Numerical Analysis of Various Heat Countermeasures: Effects on Energy Consumption and Indoor Thermal Comfort in Densely Built Wooden House Area
Abstract
1. Introduction
2. Methods
2.1. Simulation Model
2.2. Simulation Conditions
2.3. Countermeasures
2.4. Validation of Simulation Model
3. Results
3.1. Effect of Density
3.1.1. Indoor Climate Control Behavior and Energy Consumption
3.1.2. Indoor Thermal Comfort
3.2. Effect of UHI Countermeasures on Energy Consumption
3.2.1. Cooling Season
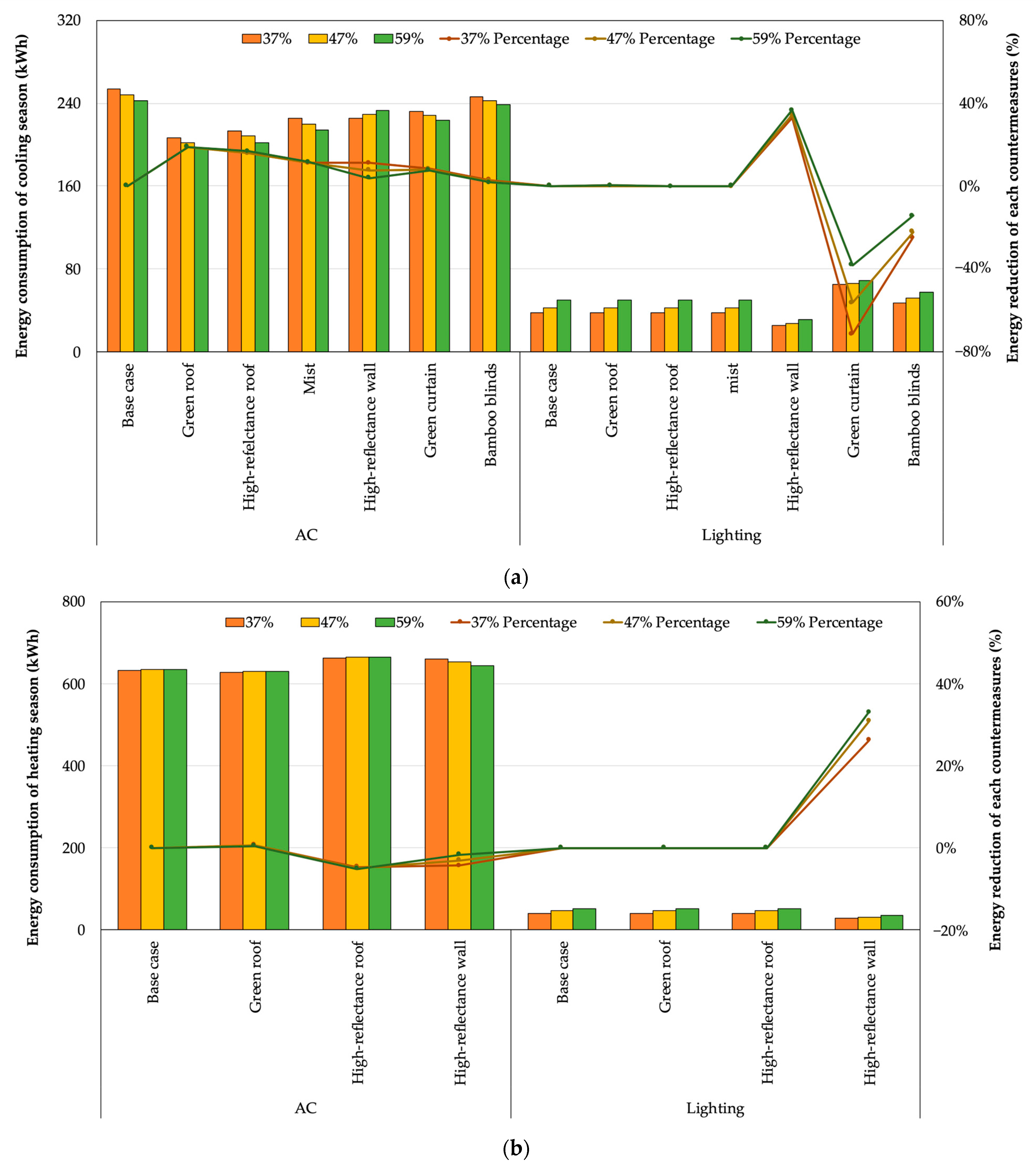
3.2.2. Heating Season
3.2.3. Annual Results
3.3. Effect of UHI Countermeasures on Indoor Thermal Comfort
4. Discussion
5. Conclusions
- (1)
- Air-conditioning usage decreased, whereas lighting usage increased with increased density in the cooling season. The results demonstrated that energy consumption increased throughout the year according to density.
