Improving the Thermal Comfort of an Open Space via Landscape Design: A Case Study in Hot and Humid Areas
Abstract
1. Introduction
2. Methodology
2.1. Climate Condition
2.2. Study Area and Model Validation
2.3. Thermal Comfort Assessing Indices
2.4. Establishment of Plant Database
2.5. Case Studies Description
3. Results and Discussion
3.1. Thermal Environment Assessment and ENVI-Met Model Validation
3.1.1. Thermal Environment Assessment
3.1.2. Model Accuracy Assessment
3.2. Effect of Landscape Elements on Air Temperature, Relative Humidity, and Wind Speed
3.3. Impact of Landscape Elements on Outdoor Thermal Comfort
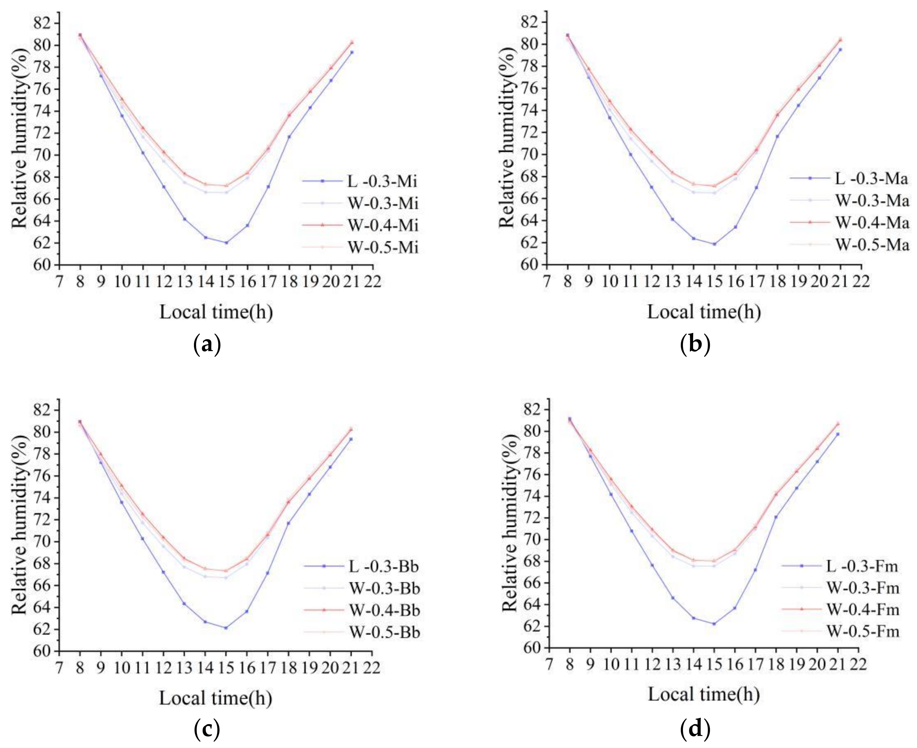
3.4. Effect of the Combination of Landscape Elements on Temperature, Relative Humidity, and Wind Speed
3.5. Impact of the Combination of Landscape Elements on Outdoor Thermal Comfort
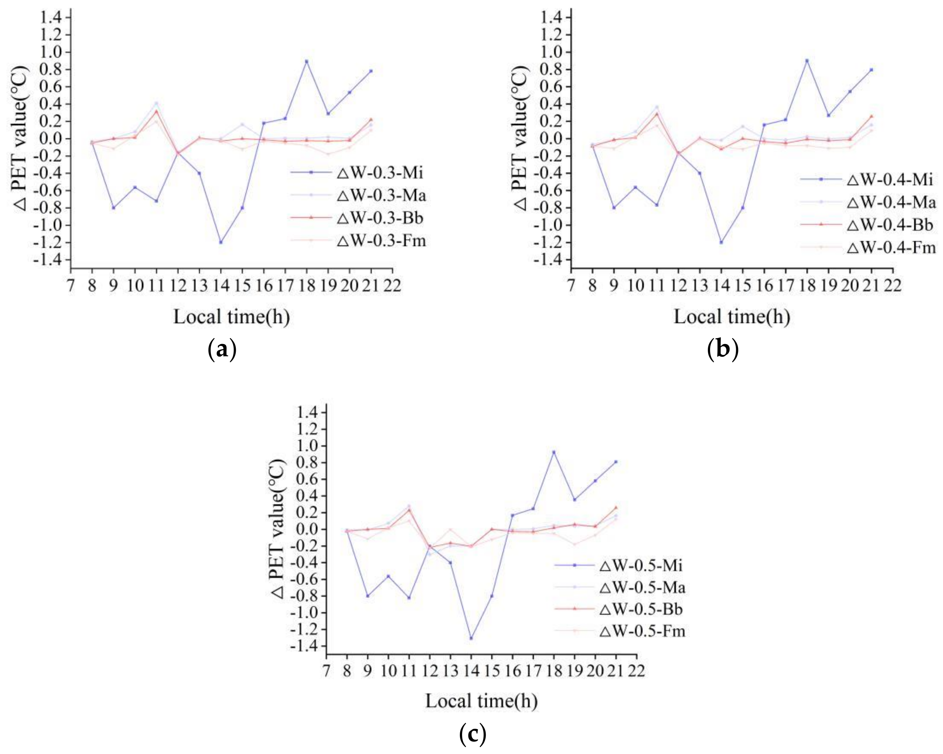
3.6. Improved Benefits of the Combination of Landscape Elements on Outdoor Thermal Comfort
4. Conclusions
- Water bodies are best at cooling the environment when compared to all other potential factors during summer. The PET can be reduced by 1.1 °C by introducing a water body to the square, and the PET can be reduced further by 1.6 °C when other design approaches are used together. However, the cooling effect of water can somehow be excessive, causing discomfort in winter;
- The arbor improves the thermal environment by shading the unwanted solar radiation in summer and blocking the excessive cold wind in winter. Trees being arranged around a water body increases the PET by 3.8 °C in winter by reducing the wind speed;
- Under the influence of a water body, the PET around low-LAD trees can be 1.7 °C higher and 1.4 °C lower than the PET of a high-LAD species in summer and winter, respectively. A high-LAD tree is favorable in both summer and winter cases;
- The PET is not sensitive to the pavement albedo, especially when a water body is used in the square. For cases without tree shadings, an albedo >0.3 is unfavorable to the thermal environment in summer due to the excessive amount of solar radiation reflection.
