Abstract
Hybrid data assimilation (DA) methods have received extensive attention in the field of numerical weather prediction. In this study, a hybrid gain data assimilation (HGDA) method that combined the gain matrices of ensemble and variational methods was first applied in the mesoscale version of the Global/Regional Assimilation and Prediction System (GRAPES_Meso). To evaluate the performance of the HGDA method in the GRAPES_Meso model, different DA schemes, including the three-dimensional variational (3DVAR), local ensemble transform Kalman filter (LETKF), and HGDA schemes, were compared across eight tropical cyclone (TC) cases, and FY-4A atmospheric motion vectors were assimilated. The results indicated that the HYBRID scheme outperformed the 3DVAR and LETKF schemes in TC position forecasting, and with ensemble forecasting techniques, the HYBRID scheme promoted the accuracy of the prediction TC intensity. The threat score (TS) values for the light and medium precipitation forecasts obtained in the HYBRID experiment were higher than those for the forecasts obtained in the 3DVAR and LETKF experiments, which may be attributed to the forecasting accuracy for the TC position. Regarding heavy and extreme rainfall, the HYBRID scheme achieved a more stable effect than those of the 3DVAR and LETKF schemes. The results demonstrated the superiority of the HGDA scheme in TC prediction with the GRAPES_Meso model.
1. Introduction
Tropical cyclones (TCs), as some of the most devastating natural hazards in coastal areas, can cause notable loss of life and property each year [1,2]. Though advanced mesoscale weather models and computing facilities have considerably improved the TC prediction abilities [3,4], the uncertainties in models’ initial conditions (ICs) remain a challenge in TC track and intensity forecasting due to the lack of observations over the ocean [5]. In recent years, the abundance of satellite data has become an important complement in areas lacking observations, such as in southern oceans [6,7,8,9]. Therefore, the effective application of satellite data to TC forecasting remains a challenge.
In one of the modern TC forecast improvement methods, data assimilation (DA) techniques were applied to optimally combine observations with a numerical weather prediction (NWP) model, thus producing an accurate initial state of the system [10,11,12]. DA methods such as variational assimilation have been widely adopted in NWP for operational weather forecasting [13,14,15]. However, methods such as the three-dimensional variational (3DVAR) method, which is based on statistical theory, usually employ quasi-fixed error statistics to spread observation information to model grid points, which can hardly represent the actual state of TC environments [16,17]. Given this difficulty, the ensemble Kalman filter (EnKF), which is characterized by the flow-dependent background error covariance estimated from an ensemble of parallel short-term forecasts, is a promising TC state estimation approach [18,19]. This ensemble aims to provide short-term probabilistic forecasts so that information on the initial (analysis) errors is retained in the forecast errors [20]. However, due to the high computational cost, given an insufficient number of ensembles, the EnKF method still suffers from rank deficiency and sampling error problems [21,22]. Therefore, hybrid schemes that couple ensemble and variational systems have been proposed and extensively researched [23,24].
Most traditional hybrid schemes implemented under the variational framework aim to introduce the flow-dependent background error covariance (B) estimated from an ensemble into the static and full-rank climatological B matrix used in variational methods [25,26]. These hybrid approaches, which entail the implementation of a weighted sum of the two covariance terms, are defined as hybrid covariance data assimilation (HCDA) algorithms. An alternative to the traditional HCDA technique is the hybrid gain data assimilation (HGDA) approach developed by Penny [27], which combines the gain matrices of the ensemble and variational methods. Penny [27] demonstrated that the HGDA method differs from the traditional HCDA method, which discards ensemble mean information, as it employs the analysis ensemble mean as an improved background estimate for the 3DVAR scheme. This approach recenters the ensemble perturbations in a new hybrid mean state and simultaneously leverages the climatological background error covariance estimate to which the current operational system has been tuned [28]. Furthermore, the HGDA method can be applied without explicitly obtaining the gain matrix and is less sensitive to tuning parameters such as localization and inflation [29].
Since Penny’s publication, the HGDA scheme has been extensively researched and examined [30,31,32]. Research by Bonavita et al. [33] using a hybrid gain ensemble data assimilation (HG-EnDA) algorithm comprising 4DVar and EnKF methods demonstrated that the HG-EnDA algorithm could significantly outperform both component systems. In addition, they compared the HG-EnDA algorithm with the hybrid 4DVar–EDA algorithm in an operational implementation at the European Centre for Medium-Range Weather Forecasts (ECMWF) and found that the former was already competitive relative to a low-resolution version (TL511) of the hybrid 4DVar–EDA algorithm. In a separate study by Whitaker et al. [34], the hybrid covariance approach was compared with the hybrid gain approach. Their results revealed that the HGDA approach was similar to the HCDA approach when the incremental normal-mode balance constraint applied to the ensemble part of the hybrid covariance update was turned off. Chang et al. [35] proposed a parameterless HGDA algorithm that constrained the variational correction to the subspace orthogonal to the ensemble perturbation subspace without using a hybrid weighting parameter and reported advantages over the standard HGDA algorithm. Wang et al. [29] found that by utilizing the ensemble mean, the analysis increments of the HGDA algorithm retained more EnKF characteristics than those of the HCDA algorithm. Moreover, the precipitation score of the HGDA method was higher than that of the HCDA method in a shorter lead time.
The HGDA method offers significant advantages and has been used operationally, such as in the operational ocean model of the National Centers for Environmental Prediction (NCEP) [28,36], the operational atmospheric model of the ECMWF [37], and, more recently, the Canadian Meteorological Centre’s atmospheric model [30]. The Numerical Weather Prediction Center (NWPC) of the China Meteorological Administration (CMA) has been working on the development of hybrid data assimilation systems in the Global/Regional Assimilation Prediction System (GRAPES) [38,39,40]. In recent years, several case studies have indicated that the assimilation effect is more pronounced when the En-3DVAR method is applied to the GRAPES model [41,42,43]. However, the application of the HGDA method to the GRAPES model remains poorly understood. Moreover, the operational NWP process is more complex than that in case studies due to the diversity and large number of observations. Therefore, the performance and stability of the HGDA method in the GRAPES model are worthy of further study.
In this paper, the GRAPES regional HGDA method is proposed; this combines the gain matrices derived from the GRAPES-3DVAR and local ensemble transform Kalman filter (LETKF). The effects of the application of the HGDA method in the GRAPES model on TC forecasting are examined and compared to those of the LETKF and 3DVAR schemes. The remainder of this paper is structured as follows: The model, DA methods, and experimental design are described in Section 2. The major results are analyzed in Section 3, and conclusions are provided in Section 4.