- (2)
- SET* in the high-temperature zone increased with increased density during the non-air-conditioning hours. SET* shifted to a comfortable zone with increased density during the air-conditioning hours.
- (3)
- Among the evaluated UHI countermeasures, the green roof demonstrated the largest reduction in energy consumption throughout the year. The effect of the green roof was mainly in air-conditioning energy consumption, with a reduction of 18.8% during the cooling season and a slight reduction of 0.06% during the heating season, resulting in an annual reduction of 5.7%. Meanwhile, the benefit of the high-reflectance roof in summer was offset by the demerits in the heating season, resulting in an annual reduction of only 1.1%, which was less than those of the cooling season-only measures such as mist and green curtains. The high-reflectance walls exhibited the highest reduction in lighting energy consumption, with savings of an average of 34.6% during the cooling season and 30.1% during the heating season.
- (4)
- Density had minimal effects on the rooftop countermeasures. In contrast, the annual energy consumption reduction effect of the high-reflectance walls increased with density. Based on the results, the high-reflectance wall reduced the overall energy consumption by 2.6%, 3.0%, and 3.6% in 37%, 47%, and 59% densities, respectively.
- (5)
- The thermal regulation mechanisms of the UHI countermeasures affected their indoor thermal environment improvement effect. The green roof showed the highest improvement in indoor thermal comfort in the morning. In the average results across the three densities, the green roof can increase the total comfort time by 29.9 h in the morning compared to the no countermeasure case during the no-AC time in the summer.
Author Contributions
Funding
Institutional Review Board Statement
Informed Consent Statement
Data Availability Statement
Acknowledgments
Conflicts of Interest
References
- Japan Meteorological Agency. Available online: https://www.data.jma.go.jp/cpdinfo/himr_faq/04/qa.html (accessed on 6 August 2022).
- IPCC. In Climate Change 2014 Synthesis Report; IPCC: Geneva, Switzerland, 2014; pp. 58–59.
- Li, M.; Shi, J.; Guo, J.; Cao, J.; Niu, J.; Xiong, M. Climate impacts on extreme energy consumption of different types of buildings. PLoS ONE 2015, 10, e0124413. [Google Scholar] [CrossRef] [PubMed]
- Wang, S.S.Y.; Kim, H.; Coumou, D.; Yoon, J.H.; Zhao, L.; Gillies, R.R. Consecutive extreme flooding and heat wave in Japan: Are they becoming a norm? Atmos. Sci. Lett. 2019, 20, e933. [Google Scholar] [CrossRef]
- Kayaga, S.M.; Amankwaa, E.F.; Gough, K.V.; Wilby, R.L.; Abarike, M.A.; Codjoe, S.N.; Kasei, R.; Nabiles, C.K.; Yankson, W.K.; Mensah, P.; et al. Cities and extreme weather events: Impacts of flooding and extreme heat on water and electricity services in Ghana. Environ. Urban. 2021, 33, 131–150. [Google Scholar] [CrossRef]
- Parker, L.E.; McElrone, A.J.; Ostoja, S.M.; Forrestel, E.J. Extreme heat effects on perennial crops and strategies for sustaining future production. Plant Sci. 2020, 295, 110397. [Google Scholar] [CrossRef]
- Lobell, D.B.; Sible, A.; Ivan Ortiz-Monasterio, J. Extreme heat effects on wheat senescence in India. Nat. Clim. Chang. 2012, 2, 186–189. [Google Scholar] [CrossRef]
- Iwata, T.; Harada, E.; Maly, E. Towards improving provision of wooden temporary housing: Analysis of repairs of temporary housing built by local contractors after the great east Japan earthquake. Int. J. Disaster Risk Reduct. 2023, 86, 103537. [Google Scholar] [CrossRef]
- Kubota, T.; Miura, M.; Tominaga, Y.; Mochida, A. Wind tunnel tests on the relationship between building density and pedestrian-Level wind velocity: Development of guidelines for realizing acceptable wind environment in residential neighborhoods. Build. Environ. 2008, 43, 1699–1708. [Google Scholar] [CrossRef]
- Yang, Y.; Zhang, X.; Lu, X.; Hu, J.; Pan, X.; Zhu, Q.; Su, W. Effects of building design elements on residential thermal environment. Sustain.-Basel 2018, 10, 57. [Google Scholar] [CrossRef]
