Calibration of DustTrak and Low-Cost Sensors and Their Application for Assessment of Inhalation Exposures to Traffic-Related PM2.5 and PM1 in Ho Chi Minh City
Abstract
:1. Introduction
2. Materials and Methods
2.1. Calibrating the DustTrak Instrument against the Gravimetric Method
2.2. Calibration of Low-Cost Sensors by a DustTrak Instrument
2.3. Assessment of PM2.5 and PM1 Exposure Using Different Transport Modes in HCM
3. Results and Discussion
3.1. DustTrak Monitor Corrections
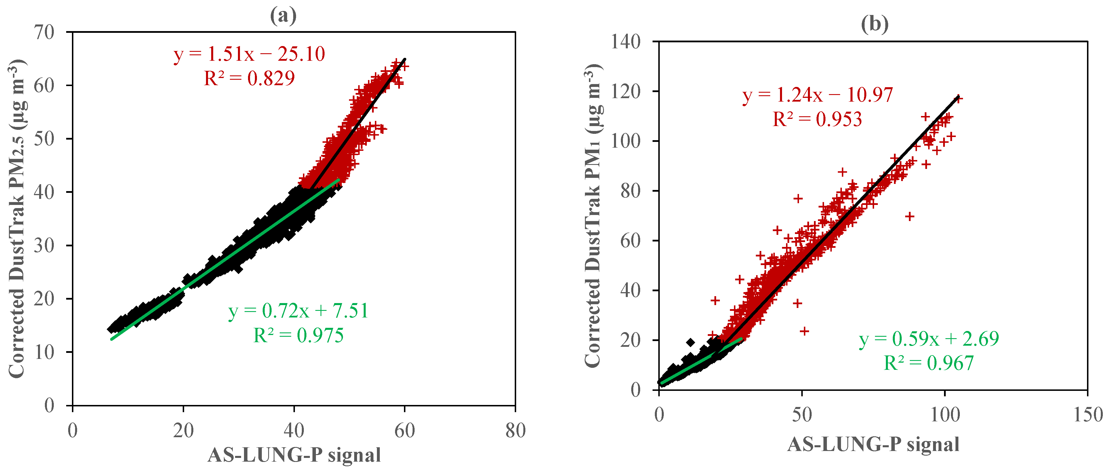
3.2. Calibration of the AS-LUNG-P Low-Cost Sensor
3.3. Quantifying PM Concentrations Faced by in-Transit Commuters Using Different Transportation Modes in Urban HCM during the COVID-19 Lockdown
3.4. Correlation among in-Traffic Microenvironment, Microclimate Conditions, and Ambient Air PM
3.5. Estimated Inhaled Doses of PM2.5 and PM1
4. Conclusions
Supplementary Materials
Author Contributions
Funding
Institutional Review Board Statement
Informed Consent Statement
Data Availability Statement
Acknowledgments
Conflicts of Interest
References
- Kelly, F.J.; Fussell, J.C. Size, source and chemical composition as determinants of toxicity attributable to ambient particulate matter. Atmos. Environ. 2012, 60, 504–526. [Google Scholar] [CrossRef]
- Brook, R.D.; Bard, R.L.; Burnett, R.T.; Shin, H.H.; Vette, A.; Croghan, C.; Phillips, M.; Rodes, C.; Thornburg, J.; Williams, R. Differences in blood pressure and vascular responses associated with ambient fine particulate matter exposures measured at the personal versus community level. Occup. Environ. Med. 2011, 68, 224. [Google Scholar] [CrossRef] [PubMed]
- Suglia Shakira, F.; Gryparis, A.; Schwartz, J.; Wright Rosalind, J. Association between Traffic-Related Black Carbon Exposure and Lung Function among Urban Women. Environ. Health Perspect. 2008, 116, 1333–1337. [Google Scholar] [CrossRef] [PubMed]
- Lung, S.-C.C.; Chen, N.; Hwang, J.-S.; Hu, S.-C.; Wang, W.-C.V.; Wen, T.-Y.J.; Liu, C.-H. Panel study using novel sensing devices to assess associations of PM2.5 with heart rate variability and exposure sources. J. Expo. Sci. Environ. Epidemiol. 2020, 30, 937–948. [Google Scholar] [CrossRef]
- Huy, D.H.; Chi, N.D.T.; Nam, N.X.T.; Hien, T.T. Commuter exposures to in-transit PM in an urban city dominated by motorcycle: A case study in Vietnam. Atmos. Pollut. Res. 2022, 13, 101351. [Google Scholar] [CrossRef]
- Ham, W.; Vijayan, A.; Schulte, N.; Herner, J.D. Commuter exposure to PM2.5, BC, and UFP in six common transport microenvironments in Sacramento, California. Atmos. Environ. 2017, 167, 335–345. [Google Scholar] [CrossRef]
- Collado, J.T.; Abalos, J.G.; de los Reyes, I.; Cruz, M.T.; Leung, G.F.; Abenojar, K.; Manalo, C.R.; Go, B.; Chan, C.L.; Gonzales, C.K.G.; et al. Spatiotemporal Assessment of PM2.5 Exposure of a High-risk Occupational Group in a Southeast Asian Megacity. Aerosol Air Qual. Res. 2023, 23, 220134. [Google Scholar] [CrossRef]
