Spatial Modeling of Extreme Temperature in Northeast Thailand
Abstract
1. Introduction
2. Study Area
3. Methodology
3.1. GEVD
3.1.1. Local GEVD
3.1.2. MLE
3.1.3. Return Level Estimation
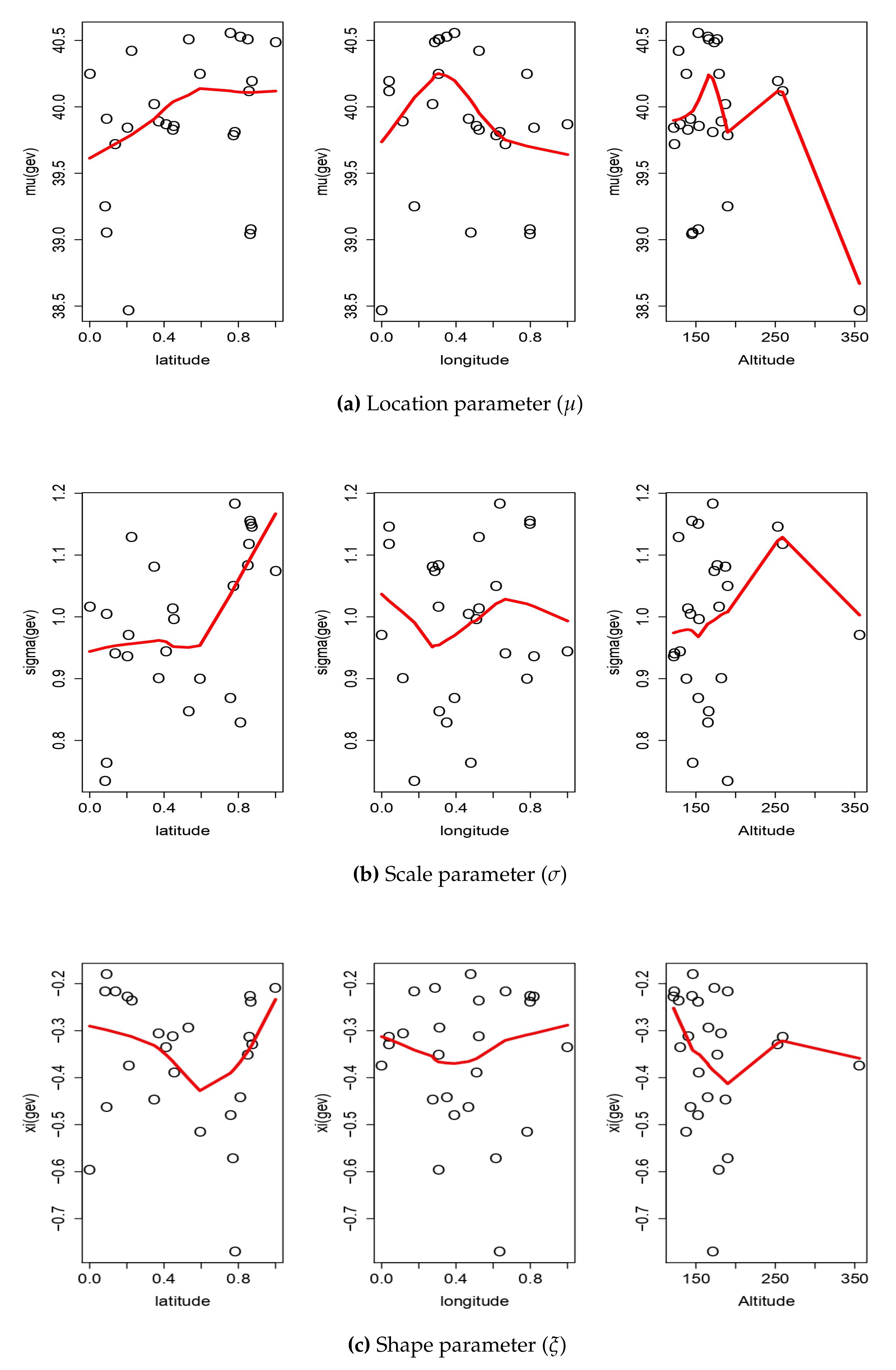
3.2. Spatial GEVD
4. Results
4.1. GEVD
4.2. Spatial GEVD
5. Discussion and Conclusions
Supplementary Materials
Author Contributions
Funding
Institutional Review Board Statement
Informed Consent Statement
Data Availability Statement
Acknowledgments
Conflicts of Interest
References
- Pachauri, R.K.; Allen, M.R.; Barros, V.R.; Broome, J.; Cramer, W.; Christ, R.; Church, J.A.; Clarke, L.; Dahe, Q.; Dasgupta, P.; et al. Climate Change 2014: Synthesis Report. Contribution of Working Groups I, II and III to the Fifth Assessment Report of the Intergovernmental Panel on Climate Change; IPCC: Geneva, Switzerland, 2014. [Google Scholar]
- Thai Meteorological Department. Climatic Informations. 2021. Available online: https://www.tmd.go.th (accessed on 8 August 2021).