- Prioritizing water bodies;
- Arranging trees around a water body;
- Selecting trees with a high LAD;
- Avoiding pavement with a high albedo value (e.g., >0.3 without trees).
Author Contributions
Funding
Institutional Review Board Statement
Informed Consent Statement
Data Availability Statement
Conflicts of Interest
References
- Kim, S.W.; Brown, R.D. Urban heat island (UHI) intensity and magnitude estimations: A systematic literature review. Sci. Total Environ. 2021, 779, 146389. [Google Scholar] [CrossRef] [PubMed]
- Salata, F.; Golasi, I.; Petitti, D.; Vollaro, E.D.L.; Coppi, M.; Vollaro, A.D.L. Relating microclimate, human thermal comfort and health during heat waves: An analysis of heat island mitigation strategies through a case study in an urban outdoor environment. Sustain. Cities Soc. 2017, 30, 79–96. [Google Scholar] [CrossRef]
- Xiong, J.; Lian, Z.W.; Zhou, X. Investigation of Subjectively Assessed Health Symptoms and Human Thermal Perceptions in Transient Thermal Environments. In Proceedings of the 9th International Symposium on Heating Ventilation and Air Conditioning ISHVAC Joint with the 3rd International Conference on Building Energy and Environment COBEE, Tianjin, China, 12–15 July 2015. [Google Scholar]
- Thivel, D.; Tremblay, A.; Genin, P.M.; Panahi, S.; Riviere, D.; Duclos, M. Physical Activity, Inactivity, and Sedentary Behaviors: Definitions and Implications in Occupational Health. Front. Public Health 2018, 6, 288. [Google Scholar] [CrossRef]
- Yang, L.; Yan, H.; Lam, J.C. Thermal comfort and building energy consumption implications—A review. Appl. Energy 2014, 115, 164–173. [Google Scholar] [CrossRef]
- Chen, Q.; Lin, C.; Guo, D.; Hou, Y.; Lai, D. Studies of outdoor thermal comfort in northern China. Build. Environ. 2014, 77, 110–118. [Google Scholar] [CrossRef]
- Karimimoshaver, M.; Shahrak, M.S. The effect of height and orientation of buildings on thermal comfort. Sustain. Cities Soc. 2022, 79, 103720. [Google Scholar] [CrossRef]
- García-López, E.; Heard, C. A study of the social acceptability of a proposal to improve the thermal comfort of a traditional dwelling. Appl. Therm. Eng. 2015, 75, 1287–1295. [Google Scholar] [CrossRef]
- Dong, J.; Guo, F.; Lin, M.; Zhang, H.; Zhu, P. Optimization of green infrastructure networks based on potential green roof integration in a high-density urban area—A case study of Beijing, China. Sci. Total Environ. 2022, 834, 155307. [Google Scholar] [CrossRef]
- Lin, T.-P.; Tsai, K.-T.; Liao, C.-C.; Huang, Y.-C. Effects of thermal comfort and adaptation on park attendance regarding different shading levels and activity types. Build. Environ. 2013, 59, 599–611. [Google Scholar] [CrossRef]
- Fang, Z.; Lin, Z.; Mak, C.M.; Niu, J.; Tse, K.-T. Investigation into sensitivities of factors in outdoor thermal comfort indices. Build. Environ. 2018, 128, 129–142. [Google Scholar] [CrossRef]
- Xie, Y.; Wang, X.; Wen, J.; Geng, Y.; Yan, L.; Liu, S.; Zhang, D.; Lin, B. Experimental study and theoretical discussion of dynamic outdoor thermal comfort in walking spaces: Effect of short-term thermal history. Build. Environ. 2022, 216, 109039. [Google Scholar] [CrossRef]
- Lai, D.; Liu, W.; Gan, T.; Liu, K.; Chen, Q. A review of mitigating strategies to improve the thermal environment and thermal comfort in urban outdoor spaces. Sci. Total Environ. 2019, 661, 337–353. [Google Scholar] [CrossRef]
- Shi, Y.; Xiang, Y.; Zhang, Y. Urban Design Factors Influencing Surface Urban Heat Island in the High-Density City of Guangzhou Based on the Local Climate Zone. Sensors 2019, 19, 3459. [Google Scholar] [CrossRef]
- Chen, L.; Jiang, R.; Xiang, W.-N. Surface Heat Island in Shanghai and Its Relationship with Urban Development from 1989 to 2013. Adv. Meteorol. 2015, 2016, 9782686. [Google Scholar] [CrossRef]