2. Materials and Methods
2.1. The Model Used
The mesoscale version of the GRAPES model (version 5.0), i.e., GRAPES_Meso, was employed in this study. The GRAPES_Meso model is a regional operational NWP system implemented at the CMA that includes both an atmospheric model and a three-dimensional DA system [44]. The model utilizes a staggered Arakawa C grid for spatial variable discretization and employs an off-centered two-time-level semi-implicit and semi-Lagrangian scheme as the time discretization scheme based on the latitude–longitude (LAT-LON) grid. Height-based terrain-following coordinates with Charney–Phillips variable staggering are adopted along the vertical direction [45]. The forecast domain covers all of South China with a horizontal grid spacing of 3 km (1181 × 601 grid points) and 50 sigma vertical levels (Figure 1). The physical parameterization schemes adopted for this study include the rapid radiative transfer model (RRTM) longwave radiation scheme [46], the Dudhia shortwave radiation scheme [47], the Noah land surface scheme [48], the medium-range forecast (MRF) planetary boundary layer scheme [49], and the WSM6 cloud microphysics scheme [50]. The cumulus convection parameterization scheme was not used.
Figure 1.
Domain used for the simulations.
2.2. Hybrid Gain Ensemble Data Assimilation System
In this study, the Hybrid/Mean-LETKF method proposed by Penny [27] was first implemented in the GRAPES_Meso model. The hybrid gain matrix can be constructed as follows:
where K is the Kalman gain matrix, and KB is the 3DVAR gain matrix. Under monotonic mapping, KB scaling by parameter α (0 < α < 1) is equivalent to directly applying scalar inflation to the static B matrix used to obtain KB.
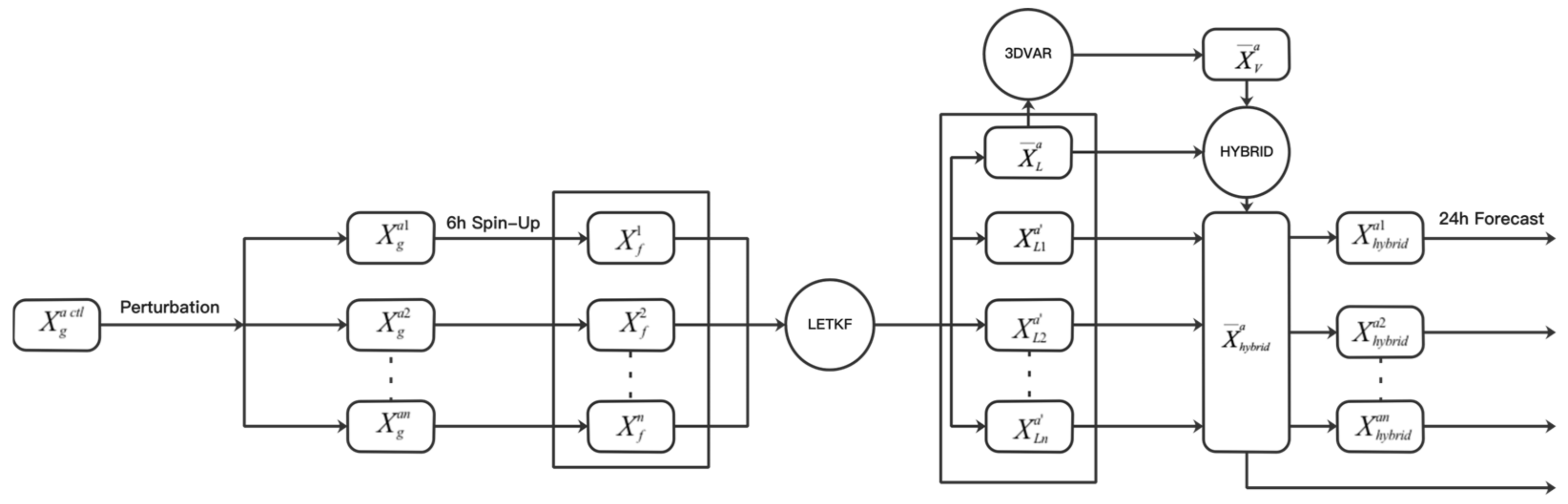
Figure 2 shows a flowchart of the HGDA method. Ensemble forecasts (, where n denotes the total number of ensemble members) of the Global Forecast System (GFS) were used as the background fields of the LETKF, and the LETKF algorithm of Hunt et al. [51] was utilized to obtain the analysis mean state () and analysis ensemble perturbations (). In the standard LETKF, the analysis mean can be computed as:
where is the background ensemble mean state, and H is the observational operator.
Figure 2.
Flowchart of the HGDA method. denotes the analysis fields retrieved from the Global Forecast System (GFS). (n is the number of ensemble members) indicates that the ensemble members are randomly perturbed by the GFS. With a 6 h spin-up period, the ensemble forecasts of the GFS () are used as the background fields of the LETKF. Then, the analysis mean state () and analysis ensemble perturbations () can be obtained from the LETKF. Next, is employed as the background field of the GRAPES-3DVAR model. Then, the hybrid analysis mean () is updated by blending the LETKF () and 3DVar correction () terms. Finally, the LETKF ensemble analysis perturbations () are recentered to the hybrid analysis mean (). The ensemble mean () and members (, , …, ) output by the hybrid algorithm are used for prediction.
Then, a two-step sequential update process involving the LETKF analysis mean was executed. First, the LETKF analysis ensemble mean was used as an improved background estimate for the 3DVAR scheme in the GRAPES_Meso model, which differed from the HCDA method, that discarded the analysis ensemble mean. In this step, the 3DVAR scheme minimized the following cost function:
Then, the analysis mean corrected by the 3DVAR scheme was output (). Second, the hybrid analysis mean () was updated by blending the LETKF () and 3DVAR correction () terms through a tunable parameter α.
After updating, the ensemble analysis perturbations () could then be recentered to the hybrid analysis mean as follows:
where VT is a column of one, and denotes the hybrid ensemble members used for prediction.
2.3. Experimental Design
To compare the impacts of different DA methods, four basic experiments, namely, CTL, 3DVAR, LETKF, and HYBRID, were designed (Figure 3). The CTL experiment was used as a reference with no observations assimilated. The 3DVAR and LETKF experiments entailed the use of standard formulations, while the HYBRID experiment was conducted according to the method of Penny described in Section 2.2. In all experiments, the initial prior ensemble members for the analysis were provided by GRAPES_Meso forecasts initialized 6 h prior to the analysis time. The analysis and forecast fields of the National Centers for Environmental Prediction/Global Forecast System (NCEP/GFS) were used as the unperturbed ICs and lateral boundary conditions (BCs), respectively. Perturbations randomly drawn from the static background error covariances used in the GRAPES-3DVAR model were added to the GFS forecasts and BCs [16,52] to generate the initial prior ensemble members. The analysis background fields of the LETKF and HYBRID experiments were provided by the forecast ensemble mean of 30 ensemble members, and the CTL and 3DVAR experiments involved the same analysis background to maintain consistency. Observations were assimilated at a single time followed by a 24 h deterministic forecast launched from each of the analyses, while the 24 h forecast in the CTL experiment continued from the analysis time without assimilation.
Figure 3.
Schematic representation of the experimental setup for each simulation experiment. Members 1, 2, …, n represent the ensemble members (n is the number of ensemble members). CTL indicates the experiment initialized without observation assimilation. HYBRID, LETKF, and 3DVAR indicate the experiments assimilating the same observations with the HGDA, LETKF, and 3DVAR methods, respectively.