- Limsakul, A. Trends in Thailand’s extreme temperature indices during 1955–2018 and their relationship with global mean temperature change. Appl. Environ. Res. 2020, 42, 94–107. [Google Scholar] [CrossRef]
- National Statistical Office. Results of the 2018 Agricultural Change Survey. 2018. Available online: http://www.nso.go.th/sites/2014/DocLib14/News/2562/07-62/N30-07-62-1.pdf (accessed on 25 March 2022).
- Sharma, D.; Babel, M.S. Trends in extreme rainfall and temperature indices in the western Thailand. Int. J. Climatol. 2014, 34, 2393–2407. [Google Scholar] [CrossRef]
- Manomaiphiboon, K.; Octaviani, M.; Torsri, K.; Towprayoon, S. Projected changes in means and extremes of temperature and precipitation over Thailand under three future emissions scenarios. Clim. Res. 2013, 58, 97–115. [Google Scholar] [CrossRef]
- Rodchuen, M.; Chongcharoen, S.; Bunyatisai, W. Trend and Pattern in Average Monthly Maximum Temperatures in Thailand from 1986 to 2015. Am. J. Appl. Sci. 2020, 17, 20–35. [Google Scholar] [CrossRef]
- Charin, B.; Srisodaphol, W.; Busababodhin, P. Modeling for extreme temperature of central northeast region of Thailand. In Proceedings of the International Conference on Applied Statistics, Khon Kaen, Thailand, 21–24 May 2014. [Google Scholar]
- Senapeng, P.; Busababodhin, P. Modeling of Maximum Temperature in Northeast Thailand. Burapha Sci. J. 2017, 22, 92–107. [Google Scholar]
- Seenoi, P.; Tangsuwan, R.; Sukaram, S. Extreme Value Modeling of Maximum Temperature in Upper Northeastern of Thailand. Burapha Sci. J. 2020, 25, 804–821. [Google Scholar]
- Coles, S. An Introduction to Statistical Modeling of Extreme Values; Springer: London, UK, 2001. [Google Scholar]
- Davis, R.A.; Klüppelberg, C.; Steinkohl, C. Max-stable processes for modeling extremes observed in space and time. J. Korean Stat. Soc. 2013, 42, 399–414. [Google Scholar] [CrossRef]
- Lee, Y.; Yoon, S.; Murshed, M.S.; Kim, M.K.; Cho, C.; Baek, H.J.; Park, J.S. Spatial modeling of the highest daily maximum temperature in Korea via max-stable processes. Adv. Atmos. Sci. 2013, 30, 1608–1620. [Google Scholar] [CrossRef]
- Beirlant, J.; Goegebeur, Y.; Segers, J.; Teugels, J.L. Statistics of Extremes: Theory and Applications; John Wiley & Sons: Hoboken, NJ, USA, 2006. [Google Scholar]
- Yoon, S.; Kumphon, B.; Park, J.S. Spatial modeling of extreme rainfall in northeast Thailand. J. Appl. Stat. 2015, 42, 1813–1828. [Google Scholar] [CrossRef]
- De Haan, L.; Pereira, T.T. Spatial extremes: Models for the stationary case. Ann. Stat. 2006, 34, 146–168. [Google Scholar] [CrossRef][Green Version]
- De Haan, L.; Zhou, C. On extreme value analysis of a spatial process. Revstat 2008, 6, 71–81. [Google Scholar]
- Yasin, H.; Hakim, A.; Warsito, B.; Santoso, R. Extreme rainfall prediction using spatial extreme value by Max Stable Process (MSP) Smith model approach. J. Phys. Conf. Ser. 2019, 1217, 12110. [Google Scholar] [CrossRef]
- Dechapromphan, S. Geography of Thailand: Geographic Perspectives. 2017. Available online: http://geo.buu.ac.th (accessed on 8 December 2021).
