Next Article in Journal
Spatial Downscaling of GOES-R Land Surface Temperature over Urban Regions: A Case Study for New York City
Previous Article in Journal
Study of an Asymmetric and Anticyclonic Bow Echo Near Taiwan
 
 
Font Type:
Arial Georgia Verdana
Font Size:
Aa Aa Aa
Line Spacing:
Column Width:
Background:
Article

Effect of Diesel Soot on the Heterogeneous Reaction of NO2 on the Surface of γ-Al2O3

1
Department of Environmental Science & Engineering, Jiangwan Campus, Fudan University, No. 2205 Songhu Road, Shanghai 200438, China
2
Shanghai Institute of Eco-Chongming (SIEC), No. 3663 Northern Zhongshan Road, Shanghai 200062, China
*
Author to whom correspondence should be addressed.
Atmosphere 2022, 13(2), 333; https://doi.org/10.3390/atmos13020333
Submission received: 7 January 2022 / Revised: 10 February 2022 / Accepted: 11 February 2022 / Published: 16 February 2022
(This article belongs to the Special Issue Brown Carbon and Its Atmospheric Chemical Evolution)

Abstract

:
Soot and aged soot are often found to be mixed with atmospheric particles, which inevitably affect various atmospheric heterogeneous reactions and secondary aerosol formation. Previous studies have investigated the heterogeneous reaction of NO2 with different types of soot, but there are few studies on the heterogeneous reaction of NO2 with mixtures containing diesel soot (DS) or aged DS and mineral dust particles. In this study, the effects of DS and aged DS on the heterogeneous reaction of NO2 on the surface of γ-Al2O3 were investigated via in-situ diffuse reflectance infrared Fourier transform spectrometry (DRIFTS). The results showed that the DS or DS n-hexane extract significantly inhibited the formation of nitrate on γ-Al2O3 particles and promoted the formation of nitrite. At 58% RH, with the increase of DS or DS n-hexane extract loading amount, the effect of DS or DS n-hexane extract on the formation of nitrate changed from promotion to inhibition, but DS or DS n-hexane extract always promoted the formation of nitrite. The results also showed that light was conducive to the formation of nitrate on the DS-γ-Al2O3 or DS-n-hexane extract-γ-Al2O3 particles. Furthermore, the influence of soot aging on the heterogeneous reaction of NO2 was investigated under light and no light. In the dark, O3-aged DS-γ-Al2O3 or O3-aged DS-n-hexane extract-γ-Al2O3 firstly inhibited the formation of nitrate on the mixed particles and then promoted it, while the effect of aged DS on nitrite formation was complex. Under light, the O3-aged DS-γ-Al2O3 firstly promoted the formation of nitrate on the mixed particles and then inhibited it, while the O3-aged DS-n-hexane extract-γ-Al2O3 promoted the formation of nitrate on the mixed particles. Our results further showed that the production of nitrate on the O3-aged particles under light or no light was greater than that of the UV-nitrate-aged particles. This study is helpful to deeply understand the atmospheric chemical behavior of soot and the heterogeneous conversion of atmospheric NO2.

1. Introduction

In recent years, with the acceleration of economic development and the increase of the number of motor vehicles, the emissions of various pollutants have increased rapidly, resulting in air pollution events with different degrees of pollution from time to time [1,2]. As an important component of air pollutants, NO2 has high chemical reactivity and plays an important role in atmospheric chemistry. The heterogeneous reactions between NO2 and atmospheric aerosols can form adsorbed nitrate, nitrite, and nitric acid. These products can significantly increase the content of liquid water on the surfaces of aerosol particles, change the physicochemical properties and cloud condensation nucleus activity of these particles, and then affect the atmospheric chemistry and atmospheric environment [3]. At the same time, NO2 is considered to undergo heterogeneous reaction with aerosols to form HONO. HONO can be photolyzed by sunlight to form hydroxyl radicals, improving the photochemical reactivity of atmospheric aerosols and enhancing atmospheric oxidation capacity [4]. In addition, NO2 is also an important precursor for the formation of O3 in the atmosphere. The atmospheric photochemical smog generated by NO2 can be intertwined and coupled with haze pollution, resulting in serious atmospheric combined pollution [5,6]. In recent years, the heterogeneous chemistry of NO2 has received more and more attention. Many previous studies have explored the heterogeneous reactions of NO2 on the surfaces of soot, sea salt aerosol, and mineral oxides, and some studies have investigated the influence of organic pollutants on the heterogeneous reaction of NO2 on the surface of mineral oxide [7,8,9,10,11]. However, there are few studies on the effect of soot on the heterogeneous reaction of NO2 on the surfaces of mineral oxides.
Soot is an important component of atmospheric aerosol, which is mainly composed of elemental carbon and organic carbon, resulting from the incomplete combustion of carbonaceous substances. A large amount of soot is emitted annually into the atmosphere due to industrial coal combustion, winter heating, and motor vehicle exhaust emissions, which seriously worsens the atmospheric environment and causes great harm to human health [12]. Soot stays in the atmosphere for a long time, generally 6–10 d, and can be transported through the atmosphere for hundreds or even thousands of kilometers [13]. Soot itself has a large specific surface area and contains a variety of organic compounds, which provides a special heterogeneous reactive surface different from mineral oxide surface, such as the heterogeneous reactions of O3, HNO3, and NO2. After entering the atmosphere, fresh soot will be oxidized and aged by oxidizing substances in the atmosphere, such as OH and O3 [14,15,16], and its physical and chemical properties will change, gradually becoming hydrophilic cloud condensation nuclei or ice nuclei, and can settle during atmospheric transport [13]. Many previous studies have reported the heterogeneous reaction of NO2 with soot. These studies show that HONO is an important product, and its yield is affected by many factors, such as relative humidity and aging degree of soot [17,18,19], but the reaction of NO2 with soot cannot account for the HONO levels observed in urban air [15]. So far, there are few studies on the effect of soot on the heterogeneous reaction of NO2 on the surface of mineral dust. Romanias et al. mixed kerosene soot with γ-Al2O3 and studied the effect of γ-Al2O3 on the reaction of NO2 and soot under light condition. They found that γ-Al2O3 can increase the reaction rate of NO2 to a certain extent [20]. However, the effect of fresh and aged diesel soot (DS) on the heterogeneous reaction of NO2 with mineral dust particles is still unclear.
Mineral aerosol is an important contributor to the atmospheric aerosol, and it provides an important surface for various heterogeneous reactions of atmospheric gaseous pollutants. It is mainly composed of various metal oxides, generally including Al2O3, Fe2O3, CaCO3, and TiO2. Mineral aerosols can directly affect atmospheric radiation, act as cloud condensation nuclei (CCN), reduce atmospheric visibility, and have a great impact on the whole atmospheric environment [21]. As an important component of mineral aerosol, Al2O3 has two forms: α-Al2O3 and γ-Al2O3. Compared with α-Al2O3, γ-Al2O3 has higher BET surface area and better reactivity, and thus it is widely used as a typical mineral aerosol model for the study of heterogeneous reaction [22]. This study is no exception, and diffuse reflectance infrared Fourier transform spectrometry (DRIFTS) was used to study the effects of DS and aged DS on the heterogeneous reaction of NO2 on the surfaces of mineral aerosol particles under light and no light conditions. The model components include γ-Al2O3, fresh DS, n-hexane extract of fresh DS, aged DS, and n-hexane extract of aged DS. This study can help us better understand the heterogeneous reaction of NO2 on the surfaces of atmospheric aerosols and the atmospheric chemical behavior of soot.

2. Experiments Section

2.1. Materials and Preparation

2.1.1. Materials

In this study, γ-Al2O3 powders with high purity (99.997%) and high BET surface (60 m2/g) were purchased from Alfa Aesar. The γ-Al2O3 powders were heated at 450 °C for 3 h to remove possible organic contaminants on particle surfaces. Standard gas NO2 (100 ppm, NO2/N2, AirLiquid Specialty Gases Inc., Shanghai, China) was used as a reactant gas. O2 (99.999% purity, Shanghai Dumaoai Specialty Gases Inc., Shanghai, China) and N2 (99.999% purity, Shanghai Dumaoai Specialty Gases Inc.) were introduced into the reaction chamber through gas dryers before use. O3 was generated through the O3 generator (UVP®) by flowing dry O2 at 21 mL/min, and the O3 concentration in this experiment was 200 ppb. No. 0 diesel fuel from the Sinopec gas station in Shanghai was used to produce soot.

2.1.2. Sample Preparation

For DS preparation, the alcohol lamp with diesel oil was ignited, then a flask filled with cold water was placed 10 cm away from the lamp core. After placing for one minute, DS deposited on the surface of the flask was collected for subsequent use. For the preparation of the n-hexane (ACS, >99%, Aladdin Industrial Co., Shanghai, China) extract of DS, 20 mg DS was deposited in a brown reagent bottle, and 20 mL n-hexane was added dropwise, and then underwent ultrasonic treatment for 50 min. Finally. The insoluble components were filtered out with a nylon filter, and the remaining clear solution was collected in a brown reagent bottle for subsequent experiments.
A series of DS or DS-extract-γ-Al2O3 mixtures were prepared. For DS-γ-Al2O3 mixtures, to prepare DS-γ-Al2O3 mixtures with different mass fractions of DS (i.e., 0%, 0.025%, 0.05%, 0.075%, 0.1%), a certain amount of DS and γ-Al2O3 was impregnated with an appropriate amount of ultrapure water, then the mixtures were stirred manually and dried under an infrared lamp. For the preparation of DS -extract-γ-Al2O3 mixtures, 0.2 g γ-Al2O3 particles were firstly mixed with 2 mL n-hexane, and then 0.1, 0.5, 1, and 1.5 mL of DS extract were added dropwise, respectively. The mixtures were then blown by nitrogen to remove n-hexane. All the prepared samples were stored in a desiccator at room temperature until further use.
Considering that adsorbed nitrate often coexists with soot in the atmospheric particles, and the adsorbed nitrate can produce OH and O (3P) under photolysis [23], these active species may also oxidize and age fresh soot in the atmosphere. Therefore, mixtures containing nitrate were also prepared. The preparation methods of DS-nitrate-γ-Al2O3 or DS-n-hexane extract-nitrate-γ-Al2O3 were similar to the preparation methods of the DS-γ-Al2O3 or DS-extract-γ-Al2O3 mixtures. The concentration of ammonium nitrate solution was 30 mmol/L, and the addition amounts of ammonium nitrate solution were 0.1, 0.5, 1, and 1.5 mL, respectively.