- Li, Y.; Schubert, S.; Kropp, J.P.; Rybski, D. On the influence of density and morphology on the urban heat island intensity. Nat. Commun. 2020, 11, 2647. [Google Scholar] [CrossRef]
- González-Torres, M.; Pérez-Lombard, L.; Coronel, J.F.; Maestre, I.R.; Yan, D. A review on buildings energy information: Trends, end-Uses, fuels and drivers. Energy Rep. 2022, 8, 626–637. [Google Scholar] [CrossRef]
- Chen, W.; Zhou, Y.; Xie, Y.; Chen, G.; Ding, K.J.; Li, D. Estimating spatial and temporal patterns of urban building anthropogenic heat using a bottom-up city building heat emission model. Resour. Conserv. Recycl. 2022, 177, 105996. [Google Scholar] [CrossRef]
- Onozuka, D.; Hagihara, A. Variation in vulnerability to extreme-temperature-related mortality in Japan: A 40-year time-series analysis. Environ. Res. 2015, 140, 177–184. [Google Scholar] [CrossRef] [PubMed]
- Gosling, S.N.; Lowe, J.A.; McGregor, G.R.; Pelling, M.; Malamud, B.D. Associations between elevated atmospheric temperature and human mortality: A critical review of the literature. Clim. Chang. 2009, 92, 299–341. [Google Scholar] [CrossRef]
- Heaviside, C.; Macintyre, H.; Vardoulakis, S. The urban heat island: Implications for health in a changing environment. Curr. Environ. Health Rep. 2017, 4, 296–305. [Google Scholar] [CrossRef] [PubMed]
- Buchin, O.; Hoelscher, M.T.; Meier, F.; Nehls, T.; Ziegler, F. Evaluation of the health-risk reduction potential of countermeasures to urban heat islands. Energy Build. 2016, 114, 27–37. [Google Scholar] [CrossRef]
- Akbari, H.; Pomerantz, M.; Taha, H. Cool surfaces and shade trees to reduce energy use and improve air quality in urban areas. Sol. Energy 2001, 70, 295–310. [Google Scholar] [CrossRef]
- Hsieh, C.M.; Li, J.J.; Zhang, L.; Schwegler, B. Effects of tree shading and transpiration on building cooling energy use. Energy Build. 2018, 159, 382–397. [Google Scholar] [CrossRef]
- Aboelata, A.; Sodoudi, S. Evaluating urban vegetation scenarios to mitigate urban heat island and reduce buildings’ energy in dense built-up areas in Cairo. Build. Environ. 2019, 166, 106407. [Google Scholar] [CrossRef]
- Kim, J.; Hong, T.; Jeong, J.; Koo, C.; Jeong, K. An optimization model for selecting the optimal green systems by considering the thermal comfort and energy consumption. Appl. Energy 2016, 169, 682–695. [Google Scholar] [CrossRef]
- Perez, G.; Rincon, L.; Vila, A.; Gonzalez, J.M.; Cabeza, L.F. Green vertical systems for buildings as passive systems for energy savings. Appl. Energy 2011, 88, 4854–4859. [Google Scholar] [CrossRef]
- Narumi, D.; Shigematsu, K.; Shimoda, Y. Effect of evaporative cooling techniques by spraying mist waster on energy saving in apartment house. In Proceedings of the 26th International Conference on Passive and Low Energy Architecture: Architecture Energy and the Occupant’s Perspective, Osaka, Japan, 22–24 July 2009. [Google Scholar]
- Akbari, H.; Konopacki, S.; Pomerantz, M. Cooling energy savings potential of reflective roofs for residential and commercial buildings in the United States. Energy 1999, 24, 391–407. [Google Scholar] [CrossRef]
- Synnefa, A.; Santamouris, M.; Akbari, H. Estimating the effect of using cool coatings on energy loads and thermal comfort in residential buildings in various climatic conditions. Energy Build. 2007, 39, 1167–1174. [Google Scholar] [CrossRef]
- Cirrincione, L.; Marvuglia, A.; Scaccianoce, G. Assessing the effectiveness of green roofs in enhancing the energy and indoor comfort resilience of urban buildings to climate change: Methodology proposal and application. Build. Environ. 2021, 205, 108198. [Google Scholar] [CrossRef]
- Chan, I.Y.S.; Liu, A.M.M. Effects of neighborhood building density, height, greenspace, and cleanliness on indoor environment and health of building occupants. Build. Environ. 2018, 145, 213–222. [Google Scholar] [CrossRef] [PubMed]
- Li, J.; Zheng, B.; Bedra, K.B.; Li, Z.; Chen, X. Effects of residential building height, density, and floor area ratios on indoor thermal environment in Singapore. J. Environ. Manag. 2022, 313, 114976. [Google Scholar] [CrossRef]