- Both, A.F.; Westerdahl, D.; Fruin, S.; Haryanto, B.; Marshall, J.D. Exposure to carbon monoxide, fine particle mass, and ultrafine particle number in Jakarta, Indonesia: Effect of commute mode. Sci. Total Environ. 2013, 443, 965–972. [Google Scholar] [CrossRef]
- Goel, R.; Gani, S.; Guttikunda, S.K.; Wilson, D.; Tiwari, G. On-road PM2.5 pollution exposure in multiple transport microenvironments in Delhi. Atmos. Environ. 2015, 123, 129–138. [Google Scholar] [CrossRef]
- Li, Z.; Che, W.; Frey, H.C.; Lau, A.K.H.; Lin, C. Characterization of PM2.5 exposure concentration in transport microenvironments using portable monitors. Environ. Pollut. 2017, 228, 433–442. [Google Scholar] [CrossRef]
- Li, Z.; Che, W.; Lau, A.K.H.; Fung, J.C.H.; Lin, C.; Lu, X. A feasible experimental framework for field calibration of portable light-scattering aerosol monitors: Case of TSI DustTrak. Environ. Pollut. 2019, 255, 113136. [Google Scholar] [CrossRef]
- Javed, W.; Guo, B. Performance Evaluation of Real-time DustTrak Monitors for Outdoor Particulate Mass Measurements in a Desert Environment. Aerosol Air Qual. Res. 2021, 21, 200631. [Google Scholar] [CrossRef]
- Wang, Z.; Calderón, L.; Patton, A.P.; Sorensen Allacci, M.; Senick, J.; Wener, R.; Andrews, C.J.; Mainelis, G. Comparison of real-time instruments and gravimetric method when measuring particulate matter in a residential building. J. Air Waste Manag. Assoc. 2016, 66, 1109–1120. [Google Scholar] [CrossRef] [PubMed]
- Wang, W.-C.V.; Lung, S.-C.C.; Liu, C.-H.; Wen, T.-Y.J.; Hu, S.-C.; Chen, L.-J. Evaluation and Application of a Novel Low-Cost Wearable Sensing Device in Assessing Real-Time PM2.5 Exposure in Major Asian Transportation Modes. Atmosphere 2021, 12, 270. [Google Scholar] [CrossRef]
- Gao, M.; Cao, J.; Seto, E. A distributed network of low-cost continuous reading sensors to measure spatiotemporal variations of PM2.5 in Xi’an, China. Environ. Pollut. 2015, 199, 56–65. [Google Scholar] [CrossRef]
- Lung, S.-C.C.; Thi Hien, T.; Cambaliza, M.O.L.; Hlaing, O.M.; Oanh, N.T.; Latif, M.T.; Lestari, P.; Salam, A.; Lee, S.-Y.; Wang, W.-C.V.; et al. Research Priorities of Applying Low-Cost PM2.5 Sensors in Southeast Asian Countries. Int. J. Environ. Res. Public Health 2022, 19, 1522. [Google Scholar] [CrossRef] [PubMed]
- Chen, L.-J.; Ho, Y.-H.; Lee, H.-C.; Wu, H.-C.; Liu, H.-M.; Hsieh, H.-H.; Huang, Y.-T.; Lung, S.-C.C. An Open Framework for Participatory PM2.5 Monitoring in Smart Cities. IEEE Access 2017, 5, 14441–14454. [Google Scholar] [CrossRef]
- Lung, S.-C.C.; Wang, W.-C.V.; Wen, T.-Y.J.; Liu, C.-H.; Hu, S.-C. A versatile low-cost sensing device for assessing PM2.5 spatiotemporal variation and quantifying source contribution. Sci. Total Environ. 2020, 716, 137145. [Google Scholar] [CrossRef]
- Pant, P.; Huynh, W.; Peltier, R.E. Exposure to air pollutants in Vietnam: Assessing potential risk for tourists. J. Environ. Sci. 2018, 73, 147–154. [Google Scholar] [CrossRef]
- Vo, T.L.H.; Truong, T.T.; Dao, V.P.; Nguyen, T.T.H.; Ly, B.T. Personal exposure assessment of fine particulate matter for commuters in Hanoi. TNU J. Sci. Technol. 2021, 226, 48–56. [Google Scholar]