2.1.3. Aging of DS Particles

Aging experiments were carried out in a cylindrical quartz glass cell with an inlet and outlet ports for gas transport. The top of the cell was sealed with a quartz window (JGS2). A thermostatic water bath circulating water through the reactor jacket was used to keep the temperature constant at 25 °C. In order to prepare samples with different aging degrees, a 0.1 g sample was put into the cell, synthetic air with O3 concentration of 200 ppb was introduced, and the flow rate was 100 mL/min. The aging time was controlled to obtain samples with different aging degrees. For the preparation of UV-nitrate-aged DS-γ-Al2O3 or UV-nitrate-aged DS-n-hexane extract-γ-Al2O3, a 0.1 g sample was placed under an 8 mW/cm3 ultraviolet lamp (MERC500, NBet Technology Co., Ltd., Beijing, China), coupled with a 313 nm UV optical filter), and irradiated.
In addition, the compounds in DS- and aged DS-solvent-extract were analyzed by using Agilent 7890a-5975c GC-MS, and detailed analysis and the results are shown in the Supplementary Materials (Text S1 and Tables S1–S4).

2.2. In Situ DRIFTS Experiments

In situ DRIFTS experiments were performed using a Thermofisher IS20 FTIR spectrometer, equipped with a high-sensitivity mercury cadmium telluride (MCT) detector and a Spectra-Tech diffuse reflectance accessory, as described previously [11,24,25]. Approximately 14 mg (±0.02 mg) sample was placed into the ceramic crucible in the chamber, and the sample temperature in the chamber was kept at 298 K using an automatic temperature controller. Before the reaction gas was introduced, the reaction chamber was purged with synthetic air (100 mL/min) for 1 h to remove possible impurities on the sample surface, and then the background spectrum of the unreacted sample was collected. Subsequently, a mixture of NO2 (40 ppm) and O2 (21% v/v) with N2 as a carrier was introduced into the chamber at a total flow rate of 100 mL/min, and then the spectra were collected every 10 min for 120 min. All the IR spectra were recorded at a resolution of 4 cm−1 for 100 scans. All of the measurements were repeated at least three times. For experiments under light, a model CEL-TCX250 xenon lamp coupled with an optical fiber (Beijing Jin Yuan Science and Technology Co., Ltd., Beijing, China) was used to provide simulated solar irradiation. The relative humidity was controlled by regulating the mixing ratio between a water-saturated nitrogen flow and a dry nitrogen flow. In addition, some control experiments were also carried out. Under dark and 58% RH conditions, we carried out in-situ reactions between DS or DS n-hexane extract mixed particles with different loading and NO2 to investigate the effects of different loading amounts of DS or DS n-hexane extract on the yields of nitrate or nitrite on the surfaces of mixed particles. In order to investigate the effects of relative humidity and light on the yields of nitrate and nitrite on the surfaces of mixed particles, we set two humidity conditions (5% RH and 58% RH, respectively, under no light) and two light conditions (no light and light, respectively, under 58% RH), and carried out the experiments with 0.05% mass fraction of DS-γ-Al2O3 mixtures or 0.5 mL loading amount of DS-n-hexane extract-γ-Al2O3 mixtures. In order to investigate the effects of aging DS on nitrate or nitrite production, mixed particles with different O3 exposure times were in-situ reacted with NO2 at 58% RH under dark or light conditions. Finally, in order to explore the effects of different aging methods on the yields of nitrate on the surfaces of mixed particles, we prepared mixed particles by different aging methods, and the yields of their surface nitrate were compared.

3. Results

The effect of DS on the heterogeneous reaction of NO2 on the γ-Al2O3 surface under dark condition was investigated, including the following three parts: (1) Heterogeneous reaction of NO2 on pure γ-Al2O3 surface under different RH conditions; (2) The effect of fresh DS on the heterogeneous reaction of NO2 on γ-Al2O3 surface under different RH conditions; (3) The effect of aged DS on heterogeneous reaction of NO2 on the γ-Al2O3 surface under 58% RH condition.

3.1. Heterogeneous Reaction of NO2 with Pure γ-Al2O3

Figure 1a shows the DRIFTS spectra of the heterogeneous reaction of NO2 with pure γ-Al2O3 under 5% RH condition. Several new peaks appeared in Figure 1a and changed with the increase of reaction time, indicating that a variety of products were formed on the surface of γ-Al2O3 particles. There were seven dominant peaks in the DRIFTS spectra, namely 1240, 1346, 1407, 1506, 1540, 1616, and 1660 cm−1, which were consistent with the previous research results [24,25]. Among them, the peak at 1240 cm−1 was weak and assigned to bidentate nitrite, and this peak first increased and then decreased with the increase of time, indicating that nitrite was an intermediate product of the reaction. The peaks at 1346 and 1407 cm−1 had the highest intensity and were assigned to water-solvated nitrate. The weak shoulder peak at 1506 cm−1 and the weak peak at 1616 cm−1 were assigned to bridging nitrate [24]. The weak peak at 1540 cm−1 was assigned to monodentate nitrate [24]. The weak inverted peak at 1660 cm−1 was assigned to the water molecule on the particle surface [24]. Although the experiment was carried out at 5% RH and the sample had been purged and dried, there were still a small amount of water molecules on the particle surface because the sample particles were not calcined at high temperature in the chamber.
Figure 1b shows the DRIFTS spectra of the heterogeneous reaction of NO2 with pure γ-Al2O3 under 58% RH condition. The dominant peaks in Figure 1b changed with time. Compared with 5% RH condition, a large number of water molecules were attached to the particle surface under 58% RH condition, and the water peak changed from negative peak to positive peak, with the peak position changing to 1626 cm−1. Meanwhile, at 58% RH, there was no peak at 1616 cm−1 due to the coverage of water molecule on the particle surface. The peak position of adsorbed nitrate under the 58% RH condition did not change greatly compared with that under the 5% RH condition, and several new peaks appeared, which were 1396 and 1489 cm−1, respectively. The peak at 1396 cm−1 was assigned to water-solvated nitrate and the one at 1489 cm−1 was assigned to monodentate nitrate [26]. When there was co-adsorbed water on the particle surface, the existing form of nitrate would change, resulting in the change of the position of nitrate absorption peak [26].
It can be seen from Figure 1b that the production of nitrate under 58% RH condition was more than that under 5% RH condition, indicating that the presence of water molecules was conducive to the formation of nitrate. For nitrite, the peak positions of nitrite under the two conditions were the same, which were 1240 cm−1, but the maximum value of nitrite production under 58% RH condition was higher than that under 5% RH condition, and it disappeared faster.
Figure 1c shows the DRIFTS spectra of the heterogeneous reaction of NO2 with pure γ-Al2O3 in the presence of simulated sunlight. The peak position of adsorbed nitrate in the presence of simulated sunlight were consistent with that in the dark, except for the peak at 1242 cm−1. Nitrite would rapidly photolysis under light condition, leading to the peak at 1242 cm−1 not appearing.

3.2. The Effect of Fresh DS on the Heterogeneous Reaction of NO2

In this section, the effects of fresh DS and fresh DS extract on the heterogeneous reaction of NO2 on the surfaces of γ-Al2O3 particles under different conditions were studied, including the effects of different loading amounts of fresh DS or fresh DS extract and different RH conditions on the formation of nitrate and nitrite on the surfaces of γ-Al2O3 particles.