- Rahman, M.A.; Hartmann, C.; Moser-Reischl, A.; von Strachwitz, M.F.; Paeth, H.; Pretzsch, H.; Pauleit, S.; Rötzer, T. Tree cooling effects and human thermal comfort under contrasting species and sites. Agric. For. Meteorol. 2020, 287, 107947. [Google Scholar] [CrossRef]
- Jamei, E.; Rajagopalan, P.; Seyedmahmoudian, M.; Jamei, Y. Review on the impact of urban geometry and pedestrian level greening on outdoor thermal comfort. Renew. Sustain. Energy Rev. 2016, 54, 1002–1017. [Google Scholar] [CrossRef]
- Liu, Z.; Zheng, S.; Zhao, L. Evaluation of the ENVI-Met Vegetation Model of Four Common Tree Species in a Subtropical Hot-Humid Area. Atmosphere 2018, 9, 198. [Google Scholar] [CrossRef]
- Yin, S.; Wang, F.; Xiao, Y.; Xue, S. Comparing cooling efficiency of shading strategies for pedestrian thermal comfort in street canyons of traditional shophouse neighbourhoods in Guangzhou, China. Urban Clim. 2022, 43, 101165. [Google Scholar] [CrossRef]
- Wang, Y.; Ni, Z.; Hu, M.; Chen, S.; Xia, B. A practical approach of urban green infrastructure planning to mitigate urban overheating: A case study of Guangzhou. J. Clean. Prod. 2020, 287, 124995. [Google Scholar] [CrossRef]
- Li, J.; Wang, Y.; Ni, Z.; Chen, S.; Xia, B. An integrated strategy to improve the microclimate regulation of green-blue-grey infrastructures in specific urban forms. J. Clean. Prod. 2020, 271, 122555. [Google Scholar] [CrossRef]
- Zhang, Y.; Du, X.; Shi, Y. Effects of street canyon design on pedestrian thermal comfort in the hot-humid area of China. Int. J. Biometeorol. 2017, 61, 1421–1432. [Google Scholar] [CrossRef]
- Yang, X.; Zhao, L.; Bruse, M.; Meng, Q. Evaluation of a microclimate model for predicting the thermal behavior of different ground surfaces. Build. Environ. 2013, 60, 93–104. [Google Scholar] [CrossRef]
- Lan, H.; Lau, K.K.-L.; Shi, Y.; Ren, C. Improved urban heat island mitigation using bioclimatic redevelopment along an urban waterfront at Victoria Dockside, Hong Kong. Sustain. Cities Soc. 2021, 74, 103172. [Google Scholar] [CrossRef]
- Morakinyo, T.E.; Kong, L.; Lau, K.L.; Yuan, C.; Ng, E. A Study on the Impact of Shadow-Cast and Tree Species on in-Canyon and Neighborhood’s Thermal Comfort. Build. Environ. 2017, 115, 1–17. [Google Scholar] [CrossRef]
- Lin, P.; Song, D.; Qin, H. Impact of parking and greening design strategies on summertime outdoor thermal condition in old mid-rise residential estates. Urban For. Urban Green. 2021, 63, 127200. [Google Scholar] [CrossRef]
- Charalampopoulos, I.; Tsiros, I.; Chronopoulou-Sereli, A.; Matzarakis, A. A methodology for the evaluation of the human-bioclimatic performance of open spaces. Arch. Meteorol. Geophys. Bioclimatol. Ser. B 2017, 128, 811–820. [Google Scholar] [CrossRef]
- Xu, M.; Hong, B.; Jiang, R.; An, L.; Zhang, T. Outdoor thermal comfort of shaded spaces in an urban park in the cold region of China. Build. Environ. 2019, 155, 408–420. [Google Scholar] [CrossRef]
- Canan, F.; Golasi, I.; Ciancio, V.; Coppi, M.; Salata, F. Outdoor Thermal Comfort Conditions During Summer in a Cold Semi-Arid Climate. A Transversal Field Survey in Central Anatolia (Turkey). Build. Environ. 2019, 148, 212–224. [Google Scholar] [CrossRef]
- Sun, C.; Lian, W.; Liu, L.; Dong, Q.; Han, Y. The impact of street geometry on outdoor thermal comfort within three different urban forms in severe cold region of China. Build. Environ. 2022, 222, 109342. [Google Scholar] [CrossRef]
- Feng, X.; Zheng, Z.; Yang, Y.; Fang, Z. Quantitative seasonal outdoor thermal sensitivity in Guangzhou, China. Urban Clim. 2021, 39, 100938. [Google Scholar] [CrossRef]
- Lam, C.K.C.; Hang, J.; Zhang, D.; Wang, Q.; Ren, M.; Huang, C. Effects of short-term physiological and psychological adaptation on summer thermal comfort of outdoor exercising people in China. Build. Environ. 2021, 198, 107877. [Google Scholar] [CrossRef]
