Assessment of Different CFD Modeling and Solving Approaches for a Supersonic Steam Ejector Simulation
Abstract
:1. Introduction
2. Numerical Modeling
2.1. Geometry and Operating Conditions
2.2. Calculation Domain and Mesh Generation
2.3. Numerical Setting
2.3.1. Common Setting
2.3.2. Solver
2.3.3. Turbulence Model
2.3.4. Near-Wall Treatment
2.3.5. Fluid Property
2.3.6. Spatial Discretization Scheme
2.3.7. Convergence Criteria
3. Results
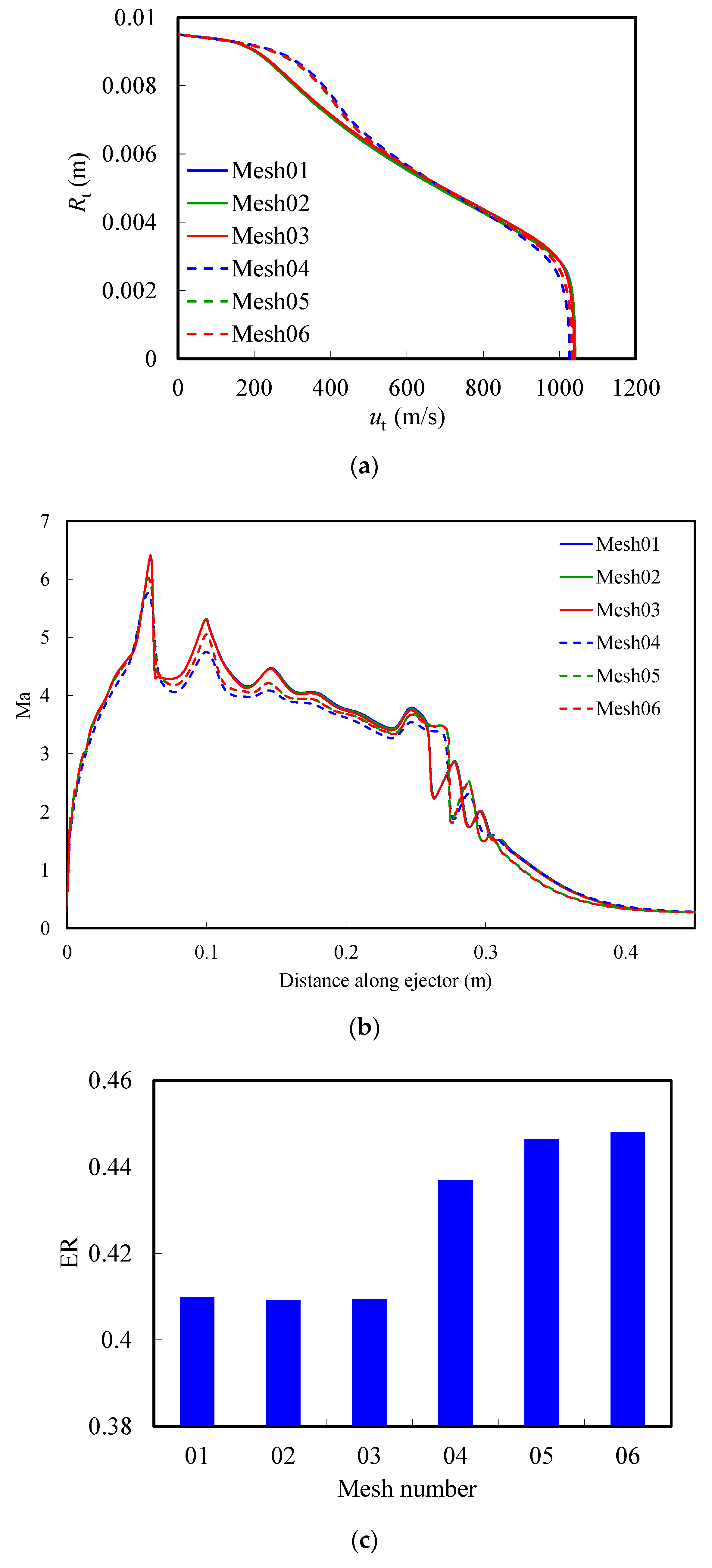
3.1. Mesh Sensitivity Analysis
3.2. Influence of the Solver
3.3. Influence of the Turbulence Model and the Near-Wall Treatment
3.4. Influence of the Spatial Discretization Scheme
4. Conclusions
- (1)
- In the choked flow region, the pressure- and density-based solvers have no significant difference for the global and local parameters, while in the unchoked flow region, the simulation results from the pressure-based solver are slightly closer to the experimental data than those of the density-based solver.