In the HGDA method, half of the 3DVAR analysis gain and half of the LETKF analysis gain were used with parameter α set to 0.5, which allowed for a more straightforward comparison. In all experiments, covariance localization was used to suppress the impact of the ensemble background error covariance on the analysis increments with localization radii of 300 km along the horizontal direction and 6 levels along the vertical direction. Multiplicative inflation was applied to the analysis perturbations to prevent deviation of the ensemble from the observations and possible ensemble collapse [53]. The inflation factor was tuned and set to 1.10 to maintain the ensemble spread.
2.4. Observation Data
Satellite-derived wind observations available from the most recent Chinese geostationary satellite FengYun-4A (FY-4A) were assimilated. FY-4A atmospheric motion vectors (AMVs) have enhanced the spatial and temporal resolutions of data and allowed for more spectral channel options [54,55]. The wind vector interval of AMV products encompassed 8 infrared (IR) pixels (a subpoint interval of 32 km). The tracer block sizes for primary and secondary racking were 32 × 32 and 16 × 16, respectively. FY-4A AMVs were retrieved at three-hour time intervals from one longwave IR (λ = 11.0 µm) channel and two water vapor (WV) (HIWV, λ = 6.5 µm; LOWV, λ = 7.2 µm) channels. Figure 4 shows the horizontal and vertical distributions of the IR and WV channels of AMVs within the model region at 06:00 on 1 July 2022 (UTC; the same below). AMVs could supplement conventional observations in areas with sparse data, especially on the ocean surface (Figure 4a–c). Along the vertical direction, the WV channels were located above 500 hPa, while the IR channel provided data distributed at lower levels. Both the WV and IR channels were mainly concentrated between 400 and 100 hPa (Figure 4d). The WV channel was located in the absorption band, which absorbed radiation below the WV distribution height during transmission, and only radiation emitted by WV after absorption could be detected [56]. However, the IR channel was located in the atmospheric window, which could receive longwave radiation emitted by clouds and the surface, so the IR channel also provided data in the lower layers [57]. AMV products with quality indicator (QI) values higher than 85% were used, as these were found to be of satisfactory quality [55]. Moreover, a series of simple quality control measures, including background assessment, height assignment, observation error assignment, and data-thinning processes, were adopted [58,59]. Observation preprocessing was performed in the same manner across all of the analysis experiments.
Figure 4.
Horizontal distributions of the FY-4A AMV products derived from the (a) IR, (b) HIWV, (c) LOWV, and (d) vertical profiles of the total number of single FY-4A AMV products from the three channels in each layer at 06:00 UTC on 1 July 2022 within the model domain.
3. Results
The impacts of the different DA methods on TC forecasting were quantified by computing track and intensity simulation errors in terms of the TC position, minimum sea-level pressure (MSLP), and maximum wind speed (MWSP), and the results were compared with those of the best track data from the Japan Meteorological Agency (JMA). Moreover, a quantitative examination of the model rainfall data was conducted with the threat score (TS) by validating the model results against an hourly dataset from the CMA Multisource Merged Precipitation Analysis System (CMPAS) [60]. To investigate the performance and stability of the different assimilation system components, a quasi-operational setting was used without custom tuning.
3.1. Case Study
In this section, Typhoon CHABA (2022) was selected as a case to evaluate the effects of the different assimilation methods on TC prediction in detail. Typhoon CHABA originated from a low-pressure area west of Luzon and made landfall in southwestern Guangdong Province at 07 UTC on 2 July 2022. The 24 h forecasts of Typhoon CHABA prior to landfall initialized at 06 UTC on 1 July 2022 were analyzed.
3.1.1. Analysis of TC Position and Intensity
The position and intensity are two crucial indicators used to evaluate models’ capabilities for TC forecasting. Figure 5 shows the track propagation results of the four experiments and the best track of the JMA. All of the cyclones propagated northwesterly as expected. It could be observed that the HYBRID method outperformed the 3DVAR and LETKF schemes in forecasting the position and moving speed and yielded the closest forecasting result to the best track from 6 to 24 h. However, at the initial time, the positions determined via the three methods were nearly the same, which may be attributed to the relatively limited effect of AMVs’ assimilation on the surface layer, as the AMVs were mainly concentrated in the upper layer.
Figure 5.
Comparison of the track propagation results of the CTL, 3DVAR, LETKF, and HYBRID experiments for Typhoon CHABA and observations retrieved from the best track data from the Japan Meteorological Agency (JMA).
To accurately compare the impacts of the different DA schemes, the 24 h average forecast errors in the typhoon track, MSLP, and MSWP of the CTL, 3DVAR, LETKF, and HYBRID experiments were considered, as shown in Figure 6. Figure 6a shows the track errors of the different experiments. It could be observed that the track errors of the 3DVAR, LETKF, and HYBRID experiments were 37.43, 27.83, and 25.86 km, respectively, which were smaller than the track error of the CTL experiment (40.9 km). Although all assimilation schemes could reduce the track prediction errors, the HYBRID experiment yielded the smallest track error among the three assimilation experiments, which was consistent with the tracks shown in Figure 5. In contrast to the TC position, the MSLP errors depicted in Figure 6b did not indicate any improvements due to assimilation. The MSLP errors were 4.42, 4.42, 4.88, and 4.82 hPa for the CTL, 3DVAR, LETKF, and HYBRID experiments, respectively, which were very similar (Figure 6b). Compared to the magnitude of the MSLP, which was approximately 970 hPa, the MSLP errors were very small, and the differences between the four experiments could be neglected. In regard to the MSWP errors (Figure 6c), the LETKF experiment yielded the smallest error of −4.52 m·s−1, followed by the HYBRID experiment, with an error of −4.72 m·s−1, while the 3DVAR experiment produced a larger error, namely, −5.46 m·s−1, than that of the CTL experiment at 5.20 m·s−1. Hence, in all analysis experiments, the improvements were more prominent in the position than in the intensity when comparing Figure 6a to Figure 6b,c. It should be noted that the HYBRID experiment could achieve the optimal effect when both the LETKF and 3DVAR schemes were well tuned, and the LETKF scheme was significantly better than the 3DVAR scheme [25]. Regarding the TC position, both the LETKF and 3DVAR experiments yielded smaller track forecast errors, and the LETKF scheme was more effective. As a result, the HYBRID scheme achieved the optimal effect and was the most effective. However, regarding the TC intensity, the LETKF scheme generated a larger MSLP error, while the 3DVAR scheme produced a larger MSWP error. In this case, the HYBRID scheme could partly offset the negative effect of the LETKF or 3DVAR schemes and could allow appropriate adjustments.
Figure 6.
Forecast error in the (a) TC position (units: km), (b) MSLP (units: hPa), and (c) MWSP (units: m·s−1) for the CTL, 3DVAR, LETKF, and HYBRID experiments averaged over 24 h before landfall.