3.2.1. Effect of Different DS Loading Amounts on the Heterogeneous Reaction of NO2

Figure 2a shows the DRIFT spectra of the reaction of NO2 with γ-Al2O3 particles loaded with 0.075% fresh DS in the mixture under the 58% RH condition. Many positive peaks appeared in Figure 2a and increased with the increase of reaction time. The peak position of the characteristic peak in Figure 2a did not change much compared with Figure 1b, except the peak at 1260 cm−1. The peak at 1260 cm−1 should be assigned to bidentate nitrite [27], and its position was shifted by 20 cm−1 compared with the one at 1240 cm−1 in Figure 1b. In addition, compared with Figure 1b, the characteristic peak intensity of nitrate in Figure 2a was much lower than that in Figure 1b, and the characteristic peak intensity of nitrite was much higher than that in Figure 1b. This indicated that the fresh DS could significantly inhibit the formation of nitrate and promote the formation of nitrite on the particle surface under the 58% RH condition.
In order to further study the effect of fresh DS loading amount on the formation of nitrate and nitrite from the heterogeneous reaction of NO2, the integrated peak areas of nitrate and nitrite on the surfaces of different mixed particles were compared. The changes of integrated peak areas of the nitrate absorption peaks on the surfaces of γ-Al2O3 particles with different fresh DS loading amount are shown in Figure S1. It can be clearly seen from Figure S1a that, under the 58% RH condition, the production of nitrate on the surfaces of pure particles was much higher than that of the mixed particles, which indicates that the presence of the fresh DS significantly inhibited the formation of nitrate on the surface of the mixed particles. In addition, it can be seen from Figure S1a that, with the increase of the fresh DS loading amount, the change trend of nitrate production first decreased and then increased.
Figure 3a shows the change of integrated peak areas of nitrite formed on the surfaces of γ-Al2O3 particles with different loading amounts of n-hexane extract of the fresh DS. It can be seen from Figure 3a that, under the 58% RH condition, the production of nitrite on the surfaces of pure γ-Al2O3 particles gradually increased in the first 30 min and slowly decreased after reaching the maximum in the 30th minute, while the production of nitrite on the surfaces of the mixed particles increased with the increase of reaction time. Moreover, the production of nitrite on the surfaces of the mixed particles was much greater than the maximum production of nitrite on the surfaces of pure γ-Al2O3 particles. This result shows that the fresh DS could greatly promote the formation of nitrite on the particle surface. In addition, it was also observed from Figure 3a that the nitrite formation rate on the particle surface gradually increased before the 60th min, and then gradually decreased.
In addition, Figure 3a shows that, with the increase of DS loading amount, the change trend of nitrite production on the surfaces of the mixed particles in the 120th min first increased and then decreased, but it was still higher than that produced on the pure γ-Al2O3. This result shows that the fresh DS promoted the formation of nitrite on the surfaces of the mixed particles, but compared with a low loading amount of the fresh DS, a high loading amount of the fresh DS inhibited the formation of nitrite to some extent. It also shows that when the mass fraction of the fresh DS was 0.075%, the activity of mixed particles was the largest. It is worth noting that, in addition to the change of nitrite production, it can also be seen from Figure 3a that, in the 20th minute, compared with mixed particles, the formation amount and rate of nitrite on the surfaces of pure γ-Al2O3 particles were the largest.
In order to verify the effect of DS on the production of nitrate and nitrite on the γ-Al2O3 surface and determine which components in DS affect the heterogeneous reaction on the γ-Al2O3 surface, we used n-hexane as a solvent to extract the nonpolar components in DS, loaded them onto γ-Al2O3 particles with different volumes, and repeated the experiments. Figure 2b shows the DRIFTS spectra of the reaction between NO2 and γ-Al2O3 particles with different loading amounts of DS n-hexane extract at 58% RH. The peak positions of nitrate and nitrite in Figure 2b were basically consistent with the experimental results of the mixed particles loaded with the fresh DS. Figure S1b and Figure 3b show the integrated peak areas of nitrate and nitrite formed on the surfaces of γ-Al2O3 particles with different loading amounts of n-hexane extract under 58% RH condition, respectively. As shown in Figure 3b, the change trend of nitrite production on the surfaces of mixed particles was first increased and then decreased, which was consistent with the experimental results of fresh DS-γ-Al2O3, indicating that the non-polar components in DS might make a great contribution to the heterogeneous conversion of NO2 to nitrite on the surfaces of the mixed particles. In addition, it can be seen from Figure S1b that, with the increase of loading amount, the nitrate production on the surfaces of mixed particles continued to decrease, indicating that the presence of the nonpolar components in DS did inhibit the formation of nitrate on the surface of the mixed particles. However, compared with Figure S1a, the production of nitrate in Figure S1b did not rise with the increase of loading amount, which might be because the nonpolar component amount dissolved in n-hexane solvent was small. Even if the loading amount had reached 1.5 mL, it was still not enough to cover the active sites on the whole γ-Al2O3 particles, so that the number of net active sites on the surfaces of mixed particles decreased with the increase of loading amount, and the nitrate production on the particle surfaces continued to decrease.

3.2.2. Effect of RH on the Heterogeneous Reaction of NO2 on the Mixed Samples

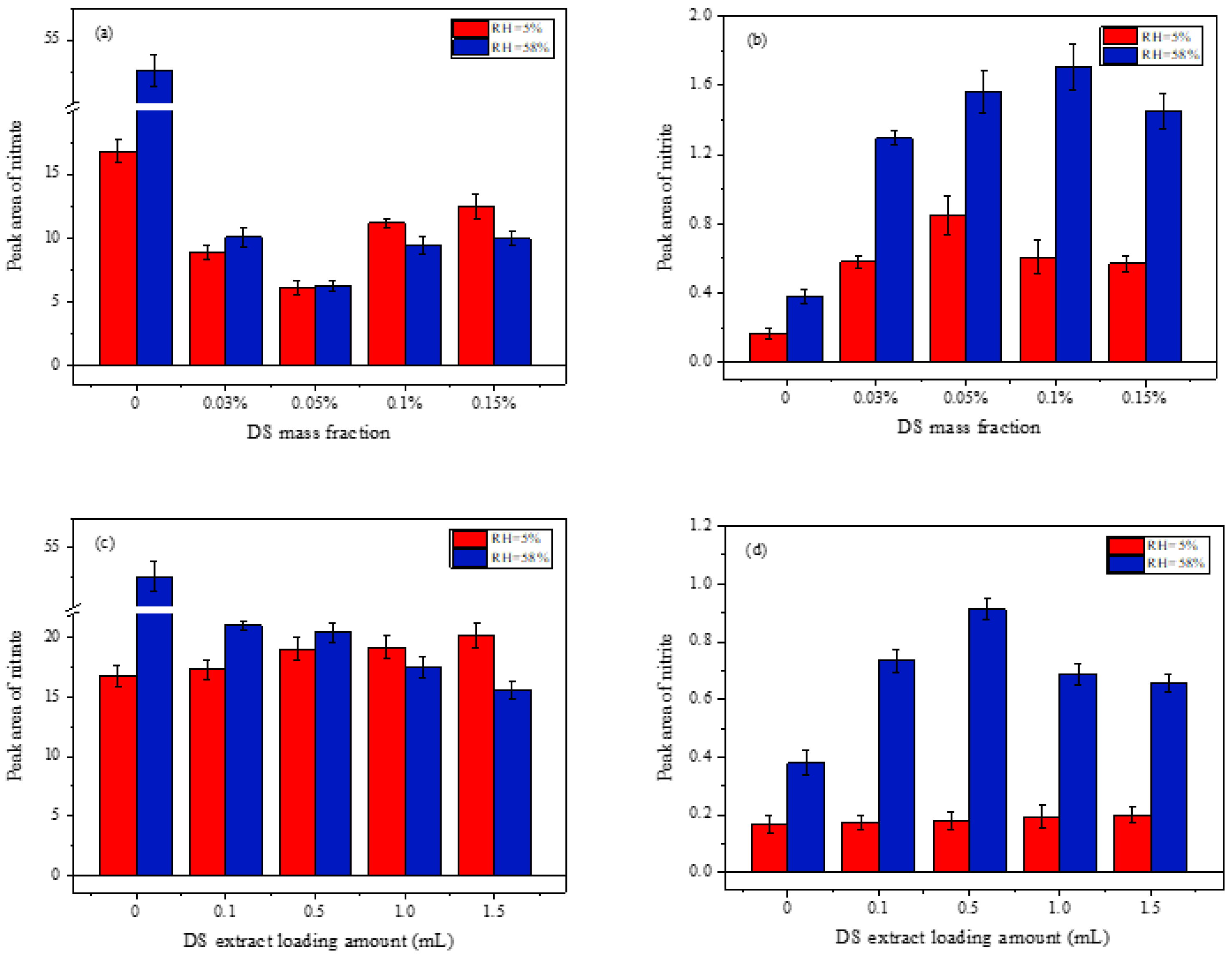
The effects of different DS loading amounts on the formation of nitrate and nitrite were explored under different RH conditions. Figure 4a shows the comparison of integrated peak areas of nitrate formed on the surfaces of the mixed γ-Al2O3 particles with different DS loading amounts at 5% RH and 58% RH, respectively. It can be seen from Figure 4a that, when the mass fraction of DS in the mixed particles was less than 0.05%, the production of nitrate on the particle surface at 58% RH was greater than that under the 5% RH condition. Meanwhile, when the mass fraction of DS was more than 0.05%, it was the opposite, which showed that when the DS loading amount was low, water could promote the formation of nitrate, but when the DS loading amount was high, water inhibited the formation of nitrate. Under high loading amount, absorbed H2O decreased the reactivity of DS.
Figure 4b shows the comparison of integrated peak areas of nitrate formed on the surfaces of the mixed γ-Al2O3 particles with different amounts of the fresh DS under 5% RH and 58% RH conditions, respectively. It can be seen from Figure 4b that the production of nitrite on the surfaces of the mixed particles with different loading amount under 58% RH condition was higher than that under the 5% RH condition, which shows that water can promote the formation of nitrite.
Figure 4c,d shows the comparison of integrated peak areas of nitrate and nitrite formed on the surfaces of the γ-Al2O3 particles with different loading amounts of n-hexane extract under 5% RH and 58% RH conditions, respectively. It can be seen from Figure 4c that, under low loading amount, high RH was conducive to the formation of nitrate on the surfaces of the mixed particles, while under the high loading amount, high RH was not conducive to the formation of nitrate. No matter how much the loading amount, high RH was conducive to the formation of nitrite. This result was consistent with previous experimental results [20].