- Saksena, S.; Quang, T.N.; Nguyen, T.; Dang, P.N.; Flachsbart, P. Commuters’ exposure to particulate matter and carbon monoxide in Hanoi, Vietnam. Transp. Res. Part D Transp. Environ. 2008, 13, 206–211. [Google Scholar] [CrossRef]
- Quang, T.N.; Hue, N.T.; Dat, M.V.; Tran, L.K.; Phi, T.H.; Morawska, L.; Thai, P.K. Motorcyclists have much higher exposure to black carbon compared to other commuters in traffic of Hanoi, Vietnam. Atmos. Environ. 2021, 245, 118029. [Google Scholar] [CrossRef]
- Shao, L.; Cao, Y.; Jones, T.; Santosh, M.; Silva, L.F.O.; Ge, S.; da Boit, K.; Feng, X.; Zhang, M.; BéruBé, K. COVID-19 mortality and exposure to airborne PM2.5: A lag time correlation. Sci. Total Environ. 2022, 806, 151286. [Google Scholar] [CrossRef] [PubMed]
- Ali, S.M.; Malik, F.; Anjum, M.S.; Siddiqui, G.F.; Anwar, M.N.; Lam, S.S.; Nizami, A.-S.; Khokhar, M.F. Exploring the linkage between PM2.5 levels and COVID-19 spread and its implications for socio-economic circles. Environ. Res. 2021, 193, 110421. [Google Scholar] [CrossRef] [PubMed]
- Munir, M.M.; Adrian, M.; Saputra, C.; Lestari, P. Utilizing Low-cost Mobile Monitoring to Estimate the PM2.5 Inhaled Dose in Urban Environment. Aerosol Air Qual. Res. 2022, 22, 220079. [Google Scholar] [CrossRef]
- U.S. EPA. Exposure Factors Handbook 2011 Edition (Final Report); U.S. Environmental Protection Agency: Washington, DC, USA, 2011; Chapter 6.
- Zhang, J.; Marto, J.P.; Schwab, J.J. Exploring the applicability and limitations of selected optical scattering instruments for PM mass measurement. Atmos. Meas. Technol. 2018, 11, 2995–3005. [Google Scholar] [CrossRef]
- Sm, S.N.; Reddy Yasa, P.; Mv, N.; Khadirnaikar, S.; Pooja, R. Mobile monitoring of air pollution using low cost sensors to visualize spatio-temporal variation of pollutants at urban hotspots. Sustain. Cities Soc. 2019, 44, 520–535. [Google Scholar] [CrossRef]
- Liu, Y.; Zhong, H.; Liu, K.; Oliver Gao, H.; He, L.; Xu, R.; Ding, H.; Huang, W. Assessment of personal exposure to PM for multiple transportation modes. Transp. Res. Part D Transp. Environ. 2021, 101, 103086. [Google Scholar] [CrossRef]
- Sinaga, D.; Setyawati, W.; Cheng, F.Y.; Lung, S.-C.C. Investigation on daily exposure to PM2.5 in Bandung city, Indonesia using low-cost sensor. J. Expo. Sci. Environ. Epidemiol. 2020, 30, 1001–1012. [Google Scholar] [CrossRef]
- Tsai, D.-H.; Wu, Y.-H.; Chan, C.-C. Comparisons of commuter’s exposure to particulate matters while using different transportation modes. Sci. Total Environ. 2008, 405, 71–77. [Google Scholar] [CrossRef]
- Hien, T.T.; Chi, N.D.T.; Nguyen, N.T.; Vinh, L.X.; Takenaka, N.; Huy, D.H. Current Status of Fine Particulate Matter (PM2.5) in Vietnam’s Most Populous City, Ho Chi Minh City. Aerosol Air Qual. Res. 2019, 19, 2239–2251. [Google Scholar] [CrossRef]
- Gao, C.; Zhang, F.; Fang, D.; Wang, Q.; Liu, M. Spatial characteristics of change trends of air pollutants in Chinese urban areas during 2016–2020: The impact of air pollution controls and the COVID-19 pandemic. Atmos. Res. 2023, 283, 106539. [Google Scholar] [CrossRef] [PubMed]