- Zhang, Y.; Liu, J.; Zheng, Z.; Fang, Z.; Zhang, X.; Gao, Y.; Xie, Y. Analysis of thermal comfort during movement in a semi-open transition space. Energy Build. 2020, 225, 110312. [Google Scholar] [CrossRef]
- Huang, J.; Hao, T.; Wang, Y.; Jones, P. A street-scale simulation model for the cooling performance of urban greenery: Evidence from a high-density city. Sustain. Cities Soc. 2022, 82, 103908. [Google Scholar] [CrossRef]
- Fang, Z.; Feng, X.; Liu, J.; Lin, Z.; Mak, C.M.; Niu, J.; Tse, K.-T.; Xu, X. Investigation into the differences among several outdoor thermal comfort indices against field survey in subtropics. Sustain. Cities Soc. 2018, 44, 676–690. [Google Scholar] [CrossRef]
- Guo, F.; Wang, Z.; Dong, J.; Zhang, H.; Lu, X.; Lau, S.S.Y.; Miao, Y. Spatial Differences in Outdoor Thermal Comfort during the Transition Season in Cold Regions of China. Buildings 2022, 12, 720. [Google Scholar] [CrossRef]
- Chen, L.; Zhang, Y.; Han, J.; Li, X. An investigation of the influence of ground surface properties and shading on outdoor thermal comfort in a high-altitude residential area. Front. Arch. Res. 2021, 10, 432–446. [Google Scholar] [CrossRef]
- Altunkasa, C.; Uslu, C. Use of outdoor microclimate simulation maps for a planting design to improve thermal comfort. Sustain. Cities Soc. 2020, 57, 102137. [Google Scholar] [CrossRef]
- Huang, Z.; Gou, Z.; Cheng, B. An investigation of outdoor thermal environments with different ground surfaces in the hot summer-cold winter climate region. J. Build. Eng. 2020, 27, 100994. [Google Scholar] [CrossRef]
- Bevilacqua, P.; Mazzeo, D.; Bruno, R.; Arcuri, N. Experimental investigation of the thermal performances of an extensive green roof in the Mediterranean area. Energy Build. 2016, 122, 63–79. [Google Scholar] [CrossRef]
- Coma, J.; Pérez, G.; Solé, C.; Castell, A.; Cabeza, L.F. Thermal assessment of extensive green roofs as passive tool for energy savings in buildings. Renew. Energy 2016, 85, 1106–1115. [Google Scholar] [CrossRef]
- Yilmaz, S.; Mutlu, B.E.; Aksu, A.; Mutlu, E.; Qaid, A. Street design scenarios using vegetation for sustainable thermal comfort in Erzurum, Turkey. Environ. Sci. Pollut. Res. 2020, 28, 3672–3693. [Google Scholar] [CrossRef] [PubMed]
- Jackson, S.; Stevenson, K.; Larson, L.; Peterson, M.; Seekamp, E. Outdoor Activity Participation Improves Adolescents’ Mental Health and Well-Being during the COVID-19 Pandemic. Int. J. Environ. Res. Public Health 2021, 18, 2506. [Google Scholar] [CrossRef]
- Coventry, P.A.; Brown, J.; Pervin, J.; Brabyn, S.; Pateman, R.; Breedvelt, J.; Gilbody, S.; Stancliffe, R.; McEachan, R.; White, P. Nature-based outdoor activities for mental and physical health: Systematic review and meta-analysis. SSM Popul. Health 2021, 16, 100934. [Google Scholar] [CrossRef]
- Barfield, P.; Ridder, K.; Hughes, J.; Rice-McNeil, K. Get Outside! Promoting Adolescent Health through Outdoor After-School Activity. Int. J. Environ. Res. Public Health 2021, 18, 7223. [Google Scholar] [CrossRef]
- Zhu, P.; Tao, W.; Lu, X.; Mo, F.; Guo, F.; Zhang, H. Optimisation design and verification of the acoustic environment for multimedia classrooms in universities based on simulation. Build. Simul. 2022, 15, 1419–1436. [Google Scholar] [CrossRef]
- Hami, A.; Abdi, B. Students’ landscaping preferences for open spaces for their campus environment. Indoor Built Environ. 2021, 30, 87–98. [Google Scholar] [CrossRef]
- Faragallah, R.N.; Ragheb, R.A. Evaluation of thermal comfort and urban heat island through cool paving materials using ENVI-Met. Ain Shams Eng. J. 2022, 13, 101609. [Google Scholar] [CrossRef]
- Aboelata, A.; Sodoudi, S. Evaluating the effect of trees on UHI mitigation and reduction of energy usage in different built up areas in Cairo. Build. Environ. 2020, 168, 106490. [Google Scholar] [CrossRef]