- (2)
- When a conventional density mesh is used with a standard wall function, the RKE model can obtain the best predictions of the maximum ER, and its RMS value of the wall static pressure error is the least among the three k-ε models, while they gain the same adequate CBP value with the spatial discretization scheme as the second-order upwind scheme. Hence, the RKE model with a standard wall function is recommended for a conventional density mesh.
- (3)
- When a high-density mesh with y+ < 1 is used, the SST model can obtain the best predictions of the maximum ER, and its RMS value of the wall static pressure error is lower than the three k-ε models with an adequate prediction of the CBP, while the RKE model with enhanced wall treatment can obtain the best prediction of the CBP and an adequate prediction of the ER. The SST model may overpredict the recirculation in an ejector. Hence, the RKE model with enhanced wall treatment is recommended for a high-density mesh, especially for a steam ejector with recirculation inside the diffuser.
- (4)
- The difference between the second-order upwind scheme and the QUICK scheme can be ignored for the maximum ER calculation, while the CBP value from the SKE model with the standard wall function is affected. Hence, the SKE model is more sensitive to the near-wall treatment and the spatial discretization scheme and is not recommended for the ejector simulation.
- (5)
- In the choked flow region, the location of the secondary shock process varies with the back pressure. The shock will move upstream into the ejector throat as the back pressure increases, but the mixing process is not disturbed, and the secondary flow remains choked. In the unchoked flow region, the secondary flow is not choked, and its flow rate decreases, resulting in a rapid drop of the ER as the back pressure increases. The shock moves upstream into the mixing chamber and disturbs the mixing between the primary and secondary fluids, increasing the complexity of the flow. That is why the numerical results for unchoked flow tend to be more susceptible to modeling or solving approaches than those for choked flow.
Author Contributions
Funding
Institutional Review Board Statement
Data Availability Statement
Acknowledgments
Conflicts of Interest
Nomenclature
| 2ND | second-order upwind scheme |
| CBP | critical back pressure (Pa) |
| COP | coefficient of performance |
| cp | specific heat (J/kg K) |
| D | diameter (mm) |
| DBS | density-based solver |
| ER | entrainment ratio |
| EoC | deviation values of calculation results, EoC = (simulation result/reference simulation result − 1) ···100 |
| EoE | error value of simulation result and experimental data, EoE = (simulation result/experimental data − 1) ···100 |
| EWT | enhanced wall treatment |
| EXP | experimental data |
| K | turbulence kinetic energy (m2/s2) |
| mp | primary flow rate (kg/s) |
| ms | secondary flow rate (kg/s) |
| Pb | back pressure (Pa) |
| PBS | pressure-based solver |
| RKE | realizable k-ε model |
| RMS | root mean square |
| RNG | RNG k-ε model |
| RSM | Reynolds Stress model |
| Rt | throat radius |
| SERS | steam ejector refrigeration system |
| SKE | standard k-ε model |
| SKW | standard k-ω model |
| SST | SST k-ω model |
| SWF | standard wall function |
| Tp | primary fluid saturated temperature, Tp = 130 °C |
| Ts | secondary fluid saturated temperature, Ts = 10 °C |
| u | streamwise velocity component (m/s) |