- Jenkinson, A.F. The frequency distribution of the annual maximum (or minimum) values of meteorological elements. Q. J. R. Meteorol. Soc. 1955, 81, 158–171. [Google Scholar] [CrossRef]
- Hakim, A.; Warsito, B.; Yasin, H. Height wave modelling using spatial extreme value with max stable process (MSP) brown-resnick model. J. Phys. Conf. Ser. 2021, 1943, 12142. [Google Scholar] [CrossRef]
- Portero Serrano, J.; Acero Díaz, F.J.; García García, J.A. Analysis of extreme temperature events over the Iberian Peninsula during the 21st century using dynamic climate projections chosen using max-stable processes. Atmosphere 2020, 11, 506. [Google Scholar] [CrossRef]
- Schlather, M. Models for stationary max-stable random fields. Extremes 2002, 5, 33–44. [Google Scholar] [CrossRef]
- Davison, A.C.; Padoan, S.A.; Ribatet, M. Statistical modeling of spatial extremes. Stat. Sci. 2012, 27, 161–186. [Google Scholar] [CrossRef]
- Takeuchi, K. Distribution of information statistics and criteria for adequacy of models. Math. Sci. 1976, 153, 12–18. (In Japanese) [Google Scholar]
- Yan, Z.; Bate, S.; Chandler, R.E.; Isham, V.; Wheater, H. An analysis of daily maximum wind speed in northwestern Europe using generalized linear models. J. Clim. 2002, 15, 2073–2088. [Google Scholar] [CrossRef]
- Katz, R.W. Statistics of extremes in climate change. Clim. Chang. 2010, 100, 71–76. [Google Scholar] [CrossRef]
- Shang, H.; Yan, J.; Zhang, X. El Niño–Southern Oscillation influence on winter maximum daily precipitation in California in a spatial model. Water Resour. Res. 2011, 47. [Google Scholar] [CrossRef]
- Cressie, N.; Wikle, C.K. Statistics for Spatio-Temporal Data; John Wiley & Sons: Hoboken, NJ, USA, 2015. [Google Scholar]






| Station ID | Station Name | Latitude | Longitude | Altitude (m) | N | Mean | Median | Min | Max | |||
|---|---|---|---|---|---|---|---|---|---|---|---|---|
| 352201 | Nong Khai | 167 | 31 | 40.9 | 1.20 | 40.6 | 38.9 | 43.3 | 40.0 | 41.9 | ||
| 353201 | Loei | 246 | 31 | 40.7 | 1.38 | 40.4 | 38.6 | 43.4 | 39.8 | 41.7 | ||
| 353301 | Loei Agromet | 311 | 31 | 39.2 | 7.40 | 40.5 | 38.0 | 43.5 | 39.6 | 41.2 | ||
| 354201 | Udonthani | 177 | 31 | 40.9 | 1.18 | 41.0 | 38.3 | 43.0 | 40.1 | 41.8 | ||
| 356201 | Sakon Nakhon | 168 | 31 | 40.0 | 1.08 | 40.0 | 38.0 | 41.7 | 39.1 | 41.0 | ||
| 356301 | Sakon Nakhon Agromet | 238 | 31 | 38.8 | 7.29 | 40.0 | 37.9 | 42.5 | 39.3 | 41.0 | ||