- Evola, G.; Gagliano, A.; Fichera, A.; Marletta, L.; Martinico, F.; Nocera, F.; Pagano, A. UHI effects and strategies to improve outdoor thermal comfort in dense and old neighbourhoods. Energy Procedia 2017, 134, 692–701. [Google Scholar] [CrossRef]
- Kitakaze, H.; Yuan, J.; Yamanaka, T.; Kobayashi, T. Study on influence of solar reflective characteristics of building envelops on thermal environment of urban canyon influence of solar reflectance of building envelops and wind speed, on ambient thermal environment. In Proceedings of the 40th AIVC—8th Tight Vent & 6th Venticool Conference, Ghent, Belgium, 15–16 October 2019. [Google Scholar]
- Tsuji, M.; Hokoi, S. A study on thermal environment of an alley and houses in a densely populated area during summer. J. Archit. Plan. 2002, 67, 23–30. [Google Scholar] [CrossRef][Green Version]
- Xu, D.; Zhou, D.; Wang, Y.; Xu, W.; Yang, Y. Field measurement study on the impacts of urban spatial indicators on urban climate in a Chinese basin and static-wind city. Build. Environ. 2019, 147, 482–494. [Google Scholar] [CrossRef]
- Murakami, M.; Ikagura, S.; Taga, N. Development of a gis-based city planning support system for congested areas of wooden houses. J. Arch. Plan. 2001, 66, 185–192. [Google Scholar] [CrossRef][Green Version]
- Andou, M.; Kouda, M.; Kojima, T.; Sone, S. The study about the actual condition of wooden clustered houses areas before the earthquake, and the mechanism of damages in these areas. J. Arch. Plan. 1999, 64, 287–295. [Google Scholar] [CrossRef]
- Habara, H.; Narumi, D.; Kobayashi, S.; Shimoda, Y.; Mizuno, M. Development of a method to estimate indoor thermal condition and air conditioning energy consumption in residential house using natural ventilation. J. Environ. Eng. Trans. AIJ. 2004, 69, 107–114. [Google Scholar] [CrossRef] [PubMed][Green Version]
- Habara, H.; Narumi, D.; Shimoda, Y.; Mizuno, M. A thermal environment control behavior model in energy consumption in residential houses. J. Hum. Liv. Environ. 2004, 11, 83–88. [Google Scholar]
- Narumi, D.; Taketa, A.; Shimoda, Y. Development of a method to estimate indoor climate and air conditioning energy consumption in residential house considering the influence of cross ventilation. In Proceedings of the 29th Air Infiltration and Ventilation Centre Conference, Kyoto, Japan, 14–16 October 2008. [Google Scholar]
- Habara, H.; Narumi, D.; Shimoda, Y.; Mizuno, M. A study on determinants of air conditioning on/off control in dwellings based on survey. J. Environ. Eng. Trans. AIJ 2005, 70, 83–90. [Google Scholar] [CrossRef] [PubMed][Green Version]
- Gebhart, B. A new method for calculating radiant exchanges. ASHRAE Trans. 1959, 65, 321–332. [Google Scholar]
- Shimoda, Y.; Fujii, T.; Morikawa, T.; Mizuno, M. Residential end-use energy simulation at city scale. Build. Environ. 2004, 39, 956–967. [Google Scholar] [CrossRef]
- Gagge, A.P.; Stolwijk, J.A.J.; Nishi, Y. An effective temperature scale based on a simple model of human physiological regulatiry response. Mem. Fac. Eng. Kyushu Univ. 1972, 13, 21–36. [Google Scholar]
- Zhang, Y.; Chen, H.; Meng, Q. Thermal comfort in buildings with split air-conditioners in hot-humid area of China. Build. Environ. 2013, 64, 213–224. [Google Scholar] [CrossRef]
- López-Pérez, L.A.; Flores-Prieto, J.J.; Ríos-Rojas, C. Adaptive thermal comfort model for educational buildings in a hot-humid climate. Build. Environ. 2019, 150, 181–194. [Google Scholar] [CrossRef]
- Sadeghi, M.; Wood, G.; Samali, B.; de Dear, R. Effects of urban context on the indoor thermal comfort performance of windcatchers in a residential setting. Energy. Build. 2020, 219, 110010. [Google Scholar] [CrossRef]
- Ministry of Land, Infrastructure, Transport and Tourism of Japan. Densely Populated Urban Areas Highly Vulnerable during Earthquake, etc. Available online: https://www.mlit.go.jp/jutakukentiku/house/jutakukentiku_house_tk5_000086.html (accessed on 8 December 2020).