3.2.3. Effect of Simulated Sunlight on the Heterogeneous Reaction of NO2 on the Mixed Samples

Figure 5a shows the comparison of integrated peak areas of the nitrate product absorption band from the fresh DS-γ-Al2O3 and the n-hexane of the fresh DS-γ-Al2O3 samples under light and no light conditions, respectively. It can be seen from Figure 5a that, on the surface of pure γ-Al2O3, the production of nitrate under no light was greater than that under light. However, on the surfaces of DS-γ-Al2O3 particles, the opposite was true. In addition, it can also be seen from Figure 5b that the production of nitrate on the surfaces of sample particles under light is more than that without light. This shows that, under the 58% RH condition, light was conducive to the formation of nitrate on the surfaces of the mixed sample particles.

3.3. Effect of Aged DS on the Heterogeneous Reaction of NO2

The effects of DS with different aging degrees and its extract on the heterogeneous reaction of NO2 on the surfaces of γ-Al2O3 particles at 58% RH were studied.

3.3.1. Effect of Aged DS on the Heterogeneous Reaction of NO2 in the Dark

The DRIFTS spectra of the reaction of NO2 with γ-Al2O3 particles loaded with O3-aged DS and its n-hexane extract under 58% RH condition are shown in Figure S2. The peaks in Figure S2a were positive and increased with time. Compared with Figure 2a, the characteristic peak positions of nitrate in Figure S2a did not basically change, but the peak position of nitrite changed to 1252 cm−1.
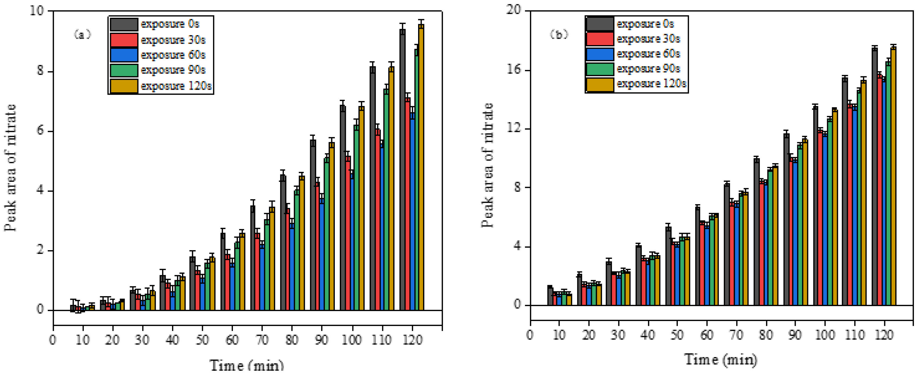
Figure 6a shows the comparison of integrated peak areas of nitrates formed on the surfaces of the mixed particles with different aging degrees under the 58% RH condition. It can be seen from Figure 6a that, with the increase of O3 exposure time, the change trend of nitrate production on the surfaces of the mixed particles first decreased and then increased.
Figure 7a shows the comparison of the integrated peak areas of the formed nitrite on the surfaces of the mixed particles with different aging degrees under the 58% RH condition. In general, the production of nitrite on the surfaces of fresh DS mixed particles was higher than that of aged DS mixed particles, which was consistent with previous research results [19,28]. However, it can be seen from Figure 7a that, after the mixed particles were exposed to O3 for 40 s, the production of nitrite on their surfaces gradually increased. It was also noted that the change trend of nitrite production was similar to that of nitrate, which first decreased and then increased.
The DRIFTS spectra of the reaction of NO2 with γ-Al2O3 particles loaded with the n-hexane extract of the O3-aged DS under the 58% RH condition are shown in Figure S2b. As can be seen from the figure, there were two new peaks, 1349 and 1342 cm−1, which were assigned to water-solvated nitrates [29]. Figure 6b and Figure 7b show the integrated peak areas of nitrate and nitrite formed on the surfaces of mixed particles with different aging degrees under the 58% RH condition, respectively. Among them, the nitrate production on the surfaces of the mixed particles first decreased and then increased, which was consistent with the experimental results discussed earlier. The change trend of nitrite production first increased and then decreased.

3.3.2. Effect of Aged DS on the Heterogeneous Reaction of NO2 under Light

The comparison of the integrated peak areas of the nitrate absorption band for the O3-aged DS-γ-Al2O3 or n-hexane extract of the O3-aged DS-γ-Al2O3 at 58% RH under light is shown in Figure S3. It can be seen from Figure S3a that, with the increase of O3 exposure time, the trend of nitrate production on the surfaces of sample particles first increased and then decreased. However, in Figure S3b, the trend of nitrate production on the surfaces of sample particles was always increasing.

3.3.3. Comparison of Different Aging Methods

In addition to the O3-aged samples, we also prepared UV-nitrate-aged particles to study the effects of different aging methods on the production of nitrate on the surfaces of the mixed particles. Figure 8a–d shows the effects of different aging methods on nitrate production on the surfaces of sample particles under different conditions. It can be seen from Figure 8 that the production of nitrate on the surfaces of the O3-aged particles was greater than that of the UV-nitrate-aged particles, regardless of light or dark, and the generation of nitrite was not observed on the surface of UV-nitrate-aged particles.

4. Discussion

4.1. Heterogeneous Reaction of NO2 with Pure γ-Al2O3

The experimental result of NO2 with pure γ-Al2O3 under 5% RH and dark conditions indicated that nitrite was an intermediate product of the reaction. Because the surfaces of γ-Al2O3 particles contains OH groups, gaseous NO2 would be adsorbed to the surface of the γ-Al2O3 particles by OH groups to form adsorbed NO2, and the two adsorbed NO2 molecules would undergo disproportionation reaction to form nitrate and nitrite, which led to the continuous formation of nitrite in the early stage of the reaction [30]. With the progress of the reaction, the nitrite formed on the surface of particles would be oxidized and consumed by NO2, resulting in the continuous reduction of nitrite content on the particle surface [24].
Under 58% RH and dark conditions, the presence of water molecules was conducive to the formation of nitrate. According to previous studies, under high humidity conditions, a large number of water molecules would be attached to the surfaces of γ-Al2O3 particles and adsorbed gaseous NO2 molecules. On the one hand, adsorbed NO2 would directly disproportionate with the water on the surfaces of the γ-Al2O3 particles to form nitrate [24]; on the other hand, adsorbed NO2 would also disproportionate itself to form nitrate [24], both of which led to a significant increase in the production of nitrate adsorbed on the particle surface under the 58% RH condition.
We also observed that the maximum value of nitrite production under 58% RH and dark conditions was higher than that under 5% RH and dark conditions, and it disappeared faster. This was because, under the 5% RH condition, most OH groups were provided by γ-Al2O3 particles, while under the 58% RH condition, a large number of water molecules attached to the surfaces of γ-Al2O3 particles would provide more potential OH groups, and thus adsorb more gaseous NO2 molecules and form nitrite through the disproportionation reaction of adsorbed NO2. As the reaction proceeded, a large number of NO2 molecules adsorbing on the water molecules on the particle surface would oxidize the previously formed nitrite [31], resulting in a sharp reduction in the amount of nitrite on the particle surface.
In addition, it is worth noting that the production of nitrate on the surface of γ-Al2O3 under 58% RH and simulated sunlight conditions was less than that under 58% RH and dark conditions. This might be due to the photolysis of nitrate, resulting in the reduction of nitrate production on the particle surface [25].

4.2. Loading Effects

We observed that, under 58% RH and dark conditions, the presence of water would shift the absorption peak of nitrite formed on the surfaces of DS-γ-Al2O3 particles. This might be because, in a humid environment, the mixed sample containing fresh DS possessed hydrophilic γ-Al2O3 and a special microporous structure [32,33], and hence an adsorbed water molecule layer was formed on the surface of the mixed sample [33], which may distort nitrite symmetry and affect the vibration frequency of nitrite attached to the surfaces of mixed particles [29], resulting in the shift of nitrite absorption peak.
The experimental result indicated that, under 58% RH and dark conditions, the presence of the fresh DS or the n-hexane extract of fresh DS significantly inhibited the formation of nitrate on the surfaces of the mixed particles. The fresh DS loaded on the particle surface covered a part of the active sites, resulting in a significant reduction of the active sites that could react with NO2. At the same time, although the active sites on the surface of the DS-γ-Al2O3 mixture could adsorb certain water molecules [33], considering the hydrophobicity of fresh soot surface, the content of water molecules on the mixture surface was still much lower than that of pure γ-Al2O3 particles, which greatly reduced the amount of nitrate formed by the disproportionation reaction between NO2 and water [34]. These might be the reasons for the reduction of nitrate on the surfaces of the mixed particles. In addition, with the increase of the fresh DS loading amount, the change trend of nitrate production under 58% RH and dark conditions first decreased and then increased. This might be because, under a low loading amount, with the increase of loading amount, the active sites on the γ-Al2O3 surface and DS surface were partly occupied by each other, the net active sites on the surface of mixed particles gradually decreased, and the adsorbed water gradually decreased, resulting in the reduction of nitrate production. Under a high loading amount, γ-Al2O3 surface active sites were adsorbed and saturated by the DS. With the continuous increase of loading amount, the active sites on the DS surface increased, and the net active sites on the surfaces of mixed particles gradually increased, and finally the nitrate production gradually increased.
Regardless of the fresh DS or the n-hexane extract of fresh DS, the production of nitrite on the surfaces of mixed particles was more than that of pure γ-Al2O3 under 58% RH and dark conditions. DS had a large specific surface area and was porous, which led to a large amount of NO2 being adsorbed onto the DS surface during the reaction. The adsorbed NO2 might directly react with the adsorbed hydrogen atoms and the -OH functional groups on the surface of DS to form nitrite [3,18]. Meanwhile, NO2 reacted with the DS surface hydroxyl group to form NO [35]. The HNO3 formed on the surfaces of the mixed particles might react with oxidizable surface sites on DS or NO to form nitrite [35]. Under the 58% RH condition, the nitrite formation rates on the surfaces of all mixed particles gradually increased before the 60th min, and then gradually decreased. This might be because, with the progress of the reaction, the surface oxidizable sites including the adsorbed H atoms from active groups were gradually consumed and the reactivity of the mixed particles decreased gradually [35]. It might also be because, with the progress of the reaction, the nitrate and nitrite formed on the surfaces of sample particles blocked the active sites, leading to the decrease of reaction rate.
In addition, it was observed that there was an optimal loading ratio to maximize the formation of nitrite on the surfaces of the fresh DS or the n-hexane extract of fresh DS mixed particles, under 58% RH and dark conditions. This may imply that the presence of γ-Al2O3 affected the heterogeneous reaction of NO2 on the DS surface. With the increase of DS loading, there are more and more opportunities for NO2 to interact with DS while reacting with γ-Al2O3, which would lead to the highest reactivity of the mixture at an appropriate mass fraction of the DS. Furthermore, DS contains complex organic compounds, such as pyridones, pyrazoles, and oxazolidones (Table S1); the adsorption of these compounds on γ-Al2O3 may also initiate electron-transfer processes, producing free radicals at the active sites of γ-Al2O3 to promote the conversion of NO2, similar to previous report [36]. Meanwhile, in the presence of the organic molecules of DS, the high negative charge density of alumina may lead to the redox reaction between organic molecules and alumina being promoted, resulting in the consumption of more NO2 [20].
We also observed that, in the 20th minute, compared with the fresh DS or the n-hexane extract of fresh DS mixed particles, the formation amount and rate of nitrite on the surfaces of pure γ-Al2O3 particles were the largest under 58% RH and dark conditions. This might be because the surfaces of γ-Al2O3 particles had a high negative charge density or a large number of unreacted active sites [37], so that a large amount of adsorbed NO2 in the initial stage of the reaction was reduced to nitrite.