Deterministic forecasts launched from the ensemble mean analysis may lead to an overly smoothed depiction of the TC mass and wind fields resulting from ensemble averaging [61]. This can partly explain the relatively limited improvement in TC intensity forecasting with the DA approach. Zhang et al. [62] proposed that it is more appropriate to use average MSLP and MWSP values obtained from each member for ensemble forecast verification. Therefore, the temporal evolution of the average MSLP and MWSP values estimated from the posterior of each HYBRID ensemble member (hereafter referred to as HYBRID members_mean) relative to the posterior LETKF, 3DVAR, HYBRID, and CTL mean analysis fields, as well as the JMA’s best track results, is shown in Figure 7. It is clear that the MSLP (Figure 7a) and MWSP (Figure 7b) of HYBRID members_mean were closer to those of the JMA’s best track data during the 24 h forecasting period than those of all the other experiments. The 24 h average forecast errors in MSLP and MWSP of HYBRID members_mean were 4.02 hPa and −4.03 m s−1, respectively. Compared to the TC intensity errors shown in Figure 6b,c, HYBRID members_mean yielded the smallest intensity errors. Therefore, using the average MSLP and MWSP values obtained from each member, it was confirmed that the HYBRID scheme could promote the prediction accuracy for TC intensity.
Figure 7.
Temporal evolution of (a) the estimated MSLP (units: hPa) and (b) MWSP (units: m·s−1) of the LETKF, 3DVAR, HYBRID, and CTL experiments. The solid lines indicate the deterministic forecast from the analysis mean. The dashed line indicates the average value of the MSLP and MWSP of each member. The dotted line indicates the JMA’s best track.
3.1.2. Rainfall Validation
Quantitative precipitation forecast validation was performed by calculating TS values to identify the influences of the 3DVAR, LETKF, and HYBRID schemes. Figure 8 shows the 24 h temporal evolution of the TS values for the 6 h accumulated precipitation forecasts of the different experiments. In general, the assimilation of AMVs positively impacted the short-range rainfall forecasts. In terms of light rainfall (Figure 8a, up to 0.1 mm), the scores obtained for the assimilation experiments were higher than those obtained for the CTL experiment, and the TS scores determined via the HYBRID experiment were always higher than those determined via the LETKF and 3DVAR experiments. Regarding medium rainfall (Figure 8b, 0.l–4.0 mm), the HYBRID experiment yielded the maximum TS values at 06, 12, and 24 h relative to the other three experiments. At 18 h, the TS values for all assimilation experiments were lower than those for the CTL experiment. Regarding heavy rainfall (Figure 8c, 4.0–13.0 mm), the 3DVAR experiment generated the maximum scores at 06 and 18 h, while the LETKF experiment generated the minimum scores. However, at 12 and 24 h, the LETKF experiment yielded the maximum scores, while the 3DVAR experiment yielded the minimum scores. The HYBRID experiment always produced moderate TS values that varied between those for the 3DVAR and LETKF experiments. Regarding extreme rainfall (Figure 8c, 13.0–25.0 mm), improvements could hardly be achieved in the assimilation experiments, and both the 3DVAR and LETKF experiments exhibited lower TS values than those for the CTL experiment most of the time. As a result, the HYBRID experiment exhibited the minimum TS values. Overall, the HYBRID scheme could improve the forecast skill for light and medium rainfall, which was partially due to the position accuracy of TC track prediction. Regarding heavy rainfall, the HYBRID scheme could partly offset the negative effects of the LETKF or 3DVAR scheme and exhibited moderate TS values. However, for extreme rainfall, due to the negative effects of both the 3DVAR and LETKF schemes, the HYBRID experiment yielded the minimum TS values.
Figure 8.
Temporal evolution of the threat score (TS) for the 6 h accumulated precipitation forecasts of Typhoon CHABA simulated by the CTL, 3DVAR, LETKF, and HYBRID experiments with threshold = (a) 0.1, (b) 4.0, (c) 13.0, and (d) 25.0 mm.
3.2. Multicase Validation
To further estimate the effectiveness of the different assimilation schemes, four types of experiments (CTL, HYBRID, 3DVAR, and LETKF) involving eight TC cases (including Typhoon CHABA) from 2019 to 2022 were conducted, and the experimental setup was the same as that employed for Typhoon CHABA. The 24 h forecasts of TCs prior to landfall were launched from each of the analysis fields. Details of the TC cases considered in this study and the model simulation duration in each case are listed in Table 1. Figure 9 shows the observed TC tracks retrieved from the JMA’s best track dataset at 6 h intervals. TC cases of different intensity categories following diverse tracks before making landfall were selected. All TC cases formed over the South China Sea.
Table 1.
Tropical cyclone cases analyzed.
Figure 9.
JMA’s best track data for the eight TC cases analyzed in the study. Details are listed in Table 1. Various colors are used to differentiate the different TC tracks. The larger dots in the figure denote the analysis time in each case.
3.2.1. Track Validation
Figure 10 shows the forecast track error in the eight TC cases for the different assimilation experiments. The HYBRID scheme outperformed the 3DVAR and LETKF schemes in TC location forecasting. The track errors of the HYBRID experiment were found to be the smallest among all experiments in five out of the eight cases (MA-ON, CHABA, IN-FA, CEMPAKA, and MITAG), and all cases comprised typhoons (Figure 10). Regarding the other three TCs, the LETKF experiment achieved better performance for tropical storms LIOMROCK and NURI than the other experiments did, while the 3DVAR scheme produced the smallest track error for Typhoon KOMPASU. Therefore, the improvement in the HYBRID experiment may be more significant for typhoons than for tropical storms.
Figure 10.
Forecast error averaged over 24 h before landfall in the TC position (units: km) in the different assimilation experiments for the eight tropical cyclone cases.
To clearly reveal the impact of the HYBRID scheme on TC position forecasting, the percentage change in the track error determined via a comparison of the assimilation experimental groups with the CTL experiment is provided in Table 2. A negative result indicates a decrease in the track error, while a positive result indicates an increase. The percentage change in the track error averaged over all the cases indicated 1.369%, 8.071%, and 10.612% track error reductions in the 3DVAR, LETKF, and HYBRID experiments, respectively. The HYBRID scheme achieved considerable improvement in forecasting TC locations relative to the 3DVAR and LETKF schemes. Furthermore, the 3DVAR scheme yielded increased track errors in three cases (MA-ON, IN-FA, and NURI), which may have been partly due to the large initial position errors of the ensemble mean background fields. The LETKF scheme yielded increased track errors in two cases (KOMPASU and IN-FA), whereas the HYBRID scheme yielded an increased track error in only one case (KOMPASU). In addition, the track error of the HYBRID scheme was never the largest, as it could partly offset the negative effects of the LETKF or 3DVAR scheme and facilitate certain appropriate adjustments. Therefore, compared to those of the 3DVAR and LETKF schemes, the HYBRID scheme could achieve a more stable and moderate effect.
Table 2.
Percentage change in the track error when comparing the assimilated experimental groups with the CTL experiment (units: %).