- Sun, R.H.; Chen, L.D. How Can Urban Water Bodies Be Designed for Climate Adaptation? Landsc. Urban Plan. 2012, 105, 27–33. [Google Scholar] [CrossRef]
- Zhao, Q.; Sailor, D.J.; Wentz, E.A. Impact of tree locations and arrangements on outdoor microclimates and human thermal comfort in an urban residential environment. Urban For. Urban Green. 2018, 32, 81–91. [Google Scholar] [CrossRef]
- Gómez-Baggethun, E.; Barton, D.N. Classifying and valuing ecosystem services for urban planning. Ecol. Econ. 2013, 86, 235–245. [Google Scholar] [CrossRef]
- Bowler, D.E.; Buyung-Ali, L.; Knight, T.M.; Pullin, A.S. Urban greening to cool towns and cities: A systematic review of the empirical evidence. Landsc. Urban Plan. 2010, 97, 147–155. [Google Scholar] [CrossRef]
- Armson, D.; Stringer, P.; Ennos, A.R. The effect of tree shade and grass on surface and globe temperatures in an urban area. Urban For. Urban Green. 2012, 11, 245–255. [Google Scholar] [CrossRef]
- Shih, W.-M.; Lin, T.-P.; Tan, N.-X.; Liu, M.-H. Long-term perceptions of outdoor thermal environments in an elementary school in a hot-humid climate. Int. J. Biometeorol. 2017, 61, 1657–1666. [Google Scholar] [CrossRef] [PubMed]
- Sayad, B.; Alkama, D.; Ahmad, H.; Baili, J.; Aljahdaly, N.H.; Menni, Y. Nature-based solutions to improve the summer thermal comfort outdoors. Case Stud. Therm. Eng. 2021, 28, 101399. [Google Scholar] [CrossRef]
- Sun, R.; Chen, A.; Chen, L.; Lü, Y. Cooling effects of wetlands in an urban region: The case of Beijing. Ecol. Indic. 2012, 20, 57–64. [Google Scholar] [CrossRef]
- Santamouris, M.; Synnefa, A.; Karlessi, T. Using advanced cool materials in the urban built environment to mitigate heat islands and improve thermal comfort conditions. Sol. Energy 2011, 85, 3085–3102. [Google Scholar] [CrossRef]
- Aboelata, A. Reducing Outdoor Air Temperature, Improving Thermal Comfort, and Saving Buildings’ Cooling Energy Demand in Arid Cities—Cool Paving Utilization. Sustain. Cities Soc. 2021, 68, 102762. [Google Scholar] [CrossRef]
- Santamouris, M. Using cool pavements as a mitigation strategy to fight urban heat island—A review of the actual developments. Renew. Sustain. Energy Rev. 2013, 26, 224–240. [Google Scholar] [CrossRef]
- Akbari, H.; Matthews, H.D. Global cooling updates: Reflective roofs and pavements. Energy Build. 2012, 55, 2–6. [Google Scholar] [CrossRef]
- Gaitani, N.; Mihalakakou, G.; Santamouris, M. On the use of bioclimatic architecture principles in order to improve thermal comfort conditions in outdoor spaces. Build. Environ. 2007, 42, 317–324. [Google Scholar] [CrossRef]
- Bruse, M.; Fleer, H. Simulating surface–plant–air interactions inside urban environments with a three dimensional numerical model. Environ. Model. Softw. 1998, 13, 373–384. [Google Scholar] [CrossRef]
- Ma, T.; Chen, T. Classification and Pedestrian-Level Wind Environment Assessment among Tianjin’s Residential Area Based on Numerical Simulation. Urban Clim. 2020, 34, 100702. [Google Scholar] [CrossRef]
- Feng, W.; Zhen, M.; Ding, W.; Zou, Q. Field measurement and numerical simulation of the relationship between the vertical wind environment and building morphology in residential areas in Xi’an, China. Environ. Sci. Pollut. Res. 2021, 29, 11663–11674. [Google Scholar] [CrossRef]
- Jin, H.; Liu, Z.; Jin, Y.; Kang, J.; Liu, J. The Effects of Residential Area Building Layout on Outdoor Wind Environment at the Pedestrian Level in Severe Cold Regions of China. Sustainability 2017, 9, 2310. [Google Scholar] [CrossRef]
- Li, K.; Zhang, Y.; Zhao, L. Outdoor thermal comfort and activities in the urban residential community in a humid subtropical area of China. Energy Build. 2016, 133, 498–511. [Google Scholar] [CrossRef]
- Zhang, L.; Wei, D.; Hou, Y.; Du, J.; Liu, Z.; Zhang, G.; Shi, L. Outdoor Thermal Comfort of Urban Park—A Case Study. Sustainability 2020, 12, 1961. [Google Scholar] [CrossRef]