4.3. Relative Humidity Effects

The results of the experiments conducted under different RH and dark conditions showed that, under a high loading amount, absorbed H2O decreased the reactivity of DS. This might be related to the restructuring of DS. Fresh DS particles had a fractal-like structure [38]. With the increase of RH, loose fresh DS particles would collapse into dense spherical particles [38], resulting in the reduction of DS surface active sites or the blockage of active sites on the surfaces of γ-Al2O3 particles. When the DS loading amount was low, the promoting effect of particle surface moisture on nitrate formation was greater than the inhibiting effect of DS, and high RH would promote the formation of nitrate. Meanwhile, when the DS loading amount was high, high RH would inhibit the formation of nitrate. We also observed that water could promote the formation of nitrite on the surfaces of mixed particles. It was possible that the water molecules and NO2 molecules adsorbed on the surfaces of the mixed particles reacted directly with the reduction sites on the surface of DS to form nitrite [17].

4.4. Simulated Sunlight Effect

In the light experiment, we found that, under 58% RH condition, light was conducive to the formation of nitrate on the surfaces of the fresh DS or the n-hexane extract of fresh DS mixed particles. Firstly, under light, the electronic configuration on the surfaces of DS particles, such as electron donating ability, surface OH group orientation, and the conversion efficiency between protonic acid and aprotic acid, would change, leading to the change of the reaction rate of NO2 with sample particles to form nitrate [39]. Secondly, in the dark, DS would be oxidized and inactivated by NO2, resulting in a decrease in the production of nitrate generated on the surfaces of sample particles [40]. Under light, light could prevent DS from inactivating on the surfaces of particles, which led to DS having a persistent reaction with NO2, resulting in more nitrate generated under light than in the dark [40]. Finally, light might provide additional energy to enhance the adsorption sites and reactivate the oxidized sites on the surfaces of sample particles and make them adsorb more NO2 to promote the heterogeneous reaction of NO2 [29].

4.5. Aging Effects

Regardless of O3-aged DS-γ-Al2O3 or O3-aged DS n-hexane extract-γ-Al2O3, with the increase of O3 exposure time, the change trend of nitrate production on the surfaces of the mixed particles under 58% RH and dark conditions first decreased and then increased. The reaction of O3 on the surfaces of particles would lead to the oxidation of some surface organic species or groups, and then enhance the hydrophilicity of particles. The surface water molecular layer may be formed by adsorbing water molecules onto particles, which would enhance the mobility of surface organic species and the reaction products. The deeper the degree of oxidation, the stronger the hydrophilicity and the migration ability, which may lead to the blockage of some reaction active sites of particles with short aging time because less surface adsorbed water is not conducive to the migration of organic species and reaction products. With the deepening of particle aging, the adsorbed water on the particle surface increased, and the mobility of organic species and reaction products increased, resulting in the recovery of reactive sites and the increase of particle surface reactivity.
The change trend of nitrite on the O3-aged DS-γ-Al2O3 under 58% RH and dark condition was to first decrease and then increase, and the reason for this has been discussed in the previous paragraph. But the change trend of nitrite on the O3-aged DS n-hexane extract-γ-Al2O3 under 58% RH and dark condition was to first increase and then decrease, which was contrary to the experimental results discussed above, but it was not contradictory. It can be seen from Figure 3b that there was an “optimal loading” for fresh DS extract. When the loading amount was the “optimal loading”, the production of nitrite on the particle surface was the largest. When the loading amount was greater than the “optimal loading”, the production of nitrite on the surfaces of the mixed particles gradually increased with the decrease of loading amount. Otherwise, the production of nitrite on the surfaces of the mixed particles gradually decreased with the decrease of loading amount. In this aging experiment, the loading amount of the fresh DS extract was 1 mL. In the early stage of O3 exposure, some reducing substances on the surfaces of the mixed particles were oxidized, but the amount of reducing substances was greater than the “optimal loading”. Therefore, with the increase of O3 exposure time, the production of nitrite on the surfaces of the mixed particles increased. With the further increase of O3 exposure time, the amount of reducing substances was less than the “optimal loading”, and the production of nitrite on the surfaces of mixed particles tended to decrease.
Under 58% and RH light conditions, the aging of the fresh DS or the n-hexane extract of fresh DS mixed particles was conducive to the formation of nitrate on surfaces. This might be because, when the aging degree of mixed particles was low, various oxygenated functional groups, such as hydroxyl, carbonyl and carboxyl groups, formed on its surface, which would enhance the absorption of light on the particle surface [41,42]. With the increase of O3 exposure time, the decrease of the production of nitrate with time may be driven by the consumption of oxygenated functional groups, the sequential depletion of reactive compounds, the slow poisoning of catalytically active sites, or the physical exchange of absorbed species or reactive intermediates by diffusion to the surface [43].
The experimental results of different aging methods showed that, at 58% RH, the production of nitrate on the surfaces of the O3-aged particles was greater than that of the UV-nitrate-aged particles, regardless of light or dark. On the one hand, the presence of nitrate enhanced the hygroscopicity of the mixed particles, and the diesel soot on the surface collapsed and became denser when encountering water, which inhibited the diffusion of NO2 on the particle surfaces [44]. On the other hand, part of the nitrate was adsorbed on the active sites on the particle surfaces, which hindered the reaction between NO2 and the mixed particles. Both of these might be the reason for the higher nitrate production of the O3-aged particles. In addition, it is worth noting that the generation of nitrite was not observed on the surfaces of UV-nitrate-aged particles, which might be due to the high concentration of nitrate species on the surface, which blocked the active sites of nitrite generated by the reaction between NO2 and the surfaces of mixed particles [45].

4.6. Effect of DS on the Uptake Coefficient for NO2 to Nitrate

Based on the above experimental data on the reaction of NO2 with sample particles under different conditions, we calculated the uptake coefficients for the heterogeneous reaction of NO2 on the sample particles, and these data can be used as a reference for future research.
In order to calculate the formation rate of nitrate on the surface of particles, the total number of nitrate ions on the surfaces of mixed particles was measured by ion chromatography to obtain the calibration curve, and then the formation amount of nitrate was determined by the calibration curve.
{ NO 3   } = f × ( Integrated   peak   areas )
where f is the conversion factor, and the conversion factor is independent of reaction time. In this study, the calculated value of f for the nitrate is 1.13 (±0.012) × 1015 ions g−1 ABU−1.
The reactive uptake coefficient (γ) is defined as the ratio of the reactive gas−surface collision rate to the total gas−surface collision rate.
γ = d [ NO 3 ] d t / Z
where Z represents the total NO2−Al2O3 surface collision frequency as determined by the kinetic theory of gases.
Z = A [ NO 2 ] 4   ( 8 R T π M NO 2 ) 0.5
where A is the total surface area, MNO2 is the molar mass for the reactant gas, R is the gas constant, and T is the temperature. [NO2] indicates the gas-phase NO2 concentration [46].
Table 1 shows the uptake coefficients under different conditions with different loading amounts of DS or DS n-hexane extract and different aging degree of samples. As can be seen from Table 1, except for DS extract-γ-Al2O3 particles under 5% RH and dark conditions, the uptake coefficients of the other samples are all lower than that of pure γ-Al2O3, indicating that the reactive uptake coefficients are sensitive to the loading of DS. For the fresh DS samples, when the loading amounts of DS or DS extract are at maximum, the uptake coefficients are the largest under 5% RH and dark conditions. In addition, for the aged samples, the uptake coefficients under light are larger than under no light. Compared with the O3-aged particles, the uptake coefficients of UV-nitrate-aged particles are smaller under light and no light. These differences would have an important impact on the formation of nitrate in the atmosphere.