In order to test the significance of the track errors for different experiments, a simple bootstrap analysis was performed. Figure 11 presents the forecast track error averaged over all of the cases and all of the forecast times. The error bars shown in Figure 11 give the 5% lower confidence bound, 50% average confidence bound, and 95% upper confidence bound of the averaged track errors with a two-sided bootstrap significance test. It could be observed that the averaged track errors of the CTL, 3DVAR, LETKF, and HYBRID experiments were 54.59, 53.29, 49.57, and 48.95 km, respectively. The track errors of all DA experiments were lower than that of the CTL experiment, which confirmed the positive effects of the DA methods. Moreover, the HYBRID scheme with the lowest track error among all of the experiments showed a significant advantage in improving the TC position forecast. Therefore, consistently with the previous analysis that was mentioned above, the HYBIRD scheme achieved a more significant improvement in TC position forecasting than the 3DVAR and LETKF schemes.
Figure 11.
The forecast position error of different assimilation experiments averaged over all of the TC cases and a 24 h forecast time before landfall. The error bars denote the 5th and 95th percentiles determined from bootstrap resampling, respectively. The blue dot represents the 50th percentile determined from bootstrap resampling.
As mentioned in Section 3.1.1, the TC intensity calculated with the deterministic forecast launched from the ensemble mean analysis was unrepresentative, and the available computational resources were limited to calculate the average MSLP and MWSP values for each ensemble member in all cases. Therefore, the TC intensity will not be further verified here.
3.2.2. Rainfall Forecast Skill Scores
Figure 12 shows the 24 h average TS values for the 6 h accumulated precipitation forecasts in the eight TC cases of the different experiments. The improvements in the forecast skill for light and medium rainfall of the HYBRID scheme were further validated. Figure 12a shows that for light rainfall, the TS value of the HYBRID experiment was the highest among all experiments in six out of the eight cases (CHABA, KOMPASU, LINROCK, CEMPAKA, and MITAG). Regarding medium rainfall (Figure 12b), the TS value for the HYBRID experiment was the highest in four out of the eight cases (CHABA, LIONROCK, IN-FA, and MITAG). All assimilation experiments positively impacted the light and medium rainfall forecasts relative to the CTL experiment, which also confirmed the positive impact of the assimilation of FY-4A AMVs. Considering heavy and extreme rainfall (Figure 12c,d), with impacts of the initial position errors and the effects of the 3DVAR and LETKF schemes becoming unstable, the number of TC cases with lower TS values in the 3DVAR or LETKF experiment than those in the CTL experiment was increased. However, the HYBRID scheme could still exhibit more stable and moderate TS values. As a result, the multicase study demonstrated that the HYBRID scheme achieved a better improvement in light and medium rainfall forecasting with assimilated FY-4A AMVs than the 3DVAR and LETKF schemes did. Furthermore, the HYBRID scheme generated a more stable and moderate effect than the 3DVAR and LETKF schemes did in heavy and extreme rainfall forecasting.
Figure 12.
Threat scores (TSs) for the 6 h accumulated precipitation forecasts averaged over 24 h before landfall in the eight TC cases simulated in the CTL, 3DVAR, LETKF, and HYBRD experiments with threshold = (a) 0.1, (b) 4.0, (c) 13.0, and (d) 25.0 mm.
4. Conclusions and Discussion
In this study, the hybrid gain data assimilation method (HGDA) was first applied to the regional GRAPES_Meso model, and its performance was assessed by examining forecasts of TCs that formed over the South China Sea. Three groups of experiments were performed with different DA methods, including 3DVAR, LETKF, and HGDA (HYBRID), and their results were compared with the results of an experiment without DA (CTL). Eight TC cases from 2019 to 2022 were considered, and Typhoon CHABA was selected as a case to be analyzed in detail. FY-4A AMVs were assimilated to evaluate the impacts of different DA schemes on the forecasts of TC cases before landfall. The results of four experiments (CTL, 3DVAR, LETKF, and HYBRID) were intercompared and validated against the JMA’s best track data and hourly precipitation observations from the CMPAS. The main conclusions can be summarized as follows.
First, the 24 h deterministic forecast results for Typhoon CHABA revealed that the HYBRID scheme outperformed the 3DVAR and LETKF schemes in forecasting the TC position and moving speed, and in all analysis experiments, the improvements were more prominent in the position than in the intensity. With deterministic forecasts launched from the ensemble mean analysis, the LETKF scheme increased the MSLP error, while the 3DVAR scheme increased the MSWP error, which might have been due to the overly smoothed depiction of the TC mass and wind fields. In this case, the influence of the HYBRID scheme on intensity forecasting was reduced, but it could still partly offset the negative effects of the LETKF or 3DVAR scheme and allowed specific appropriate adjustments. In addition, when using the average MSLP and MWSP values retrieved from each ensemble member, the HYBRID scheme could promote the TC intensity prediction accuracy. Quantitative precipitation forecast validation by using the TS metric further demonstrated that the forecast skill for light and medium rainfall in the HYBRID scheme was partially improved due to the position accuracy in TC track prediction. Given heavy rainfall, the HYBRID scheme could partly offset the negative effects of the LETKF or 3DVAR scheme and exhibited moderate TS values. However, considering extreme rainfall, due to the negative effects of both the 3DVAR and LETKF schemes, the HYBRID scheme exhibited the minimum TS values.
Subsequently, eight TC cases were considered to further evaluate the impacts of the different assimilation schemes. Via comparison of the track errors, it was again confirmed that the HYBRID scheme achieved a more significant improvement in TC position forecasting than the 3DVAR and LETKF schemes did. Moreover, the improvement obtained with the HYBRID scheme might have been more notable for typhoons than for tropical storms. The TS values for the quantitative precipitation forecasts of the different experiments further demonstrated that all assimilation experiments positively impacted light and medium rainfall forecasts relative to the CTL experiment, and the HYBRID scheme achieved a better performance than all of the other assimilation schemes. Regarding heavy and extreme rainfall, with the effects of the 3DVAR and LETKF schemes becoming unstable, the HYBRID scheme produced a more stable and moderate effect than the 3DVAR and LETKF schemes did.
In general, the application of the regional HGDA method improved the performance of the GRAPES_Meso model and offered advantages in forecasting TC cases with the assimilation of FY-4A AMVs over the 3DVAR and LETKF schemes, especially with respect to TC position and rainfall forecasting. It should be noted that all of the experiments in this study were conducted in a quasi-operational setting without custom tuning. With fixed operational parameters, the 3DVAR or LETKF schemes may not persistently achieve the optimal effects and may sometimes generate negative effects. Moreover, in some TC cases, the initial position errors were relatively large, which could partly reduce the impacts of DA schemes. However, it was verified in this study that the HYBRID scheme could partly offset the negative effects of the LETKF or 3DVAR scheme and ensured a relatively stable and moderate effect, which could be one of the most important factors determining its wide use in research and operational applications. Although the HGDA method was proven to be effective, the accuracy of the HGDA scheme was still partly influenced by the tunable parameter that weighted the dynamic and static information supplied by the ensemble and variational methods. The need to optimize the hybrid coefficient remains a key issue. Therefore, our future work will explore the parameter optimization methods of the HGDA scheme and examine the impacts of the regional HGDA method on the GRAPES_Meso model with the assimilation of multisource observation data, such as dual-polarized radar data and soundings. In addition, as the initial time of the model can partly affect the forecast accuracy [63], further analysis of a real-time run of the HGDA method in the GRAPES model would be necessary for the improvement of the operational forecasts. Additionally, the influence of the initial position errors on the DA schemes and the capabilities of HGDA ensemble forecast systems should be further tested and analyzed, which could help us to better understand the dynamic processes limiting the predictability of the TC track, intensity, and structure.