| u’, T’ | turbulence fluctuation terms(m/s, K) |
| ut | axial velocity at the throat inlet (m/s) |
| v | radial velocity component (m/s) |
| X | distance along ejector (m) |
| Greek | |
| α | thermal diffusivity (m2/s) |
| ε | turbulence dissipation rate (m2/s3) |
| λ | heat conductivity (W/m K) |
| μ | dynamic viscosity (kg/m s) |
| ρ | density (kg/m3) |
| ω | specific dissipation rate |
References
- Pérez-Lombard, L.; Ortiz, J.; Pout, C. A review on buildings energy consumption information. Energy Build. 2008, 40, 394–398. [Google Scholar] [CrossRef]
- Ghaebi, H.; Parikhani, T.; Rostamzadeh, H.; Farhang, B. Proposal and assessment of a novel geothermal combined cooling and power cycle based on Kalina and ejector refrigeration cycles. Appl. Therm. Eng. 2018, 130, 767–781. [Google Scholar] [CrossRef]
- Sriveerakul, T.; Aphornratana, S.; Chunnanond, K. Performance prediction of steam ejector using computational fluid dynamics: Part 1. Validation of the CFD results. Int. J. Therm. Sci. 2007, 46, 812–822. [Google Scholar] [CrossRef]
- Besagni, G.; Mereu, R.; Inzoli, F. Ejector refrigeration: A comprehensive review. Renew. Sustain. Energy Rev. 2016, 53, 373–407. [Google Scholar] [CrossRef] [Green Version]
- He, S.; Li, Y.; Wang, R.Z. Progress of mathematical modeling on ejectors. Renew. Sustain. Energy Rev. 2009, 13, 1760–1780. [Google Scholar] [CrossRef]
- Chunnanond, K.; Aphornratana, S. Ejectors: Applications in refrigeration technology. Renew. Sustain. Energy Rev. 2004, 8, 129–155. [Google Scholar] [CrossRef]
- Tashtoush, B.M.; Moh’d, A.A.-N.; Khasawneh, M.A. A comprehensive review of ejector design, performance, and applications. Appl. Energy 2019, 240, 138–172. [Google Scholar] [CrossRef]
- Chunnanond, K.; Aphornratana, S. An experimental investigation of a steam ejector refrigerator: The analysis of the pressure profile along the ejector. Appl. Therm. Eng. 2004, 24, 311–322. [Google Scholar] [CrossRef]
- Selvaraju, A.; Mani, A. Experimental investigation on R134a vapour ejector refrigeration system. Int. J. Refrig. 2006, 29, 1160–1166. [Google Scholar] [CrossRef]
- Mazzelli, F.; Milazzo, A. Performance analysis of a supersonic ejector cycle working with R245fa. Int. J. Refrig. 2015, 49, 79–92. [Google Scholar] [CrossRef]
- Gagan, J.; Smierciew, K.; Butrymowicz, D.; Karwacki, J. Comparative study of turbulence models in application to gas ejectors. Int. J. Therm. Sci. 2014, 78, 9–15. [Google Scholar] [CrossRef]
- Marynowski, T.; Desevaux, P.; Mercadier, Y. Experimental and numerical visualizations of condensation process in a supersonic ejector. J. Vis. 2009, 12, 251–258. [Google Scholar] [CrossRef]
- Bouhanguel, A.; Desevaux, P.; Gavignet, E. Flow visualization in supersonic ejectors using laser tomography techniques. Int. J. Refrig. 2011, 34, 1633–1640. [Google Scholar] [CrossRef]
- Zhu, Y.; Jiang, P. Experimental and numerical investigation of the effect of shock wave characteristics on the ejector performance. Int. J. Refrig. 2014, 40, 31–42. [Google Scholar] [CrossRef]
- Bartosiewicz, Y.; Desevaux, P.; Aidoun, Z.; Mercadier, Y. CFD-Experiments Integration in the Evaluation of Six Turbulence Models for Supersonic Ejectors Modeling. Integrating CFD and Experiments Conference. Available online: https://www.semanticscholar.org/paper/CFD-Experiments-Integration-in-the-Evaluation-of-Bartosiewicz-Desevaux/7d1996f2a50ba5b270193f15a7025431f205baa8 (accessed on 7 November 2021).