5. Conclusions and Atmospheric Implications

The effects of DS and DS n-hexane extract on the heterogeneous reaction of NO2 on the surfaces of γ-Al2O3 particles under different conditions were studied by DRIFTS. At the same time, the effects of the aged DS-γ-Al2O3 and the aged DS-n-hexane extract-γ-Al2O3 with different aging degrees on the formation of nitrate and nitrite from the heterogeneous reaction of NO2 were also discussed.
The results showed that DS had a very obvious effect on the heterogeneous reaction of NO2. Under dark and 58% RH conditions, the presence of fresh DS or DS n-hexane extract significantly inhibited the formation of nitrate and promoted the formation of nitrite. With the increase of DS or DS n-hexane extract loading amount, the change trend of nitrite production on the particle surface was to first increase and then decrease. When the mass fraction of DS was 0.075% or the addition amount of DS n-hexane extract was 0.5 mL, nitrite production was the highest. The control experimental results showed that, no matter how much the DS or DS n-hexane extract loading amount, high RH was conducive to the formation of nitrite on the surfaces of the mixed particles. For nitrate, high RH was conducive to the formation of nitrate when the DS or DS n-hexane extract loading amount was low, but it was the opposite when the DS or DS n-hexane extract loading amount was high. The experimental results under light condition showed that light was conducive to the formation of nitrate on the surfaces of sample particles. In addition, the aging experimental results showed that in the dark, with the increase of O3 exposure time, the production of nitrate on the particle surface first decreased and then increased. On the whole, the aging of mixed particles would inhibit the formation of nitrite on the surface, but if the loading amount of the n-hexane extract of the O3-aged DS was greater than the “optimal loading”, the production of nitrite on the surfaces of the mixed particles with short aging time was more than that of fresh mixed particles. Under the light, with the increase of O3 exposure time, the production of nitrate on the O3-aged DS-γ-Al2O3 surface first increased and then decreased, but the production of nitrate on the O3-aged DS-n-hexane extract-γ-Al2O3 surface always increased. The effects of different aging methods on nitrate production on particle surfaces were also investigated. The results showed that the production of nitrate on the surfaces of O3-aged particles was greater than that of UV-nitrate-aged particles, regardless of light or no light.
This study has a very important atmospheric significance. The results show that soot has an obvious effect on the heterogeneous reaction of NO2 on the surfaces of mineral dust particles, and the influence mechanism is complex. In view of the widespread existence of soot in the atmospheric environment, the interaction between the mixture of soot and mineral dust particles and NO2 may affect previous estimations of nitrate and nitrite content in atmospheric aerosols. At the same time, it may also have a potential impact on atmospheric oxidation, atmospheric secondary particle formation, and O3 formation.

Supplementary Materials

The following supporting information can be downloaded at: https://www.mdpi.com/article/10.3390/atmos13020333/s1, Figure S1: Integrated peak areas of the nitrate absorption band for different samples at 58% RH: (a) fresh DS-γ-Al2O3; (b) n-hexane extract of the fresh DS-γ-Al2O3; Figure S2: DRIFTS spectra of surface products as a function of reaction time during the reactions of NO2 with two different samples at 58% RH: (a) DS-γ-Al2O3 aged by O3 for 90 s (0.075% of DS in the mixture); (b) n-hexane extract of DS-γ-Al2O3 aged by O3 for 90 s (5 mL extract); Figure S3: Integrated peak areas of the nitrate absorption band for different samples at 58% RH under light: (a) O3-aged DS-γ-Al2O3; (b) n-hexane extract of the O3-aged DS-γ-Al2O3; Table S1: Compounds in n-hexane extract of fresh DS; Table S2: Compounds in n-hexane extract of O3-aged DS; Table S3: Compounds in methanol acetonitrile extract of fresh DS; Table S4: Compounds in methanol acetonitrile extract of O3-aged DS; Text S1: Component analysis.

Author Contributions

C.W., writing-original draft, investigation, data curation, formal analysis; L.K., conceptualization, formal analysis, funding acquisition, project administration, supervision, validation, visualization, writing—review and editing; S.J., writing—review and editing, data curation; L.X., writing—review and editing, visualization; J.T., writing—review and editing, visualization; Y.W., writing—review and editing, visualization. All authors have read and agreed to the published version of the manuscript.

Funding

This research was funded by the National Natural Science Foundation of China (Grant Nos. 21976032, 21777027 and 41475110).

Institutional Review Board Statement

Not applicable.

Informed Consent Statement

Not applicable.

Data Availability Statement

The data reported in this study will be available on request from the corresponding author.

Conflicts of Interest

The authors declare no conflict of interest.