Author Contributions
Conceptualization, X.X., Y.G. (Yan Gao) and Q.W.; Methodology, X.X., Y.G. (Yudong Gao), J.F. and Y.G. (Yan Gao); Software, X.X., Y.G. (Yudong Gao), J.F., J.S., Y.G. (Yan Gao) and Y.M.; Formal analysis, X.X.; Data curation, X.X., J.F., K.W. and Y.J.; Writing—original draft, X.X.; Writing—review and editing, X.X., Y.G. (Yan Gao) and Q.W.; Visualization, X.X. All authors have read and agreed to the published version of the manuscript.
Funding
This research was funded by the Sustainable Development Science and Technology Project of the Shenzhen Science and Technology Innovation Commission (KCXFZ20201221173610028), the Science and Technology Research Project of the Guangdong Provincial Meteorological Bureau (GRMC2021Q12) and the National Key R&D Program of China (2021YFC3000804).
Institutional Review Board Statement
Not applicable.
Informed Consent Statement
Not applicable.
Data Availability Statement
FY4A AMV data which was accessed on 1 August 2019 can be freely obtained from http://satellite.nsmc.org.cn/PortalSite/Data/DataView.aspx?currentculture=zh-CN. NCEP data which was accessed on 8 July 2015 can be downloaded from https://rda.ucar.edu/datasets/ds083.3/. Precipitation observations which were accessed on 1 June 2017 can be obtained from http://data.cma.cn/data/cdcindex/cid/f0fb4b55508804ca.html/. The simulation data presented in this study are available from the corresponding author upon request.
Acknowledgments
We thank the editors and two anonymous reviewers for their insightful and constructive comments and suggestions.
Conflicts of Interest
The authors declare no conflict of interest.
References
- Li, X.; Ming, J.; Xue, M.; Wang, Y.; Zhao, K. Implementation of a dynamic equation constraint based on the steady state momentum equations within the WRF hybrid ensemble-3DVar data assimilation system and test with radar T-TREC wind assimilation for tropical Cyclone Chanthu (2010). J. Geophys. Res. Atmos. 2015, 120, 4017–4039. [Google Scholar] [CrossRef]
- Yu, H.; Chen, L. Impact assessment of landfalling tropical cyclones: Introduction to the special issue. Front. Earth Sci. 2019, 13, 669–671. [Google Scholar] [CrossRef]
- Chen, J.H.; Lin, S.J.; Magnusson, L.; Bender, M.; Chen, X.; Zhou, L.; Xiang, B.; Rees, S.; Morin, M.; Harris, L. Advancements in hurricane prediction with NOAA’s next-generation forecast system. Geophys. Res. Lett. 2019, 46, 4495–4501. [Google Scholar] [CrossRef]
- Mohanty, U.; Nadimpalli, R.; Mohanty, S.; Osuri, K.K. Recent advancements in prediction of tropical cyclone track over north Indian Ocean basin. Mausam 2019, 70, 57–70. [Google Scholar] [CrossRef]
- Xue, M.; Schleif, J.; Kong, F.; Thomas, K.W.; Wang, Y.; Zhu, K. Track and intensity forecasting of hurricanes: Impact of convection-permitting resolution and global ensemble Kalman filter analysis on 2010 Atlantic season forecasts. Weather Forecast. 2013, 28, 1366–1384. [Google Scholar] [CrossRef]
- Osuri, K.K.; Mohanty, U.; Routray, A.; Mohapatra, M. The impact of satellite-derived wind data assimilation on track, intensity and structure of tropical cyclones over the North Indian Ocean. Int. J. Remote Sens. 2012, 33, 1627–1652. [Google Scholar] [CrossRef]
- Goni, G.; DeMaria, M.; Knaff, J.; Sampson, C.; Ginis, I.; Bringas, F.; Mavume, A.; Lauer, C.; Lin, I.-I.; Ali, M. Applications of satellite-derived ocean measurements to tropical cyclone intensity forecasting. Oceanography 2009, 22, 190–197. [Google Scholar] [CrossRef]
- Leroux, M.-D.; Wood, K.; Elsberry, R.L.; Cayanan, E.O.; Hendricks, E.; Kucas, M.; Otto, P.; Rogers, R.; Sampson, B.; Yu, Z. Recent advances in research and forecasting of tropical cyclone track, intensity, and structure at landfall. Trop. Cyclone Res. Rev. 2018, 7, 85–105. [Google Scholar] [CrossRef]
- Shu, A.; Xu, D.; Zhang, S.; Shen, F.; Zhang, X.; Song, L. Impacts of Multi-Source Microwave Satellite Radiance Data Assimilation on the Forecast of Typhoon Ampil. Atmosphere 2022, 13, 1427. [Google Scholar] [CrossRef]
- Christophersen, H.; Sippel, J.; Aksoy, A.; Baker, N.L. Recent advancements for tropical cyclone data assimilation. Ann. N. Y. Acad. Sci. 2022, 1517, 25–43. [Google Scholar] [CrossRef]
- Anthes, R.A. Data assimilation and initialization of hurricane prediction models. J. Atmos. Sci. 1974, 31, 702–719. [Google Scholar] [CrossRef]
- Lai, Z.; Peng, S. The Effect of Assimilating AMSU-A Radiance Data from Satellites and Large-Scale Flows from GFS on Improving Tropical Cyclone Track Forecast. Atmosphere 2022, 13, 1988. [Google Scholar] [CrossRef]
- Kleist, D.T.; Parrish, D.F.; Derber, J.C.; Treadon, R.; Wu, W.-S.; Lord, S. Introduction of the GSI into the NCEP global data assimilation system. Weather Forecast. 2009, 24, 1691–1705. [Google Scholar] [CrossRef]
- Li, Z.; Chao, Y.; McWilliams, J.C.; Ide, K. A three-dimensional variational data assimilation scheme for the regional ocean modeling system. J. Atmos. Ocean. Technol. 2008, 25, 2074–2090. [Google Scholar] [CrossRef]
- Parrish, D.F.; Derber, J.C. The National Meteorological Center’s spectral statistical-interpolation analysis system. Mon. Weather Rev. 1992, 120, 1747–1763. [Google Scholar] [CrossRef]
- Barker, D. Southern high-latitude ensemble data assimilation in the Antarctic Mesoscale Prediction System. Mon. Weather Rev. 2005, 133, 3431–3449. [Google Scholar] [CrossRef]
