Methane Emissions from a State-of-the-Art LNG-Powered Vessel
Abstract
1. Introduction
2. Materials and Methods
2.1. Ships, Engines, and Fuels
2.2. Emission Measurements
3. Results
3.1. Methane Emissions
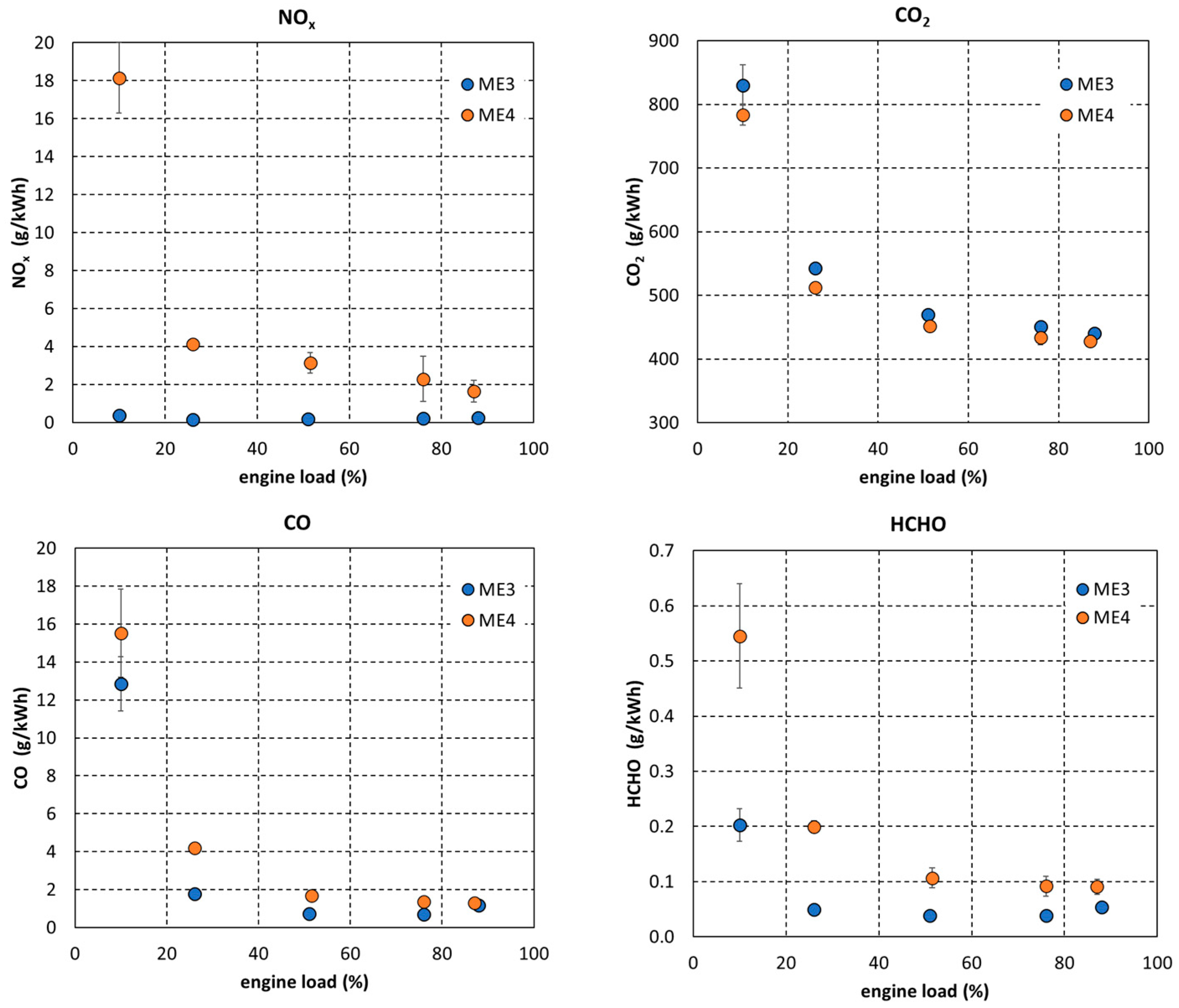
3.2. Other Gaseous Emissions
3.3. CO2 Equivalent
3.4. Particle Emissions
4. Discussion
4.1. Methane and Climate Impacts
4.2. Other Pollutants
Author Contributions
Funding
Institutional Review Board Statement
Informed Consent Statement
Data Availability Statement
Acknowledgments
Conflicts of Interest
References
- Kuittinen, N.; Heikkilä, M.; Lehtoranta, K. Review of Methane Slip from LNG Engines; GREEN RAY Project. Deliverable D1.1; GREEN RAY, EU: Brussels, Belgium, 2023.