References

  1. Pan, Y.P.; Wang, Y.S.; Zhang, J.K.; Liu, Z.R.; Wang, L.; Tian, S.L.; Tang, G.Q.; Gao, W.K.; Ji, D.S.; Song, T.; et al. Redefining the importance of nitrate during haze pollution to help optimize an emission control strategy. Atmos. Environ. 2016, 141, 197–202. [Google Scholar] [CrossRef]
  2. Lang, J.L.; Cheng, S.Y.; Zhou, Y.; Zhang, Y.L.; Wang, G. Air pollutant emissions from on-road vehicles in China, 1999–2011. Sci. Total Environ. 2014, 496, 1–10. [Google Scholar] [CrossRef] [PubMed]
  3. Grassian, V.H. Chemical reactions of nitrogen oxides on the surface of oxide, carbonate, soot, and mineral dust particles: Implications for the chemical balance of the troposphere. J. Phys. Chem. A 2002, 106, 860–877. [Google Scholar] [CrossRef]
  4. George, C.; Ammann, M.; D’Anna, B.; Donaldson, D.J.; Nizkorodov, S.A. Heterogeneous Photochemistry in the Atmosphere. Chem. Rev. 2015, 115, 4218–4258. [Google Scholar] [CrossRef] [PubMed] [Green Version]
  5. Kuang, Y.; Shang, J. Changes in light absorption by brown carbon in soot particles due to heterogeneous ozone aging in a smog chamber. Environ. Pollut. 2020, 266, 115273. [Google Scholar] [CrossRef] [PubMed]
  6. Zhao, R.; Lee, A.K.Y.; Huang, L.; Li, X.; Yang, F.; Abbatt, J.P.D. Photochemical processing of aqueous atmospheric brown carbon. Atmos. Chem. Phys. 2015, 15, 6087–6100. [Google Scholar] [CrossRef] [Green Version]
  7. Akhter, M.S.; Chughtai, A.R.; Smith, D.M. Reaction of Hexane Soot with NO2/N2O4. J. Phys. Chem. 1984, 88, 5334–5342. [Google Scholar] [CrossRef]
  8. Ye, C.X.; Li, H.J.; Zhu, T.; Shang, J.; Zhang, Z.F.; Zhao, D.F. Heterogeneous reaction of NO2 with sea salt particles. Sci. China-Chem. 2010, 53, 2652–2656. [Google Scholar] [CrossRef]
  9. Underwood, G.M.; Miller, T.M.; Grassian, V.H. Transmission FT-IR and Knudsen cell study of the heterogeneous reactivity of gaseous nitrogen dioxide on mineral oxide particles. J. Phys. Chem. A 1999, 103, 6184–6190. [Google Scholar] [CrossRef]
  10. Aubin, D.G.; Abbatt, J.P.D. Interaction of NO2 with hydrocarbon soot: Focus on HONO yield, surface modification, and mechanism. J. Phys. Chem. A 2007, 111, 6263–6273. [Google Scholar] [CrossRef]
  11. Zhanzakova, A.; Tong, S.Y.; Yang, K.J.; Chen, L.; Li, K.J.; Fu, H.B.; Wang, L.; Kong, L.D. The effects of surfactants on the heterogeneous uptake of sulfur dioxide on hematite. Atmos. Environ. 2019, 213, 548–557. [Google Scholar] [CrossRef]
  12. Gertler, C.G.; Puppala, S.P.; Panday, A.; Stumm, D.; Shea, J. Black carbon and the Himalayan cryosphere: A review. Atmos. Environ. 2016, 125, 404–417. [Google Scholar] [CrossRef]
  13. Bond, T.C.; Doherty, S.J.; Fahey, D.W.; Forster, P.M.; Berntsen, T.; DeAngelo, B.J.; Flanner, M.G.; Ghan, S.; Karcher, B.; Koch, D.; et al. Bounding the role of black carbon in the climate system: A scientific assessment. J. Geophys. Res. Atmos. 2013, 118, 5380–5552. [Google Scholar] [CrossRef]
  14. Kamm, S.; Mohler, O.; Naumann, K.H.; Saathoff, H.; Schurath, U. The heterogeneous reaction of ozone with soot aerosol. Atmos. Environ. 1999, 33, 4651–4661. [Google Scholar] [CrossRef]
  15. Kirchner, U.; Scheer, V.; Vogt, R. FTIR spectroscopic investigation of the mechanism and kinetics of the heterogeneous reactions of NO2 and HNO3 with soot. J. Phys. Chem. A 2000, 104, 8908–8915. [Google Scholar] [CrossRef]
  16. Mikhailov, E.F.; Vlasenko, S.S.; Kramer, L.; Niessner, R. Interaction of soot aerosol particles with water droplets: Influence of surface hydrophilicity. J. Aerosol Sci. 2001, 32, 697–711. [Google Scholar] [CrossRef]
  17. Kleffmann, J.; Becker, K.H.; Lackhoff, M.; Wiesen, P. Heterogeneous conversion of NO2 on carbonaceous surfaces. Phys. Chem. Chem. Phys. 1999, 1, 5443–5450. [Google Scholar] [CrossRef]
  18. Al-Abadleh, H.A.; Grassian, V.H. Heterogeneous reaction of NO2 on hexane soot: A Knudsen cell and FT-IR study. J. Phys. Chem. A 2000, 104, 11926–11933. [Google Scholar] [CrossRef]
  19. Khalizov, A.F.; Cruz-Quinones, M.; Zhang, R.Y. Heterogeneous Reaction of NO2 on Fresh and Coated Soot Surfaces. J. Phys. Chem. A 2010, 114, 7516–7524. [Google Scholar] [CrossRef]
  20. Romanias, M.N.; Bedjanian, Y.; Zaras, A.M.; Andrade-Eiroa, A.; Shahla, R.; Dagaut, P.; Philippidis, A. Mineral Oxides Change the Atmospheric Reactivity of Soot: NO2 Uptake under Dark and UV Irradiation Conditions. J. Phys. Chem. A 2013, 117, 12897–12911. [Google Scholar] [CrossRef]
  21. Dentener, F.J.; Carmichael, G.R.; Zhang, Y.; Lelieveld, J.; Crutzen, P.J. Role of mineral aerosol as a reactive surface in the global troposphere. J. Geophys. Res. -Atmos. 1996, 101, 22869–22889. [Google Scholar] [CrossRef]
  22. Usher, C.R.; Michel, A.E.; Grassian, V.H. Reactions on mineral dust. Chem. Rev. 2003, 103, 4883–4939. [Google Scholar] [CrossRef] [PubMed]
  23. Schuttlefield, J.; Rubasinghege, G.; El-Maazawi, M.; Bone, J.; Grassian, V.H. Photochemistry of adsorbed nitrate. J. Am. Chem. Soc. 2008, 130, 12210–12211. [Google Scholar] [CrossRef] [PubMed]
  24. Sun, Z.Y.; Kong, L.D.; Zhao, X.; Ding, X.X.; Fu, H.B.; Cheng, T.T.; Yang, X.; Chen, J.M. Effect of Formaldehyde on the Heterogeneous Reaction of Nitrogen Dioxide on gamma-Alumina. J. Phys. Chem. A 2015, 119, 9317–9324. [Google Scholar] [CrossRef]
  25. Du, C.T.; Kong, L.D.; Zhanzakova, A.; Tong, S.Y.; Yang, X.; Wang, L.; Fu, H.B.; Cheng, T.T.; Chen, J.M.; Zhang, S.C. Impact of heterogeneous uptake of nitrogen dioxide on the conversion of acetaldehyde on gamma-alumina in the absence and presence of simulated solar irradiation. Atmos. Environ. 2018, 187, 282–291. [Google Scholar] [CrossRef]
  26. Baltrusaitis, J.; Schuttlefield, J.; Jensen, J.H.; Grassian, V.H. FTIR spectroscopy combined with quantum chemical calculations to investigate adsorbed nitrate on aluminium oxide surfaces in the presence and absence of co-adsorbed water. Phys. Chem. Chem. Phys. 2007, 9, 4970–4980. [Google Scholar] [CrossRef]
  27. Guan, C.; Li, X.L.; Luo, Y.Q.; Huang, Z. Heterogeneous Reaction of NO2 on alpha-Al2O3 in the Dark and Simulated Sunlight. J. Phys. Chem. A 2014, 118, 6999–7006. [Google Scholar] [CrossRef]
  28. Lelievre, S.; Bedjanian, Y.; Laverdet, G.; Le Bras, G. Heterogeneous reaction of NO2 with hydrocarbon flame soot. J. Phys. Chem. A 2004, 108, 10807–10817. [Google Scholar] [CrossRef]
  29. Miller, T.M.; Grassian, V.H. Heterogeneous chemistry of NO2 on mineral oxide particles: Spectroscopic evidence for oxide-coordinated and water-solvated surface nitrate. Geophys. Res. Lett. 1998, 25, 3835–3838. [Google Scholar] [CrossRef]
  30. Borensen, C.; Kirchner, U.; Scheer, V.; Vogt, R.; Zellner, R. Mechanism and kinetics of the reactions of NO2 or HNO3 with alumina as a mineral dust model compound. J. Phys. Chem. A 2000, 104, 5036–5045. [Google Scholar] [CrossRef]
  31. Szanyi, J.; Kwak, J.H.; Chimentao, R.J.; Peden, C.H.F. Effect of H2O on the adsorption of NO2 on gamma-Al2O3: An in situ FTIR/MS study. J. Phys. Chem. C 2007, 111, 2661–2669. [Google Scholar] [CrossRef]
  32. Ghzaoui, E.; Lindheimer, M.; Lindheimer, A.; Lagerge, S.; Partyka, S. Surface characterization of diesel engine soot inferred from physico-chemical methods. Colloids Surf. A-Physicochem. Eng. Asp. 2004, 233, 79–86. [Google Scholar] [CrossRef]
  33. Popovitcheva, O.B.; Trukhin, M.E.; Persiantseva, N.M.; Shonija, N.K. Water adsorption on aircraft-combustor soot under young plume conditions. Atmos. Environ. 2001, 35, 1673–1676. [Google Scholar] [CrossRef]
  34. Chughtai, A.R.; Miller, N.J.; Smith, D.M.; Pitts, J.R. Carbonaceous particle hydration III. J. Atmos. Chem. 1999, 34, 259–279. [Google Scholar] [CrossRef]
  35. Munoz, M.S.S.; Rossi, M.J. Heterogeneous reactions of HNO3 with flame soot generated under different combustion conditions. Reaction mechanism and kinetics. Phys. Chem. Chem. Phys. 2002, 4, 5110–5118. [Google Scholar] [CrossRef]
  36. Samoilova, R.I.; Dikanov, S.A.; Fionov, A.V.; Tyryshkin, A.M.; Lunina, E.V.; Bowman, M.K. Pulsed EPR study of orthophosphoric and boric acid modified gamma-alumina. J. Phys. Chem. 1996, 100, 17621–17629. [Google Scholar] [CrossRef]
  37. Hoex, B.; Gielis, J.J.H.; de Sanden, M.C.M.V.; Kessels, W.M.M. On the c-Si surface passivation mechanism by the negative-charge-dielectric Al2O3. J. Appl. Phys. 2008, 104, 113703. [Google Scholar] [CrossRef] [Green Version]
  38. Martin, M.; Tritscher, T.; Juranyi, Z.; Heringa, M.F.; Sierau, B.; Weingartner, E.; Chirico, R.; Gysel, M.; Prevot, A.S.H.; Baltensperger, U.; et al. Hygroscopic properties of fresh and aged wood burning particles. J. Aerosol Sci. 2013, 56, 15–29. [Google Scholar] [CrossRef]
  39. Guan, C.; Li, X.L.; Zhang, W.G.; Huang, Z. Identification of Nitration Products during Heterogeneous Reaction of NO2 on Soot in the Dark and under Simulated Sunlight. J. Phys. Chem. A 2017, 121, 482–492. [Google Scholar] [CrossRef]
  40. Monge, M.E.; D’Anna, B.; Mazri, L.; Giroir-Fendler, A.; Ammann, M.; Donaldson, D.J.; George, C. Light changes the atmospheric reactivity of soot. Proc. Natl. Acad. Sci. USA 2010, 107, 6605–6609. [Google Scholar] [CrossRef] [Green Version]
  41. Han, C.; Liu, Y.C.; He, H. The photoenhanced aging process of soot by the heterogeneous ozonization reaction. Phys. Chem. Chem. Phys. 2016, 18, 24401–24407. [Google Scholar] [CrossRef] [PubMed]
  42. Zhu, J.L.; Chen, Y.Y.; Shang, J.; Zhu, T. Effects of air/fuel ratio and ozone aging on physicochemical properties and oxidative potential of soot particles. Chemosphere 2019, 220, 883–891. [Google Scholar] [CrossRef] [PubMed]
  43. Zelenay, V.; Monge, M.E.; D’Anna, B.; George, C.; Styler, S.A.; Huthwelker, T.; Ammann, M. Increased steady state uptake of ozone on soot due to UV/Vis radiation. J. Geophys. Res. Atmos. 2011, 116, D11301. [Google Scholar] [CrossRef] [Green Version]
  44. Han, C.; Liu, Y.C.; He, H. Heterogeneous reaction of NO2 with soot at different relative humidity. Environ. Sci. Pollut. Res. 2017, 24, 21248–21255. [Google Scholar] [CrossRef]
  45. Kleffmann, J.; Wiesen, P. Heterogeneous conversion of NO2 and NO on HNO3 treated soot surfaces: Atmospheric implications. Atmos. Chem. Phys. 2005, 5, 77–83. [Google Scholar] [CrossRef] [Green Version]
  46. Angelini, M.M.; Garrard, R.J.; Rosen, S.J.; Hinrichs, R.Z. Heterogeneous reactions of gaseous HNO3 and NO2 on the clay minerals kaolinite and pyrophyllite. J. Phys. Chem. A 2007, 111, 3326–3335. [Google Scholar] [CrossRef] [PubMed]
Figure 1. DRIFTS spectra of surface products as a function of reaction time during the reactions of NO2 with pure γ-Al2O3 particles under different conditions: (a) 5% RH + dark; (b) 58% RH + dark; (c) 58% RH + light.
Figure 1. DRIFTS spectra of surface products as a function of reaction time during the reactions of NO2 with pure γ-Al2O3 particles under different conditions: (a) 5% RH + dark; (b) 58% RH + dark; (c) 58% RH + light.
Atmosphere 13 00333 g001
Figure 2. DRIFTS spectra of surface products as a function of reaction time during the reactions of NO2 with different samples under the 58% RH condition: (a) fresh DS-γ-Al2O3 (0.075% of fresh DS in the mixture); (b) n-hexane extract of fresh DS-γ-Al2O3 (0.5 mL extract).
Figure 2. DRIFTS spectra of surface products as a function of reaction time during the reactions of NO2 with different samples under the 58% RH condition: (a) fresh DS-γ-Al2O3 (0.075% of fresh DS in the mixture); (b) n-hexane extract of fresh DS-γ-Al2O3 (0.5 mL extract).
Atmosphere 13 00333 g002
Figure 3. Integrated peak areas of the nitrite (1180–1250 cm−1) absorption band for different samples at 58% RH: (a) fresh DS-γ-Al2O3; (b) n-hexane extract of the fresh DS-γ-Al2O3.
Figure 3. Integrated peak areas of the nitrite (1180–1250 cm−1) absorption band for different samples at 58% RH: (a) fresh DS-γ-Al2O3; (b) n-hexane extract of the fresh DS-γ-Al2O3.
Atmosphere 13 00333 g003
Figure 4. Comparison of integrated peak areas of the nitrogen-containing product absorption band for different samples under 5% RH and 58% RH conditions: the production of nitrate (1250–1570 cm−1) (a) and nitrite (1180–1250 cm−1) (b) on the fresh DS-γ-Al2O3 particles; the production of nitrate (1250–1570 cm−1) (c) and nitrite (1180–1250 cm−1) (d) on the n-hexane extract of the fresh DS-γ-Al2O3 particles.
Figure 4. Comparison of integrated peak areas of the nitrogen-containing product absorption band for different samples under 5% RH and 58% RH conditions: the production of nitrate (1250–1570 cm−1) (a) and nitrite (1180–1250 cm−1) (b) on the fresh DS-γ-Al2O3 particles; the production of nitrate (1250–1570 cm−1) (c) and nitrite (1180–1250 cm−1) (d) on the n-hexane extract of the fresh DS-γ-Al2O3 particles.
Atmosphere 13 00333 g004
Figure 5. Comparison of integrated peak areas of the nitrate product absorption band (1250–1570 cm−1) from different samples under light and no light conditions: (a) the fresh DS-γ-Al2O3; (b) the n-hexane extract of the fresh DS-γ-Al2O3.
Figure 5. Comparison of integrated peak areas of the nitrate product absorption band (1250–1570 cm−1) from different samples under light and no light conditions: (a) the fresh DS-γ-Al2O3; (b) the n-hexane extract of the fresh DS-γ-Al2O3.
Atmosphere 13 00333 g005
Figure 6. Integrated peak areas of the nitrate absorption band (1250–1570 cm−1) for different samples at 58% RH: (a) O3-aged DS-γ-Al2O3; (b) n-hexane extract of the O3-aged DS-γ-Al2O3.
Figure 6. Integrated peak areas of the nitrate absorption band (1250–1570 cm−1) for different samples at 58% RH: (a) O3-aged DS-γ-Al2O3; (b) n-hexane extract of the O3-aged DS-γ-Al2O3.
Atmosphere 13 00333 g006
Figure 7. Integrated peak areas of the nitrite absorption band (1180–1250 cm−1) for different samples under the 58% RH condition: (a) O3-aged DS-γ-Al2O3; (b) n-hexane extract of the O3-aged DS-γ-Al2O3.
Figure 7. Integrated peak areas of the nitrite absorption band (1180–1250 cm−1) for different samples under the 58% RH condition: (a) O3-aged DS-γ-Al2O3; (b) n-hexane extract of the O3-aged DS-γ-Al2O3.
Atmosphere 13 00333 g007
Figure 8. Comparison of nitrate production (1250–1570 cm−1) between ozone aging and UV-nitrate aging at 58% RH under light and no light: (a) DS-γ-Al2O3 particles under no light; (b) DS-n-hexane extract-γ-Al2O3 particles under no light; (c) DS-γ-Al2O3 particles under light; (d) DS-n-hexane extract-γ-Al2O3 particles under light.
Figure 8. Comparison of nitrate production (1250–1570 cm−1) between ozone aging and UV-nitrate aging at 58% RH under light and no light: (a) DS-γ-Al2O3 particles under no light; (b) DS-n-hexane extract-γ-Al2O3 particles under no light; (c) DS-γ-Al2O3 particles under light; (d) DS-n-hexane extract-γ-Al2O3 particles under light.
Atmosphere 13 00333 g008
Table 1. Reactive uptake coefficients in the initial region for the reaction of NO2 on different samples.
Table 1. Reactive uptake coefficients in the initial region for the reaction of NO2 on different samples.
Particle Types58% RH Dark
BET × 10−7)
58% RH Light
BET × 10−7)
5% RH
Dark(γBET × 10−7)
Pure γ-Al2O334.14 ± 0.3722.55 ± 0.2410.89 ± 0.12
0.025% DS-γ-Al2O36.52 ± 0.076.55 ± 0.075.76 ± 0.06
0.05% DS-γ-Al2O34.06 ± 0.046.67 ± 0.073.93 ± 0.04
0.075% DS-γ-Al2O36.10 ± 0.077.05 ± 0.087.25 ± 0.08
0.1% DS-γ-Al2O36.46 ± 0.077.36 ± 0.088.07 ± 0.09
0.1 mL DS extract-γ-Al2O313.67 ± 0.1523.58 ± 0.2511.24 ± 0.12
0.5 mL DS extract-γ-Al2O313.25 ± 0.1416.02 ± 0.1712.37 ± 0.13
1.0 mL DS extract-γ-Al2O311.36 ± 0.1213.39 ± 0.1412.47 ± 0.13
1.5 mL DS extract-γ-Al2O310.13 ± 0.1112.16 ± 0.1313.10 ± 0.14
DS-γ-Al2O3 O3 exposure 30 s4.63 ± 0.057.75 ± 0.08
DS-γ-Al2O3 O3 exposure 60 s4.29 ± 0.058.09 ± 0.09
DS-γ-Al2O3 O3 exposure 90 s5.66 ± 0.0610.94 ± 0.12
DS-γ-Al2O3 O3 exposure 120 s6.22 ± 0.078.94 ± 0.1
DS extract-γ-Al2O3 O3 exposure 30 s10.18 ± 0.1114.56 ± 0.16
DS extract-γ-Al2O3 O3 exposure 60 s9.98 ± 0.1116.58 ± 0.18
DS extract-γ-Al2O3 O3 exposure 90 s10.75 ± 0.1219.05 ± 0.21
DS extract-γ-Al2O3 O3 exposure 120 s11.38 ± 0.1219.86 ± 0.21
DS-NH4NO3-γ-Al2O3 UV exposure 30 s3.05 ± 0.032.49 ± 0.03
DS-NH4NO3-γ-Al2O3 UV exposure 60 s2.81 ± 0.032.30 ± 0.02
DS-NH4NO3-γ-Al2O3 UV exposure 90 s2.76 ± 0.032.52 ± 0.03
DS-NH4NO3-γ-Al2O3 UV exposure 120 s2.61 ± 0.031.95 ± 0.02
DS extract-NH4NO3-γ-Al2O3 UV exposure 30 s5.72 ± 0.065.20 ± 0.06
DS extract-NH4NO3-γ-Al2O3 UV exposure 60 s4.71 ± 0.054.54 ± 0.05
DS extract-NH4NO3-γ-Al2O3 UV exposure 90 s4.71 ± 0.056.18 ± 0.07
DS extract-NH4NO3-γ-Al2O3 UV exposure 120 s4.26 ± 0.055.52 ± 0.06
Publisher’s Note: MDPI stays neutral with regard to jurisdictional claims in published maps and institutional affiliations.