- Sulaymon, I.D.; Zhang, Y.; Hopke, P.K.; Zhang, Y.; Hua, J.; Mei, X. COVID-19 pandemic in Wuhan: Ambient air quality and the relationships between criteria air pollutants and meteorological variables before, during, and after lockdown. Atmos. Res. 2021, 250, 105362. [Google Scholar] [CrossRef] [PubMed]
- Benchrif, A.; Wheida, A.; Tahri, M.; Shubbar, R.M.; Biswas, B. Air quality during three covid-19 lockdown phases: AQI, PM2.5 and NO2 assessment in cities with more than 1 million inhabitants. Sustain. Cities Soc. 2021, 74, 103170. [Google Scholar] [CrossRef]
- Yang, K.; Wu, C.; Luo, Y. The impact of COVID-19 on urban PM2.5—Taking Hubei Province as an example. Environ. Pollut. 2022, 294, 118633. [Google Scholar] [CrossRef]
- Ghosal, R.; Saha, E. Impact of the COVID-19 induced lockdown measures on PM2.5 concentration in USA. Atmos. Environ. 2021, 254, 118388. [Google Scholar] [CrossRef]
- de Angelis, E.; Renzetti, S.; Volta, M.; Donato, F.; Calza, S.; Placidi, D.; Lucchini, R.G.; Rota, M. COVID-19 incidence and mortality in Lombardy, Italy: An ecological study on the role of air pollution, meteorological factors, demographic and socioeconomic variables. Environ. Res. 2021, 195, 110777. [Google Scholar] [CrossRef]
- Chakrabarty, R.K.; Beeler, P.; Liu, P.; Goswami, S.; Harvey, R.D.; Pervez, S.; van Donkelaar, A.; Martin, R.V. Ambient PM2.5 exposure and rapid spread of COVID-19 in the United States. Sci. Total Environ. 2021, 760, 143391. [Google Scholar] [CrossRef]
- Sahu, S.K.; Mangaraj, P.; Beig, G.; Tyagi, B.; Tikle, S.; Vinoj, V. Establishing a link between fine particulate matter (PM2.5) zones and COVID-19 over India based on anthropogenic emission sources and air quality data. Urban Clim. 2021, 38, 100883. [Google Scholar] [CrossRef]
- Vuong, L.N.; Huynh, N.; Ngo, D.Q.; Nguyen, V.N.; Duong, K.D.; Tran, N.N.; Le, T.P.; Nguyen, N.A.; Doan, T.T.P.; Pham, D.L.; et al. A Community-Based Model of Care During the Fourth Wave of the COVID-19 Outbreak in Ho Chi Minh City, Vietnam. Front. Artif. Intell. 2022, 5, 831841. [Google Scholar] [CrossRef]
- Ho, T.H.; van Dang, C.; Pham, T.T.B.; Thi Hien, T.; Wangwongwatana, S. Ambient particulate matter (PM2.5) and adverse birth outcomes in Ho Chi Minh City, Vietnam. Hyg. Environ. Health Adv. 2023, 5, 100049. [Google Scholar] [CrossRef]
- Manojkumar, N.; Monishraj, M.; Srimuruganandam, B. Commuter exposure concentrations and inhalation doses in traffic and residential routes of Vellore city, India. Atmos. Pollut. Res. 2021, 12, 219–230. [Google Scholar] [CrossRef]
- Al-sareji, O.J.; Grmasha, R.A.; Hashim, K.S.; Salman, J.M.; Al-Juboori, R.A. Personal exposure and inhalation doses to PM1 and PM2.5 pollution in Iraq: An examination of four transport modes. Build. Environ. 2022, 212, 108847. [Google Scholar] [CrossRef]
- Huang, J.; Deng, F.; Wu, S.; Guo, X. Comparisons of personal exposure to PM2.5 and CO by different commuting modes in Beijing, China. Sci. Total Environ. 2012, 425, 52–59. [Google Scholar] [CrossRef] [PubMed]