- Salata, F.; Golasi, I.; Vollaro, R.D.; Vollaro, A.D. Outdoor Thermal Comfort in the Mediterranean Area. A Transversal Study in Rome, Italy. Build. Environ. 2016, 96, 46–61. [Google Scholar] [CrossRef]
- Taleghani, M.; Kleerekoper, L.; Tenpierik, M.; van den Dobbelsteen, A. Outdoor thermal comfort within five different urban forms in the Netherlands. Build. Environ. 2015, 83, 65–78. [Google Scholar] [CrossRef]
- Ng, E.; Cheng, V. Urban human thermal comfort in hot and humid Hong Kong. Energy Build. 2012, 55, 51–65. [Google Scholar] [CrossRef]
- Zhang, Y.; Wang, J.; Chen, H.; Zhang, J.; Meng, Q. Thermal comfort in naturally ventilated buildings in hot-humid area of China. Build. Environ. 2010, 45, 2562–2570. [Google Scholar] [CrossRef]
- Lin, T.-P.; Matzarakis, A. Tourism climate and thermal comfort in Sun Moon Lake, Taiwan. Int. J. Biometeorol. 2008, 52, 281–290. [Google Scholar] [CrossRef]
- Fang, Z.; Feng, X.; Xu, X.; Zhou, X.; Lin, Z.; Ji, Y. Investigation into outdoor thermal comfort conditions by different seasonal field surveys in China, Guangzhou. Int. J. Biometeorol. 2019, 63, 1357–1368. [Google Scholar] [CrossRef]
- Shi, D.; Song, J.; Huang, J.; Zhuang, C.; Guo, R.; Gao, Y. Synergistic cooling effects (SCEs) of urban green-blue spaces on local thermal environment: A case study in Chongqing, China. Sustain. Cities Soc. 2020, 55, 102065. [Google Scholar] [CrossRef]
- Zheng, S.; Guldmann, J.-M.; Liu, Z.; Zhao, L. Influence of trees on the outdoor thermal environment in subtropical areas: An experimental study in Guangzhou, China. Sustain. Cities Soc. 2018, 42, 482–497. [Google Scholar] [CrossRef]
- Sanjuán, M.; Morales, Á.; Zaragoza, A. Precast Concrete Pavements of High Albedo to Achieve the Net “Zero-Emissions” Commitments. Appl. Sci. 2022, 12, 1955. [Google Scholar] [CrossRef]
- Wu, Z.; Kong, F.; Wang, Y.; Sun, R.; Chen, L. The Impact of Greenspace on Thermal Comfort in a Residential Quarter of Beijing, China. Int. J. Environ. Res. Public Health. 2016, 13, 1217. [Google Scholar] [CrossRef]
- Rui, L.; Buccolieri, R.; Gao, Z.; Gatto, E.; Ding, W. Study of the effect of green quantity and structure on thermal comfort and air quality in an urban-like residential district by ENVI-met modelling. Build. Simul. 2019, 12, 183–194. [Google Scholar] [CrossRef]
- Zhao, Y.; Chen, Y.; Li, K. A simulation study on the effects of tree height variations on the façade temperature of enclosed courtyard in North China. Build. Environ. 2022, 207, 108566. [Google Scholar] [CrossRef]
- Zhang, L.; Zhan, Q.; Lan, Y. Effects of the tree distribution and species on outdoor environment conditions in a hot summer and cold winter zone: A case study in Wuhan residential quarters. Build. Environ. 2018, 130, 27–39. [Google Scholar] [CrossRef]
- Karimi, A.; Sanaieian, H.; Farhadi, H.; Norouzian-Maleki, S. Evaluation of the thermal indices and thermal comfort improvement by different vegetation species and materials in a medium-sized urban park. Energy Rep. 2020, 6, 1670–1684. [Google Scholar] [CrossRef]
- Fahmy, M.; Sharples, S.; Yahiya, M. LAI based trees selection for mid latitude urban developments: A microclimatic study in Cairo, Egypt. Build. Environ. 2010, 45, 345–357. [Google Scholar] [CrossRef]
- Abdi, B.; Hami, A.; Zarehaghi, D. Impact of small-scale tree planting patterns on outdoor cooling and thermal comfort. Sustain. Cities Soc. 2020, 56, 102085. [Google Scholar] [CrossRef]
- Morakinyo, T.E.; Lam, Y.F. Simulation Study on the Impact of Tree-Configuration, Planting Pattern and Wind Condition on Street-Canyon’s Micro-Climate and Thermal Comfort. Build. Environ. 2016, 103, 262–275. [Google Scholar] [CrossRef]
- Yang, W.; Lin, Y.; Li, C.-Q. Effects of Landscape Design on Urban Microclimate and Thermal Comfort in Tropical Climate. Adv. Meteorol. 2018, 2018, 2809649. [Google Scholar] [CrossRef]




