- Bartosiewicz, Y.; Aidoun, Z.; Mercadier, Y. Numerical assessment of ejector operation for refrigeration applications based on CFD. Appl. Therm. Eng. 2006, 26, 604–612. [Google Scholar]
- Hemidi, A.; Henry, F.; Leclaire, S.; Seynhaeve, J.-M.; Bartosiewicz, Y. CFD analysis of a supersonic air ejector. Part I: Experimental validation of single-phase and two-phase operation. Appl. Therm. Eng. 2009, 29, 1523–1531. [Google Scholar]
- Hemidi, A.; Henry, F.; Leclaire, S.; Seynhaeve, J.-M.; Bartosiewicz, Y. CFD analysis of a supersonic air ejector. Part II: Relation between global operation and local flow features. Appl. Therm. Eng. 2009, 29, 2990–2998. [Google Scholar]
- Yang, X.; Long, X.; Yao, X. Numerical investigation on the mixing process in a steam ejector with different nozzle structures. Int. J. Therm. Sci. 2012, 56, 95–106. [Google Scholar] [CrossRef]
- Ruangtrakoon, N.; Thongtip, T.; Aphornratana, S.; Sriveerakul, T. CFD simulation on the effect of primary nozzle geometries for a steam ejector in refrigeration cycle. Int. J. Therm. Sci. 2013, 63, 133–145. [Google Scholar] [CrossRef]
- Mazzelli, F.; Little, A.B.; Garimella, S.; Bartosiewicz, Y. Computational and experimental analysis of supersonic air ejector: Turbulence modeling and assessment of 3D effects. Int. J. Heat Fluid Flow 2015, 56, 305–316. [Google Scholar] [CrossRef]
- Croquer, S.; Poncet, S.; Aidoun, Z. Turbulence modeling of a single-phase R134a supersonic ejector. Part 1: Numerical benchmark. Int. J. Refrig. 2016, 61, 140–152. [Google Scholar] [CrossRef]
- Croquer, S.; Poncet, S.; Aidoun, Z. Turbulence modeling of a single-phase R134a supersonic ejector. Part 2: Local flow structure and exergy analysis. Int. J. Refrig. 2016, 61, 153–165. [Google Scholar] [CrossRef]
- Besagni, G.; Inzoli, F. Computational fluid-dynamics modeling of supersonic ejectors: Screening of turbulence modeling approaches. Appl. Therm. Eng. 2017, 117, 122–144. [Google Scholar] [CrossRef]
- Wang, C.; Wang, L.; Wang, X.; Zhao, H. Design and numerical investigation of an adaptive nozzle exit position ejector in multi-effect distillation desalination system. Energy 2017, 140, 673–681. [Google Scholar] [CrossRef]
- Han, Y.; Wang, X.; Sun, H.; Zhang, G.; Guo, L.; Tu, J. CFD simulation on the boundary layer separation in the steam ejector and its influence on the pumping performance. Energy 2019, 167, 469–483. [Google Scholar] [CrossRef]
- Pianthong, K.; Seehanam, W.; Behnia, M.; Sriveerakul, T.; Aphornratana, S. Investigation and improvement of ejector refrigeration system using computational fluid dynamics technique. Energy Convers. Manag. 2007, 48, 2556–2564. [Google Scholar] [CrossRef]
- Varga, S.; Oliveira, A.C.; Diaconu, B. Numerical assessment of steam ejector efficiencies using CFD. Int. J. Refrig. 2009, 32, 1203–1211. [Google Scholar] [CrossRef]
- ANSYS FLUENT Theory Guide Release 15.0; ANSYS Inc.: Canonsburg, PA, USA, 2013; Available online: http://www.pmt.usp.br/academic/martoran/notasmodelosgrad/ANSYS%20Fluent%20Theory%20Guide%2015.pdf (accessed on 7 November 2021).
- Dong, J.; Hu, Q.; Yu, M.; Han, Z.; Cui, W.; Liang, D.; Ma, H.; Pan, X. Numerical investigation on the influence of mixing chamber length on steam ejector performance. Appl. Therm. Eng. 2020, 174, 115204. [Google Scholar] [CrossRef]
- Li, C.; Li, Y.Z. Investigation of entrainment behavior and characteristics of gas–liquid ejectors based on CFD simulation. Chem. Eng. Sci. 2011, 66, 405–416. [Google Scholar] [CrossRef]