Share and Cite

MDPI and ACS Style

Wang, C.; Kong, L.; Jin, S.; Xia, L.; Tan, J.; Wang, Y. Effect of Diesel Soot on the Heterogeneous Reaction of NO2 on the Surface of γ-Al2O3. Atmosphere 2022, 13, 333. https://doi.org/10.3390/atmos13020333

AMA Style

Wang C, Kong L, Jin S, Xia L, Tan J, Wang Y. Effect of Diesel Soot on the Heterogeneous Reaction of NO2 on the Surface of γ-Al2O3. Atmosphere. 2022; 13(2):333. https://doi.org/10.3390/atmos13020333

Chicago/Turabian Style

Wang, Chao, Lingdong Kong, Shengyan Jin, Lianghai Xia, Jie Tan, and Yuwen Wang. 2022. "Effect of Diesel Soot on the Heterogeneous Reaction of NO2 on the Surface of γ-Al2O3" Atmosphere 13, no. 2: 333. https://doi.org/10.3390/atmos13020333

APA Style

Wang, C., Kong, L., Jin, S., Xia, L., Tan, J., & Wang, Y. (2022). Effect of Diesel Soot on the Heterogeneous Reaction of NO2 on the Surface of γ-Al2O3. Atmosphere, 13(2), 333. https://doi.org/10.3390/atmos13020333

Note that from the first issue of 2016, this journal uses article numbers instead of page numbers. See further details here.

Article Metrics

Back to TopTop