- Xu, D.; Min, J.; Shen, F.; Ban, J.; Chen, P. Assimilation of MWHS radiance data from the FY-3B satellite with the WRF Hybrid-3DVAR system for the forecasting of binary typhoons. J. Adv. Model. Earth Syst. 2016, 8, 1014–1028. [Google Scholar] [CrossRef]
- Chen, X.; Zhang, F. Development of a convection-permitting air-sea-coupled ensemble data assimilation system for tropical cyclone prediction. J. Adv. Model. Earth Syst. 2019, 11, 3474–3496. [Google Scholar] [CrossRef]
- Hamill, T.M.; Whitaker, J.S.; Kleist, D.T.; Fiorino, M.; Benjamin, S.G. Predictions of 2010’s tropical cyclones using the GFS and ensemble-based data assimilation methods. Mon. Weather Rev. 2011, 139, 3243–3247. [Google Scholar] [CrossRef]
- Hamill, T.M.; Snyder, C. A hybrid ensemble Kalman filter–3D variational analysis scheme. Mon. Weather Rev. 2000, 128, 2905–2919. [Google Scholar] [CrossRef]
- Ghil, M. Advances in Sequential Estimation for Atmospheric and Oceanic Flows (gtSpecial IssueltData Assimilation in Meteology and Oceanography: Theory and Practice). J. Meteorol. Soc. Jpn. Ser. II 1997, 75, 289–304. [Google Scholar] [CrossRef]
- Kepert, J.D. On ensemble representation of the observation-error covariance in the Ensemble Kalman Filter. Ocean. Dyn. 2004, 54, 561–569. [Google Scholar] [CrossRef]
- Liang, K.; Li, W.; Han, G.; Gong, Y.; Liu, S. Analytical Four-Dimensional Ensemble Variational Data Assimilation for Joint State and Parameter Estimation. Atmosphere 2022, 13, 993. [Google Scholar] [CrossRef]
- Davis, B.; Wang, X.; Lu, X. A comparison of HWRF six-hourly 4denvar and hourly 3denvar assimilation of inner core tail dopper radar observations for the prediction of hurricane edouard (2014). Atmosphere 2021, 12, 942. [Google Scholar] [CrossRef]
- Wang, X.; Parrish, D.; Kleist, D.; Whitaker, J. GSI 3DVar-based ensemble–variational hybrid data assimilation for NCEP Global Forecast System: Single-resolution experiments. Mon. Weather Rev. 2013, 141, 4098–4117. [Google Scholar] [CrossRef]
- Gao, J.; Xue, M.; Stensrud, D.J. The development of a hybrid EnKF-3DVAR algorithm for storm-scale data assimilation. Adv. Meteorol. 2013, 2013, 512656. [Google Scholar] [CrossRef]
- Penny, S.G. The hybrid local ensemble transform Kalman filter. Mon. Weather Rev. 2014, 142, 2139–2149. [Google Scholar] [CrossRef]
- Penny, S.G.; Behringer, D.W.; Carton, J.A.; Kalnay, E. A hybrid global ocean data assimilation system at NCEP. Mon. Weather Rev. 2015, 143, 4660–4677. [Google Scholar] [CrossRef]
- Wang, Y.; Min, J.; Chen, Y. Impact of the hybrid gain ensemble data assimilation on meso-scale numerical weather prediction over east China. Atmos. Res. 2018, 206, 30–45. [Google Scholar] [CrossRef]
- Houtekamer, P.L.; Buehner, M.; De La Chevrotière, M. Using the hybrid gain algorithm to sample data assimilation uncertainty. Quart. J. Roy. Meteorol. Soc. 2019, 145, 35–56. [Google Scholar] [CrossRef]
- Chang, C.-C.; Yang, S.-C.; Penny, S.G. A regional hybrid gain data assimilation system and preliminary evaluation based on Radio Occultation reflectivity assimilation. SOLA 2022, 18, 33–40. [Google Scholar] [CrossRef]
- Yang, E.-G.; Kim, H.M.; Kim, D.-H. Development of East Asia Regional Reanalysis based on advanced hybrid gain data assimilation method and evaluation with E3DVAR, ERA-5, and ERA-Interim reanalysis. Earth Syst. Sci. Data 2022, 14, 2109–2127. [Google Scholar] [CrossRef]
- Bonavita, M.; Hamrud, M.; Isaksen, L. EnKF and hybrid gain ensemble data assimilation. Part II: EnKF and hybrid gain results. Mon. Weather Rev. 2015, 143, 4865–4882. [Google Scholar] [CrossRef]
- Whitaker, J.S.; Shlyaeva, A.; Penny, S.G. A Comparison of Hybrid-Gain Versus Hybrid-Covariance Data Assimilation for Global NWP. J. Adv. Model. Earth Syst. 2022, 14, e2022MS003036. [Google Scholar] [CrossRef]
- Chang, C.-C.; Penny, S.G.; Yang, S.-C. Hybrid gain data assimilation using variational corrections in the subspace orthogonal to the ensemble. Mon. Weather Rev. 2020, 148, 2331–2350. [Google Scholar] [CrossRef]
- Penny, S.G. Mathematical foundations of hybrid data assimilation from a synchronization perspective. Chaos Interdiscip. J. Nonlinear Sci. 2017, 27, 126801. [Google Scholar] [CrossRef]
- Bonavita, M.; Hólm, E.; Isaksen, L.; Fisher, M. The evolution of the ECMWF hybrid data assimilation system. Q. J. R. Meteorol. Soc. 2016, 142, 287–303. [Google Scholar] [CrossRef]
- Zhang, R.; Shen, X. On the development of the GRAPES—A new generation of the national operational NWP system in China. Chin. Sci. Bull. 2008, 53, 3429–3432. [Google Scholar] [CrossRef]
- Zhang, L.; Liu, Y.; Liu, Y.; Gong, J.; Lu, H.; Jin, Z.; Tian, W.; Liu, G.; Zhou, B.; Zhao, B. The operational global four-dimensional variational data assimilation system at the China Meteorological Administration. Q. J. R. Meteorol. Soc. 2019, 145, 1882–1896. [Google Scholar] [CrossRef]
- Xue, J.; Zhuang, S.; Zhu, G.; Zhang, H.; Liu, Z.; Liu, Y.; Zhuang, Z. Scientific design and preliminary results of three-dimensional variational data assimilation system of GRAPES. Chin. Sci. Bull. 2008, 53, 3446–3457. [Google Scholar] [CrossRef]
- Chen, L.; Chen, J.; Xue, J.; Xia, Y. Development and testing of the GRAPES regional ensemble-3DVAR hybrid data assimilation system. J. Mar. Res. 2015, 29, 981–996. [Google Scholar] [CrossRef]
- Xia, Y.; Chen, J.; Zhi, X.; Chen, L.; Zhao, Y.; Liu, X. Impact of Model Bias Correction on a Hybrid Data Assimilation System. J. Mar. Res. 2020, 34, 400–412. [Google Scholar] [CrossRef]