| 357201 | Nakhon Phanom | 141 | 31 | 39.5 | 1.27 | 39.2 | 37.5 | 42.1 | 38.5 | 40.5 | ||
| 357301 | Nakhon Phanom Agromet | 142 | 31 | 38.4 | 7.23 | 39.8 | 37.3 | 42.1 | 38.8 | 40.6 | ||
| 381201 | Khon Kaen | 168 | 31 | 40.6 | 0.98 | 40.8 | 38.5 | 42.4 | 39.8 | 41.3 | ||
| 381301 | Tahpra Agromet | 171 | 31 | 39.4 | 7.39 | 40.6 | 38.3 | 42.7 | 40.0 | 41.3 | ||
| 383201 | Mukdaharn | 162 | 31 | 40.7 | 1.02 | 40.8 | 38.9 | 42.5 | 40.0 | 41.6 | ||
| 387401 | Maha Sarakham | 161 | 31 | 40.8 | 1.03 | 40.6 | 39.0 | 43.3 | 40.2 | 41.6 | ||
| 403201 | Chaiyaphum | 209 | 31 | 40.4 | 1.12 | 40.5 | 38.1 | 42.6 | 39.5 | 41.0 | ||
| 405201 | Roiet | 147 | 31 | 39.8 | 1.06 | 39.7 | 38.0 | 42.3 | 39.0 | 40.4 | ||
| 405301 | Roiet Agromet | 161 | 31 | 38.4 | 7.21 | 39.8 | 35.9 | 41.2 | 39.0 | 40.3 | ||
| 407301 | Ubon Ratchatani Agromet | 118 | 31 | 38.8 | 7.29 | 40.1 | 38.0 | 42.4 | 39.2 | 40.7 | ||
| 407501 | Ubon Ratchatani | 126 | 31 | 40.2 | 1.15 | 40.3 | 37.9 | 42.6 | 39.2 | 41.0 | ||
| 409301 | Si Sa Ket | 134 | 31 | 38.8 | 7.27 | 40.0 | 38.4 | 42.5 | 39.7 | 40.6 | ||
| 431201 | Nakhon Ratchasima | 204 | 31 | 40.4 | 1.21 | 40.6 | 37.9 | 43.2 | 39.6 | 41.3 | ||
| 431301 | Pak Chong Agromet | 551 | 31 | 36.2 | 6.81 | 37.5 | 35.0 | 39.4 | 36.5 | 38.2 | ||
| 431401 | Chok Chai | 187 | 31 | 39.6 | 0.95 | 39.5 | 38.1 | 42.5 | 39.0 | 40.0 | ||
| 432201 | Surin | 147 | 31 | 39.4 | 0.97 | 39.3 | 38.0 | 42.0 | 38.7 | 39.8 | ||
| 432301 | Surin Agromet | 144 | 31 | 39.0 | 7.32 | 40.2 | 38.0 | 43.3 | 39.5 | 41.0 | ||
| 432401 | Tha Tum | 144 | 31 | 40.3 | 1.16 | 40.2 | 38.6 | 42.3 | 39.2 | 41.3 | ||
| 436401 | Nang Rong | 185 | 31 | 40.4 | 1.03 | 40.4 | 38.2 | 43.0 | 39.8 | 41.1 |
| Station | Parameter Estimate | Distribution | p-Value of KS | ||
|---|---|---|---|---|---|
| (s.e) | (s.e) | (s.e) | |||
| CI 95% | CI 95% | CI 95% | |||
| 353201 | 40.19 (0.24) | 1.15 (0.18) | −0.33 (0.18) | Gumbel | 0.96 |
| (39.72, 40.66) | (0.79, 1.51) | (−0.69, 0.03) | |||
| 353301 | 40.12 (0.23) | 1.12 (0.17) | −0.31 (0.16) | Gumbel | 0.91 |
| (39.67, 40.57) | (0.78, 1.45) | (−0.63, 0.00) | |||
| 354201 | 40.51 (0.21) | 1.08 (0.15) | −0.35 (0.11) | Weibull | 0.99 |
| (40.09, 40.93) | (0.79, 1.38) | (−0.57, −0.13) | |||
| 356201 | 39.81 (0.24) | 1.18 (0.23) | −0.77 (0.20) | Weibull | 0.86 |
| (39.35, 40.27) | (0.73, 1.64) | (−1.16, −0.38) | |||
| 357201 | 39.04 (0.24) | 1.16 (0.18) | −0.23 (0.18) | Gumbel | 0.85 |
| (38.57, 39.52) | (0.79, 1.52) | (−0.58, 0.12) | |||