- Yazdani, M.; Alahyari, A.A.; Radcliff, T.D. Numerical modeling of two-phase supersonic ejectors for work-recovery applications. Int. J. Heat Mass Transf. 2012, 55, 5744–5753. [Google Scholar]
- Wilcox, D.C. Turbulence modeling for CFD; DCW Industries: La Canada, CA, USA, 1998; p. 2. [Google Scholar]
- Launder, B.E.; Spalding, D.B. Mathematical Models of Turbulence; Academic Press: London, UK, 1972; p. 169. [Google Scholar]
- Yakhot, V.; Orszag, S.A. Renormalization group analysis of turbulence. I. Basic theory. J. Sci. Comput. 1986, 1, 3–51. [Google Scholar] [CrossRef]
- Shih, T.H.; Liou, W.W.; Shabbir, A.; Yang, Z.; Zhu, J. A new k-ε eddy viscosity model for high Reynolds number turbulent flows. Comput. Fluids 1995, 24, 227–238. [Google Scholar] [CrossRef]
- Menter, F.R. Two-equation eddy-viscosity turbulence models for engineering applications. AIAA J. 1994, 32, 1598–1605. [Google Scholar] [CrossRef] [Green Version]
- Opgenorth, M.J.; Sederstrom, D.; McDermott, W.; Lengsfeld, C.S. Maximizing pressure recovery using lobed nozzles in a supersonic ejector. Appl. Therm. Eng. 2012, 37, 396–402. [Google Scholar] [CrossRef]
- Wu, H.; Liu, Z.; Han, B.; Li, Y. Numerical investigation of the influences of mixing chamber geometries on steam ejector performance. Desalination 2014, 353, 15–20. [Google Scholar] [CrossRef]
- Dong, J.; Yu, M.; Wang, W.; Song, H.; Li, C.; Pan, X. Experimental investigation on low-temperature thermal energy driven steam ejector refrigeration system for cooling application. Appl. Therm. Eng. 2017, 123, 167–176. [Google Scholar] [CrossRef]
- Wu, Y.; Zhao, H.; Zhang, C.; Wang, L.; Han, J. Optimization analysis of structure parameters of steam ejector based on CFD and orthogonal test. Energy 2018, 151, 79–93. [Google Scholar] [CrossRef]
- Menter, F.R.; Kuntz, M.; Langtry, R. Ten years of industrial experience with the SST turbulence model. Turbul. Heat Mass Transf. 2003, 4, 625–632. [Google Scholar]











| Geometry | Value |
|---|---|
| Nozzle throat diameter | 2 mm |
| Nozzle outlet diameter | 8 mm |
| Expand angle of nozzle | 10° |
| Nozzle exit position | 35 mm |
| Mixing chamber inlet diameter | 24 mm |
| Throat diameter | 19 mm |
| Throat length | 95 mm |
| Diffuser length | 180 mm |
| Mesh Number | Number of Cells |
|---|---|
| Mesh01 | 39,150 cells |
| Mesh02 | 59,840 cells |
| Mesh03 | 72,060 cells |
| Mesh04 | 153,447 cells |
| Mesh05 | 192,375 cells |
| Mesh06 | 394,300 cells |
| No. | Mesh | Turbulence Model | Near-Wall Treatment | Discretization Scheme | Solver | Back Pressure Range/kPa | Number of Cases |
|---|---|---|---|---|---|---|---|
| 1 | Mesh02 | SKE | SWF | 2ND | DBS | 3–5.1 | 10 |
| 2 | Mesh02 | RNG | SWF | 2ND | DBS | 3–5.3 | 11 |
| 3 | Mesh02 | RKE | SWF | 2ND | DBS | 3–5.3 | 11 |
| 4 | Mesh02 | SKE | SWF | 2ND | PBS | 3–5.1 | 10 |
| 5 | Mesh02 | RNG | SWF | 2ND | PBS | 3–5.3 | 11 |
| 6 | Mesh02 | RKE | SWF | 2ND | PBS | 3–5.3 | 11 |
| 7 | Mesh05 | SKE | EWT | 2ND | PBS | 3–5.1 | 11 |
| 8 | Mesh05 | RNG | EWT | 2ND | PBS | 3–5.3 | 12 |
| 9 | Mesh05 | RKE | EWT | 2ND | PBS | 3–5.3 | 12 |
| 10 | Mesh05 | SST | — | 2ND | PBS | 3–5.0 | 8 |
| 11 | Mesh02 | SKE | SWF | QUICK | PBS | 3–5.1 | 11 |
| 12 | Mesh02 | RNG | SWF | QUICK | PBS | 3–5.3 | 12 |
| 13 | Mesh02 | RKE | SWF | QUICK | PBS | 3–5.3 | 12 |
| 14 | Mesh05 | SKE | EWT | QUICK | PBS | 3–5.1 | 11 |
| 15 | Mesh05 | RNG | EWT | QUICK | PBS | 3–5.3 | 12 |