- G Space Information Center. Yokohama City Urban Planning Survey Data. Available online: https://www.geospatial.jp/ckan/dataset/yokohama-kiso (accessed on 13 April 2021).
- Ministry of Land, Infrastructure, Transport and Tourism of Japan. Available online: https://www.mlit.go.jp/common/000024459.pdf (accessed on 17 August 2023).
- Japan Sustainable Building Consortium. Available online: https://www.jsbc.or.jp/document/files/guide.pdf (accessed on 3 April 2023).
- Ishida, K. Program for scheduling of indoor heat generation rate due to livelihood. In Proceedings of the SHASE Symposium, Tokyo, Japan, 23 October 1996. [Google Scholar]
- Architectural Institute of Japan Expanded AMeDAS Weather Data. Extended AMeDAS Weather Data. Available online: https://www.metds.co.jp/product/ea/ (accessed on 17 July 2020).
- Yamaguchi, T.; Yokoyama, H.; Ishii, K. Mitigating the urban heat island effect by light and thin rooftop greening. J. Jpn. Inst. Landsc. Archit. 2005, 68, 509–512. [Google Scholar] [CrossRef]
- Matsushita, I.; Hatano, S.; Narumi, D. Evaluation on the ability of roofing unit covered with greens in mitigating outdoor thermal environment and reducing energy consumption for air-conditioning system. Pap. Environ. Inf. Sci. 2005, 19, 117–122. [Google Scholar]
- Narumi, D.; Shigematsu, K.; Shimoda, Y. Effect of the evaporative cooling techniques by spraying mist water on reducing urban heat flux and saving energy in an apartment house. J. Heat. Isl. Inst. Int. 2012, 7, 175–181. [Google Scholar]
- Hoyano, A.; Chatani, M.; Yagi, K. Experimental study on solar control by an ivy covered wall. J. Arch. Plan. Environ. Eng. 1985, 351, 11–19. [Google Scholar]
- Habara, H. Development of a Method for Predicting Air Conditioning Energy Consumption in Residential Buildings Considering Outdoor Conditions and Natural Ventilation Utilization. Ph.D. Thesis, Osaka University, Suita, Japan, 2006. [Google Scholar]
- Fukai, K.; Ito, H.; Gotoh, S.; Akui, S.; Saito, J. Experimental study on correlation between standard new effective temperature (SET) and Japanese thermal sensation. ASHRAE Trans. 1993, 51, 139–147. [Google Scholar]
- Stavrakakis, G.M.; Androutsopoulos, A.V.; Vyörykkä, J. Experimental and numerical assessment of cool-roof impact on thermal and energy performance of a school building in Greece. Energy Build. 2016, 130, 64–84. [Google Scholar] [CrossRef]
- Pisello, A.L.; Rossi, F.; Cotana, F. Summer and winter effect of innovative cool roof tiles on the dynamic thermal behavior of buildings. Energies 2014, 7, 2343–2361. [Google Scholar] [CrossRef]















| Property | Value | |
|---|---|---|
| outdoor | climate condition | 2019 AMeDAS weather data (Yokohama City, Japan) [50] |
| ground albedo | 0.16 | |
| building | house model | typical old, detached house in dense urban A |
| structure | wooden | |
| total floor space | 73.72 m2 | |
| insulation | no insulation | |
| envelope albedo | 0.2 (base condition) | |
| space conditioning unit | air-cooled type heat pumps; cooling capacity in living roomeach 3.6 kW; cooling capacity in main bedroom: 2.2 kW | |
| occupant | household | mother (over 80 years old) and daughter (60 years old housewife) |
| preset temperature and relative humidity | 27 °C and uncontrolled humidity in the heating season | |
| opening pattern | interior doors and windows: all closed in base conditions, open in ventilated conditions | |