| 381301 | 40.51 (0.17) | 0.85 (0.13) | −0.29 (0.14) | Weibull | 0.97 |
| (40.17, 40.84) | (0.60, 1.09) | (−0.57, −0.02) | |||
| 405201 | 39.83 (0.21) | 1.01 (0.15) | −0.31 (0.14) | Weibull | 0.99 |
| (39.43, 40.23) | (0.72, 1.31) | (−0.59, −0.03) | |||
| 407501 | 39.87 (0.19) | 0.94 (0.14) | −0.34 (0.15) | Weibull | 0.99 |
| (39.49, 40.24) | (0.66, 1.23) | (−0.63, −0.04) | |||
| 431201 | 40.02 (0.21) | 1.08 (0.15) | −0.45 (0.10) | Weibull | 0.98 |
| (39.61, 40.43) | (0.78, 1.38) | (−0.64, −0.25) | |||
| 431301 | 38.47 (0.19) | 0.97 (0.14) | −0.38 (0.12) | Weibull | 0.89 |
| (38.09, 38.84) | (0.70, 1.24) | (−0.61, −0.14) | |||
| 432201 | 39.05 (0.15) | 0.76 (0.11) | −0.18 (0.13) | Gumbel | 0.92 |
| (38.75, 39.36) | (0.55, 0.98) | (−0.44, 0.08) | |||
| Station | 5 Years | 10 Years | 25 Years | 50 Years | 100 Years |
|---|---|---|---|---|---|
| 352201 | 41.87 (0.07) | 42.41 (0.59) | 42.99 (0.19) | 43.35 (0.35) | 43.66 (0.59) |
| 353201 | 41.55 (0.06) | 42.01 (0.29) | 42.46 (0.11) | 42.71 (0.18) | 42.91 (0.29) |
| 353301 | 41.46 (0.05) | 41.92 (0.26) | 42.38 (0.10) | 42.64 (0.17) | 42.84 (0.26) |
| 354201 | 41.77 (0.04) | 42.19 (0.10) | 42.59 (0.05) | 42.81 (0.07) | 42.98 (0.10) |
| 356201 | 40.86 (0.02) | 41.07 (0.004) | 41.21 (0.004) | 41.27 (0.003) | 41.30 (0.004) |
| 356301 | 40.84 (0.02) | 41.12 (0.02) | 41.33 (0.01) | 41.43 (0.01) | 41.49 (0.02) |
| 357201 | 40.51 (0.08) | 41.08 (0.63) | 41.67 (0.21) | 42.03 (0.38) | 42.34 (0.63) |
| 357301 | 40.53 (0.07) | 41.08 (0.52) | 41.65 (0.18) | 42.00 (0.32) | 42.29 (0.52) |
| 381201 | 41.19 (0.02) | 41.45 (0.06) | 41.66 (0.03) | 41.76 (0.04) | 41.83 (0.06) |
| 381301 | 41.44 (0.03) | 41.71 (0.14) | 41.95 (0.06) | 42.07 (0.09) | 42.16 (0.14) |
| 383201 | 41.54 (0.02) | 41.90 (0.02) | 42.27 (0.01) | 42.48 (0.02) | 42.65 (0.02) |
| 387401 | 41.48 (0.02) | 41.75 (0.06) | 41.98 (0.02) | 42.09 (0.04) | 42.17 (0.06) |
| 403201 | 41.04 (0.04) | 41.47 (0.17) | 41.88 (0.07) | 42.11 (0.11) | 42.30 (0.17) |
| 405201 | 40.99 (0.04) | 41.35 (0.17) | 41.68 (0.07) | 41.85 (0.12) | 41.99 (0.17) |
| 405301 | 40.97 (0.03) | 41.35 (0.07) | 41.73 (0.04) | 41.94 (0.05) | 42.11 (0.07) |
| 407301 | 41.03 (0.05) | 41.49 (0.30) | 41.97 (0.11) | 42.26 (0.19) | 42.51 (0.30) |
| 407501 | 40.98 (0.04) | 41.36 (0.14) | 41.72 (0.06) | 41.92 (0.09) | 42.08 (0.14) |
| 409301 | 40.93 (0.05) | 41.40 (0.22) | 41.89 (0.10) | 42.20 (0.15) | 42.46 (0.22) |
| 431201 | 40.98 (0.03) | 41.36 (0.03) | 41.72 (0.03) | 41.92 (0.03) | 42.08 (0.03) |