- Zhu, S.; Wang, B.; Zhang, L.; Liu, J.; Liu, Y.; Gong, J.; Xu, S.; Wang, Y.; Huang, W.; Liu, L. A Four-Dimensional Ensemble-Variational (4DEnVar) Data Assimilation System Based on GRAPES-GFS: System Description and Primary Tests. J. Adv. Model. Earth Syst. 2022, 14, e2021MS002737. [Google Scholar] [CrossRef]
- Ma, Z.; Han, W.; Zhao, C.; Zhang, X.; Yang, Y.; Wang, H.; Cao, Y.; Li, Z.; Chen, J.; Jiang, Q. A case study of evaluating the GRAPES_Meso V5. 0 forecasting performance utilizing observations from South China Sea Experiment 2020 of the “Petrel Project”. Atmos. Res. 2022, 280, 106437. [Google Scholar] [CrossRef]
- Chen, D.; Xue, J.; Yang, X.; Zhang, H.; Shen, X.; Hu, J.; Wang, Y.; Ji, L.; Chen, J. New generation of multi-scale NWP system (GRAPES): General scientific design. Chin. Sci. Bull. 2008, 53, 3433–3445. [Google Scholar] [CrossRef]
- Mlawer, E.J.; Taubman, S.J.; Brown, P.D.; Iacono, M.J.; Clough, S.A. Radiative transfer for inhomogeneous atmospheres: RRTM, a validated correlated-k model for the longwave. J. Geophys. Res. Atmos. 1997, 102, 16663–16682. [Google Scholar] [CrossRef]
- Dudhia, J. A nonhydrostatic version of the Penn State–NCAR mesoscale model: Validation tests and simulation of an Atlantic cyclone and cold front. Mon. Weather Rev. 1993, 121, 1493–1513. [Google Scholar] [CrossRef]
- Chen, F.; Dudhia, J. Coupling an advanced land surface–hydrology model with the Penn State–NCAR MM5 modeling system. Part I: Model implementation and sensitivity. Mon. Weather Rev. 2001, 129, 569–585. [Google Scholar] [CrossRef]
- Hong, S.-Y.; Pan, H.-L. Nonlocal boundary layer vertical diffusion in a medium-range forecast model. Mon. Weather Rev. 1996, 124, 2322–2339. [Google Scholar] [CrossRef]
- Hong, S.-Y.; Dudhia, J.; Chen, S.-H. A revised approach to ice microphysical processes for the bulk parameterization of clouds and precipitation. Mon. Weather Rev. 2004, 132, 103–120. [Google Scholar] [CrossRef]
- Hunt, B.R.; Kostelich, E.J.; Szunyogh, I. Efficient data assimilation for spatiotemporal chaos: A local ensemble transform Kalman filter. Phys. D Nonlinear Phenom. 2007, 230, 112–126. [Google Scholar] [CrossRef]
- Torn, R.D.; Hakim, G.J.; Snyder, C. Boundary conditions for limited-area ensemble Kalman filters. Mon. Weather Rev. 2006, 134, 2490–2502. [Google Scholar] [CrossRef]
- Whitaker, J.S.; Hamill, T.M. Evaluating methods to account for system errors in ensemble data assimilation. Mon. Weather Rev. 2012, 140, 3078–3089. [Google Scholar] [CrossRef]
- Yang, J.; Zhang, Z.; Wei, C.; Lu, F.; Guo, Q. Introducing the new generation of Chinese geostationary weather satellites, Fengyun-4. Bull. Am. Meteorol. Soc. 2017, 98, 1637–1658. [Google Scholar] [CrossRef]
- Yiemwech, J.; Chen, Y.; Shen, J.; Wang, Y.; Alriah, M.A.A. Assessment of FY-2G, FY-4A, and Himawari-8 Atmospheric Motion Vectors over Southeast Asia and Their Assimilating Impact on the Forecasts of Tropical Cyclone PABUK. Remote Sens. 2022, 14, 4311. [Google Scholar] [CrossRef]
- Velden, C.S.; Hayden, C.M.; Nieman, S.J.W.; Paul Menzel, W.; Wanzong, S.; Goerss, J.S. Upper-tropospheric winds derived from geostationary satellite water vapor observations. Bull. Am. Meteorol. Soc. 1997, 78, 173–196. [Google Scholar] [CrossRef]
- Yang, L.; Wang, Z.; Chu, Y.; Zhao, H.; Tang, M. Water vapor motion signal extraction from FY-2E longwave infrared window images for cloud-free regions: The temporal difference technique. Adv. Atmos. Sci. 2014, 31, 1386–1394. [Google Scholar] [CrossRef]
- Liang, J.; Chen, K.; Xian, Z. Assessment of FY-2G Atmospheric Motion Vector Data and Assimilating Impacts on Typhoon Forecasts. Earth Space Sci. 2021, 8, e2020EA001628. [Google Scholar] [CrossRef]
- Chen, K.; Guan, P.; Han, W.; Chen, Y.; Zhu, J.; Li, J.; Zhang, P. The Impacts of Assimilating Fengyun-4A Atmospheric Motion Vectors on Typhoon Forecasts. Atmosphere 2023, 14, 375. [Google Scholar] [CrossRef]
- Xiang, C.; Wu, L.; Qin, N. Characteristics of extreme rainfall and rainbands evolution of Super Typhoon Lekima (2019) during its landfall. Front. Earth Sci. 2022, 16, 64–74. [Google Scholar] [CrossRef]
- Lei, L.; Ge, Y.; Tan, Z.-M.; Zhang, Y.; Chu, K.; Qiu, X.; Qian, Q. Evaluation of a Regional Ensemble Data Assimilation System for Typhoon Prediction. Adv. Atmos. Sci. 2022, 39, 1816–1832. [Google Scholar] [CrossRef]
- Zhang, F.; Weng, Y.; Sippel, J.A.; Meng, Z.; Bishop, C.H. Cloud-resolving hurricane initialization and prediction through assimilation of Doppler radar observations with an ensemble Kalman filter. Mon. Weather Rev. 2009, 137, 2105–2125. [Google Scholar] [CrossRef]
- Peng, S.; Li, Y.; Gu, X.; Chen, S.; Wang, D.; Wang, H.; Zhang, S.; Lv, W.; Wang, C.; Liu, B. A Real-Time Regional Forecasting System Established for the South China Sea and Its Performance in the Track Forecasts of Tropical Cyclones during 2011–2013. Weather Forecast. 2015, 30, 471–485. [Google Scholar] [CrossRef]
Disclaimer/Publisher’s Note: The statements, opinions and data contained in all publications are solely those of the individual author(s) and contributor(s) and not of MDPI and/or the editor(s). MDPI and/or the editor(s) disclaim responsibility for any injury to people or property resulting from any ideas, methods, instructions or products referred to in the content. |
© 2023 by the authors. Licensee MDPI, Basel, Switzerland. This article is an open access article distributed under the terms and conditions of the Creative Commons Attribution (CC BY) license (https://creativecommons.org/licenses/by/4.0/).