| schedule of occupancy and heat generation | set by applying the automatic setup scheduling program SCHEDULE [49] | |
| Part | Layer | Thermal Conductivity (W/m·K) | Volumetric Heat Capacity (W/m·K) | Thickness |
|---|---|---|---|---|
| rooftop | gypsum board | 0.213 | 904.2 | 0.012 |
| air layer | - | 1.2 | 0.064 | |
| plywood | 0.129 | 715.8 | 0.012 | |
| slate | 0.960 | 1520.0 | 0.012 | |
| outer wall | galvanized iron sheet | 45.000 | 2900.0 | 0.012 |
| air player | - | 1.2 | 0.044 | |
| mud wall | 0.690 | 1144.0 | 0.060 | |
| plaster | 1.087 | 2013.0 | 0.014 | |
| inner wall | plaster | 1.087 | 2013.0 | 0.014 |
| mud wall | 0.690 | 1144.0 | 0.052 | |
| plaster | 1.087 | 2013.0 | 0.014 | |
| second-floor ground | plywood | 0.160 | 715.8 | 0.012 |
| air layer | - | 1.2 | 0.276 | |
| galvanized iron sheet | 0.220 | 904.2 | 0.012 | |
| first-floor ground | plywood | 0.160 | 715.8 | 0.050 |
| Location | Countermeasure | Computational Condition |
|---|---|---|
| rooftop | high-reflectance | rising the rooftop albedo from 0.2 to 0.6 |
| green roof | improving the evaporation efficiency of the rooftop to 0.3 in summer and 0.05 in winter [51,52] | |
| mist | setting the evaporation efficiency of the rooftop from 0.0 to 0.7 [53] | |
| wall surface (window included) | high-reflectance | rising all wall surface albedo from 0.2 to 0.6 |
| green curtain | setting solar reflectance of south-facing window surfaces and walls to 0.1 [54] and flow attenuation to 0.42 from 23 May to 4 October | |
| bamboo blind | setting solar reflectance of all window surfaces to 0.2 and flow attenuation to 0.5 from 23 May to 4 October [55] |
Disclaimer/Publisher’s Note: The statements, opinions and data contained in all publications are solely those of the individual author(s) and contributor(s) and not of MDPI and/or the editor(s). MDPI and/or the editor(s) disclaim responsibility for any injury to people or property resulting from any ideas, methods, instructions or products referred to in the content. |
© 2023 by the authors. Licensee MDPI, Basel, Switzerland. This article is an open access article distributed under the terms and conditions of the Creative Commons Attribution (CC BY) license (https://creativecommons.org/licenses/by/4.0/).
Share and Cite
Liu, S.; Levinson, R.; Narumi, D. Numerical Analysis of Various Heat Countermeasures: Effects on Energy Consumption and Indoor Thermal Comfort in Densely Built Wooden House Area. Atmosphere 2023, 14, 1566. https://doi.org/10.3390/atmos14101566
Liu S, Levinson R, Narumi D. Numerical Analysis of Various Heat Countermeasures: Effects on Energy Consumption and Indoor Thermal Comfort in Densely Built Wooden House Area. Atmosphere. 2023; 14(10):1566. https://doi.org/10.3390/atmos14101566
Chicago/Turabian StyleLiu, Shanshan, Ronnen Levinson, and Daisuke Narumi. 2023. "Numerical Analysis of Various Heat Countermeasures: Effects on Energy Consumption and Indoor Thermal Comfort in Densely Built Wooden House Area" Atmosphere 14, no. 10: 1566. https://doi.org/10.3390/atmos14101566
APA StyleLiu, S., Levinson, R., & Narumi, D. (2023). Numerical Analysis of Various Heat Countermeasures: Effects on Energy Consumption and Indoor Thermal Comfort in Densely Built Wooden House Area. Atmosphere, 14(10), 1566. https://doi.org/10.3390/atmos14101566

