev. 2001, 129, 569–585. [Google Scholar] [CrossRef]
- Grell, G.A.; Freitas, S.R. A Scale and Aerosol Aware Stochastic Convective Parameterization for Weather and Air Quality Modeling. Atmos. Chem. Phys. 2014, 14, 5233–5250. [Google Scholar] [CrossRef]
- Farr, T.; Rosen, P.; Caro, E.; Crippen, R.; Duren, R.; Hensley, S.; Kobrick, M.; Paller, M.; Rodriguez, E.; Roth, L.; et al. The Shuttle Radar Topography Mission. Rev. Geophys 2007, 45. [Google Scholar] [CrossRef]
- Büttner, G. CORINE Land Cover and Land Cover Change Products. In Land Use and Land Cover Mapping in Europe: Practices & Trends; Manakos, I., Braun, M., Eds.; Springer: Dordrecht, The Netherlands, 2014; pp. 55–74. ISBN 978-94-007-7969-3. [Google Scholar]
- Pineda, N.; Jorba, O.; Jorge, J.; Baldasano, J.M. Using NOAA AVHRR and SPOT VGT Data to Estimate Surface Parameters: Application to a Mesoscale Meteorological Model. Int. J. Remote Sens. 2004, 25, 129–143. [Google Scholar] [CrossRef]
- Carvalho, D.; Martins, H.; Marta-Almeida, M.; Rocha, A.; Borrego, C. Urban Resilience to Future Urban Heat Waves under a Climate Change Scenario: A Case Study for Porto Urban Area (Portugal). Urban Clim. 2017, 19, 1–27. [Google Scholar] [CrossRef]
- Stewart, I.D.; Oke, T.R. Local Climate Zones for Urban Temperature Studies. Bull. Am. Meteorol. Soc. 2012, 93, 1879–1900. [Google Scholar] [CrossRef]
- Oliveira, A.; Lopes, A.; Niza, S. Local Climate Zones in Five Southern European Cities: An Improved GIS-Based Classification Method Based on Copernicus Data. Urban Clim. 2020, 33, 100631. [Google Scholar] [CrossRef]
- Kusaka, H.; Kondo, H.; Kikegawa, Y.; Kimura, F. A Simple Single-Layer Urban Canopy Model For Atmospheric Models: Comparison With Multi-Layer And Slab Models. Bound. Layer Meteorol. 2001, 101, 329–358. [Google Scholar] [CrossRef]
- Kusaka, H.; KIMURA, F. Coupling a Single-Layer Urban Canopy Model with a Simple Atmospheric Model: Impact on Urban Heat Island Simulation for an Idealized Case. J. Meteorol. Soc. Jpn. 2004, 82, 67–80. [Google Scholar] [CrossRef]
- Martilli, A.; Clappier, A.; Rotach, M.W. An Urban Surface Exchange Parameterisation for Mesoscale Models. Bound. Layer Meteorol. 2002, 104, 261–304. [Google Scholar] [CrossRef]
- Chen, F.; Kusaka, H.; Bornstein, R.; Ching, J.; Grimmond, C.S.B.; Grossman-Clarke, S.; Loridan, T.; Manning, K.W.; Martilli, A.; Miao, S.; et al. The Integrated WRF/Urban Modelling System: Development, Evaluation, and Applications to Urban Environmental Problems. Int. J. Climatol. 2011, 31, 273–288. [Google Scholar] [CrossRef]
- Yang, J.; Wang, Z.-H.; Chen, F.; Miao, S.; Tewari, M.; Voogt, J.A.; Myint, S. Enhancing Hydrologic Modelling in the Coupled Weather Research and Forecasting–Urban Modelling System. Bound. Layer Meteorol. 2015, 155, 87–109. [Google Scholar] [CrossRef]
- Keyser, D.; Anthes, R.A. The Applicability of a Mixed–Layer Model of the Planetary Boundary Layer to Real-Data Forecasting. Mon. Weather Rev. 1977, 105, 1351–1371. [Google Scholar] [CrossRef][Green Version]
- Pielke, R.A. Mesoscale Meteorological Modeling; Elsevier Science: Amsterdam, The Netherlands, 2013; ISBN 978-0-12-385238-0. [Google Scholar]
- Trigo, R.M.; Pereira, J.M.C.; Pereira, M.G.; Mota, B.; Calado, T.J.; Dacamara, C.C.; Santo, F.E. Atmospheric Conditions Associated with the Exceptional Fire Season of 2003 in Portugal. Int. J. Climatol. 2006, 26, 1741–1757. [Google Scholar] [CrossRef]
- Trigo, R.M.; Ramos, A.M.; Nogueira, P.J.; Santos, F.D.; Garcia-Herrera, R.; Gouveia, C.; Santo, F.E. Evaluating the Impact of Extreme Temperature Based Indices in the 2003 Heatwave Excessive Mortality in Portugal. Environ. Sci. Policy 2009, 12, 844–854. [Google Scholar] [CrossRef]
- Alcoforado, M.-J.; Andrade, H.; Lopes, A.; Vasconcelos, J. Application of Climatic Guidelines to Urban Planning. Landsc. Urban Plan. 2009, 90, 56–65. [Google Scholar] [CrossRef]
- Haider Taha Modifying a Mesoscale Meteorological Model to Better Incorporate Urban Heat Storage: A Bulk-Parameterization Approach. J. Appl. Meteorol. 1999, 38, 466–473. [CrossRef]