- Li, B.; Lei, X.-N.; Xiu, G.-L.; Gao, C.-Y.; Gao, S.; Qian, N.-S. Personal exposure to black carbon during commuting in peak and off-peak hours in Shanghai. Sci. Total Environ. 2015, 524–525, 237–245. [Google Scholar] [CrossRef]
- Shen, J.; Gao, Z. Commuter exposure to particulate matters in four common transportation modes in Nanjing. Build. Environ. 2019, 156, 156–170. [Google Scholar] [CrossRef]
- Zuurbier, M.; Hoek, G.; Oldenwening, M.; Lenters, V.; Meliefste, K.; Hazel, P.v.d.; Brunekreef, B. Commuters’ Exposure to Particulate Matter Air Pollution Is Affected by Mode of Transport, Fuel Type, and Route. Environ. Health Perspect. 2010, 118, 783–789. [Google Scholar] [CrossRef]
- Kolluru, S.S.R.; Patra, A.K.; Dubey, R.S. In-vehicle PM2.5 personal concentrations in winter during long distance road travel in India. Sci. Total Environ. 2019, 684, 207–220. [Google Scholar] [CrossRef]
- Zheng, J.; Qiu, Z.; Gao, H.O.; Li, B. Commuter PM exposure and estimated life-expectancy loss across multiple transportation modes in Xi’an, China. Ecotoxicol. Environ. Saf. 2021, 214, 112117. [Google Scholar] [CrossRef]
- Boniardi, L.; Borghi, F.; Straccini, S.; Fanti, G.; Campagnolo, D.; Campo, L.; Olgiati, L.; Lioi, S.; Cattaneo, A.; Spinazzè, A.; et al. Commuting by car, public transport, and bike: Exposure assessment and estimation of the inhaled dose of multiple airborne pollutants. Atmos. Environ. 2021, 262, 118613. [Google Scholar] [CrossRef]
- Velasco, E.; Retama, A.; Segovia, E.; Ramos, R. Particle exposure and inhaled dose while commuting by public transport in Mexico City. Atmos. Environ. 2019, 219, 117044. [Google Scholar] [CrossRef]
- Tan, S.H.; Roth, M.; Velasco, E. Particle exposure and inhaled dose during commuting in Singapore. Atmos. Environ. 2017, 170, 245–258. [Google Scholar] [CrossRef]






| First Segment | Breakpoint | Second Segment | Bias | ||
|---|---|---|---|---|---|
| Sensor 1 | PM2.5 | 0.72x + 7.51 | 41.4 | 1.51x − 25.10 | 0.10 ± 0.10 |
| PM1 | 0.59x + 2.69 | 20.7 | 1.24x − 10.97 | 0.08 ± 0.09 | |
| Sensor 2 | PM2.5 | 0.60x + 8.96 | 37.7 | 1.18x − 12.90 | 0.14 ± 0.06 |
| PM1 | 0.54x + 2.31 | 18.9 | 1.16x − 9.41 | 0.09 ± 0.10 | |
| Sensor 3 | PM2.5 | 0.63x + 8.65 | 38.4 | 1.31x − 17.32 | 0.13 ± 0.10 |
| PM1 | 0.59x + 2.40 | 18.9 | 1.29x − 10.77 | 0.07 ± 0.08 | |
| Sensor 4 | PM2.5 | 0.65x + 8.03 | 38.7 | 1.23x − 14.56 | 0.12 ± 0.08 |
| PM1 | 0.53x + 2.32 | 19.4 | 1.23x − 11.15 | 0.09 ± 0.10 |
| PM2.5 | PM1 | |||
|---|---|---|---|---|
| Morning | Afternoon | Morning | Afternoon | |
| Bike | 33.6 | 22.8 | 18 | 11 |
| (15.2–79.8) | (12.7–41.7) | (7–49) | (5–23) | |
| Motorbike | 34.4 | 23.7 | 21 | 13 |
| (18.3–79.3) | (13.1–34.9) | (9–56) | (5–21) | |
| Car | 15.5 | 12.4 | 7 | 4 |
| (10.4–25.4) | (9.9–19.7) | (3–13) | (3–10) | |
| Walking | 33.8 | 24.1 | 20 | 12 |
| (18.1–74.4) | (14.5–36.4) | (8–51) | (6–22) | |
| Morning | T | RH | CO2 | PM2.5 | PM1 |
|---|---|---|---|---|---|