| 16 | Mesh05 | RKE | EWT | QUICK | PBS | 3–5.3 | 12 |
| 17 | Mesh05 | SST | — | QUICK | PBS | 3–5.0 | 8 |
| Turbulence Model and Solver | Maximum ER | CBP | ||||
|---|---|---|---|---|---|---|
| Value | EoC (%) | EoE (%) | Value (kPa) | EoC (%) | EoE (%) | |
| Experimental data | 0.40 | — | — | 5.0 | — | — |
| SKE-SWF-2ND-PBS | 0.431 | — | 7.80 | 4.7 | — | −6.00 |
| RNG-SWF-2ND-PBS | 0.445 | — | 11.22 | 4.7 | — | −6.00 |
| RKE-SWF-2ND-PBS | 0.409 | — | 2.28 | 4.7 | — | −6.00 |
| SKE-SWF-2ND-DBS | 0.430 | −0.20 | 7.59 | 4.7 | 0.00 | −6.00 |
| RNG-SWF-2ND-DBS | 0.447 | 0.41 | 11.68 | 4.7 | 0.00 | −6.00 |
| RKE-SWF-2ND-DBS | 0.411 | 0.57 | 2.86 | 4.7 | 0.00 | −6.00 |
| Turbulence Model and Solver | Maximum ER | CBP | ||||
|---|---|---|---|---|---|---|
| Value | EoC (%) | EoE (%) | Value (kPa) | EoC (%) | EoE (%) | |
| Experimental data | 0.40 | — | — | 5.0 | — | — |
| SST-EWT-2ND-PBS | 0.423 | — | 5.63 | 4.3 | — | −14.00 |
| SKE-EWT-2ND-PBS | 0.480 | 11.26 | 19.94 | 5.0 | 6.38 | 0.00 |
| RNG-EWT-2ND-PBS | 0.486 | 9.31 | 21.57 | 5.0 | 6.38 | 0.00 |
| RKE-EWT-2ND-PBS | 0.446 | 9.07 | 11.56 | 5.0 | 6.38 | 0.00 |
| Modeling Approach | RMS of EOE |
|---|---|
| SKE-SWF-2ND-PBS | 22.15 |
| RNG-SWF-2ND-PBS | 22.07 |
| RKE-SWF-2ND-PBS | 16.96 |
| SST-2ND-PBS | 12.43 |
| SKE-EWT-2ND-PBS | 22.35 |
| RNG-EWT-2ND-PBS | 21.98 |
| RKE-EWT-2ND-PBS | 19.91 |
| Turbulence Model and Solver | Maximum ER | CBP | ||||
|---|---|---|---|---|---|---|
| Value | EoC (%) | EoE (%) | Value (kPa) | EoC (%) | EoE (%) | |
| Experimental data | 0.40 | — | — | 5.0 | — | — |
| SKE-SWF-QUICK-PBS | 0.435 | 0.81 | 8.67 | 4.6 | −2.13 | −8.00 |
| RNG-SWF-QUICK-PBS | 0.444 | −0.11 | 11.09 | 4.7 | 0.00 | −6.00 |
| RKE-SWF-QUICK-PBS | 0.409 | −0.02 | 2.26 | 4.7 | 0.00 | −6.00 |
| SST-QUICK-PBS | 0.423 | −0.01 | 5.62 | 4.3 | 0.00 | −14.00 |
| SKE-EWT-QUICK-PBS | 0.482 | 0.39 | 20.40 | 5 | 0.00 | 0.00 |
| RNG-EWT-QUICK-PBS | 0.486 | 0.00 | 21.57 | 5 | 0.00 | 0.00 |
| RKE-EWT-QUICK-PBS | 0.446 | 0.03 | 11.59 | 5 | 0.00 | 0.00 |
Publisher’s Note: MDPI stays neutral with regard to jurisdictional claims in published maps and institutional affiliations. |
© 2022 by the authors. Licensee MDPI, Basel, Switzerland. This article is an open access article distributed under the terms and conditions of the Creative Commons Attribution (CC BY) license (https://creativecommons.org/licenses/by/4.0/).
Share and Cite
Xiao, J.; Wu, Q.; Chen, L.; Ke, W.; Wu, C.; Yang, X.; Yu, L.; Jiang, H. Assessment of Different CFD Modeling and Solving Approaches for a Supersonic Steam Ejector Simulation. Atmosphere 2022, 13, 144. https://doi.org/10.3390/atmos13010144
Xiao J, Wu Q, Chen L, Ke W, Wu C, Yang X, Yu L, Jiang H. Assessment of Different CFD Modeling and Solving Approaches for a Supersonic Steam Ejector Simulation. Atmosphere. 2022; 13(1):144. https://doi.org/10.3390/atmos13010144
Chicago/Turabian StyleXiao, Jingshu, Qiao Wu, Lizhou Chen, Weichang Ke, Cong Wu, Xuelong Yang, Liangying Yu, and Haifeng Jiang. 2022. "Assessment of Different CFD Modeling and Solving Approaches for a Supersonic Steam Ejector Simulation" Atmosphere 13, no. 1: 144. https://doi.org/10.3390/atmos13010144
APA StyleXiao, J., Wu, Q., Chen, L., Ke, W., Wu, C., Yang, X., Yu, L., & Jiang, H. (2022). Assessment of Different CFD Modeling and Solving Approaches for a Supersonic Steam Ejector Simulation. Atmosphere, 13(1), 144. https://doi.org/10.3390/atmos13010144