| 431301 | 40.93 (0.03) | 41.40 (0.08) | 41.89 (0.04) | 42.20 (0.05) | 42.46 (0.08) |
| 431401 | 40.22 (0.03) | 41.29 (0.23) | 41.92 (0.08) | 42.30 (0.14) | 42.46 (0.23) |
| 432201 | 39.58 (0.04) | 39.94 (0.25) | 40.28 (0.09) | 40.46 (0.16) | 40.60 (0.25) |
| 432301 | 40.19 (0.03) | 40.56 (0.05) | 40.94 (0.02) | 41.18 (0.03) | 41.39 (0.05) |
| 432401 | 40.06 (0.07) | 40.47 (0.50) | 40.91 (0.17) | 41.20 (0.30) | 41.44 (0.50) |
| 436401 | 41.00 (0.02) | 41.31 (0.02) | 41.59 (0.01) | 41.72 (0.01) | 41.82 (0.02) |
| Parameter Estimate | ||
|---|---|---|
| 0.0289 (0.0076) | ||
| 0.2083 (0.0497) | ||
| 41.8774 (0.2481) | ||
| 0.6843 (0.1084) | ||
| —1.5736 (0.1749) | ||
| —0.0096 (0.0008) | ||
| 1.0924 (0.1101) | ||
| —0.0002 (0.0004) | ||
| —0.2667 (0.0415) | ||
| Station | Location | Scale | Shape |
|---|---|---|---|
| 352201 | 40.446 (0.15) | 1.062 (0.07) | —0.267 (0.04) |
| 353201 | 39.974 (0.15) | 1.047 (0.08) | —0.267 (0.04) |
| 353301 | 39.906 (0.15) | 1.046 (0.08) | —0.267 (0.04) |
| 354201 | 40.274 (0.14) | 1.061 (0.07) | —0.267 (0.04) |
| 356201 | 39.765 (0.13) | 1.062 (0.07) | —0.267 (0.04) |
| 356301 | 39.607 (0.13) | 1.059 (0.07) | —0.267 (0.04) |
| 357201 | 39.817 (0.14) | 1.067 (0.07) | —0.267 (0.04) |
| 357301 | 39.742 (0.14) | 1.065 (0.07) | —0.267 (0.04) |
| 381201 | 40.292 (0.14) | 1.063 (0.07) | —0.267 (0.04) |
| 381301 | 40.154 (0.14) | 1.063 (0.07) | —0.267 (0.04) |
| 383201 | 39.723 (0.13) | 1.068 (0.07) | —0.267 (0.04) |
| 387401 | 40.304 (0.14) | 1.065 (0.07) | —0.267 (0.04) |
| 403201 | 40.198 (0.15) | 1.060 (0.07) | —0.267 (0.04) |
| 405201 | 40.010 (0.13) | 1.067 (0.07) | —0.267 (0.04) |
| 405301 | 39.903 (0.13) | 1.065 (0.07) | —0.267 (0.04) |
| 407301 | 39.332 (0.14) | 1.069 (0.08) | —0.267 (0.04) |
| 407501 | 39.553 (0.14) | 1.071 (0.08) | —0.267 (0.04) |
| 409301 | 39.739 (0.13) | 1.070 (0.08) | —0.267 (0.04) |
| 431201 | 39.883 (0.13) | 1.059 (0.08) | —0.267 (0.04) |
| 431301 | 38.590 (0.17) | 1.029 (0.10) | —0.267 (0.04) |
| 431401 | 39.825 (0.14) | 1.059 (0.07) | —0.267 (0.04) |
| 432201 | 39.779 (0.14) | 1.066 (0.07) | —0.267 (0.04) |
| 432301 | 39.828 (0.14) | 1.067 (0.07) | —0.267 (0.04) |
| 432401 | 39.974 (0.13) | 1.070 (0.08) | —0.267 (0.04) |
| 436401 | 39.672 (0.14) | 1.060 (0.07) | —0.267 (0.04) |
| Station | 5 Years | 10 Years | 25 Years | 50 Years | 100 Years |
|---|---|---|---|---|---|
| 352201 | 40.82 | 42.24 | 42.73 | 43.02 | 43.26 |
| 353201 | 40.34 | 41.75 | 42.23 | 42.51 | 42.75 |