- Teixeira, J.C.; Fallmann, J.; Carvalho, A.C.; Rocha, A. Surface to Boundary Layer Coupling in the Urban Area of Lisbon Comparing Different Urban Canopy Models in WRF. Urban Clim. 2019, 28, 100454. [Google Scholar] [CrossRef]
- Seibert, P. Review and Intercomparison of Operational Methods for the Determination of the Mixing Height. Atmos. Environ. 2000, 34, 1001–1027. [Google Scholar] [CrossRef]











| Thermal Parameters | Urban Canopy Model | |
|---|---|---|
| SLUCM | BEP | |
| CAPR: Heat capacity of the roof (106 J m−3 K−1) | 1 | |
| CAPB: Heat capacity of the building wall (106 J m−3 K−1) | 1 | |
| CAPG: Heat capacity of the ground (road) (106 J m−3 K−1) | 1.4 | |
| AKSR: Thermal conductivity of the roof (106 J m−3 K−1) | 0.67 | |
| AKSB: Thermal conductivity of the building wall (106 J m−3 K−1) | 0.67 | |
| AKSG: Thermal conductivity of the ground (road) (106 J m−3 K−1) | 0.4004 | |
| ALBR: Surface albedo of the roof (fraction) | 0.2 | |
| ALBB: Surface albedo of the building wall (fraction) | 0.2 | |
| ALBG: Surface albedo of the ground (road) (fraction) | 0.2 | |
| EPSR: Surface emissivity of the roof (-) | 0.9 | |
| EPSB: Surface emissivity of the building wall (-) | 0.9 | |
| EPSG: Surface emissivity of the ground (road) (-) | 0.95 | |
| Characteristic | Urban Class | Urban Canopy Model | |
|---|---|---|---|
| SLUCM | BEP | ||
| Building height [m] | Low intensity residential (LIR) | 10 | 5 (15%) |
| 10 (70%) | |||
| 15 (15%) | |||
| High intensity residential (HIR) | 15 | 10 (20%) | |
| 15 (60%) | |||
| 20 (20%) | |||
| Industrial or commercial (IC) | 24 | 15 (10%) | |
| 20 (25%) | |||
| 25 (40%) | |||
| 30 (25%) | |||
| Roof width [m] | LIR | 8.3 | |
| HIR | 9.4 | ||
| IC | 10 | ||
| Road width [m] | LIR | 8.3 | |
| HIR | 9.4 | ||
| IC | 10 | ||
| Urban fraction | LIR | 0.5 | |
| HIR | 0.9 | ||
| IC | 0.95 | ||
| Simulation Name | No. of Vertical Levels | Urban Parameterization | Urban Land Use Categories |
|---|---|---|---|
| SLUCM | 46 | Yes | Yes |
| NO_SLUCM | Noah bulk | Yes | |
| NURB_SLUCM | Yes | No | |
| BEP | 49 | Yes | Yes |
| NO_BEP | Noah bulk | Yes | |
| NURB_BEP | Yes | No |
| No. | Station Name | ID Number | Latitude (°) | Longitude (°) | Altitude (°) | Model Land Use Category |
|---|---|---|---|---|---|---|
| 1 | Lisbon/Alvalade | 01240921 | 38.756147 | −9.144628 | 90 | LIR |
| 2 | Amadora | 01240935 | 38.757578 | −9.242442 | 143 | LIR |
| 3 | Lisbon/Baixa | 01240925 | 38.710933 | −9.134056 | 8 | HIR |
| 4 | Lisbon/Benfica | 01240931 | 38.748853 | −9.199469 | 75 | LIR |
| 5 | Barreiro | 01240928 | 38.654350 | −9.067197 | 15 | HIR |
| 6 | Cacém | 01240936 | 38.769608 | −9.299486 | 124 | HIR |
| 7 | Lisbon/Estefânia | 01240924 | 38.729522 | −9.143322 | 79 | HIR |
| 8 | Lisbon/Airport | 01200579 | 38.766203 | −9.127494 | 104 | IC |
| 9 | Lisbon/Geofísico | 01200535 | 38.719078 | −9.149722 | 77 | LIR |
Publisher’s Note: MDPI stays neutral with regard to jurisdictional claims in published maps and institutional affiliations. |
© 2021 by the authors. Licensee MDPI, Basel, Switzerland. This article is an open access article distributed under the terms and conditions of the Creative Commons Attribution (CC BY) license (https://creativecommons.org/licenses/by/4.0/).
Share and Cite
Silva, R.; Carvalho, A.C.; Carvalho, D.; Rocha, A. Study of Urban Heat Islands Using Different Urban Canopy Models and Identification Methods. Atmosphere 2021, 12, 521. https://doi.org/10.3390/atmos12040521
Silva R, Carvalho AC, Carvalho D, Rocha A. Study of Urban Heat Islands Using Different Urban Canopy Models and Identification Methods. Atmosphere. 2021; 12(4):521. https://doi.org/10.3390/atmos12040521
Chicago/Turabian StyleSilva, Rui, Ana Cristina Carvalho, David Carvalho, and Alfredo Rocha. 2021. "Study of Urban Heat Islands Using Different Urban Canopy Models and Identification Methods" Atmosphere 12, no. 4: 521. https://doi.org/10.3390/atmos12040521
APA StyleSilva, R., Carvalho, A. C., Carvalho, D., & Rocha, A. (2021). Study of Urban Heat Islands Using Different Urban Canopy Models and Identification Methods. Atmosphere, 12(4), 521. https://doi.org/10.3390/atmos12040521