| T | 1.00 | –0.35 | −0.21 | 0.10 | 0.10 |
| RH | 1.00 | 0.20 | 0.32 | 0.32 | |
| CO2 | 1.00 | 0.22 | 0.22 | ||
| PM2.5 | 1.00 | 1.00 | |||
| PM1 | 1.00 | ||||
| Afternoon | T | RH | CO2 | PM2.5 | PM1 |
| T | 1.00 | −0.25 | 0.36 | −0.19 | −0.19 |
| RH | 1.00 | - | 0.39 | 0.39 | |
| CO2 | 1.00 | 0.24 | 0.24 | ||
| PM2.5 | 1.00 | 1.00 | |||
| PM1 | 1.00 |
| HCM, Vietnam (This Study) | Xi’an, China [50] | Nanjing, China [47] | Milan, Italy [51] | Singapore [53] | Mexico City, Mexico [52] | |
|---|---|---|---|---|---|---|
| Measurement device | AS-LUNG-P | Laser aerosol spectrometer and dust monitor | DustTrak monitor | PM—Aerocet 831 | DustTrak monitor | DustTrak monitor |
| Measurement condition | Rainy season, COVID-19 lockdown | Summer and winter | Summer and winter | Winter | Spring intermonsoon and southwest monsoon | Warm dry season |
| Cyclist | 12.9 | 28.5 | 31.5 | 10.1 | - | 14.6 |
| Motorcyclist | 6.7 | - | - | - | - | - |
| Car user | 1.9 | 9.04 | - | 5.0 | 2.4 | 5.1 |
| Pedestrian | 6.6 | - | 39 | 6.5 | 23.1 | 22.9 |
| Bus user | - | 11.2 | 10.4 | - | 3.0 | 5.0 |
| Subway user | - | 5 | 6.3 | - | 26 | 4.6 |
Disclaimer/Publisher’s Note: The statements, opinions and data contained in all publications are solely those of the individual author(s) and contributor(s) and not of MDPI and/or the editor(s). MDPI and/or the editor(s) disclaim responsibility for any injury to people or property resulting from any ideas, methods, instructions or products referred to in the content. |
© 2023 by the authors. Licensee MDPI, Basel, Switzerland. This article is an open access article distributed under the terms and conditions of the Creative Commons Attribution (CC BY) license (https://creativecommons.org/licenses/by/4.0/).
Share and Cite
Chi, N.D.T.; Ngan, T.A.; Cong-Thanh, T.; Huy, D.H.; Lung, S.-C.C.; Hien, T.T. Calibration of DustTrak and Low-Cost Sensors and Their Application for Assessment of Inhalation Exposures to Traffic-Related PM2.5 and PM1 in Ho Chi Minh City. Atmosphere 2023, 14, 1504. https://doi.org/10.3390/atmos14101504
Chi NDT, Ngan TA, Cong-Thanh T, Huy DH, Lung S-CC, Hien TT. Calibration of DustTrak and Low-Cost Sensors and Their Application for Assessment of Inhalation Exposures to Traffic-Related PM2.5 and PM1 in Ho Chi Minh City. Atmosphere. 2023; 14(10):1504. https://doi.org/10.3390/atmos14101504
Chicago/Turabian StyleChi, Nguyen Doan Thien, Tran Anh Ngan, Tran Cong-Thanh, Duong Huu Huy, Shih-Chun Candice Lung, and To Thi Hien. 2023. "Calibration of DustTrak and Low-Cost Sensors and Their Application for Assessment of Inhalation Exposures to Traffic-Related PM2.5 and PM1 in Ho Chi Minh City" Atmosphere 14, no. 10: 1504. https://doi.org/10.3390/atmos14101504
APA StyleChi, N. D. T., Ngan, T. A., Cong-Thanh, T., Huy, D. H., Lung, S.-C. C., & Hien, T. T. (2023). Calibration of DustTrak and Low-Cost Sensors and Their Application for Assessment of Inhalation Exposures to Traffic-Related PM2.5 and PM1 in Ho Chi Minh City. Atmosphere, 14(10), 1504. https://doi.org/10.3390/atmos14101504