| 353301 | 40.27 | 41.68 | 42.16 | 42.44 | 42.68 |
| 354201 | 40.64 | 42.07 | 42.56 | 42.85 | 43.09 |
| 356201 | 40.14 | 41.56 | 42.05 | 42.34 | 42.58 |
| 356301 | 39.98 | 41.40 | 41.88 | 42.17 | 42.41 |
| 357201 | 40.19 | 41.62 | 42.11 | 42.40 | 42.64 |
| 357301 | 40.11 | 41.54 | 42.03 | 42.33 | 42.56 |
| 381201 | 40.66 | 42.09 | 42.58 | 42.87 | 43.11 |
| 381301 | 40.52 | 41.95 | 42.44 | 42.73 | 42.97 |
| 383201 | 40.10 | 41.53 | 42.02 | 42.31 | 42.55 |
| 387401 | 40.68 | 42.11 | 42.60 | 42.89 | 43.13 |
| 403201 | 40.57 | 41.99 | 42.48 | 42.77 | 43.01 |
| 405201 | 40.38 | 41.82 | 42.31 | 42.60 | 42.84 |
| 405301 | 40.27 | 41.70 | 42.19 | 42.49 | 42.72 |
| 407301 | 39.71 | 41.14 | 41.63 | 41.92 | 42.17 |
| 407501 | 39.93 | 41.36 | 41.86 | 42.15 | 42.39 |
| 409301 | 40.11 | 41.55 | 42.04 | 42.34 | 42.58 |
| 431201 | 40.25 | 41.68 | 42.16 | 42.45 | 42.69 |
| 431301 | 38.95 | 40.33 | 40.80 | 41.09 | 41.32 |
| 431401 | 40.20 | 41.62 | 42.10 | 42.39 | 42.63 |
| 432201 | 40.15 | 41.58 | 42.07 | 42.37 | 42.61 |
| 432301 | 40.20 | 41.63 | 42.12 | 42.41 | 42.65 |
| 432401 | 40.35 | 41.78 | 42.28 | 42.57 | 42.81 |
| 436401 | 40.04 | 41.47 | 41.95 | 42.24 | 42.48 |
Publisher’s Note: MDPI stays neutral with regard to jurisdictional claims in published maps and institutional affiliations. |
© 2022 by the authors. Licensee MDPI, Basel, Switzerland. This article is an open access article distributed under the terms and conditions of the Creative Commons Attribution (CC BY) license (https://creativecommons.org/licenses/by/4.0/).
Share and Cite
Senapeng, P.; Prahadchai, T.; Guayjarernpanishk, P.; Park, J.-S.; Busababodhin, P. Spatial Modeling of Extreme Temperature in Northeast Thailand. Atmosphere 2022, 13, 589. https://doi.org/10.3390/atmos13040589
Senapeng P, Prahadchai T, Guayjarernpanishk P, Park J-S, Busababodhin P. Spatial Modeling of Extreme Temperature in Northeast Thailand. Atmosphere. 2022; 13(4):589. https://doi.org/10.3390/atmos13040589
Chicago/Turabian StyleSenapeng, Prapawan, Thanawan Prahadchai, Pannarat Guayjarernpanishk, Jeong-Soo Park, and Piyapatr Busababodhin. 2022. "Spatial Modeling of Extreme Temperature in Northeast Thailand" Atmosphere 13, no. 4: 589. https://doi.org/10.3390/atmos13040589
APA StyleSenapeng, P., Prahadchai, T., Guayjarernpanishk, P., Park, J.-S., & Busababodhin, P. (2022). Spatial Modeling of Extreme Temperature in Northeast Thailand. Atmosphere, 13(4), 589. https://doi.org/10.3390/atmos13040589