| Region | Climate | Season | Measurement Time | Thermal Comfort Index |
|---|---|---|---|---|
| Shanghai, China [26] | Cfa | Summer | 1 day | PET |
| Athens, Greece [27] | Csa | Summer, winter | 125 days in summer, 28 days in winter | PET |
| Xi’an, China [28] | Cwa/BSk | Winter and summer | 1 day per season | UTCI |
| Anatolia, Turkey [29] | BSk | Summer | 10 days | PET |
| Harbin, China [30] | Dwa | Summer, autumn, winter | 23 days from July to January | PET |
| Guangzhou, China [31] | Cfa | All seasons | From June in 2016 to May in 2017 | PET, UTCI, SET |
| Guangzhou, China [32] | Cfa | Summer | 12 days | PET |
| Guangzhou, China [33] | Cfa | Summer | From June to July in 2019 | PET, UTCI |
| Hong Kong, China [34] | Cfa | Summer | 3 days | UTCI |
| Guangzhou, China [35] | Cfa | Summer | From June to July in 2016 | WBGT, SET, PET, UTCI, PMV |
| Dalian, China [36] | Dwa | Autumn | 5 days | UTCI |
| Region | Strategy | Parameters | Summer | Winter |
|---|---|---|---|---|
| Lhasa, China [37] | Tree species | PET | −9.73 °C | +10.56 °C |
| Adana, Turkey [38] | Planting design | PMV | −1.75 | +0.50 |
| Mianyang, China [39] | Pavement | Temperature | −4.5 °C | +3.7 °C |
| Calabria University, Italy [40] | Green roof | Temperature | −12 °C | +4 °C |
| Puigverd de Lleida, Spain [41] | Green roof | Energy consumption | −16.7%, −2.2% | +6.1%, +11.1% |
| Xi’an, China [28] | Pavilion | UTCI | −10.1 °C | −15.5 °C |
| Erzurum, Turkey [42] | Planting design | PET | −1 °C | +2 °C |
| Measurement Instrument | Measured Parameters | Instrument Range | Instrument Sensitivity |
|---|---|---|---|
| Kestrel5500 | Wind speed | 0~5 m/s | ±0.05 m/s |
| HOBO Pro | Air temperature | −40~70 °C | ±0.5 °C |
| HOBO Pro | Relative humidity | 0~100% | ±2.5% |
| TBQ-2L solar radiometer | Solar radiation | 280~3000 nm | 10.436 μV/Wm−2 |
| PET | Thermal Perception | Grade of Physiological Stress |
|---|---|---|
| - | Very cold | Extreme cold stress |
| - | Cold | strong cold stress |
| Below 11.3 °C | Cool | Moderate cold stress |
| 11.3–19.2 °C | Slightly cool | Slight cold stress |
| 19.2–24.6 °C | Comfortable | No thermal stress |
| 24.6–29.1 °C | Slightly warm | Slight heat stress |
| 29.1–36.3 °C | Warm | Moderate heat stress |
| 36.3–53.6 °C | Hot | Strong heat stress |
| Above 53.6 °C | Very hot | Extreme heat stress |
| Parameter Types | Project | Mangifera indica | Michelia alba | Bauhinia blakeana | Ficus microcarpa |
|---|---|---|---|---|---|
| Canopy shape | Tree height(m) | 6.69 | 10.46 | 6.82 | 5.5 |
| Diameter at breast height(cm) | 25.05 | 21.64 | 14.87 | 18.98 | |
| Under branch height(m) | 2 | 3 | 2 | 2 | |
| The crown(m) | 6 | 6 | 6 | 6 | |
| Root morphology | Depth of roots(m) | Uniformly set to 0.45 m | |||
| Diameter of roots(m) | The default ENVI-met value is used | ||||
| Blade properties | Foliage shortwave albedo | 0.27 | 0.28 | 0.31 | 0.31 |
| LAI(m2/m2) | 2.73 | 2.46 | 3.02 | 3.43 | |
| LAD(m2/m3) | |||||
| 1 m high | - | - | - | - | |
| 2 m high | 0.17 | * | 0.18 | 0.36 | |
| 3 m high | 0.36 | 0.1 | 0.38 | 0.88 | |
| 4 m high | 0.71 | 0.15 | 0.74 | 1.39 | |
| 5 m high | 0.89 | 0.25 | 0.98 | 0.8 | |
| 6 m high | 0.59 | 0.39 | 0.74 | - | |
| 7 m high | - | 0.52 | - | - | |
| 8 m high | - | 0.53 | - | - | |
| 9 m high | - | 0.44 | - | - | |
| 10 m high | - | 0.08 | - | - | |
| Tree Species | Typical Tree Photos | ENVI-Met Model |
|---|---|---|
| Mangifera indica | ![]() | ![]() |
| Michelia able | ![]() | ![]() |
| Bauhinia blakeana | ![]() | ![]() |
| Ficus microcarpa | ![]() | ![]() |
| The Control Group | Describe | ||||
|---|---|---|---|---|---|
| Serial number | image | A-B-C:“A” denotes the nature of the land in the center of the site, where “L” is lawn, “W” is water body, and “P” is pavement with a 0.3 albedo; “B” denotes the albedo of the pavement; “C” indicates the type of plant to be placed: “Mi” is Mangifera indica, “Ma” is Michelia able, “Bb” is Bauhinia blakeana, “Fm” is Ficus macrocarpa, and “/” is no tree. “L-0.3-/” is the site status model, which was validated by field measurement. | |||
| L-0.3-/ | ![]() | ||||
| The first stage | |||||
| Serial number | image | Serial number | image | Serial number | image |
| W-0.3-/ | ![]() | P-0.3-/ | ![]() | L-0.4-/ | ![]() |
| L-0.5-/ | ![]() | L-0.3-Mi | ![]() | L-0.3-Ma | ![]() |
| L-0.3-Bb | ![]() | L-0.3-Fm | ![]() | ||
| The second stage | |||||
| Serial number | image | Serial number | image | Serial number | image |
| W-0.3-Mi | ![]() | W-0.4-Mi | ![]() | W-0.5-Mi | ![]() |
| W-0.3-Ma | ![]() | W-0.4-Ma | ![]() | W-0.5-Ma | ![]() |
| W-0.3-Bb | ![]() | W-0.4-Bb | ![]() | W-0.5-Bb | ![]() |
| W-0.3-Fm | ![]() | W-0.4-Fm | ![]() | W-0.5-Fm | ![]() |
| Boundary Conditions of the Simulation Process by ENVI-Met Model | ||
|---|---|---|
| Location | Guangzhou (23°12′ N; 113°20′ E) | |
| Simulation date | Summer | 22 January 2022 |
| Winter | 22 July 2022 | |
| Simulation time | From 07:00:00 to 21:00:00 | |
| Model dimensions | X-Grids:96 Y-Grids: 81 Z-Grids:24 | |
| Grid cell | dx = 3 dy = 3 dz = 3 | |
| Grid north | 0° | |
| Nesting grids | 5 | |
| Roughness length | 0.1 | |
| Wind direction (N:0, 180:S) | Summer | 135° |
| Winter | 0° | |
| Wind speed | Summer | 0–1.5 m/s |
| Winter | 0.4–1.5 m/s | |
| Air temperature | Summer | 27.5–31.1 °C |
| Winter | 11.5–15.9 °C | |
| Relative humidity | Summer | 64–85% |
| Winter | 65–66% | |
| PET index calculation | Biomet process | |
| Results visualization | Leonardo visualization tool | |
| Meteorological Elements | Indicators | Point 1 | Point 2 | Point 3 | Point 4 |
|---|---|---|---|---|---|
| Air temperature (summer) | RMSE/°C | 2.56 | 0.54 | 0.53 | 0.55 |
| MAE/°C | 0.55 | 0.42 | 0.45 | 0.48 | |
| R2 | 0.94 | 0.96 | 0.98 | 0.98 | |
| Relative humidity (summer) | RMSE/% | 3.36 | 3.33 | 2.37 | 2.47 |
| MAE/% | 2.47 | 2.77 | 1.85 | 2.04 | |
| R2 | 0.94 | 0.96 | 0.98 | 0.98 | |
| Air temperature (winter) | RMSE/°C | 2.29 | 0.92 | 0.91 | 1.21 |
| MAE/°C | 0.55 | 0.8 | 0.79 | 1.05 | |
| R2 | 0.88 | 0.91 | 0.94 | 0.89 | |
| Relative humidity (winter) | RMSE/% | 2.2 | 0.72 | 1.21 | 1.92 |
| MAE/% | 1.9 | 0.65 | 0.88 | 1.57 | |
| R2 | 0.84 | 0.95 | 0.87 | 0.85 |
Publisher’s Note: MDPI stays neutral with regard to jurisdictional claims in published maps and institutional affiliations. |
© 2022 by the authors. Licensee MDPI, Basel, Switzerland. This article is an open access article distributed under the terms and conditions of the Creative Commons Attribution (CC BY) license (https://creativecommons.org/licenses/by/4.0/).
Share and Cite
Yang, J.; Zhao, Y.; Zou, Y.; Xia, D.; Lou, S.; Guo, T.; Zhong, Z. Improving the Thermal Comfort of an Open Space via Landscape Design: A Case Study in Hot and Humid Areas. Atmosphere 2022, 13, 1604. https://doi.org/10.3390/atmos13101604
Yang J, Zhao Y, Zou Y, Xia D, Lou S, Guo T, Zhong Z. Improving the Thermal Comfort of an Open Space via Landscape Design: A Case Study in Hot and Humid Areas. Atmosphere. 2022; 13(10):1604. https://doi.org/10.3390/atmos13101604
Chicago/Turabian StyleYang, Jiahao, Yang Zhao, Yukai Zou, Dawei Xia, Siwei Lou, Tongye Guo, and Zhengnan Zhong. 2022. "Improving the Thermal Comfort of an Open Space via Landscape Design: A Case Study in Hot and Humid Areas" Atmosphere 13, no. 10: 1604. https://doi.org/10.3390/atmos13101604
APA StyleYang, J., Zhao, Y., Zou, Y., Xia, D., Lou, S., Guo, T., & Zhong, Z. (2022). Improving the Thermal Comfort of an Open Space via Landscape Design: A Case Study in Hot and Humid Areas. Atmosphere, 13(10), 1604. https://doi.org/10.3390/atmos13101604






