- Plevrakis, G.; Koutsourakis, P.; Stamopoulos, S.; Sarvaiya, J.; Soultanias, I.; Vaidhyanathan, S.; Seward, N.; Shen, T.; Zhu, A.; Koliniati, R.; et al. Setting the Course to Low Carbon Shipping. Available online: https://safety4sea.com/setting-the-course-to-low-carbon-shipping-zero-carbon-outlook/ (accessed on 15 June 2022).
- Aakko-Saksa, P.T.; Lehtoranta, K.; Kuittinen, N.; Järvinen, A.; Jalkanen, J.P.; Johnson, K.; Jung, H.; Ntziachristos, L.; Gagné, S.; Takahashi, C.; et al. Reduction in Greenhouse Gas and Other Emissions from Ship Engines: Current Trends and Future Options. Prog. Energy Combust. Sci. 2023, 94, 101055. [Google Scholar] [CrossRef]
- Anderson, M.; Salo, K.; Fridell, E. Particle- and Gaseous Emissions from an LNG Powered Ship. Environ. Sci. Technol. 2015, 49, 12568–12575. [Google Scholar] [CrossRef] [PubMed]
- Peng, W.; Yang, J.; Corbin, J.; Trivanovic, U.; Lobo, P.; Kirchen, P.; Rogak, S.; Gagné, S.; Miller, J.W.; Cocker, D. Comprehensive Analysis of the Air Quality Impacts of Switching a Marine Vessel from Diesel Fuel to Natural Gas. Environ. Pollut. 2020, 266, 115404. [Google Scholar] [CrossRef] [PubMed]
- Lehtoranta, K.; Aakko-Saksa, P.; Murtonen, T.; Vesala, H.; Ntziachristos, L.; Rönkkö, T.; Karjalainen, P.; Kuittinen, N.; Timonen, H. Particulate Mass and Nonvolatile Particle Number Emissions from Marine Engines Using Low-Sulfur Fuels, Natural Gas, or Scrubbers. Environ. Sci. Technol. 2019, 53, 3315–3322. [Google Scholar] [CrossRef] [PubMed]
- Sommer, D.E.; Yeremi, M.; Son, J.; Corbin, J.C.; Gagné, S.; Lobo, P.; Miller, J.W.; Kirchen, P. Characterization and Reduction of In-Use CH 4 Emissions from a Dual Fuel Marine Engine Using Wavelength Modulation Spectroscopy. Environ. Sci. Technol. 2019, 53. [Google Scholar] [CrossRef]
- Ushakov, S.; Stenersen, D.; Einang, P.M. Methane Slip from Gas Fuelled Ships: A Comprehensive Summary Based on Measurement Data. J. Mar. Sci. Technol. 2019, 24, 1308–1325. [Google Scholar] [CrossRef]
- Corbin, J.C.; Peng, W.; Yang, J.; Sommer, D.E.; Trivanovic, U.; Kirchen, P.; Miller, J.W.; Rogak, S.; Cocker, D.R.; Smallwood, G.J.; et al. Characterization of Particulate Matter Emitted by a Marine Engine Operated with Liquefied Natural Gas and Diesel Fuels. Atmos. Environ. 2020, 220, 117030. [Google Scholar] [CrossRef]
- Balcombe, P.; Heggo, D.A.; Harrison, M. Total Methane and CO2 Emissions from Liquefied Natural Gas Carrier Ships: The First Primary Measurements. Environ. Sci. Technol. 2022, 56, 9632–9640. [Google Scholar] [CrossRef] [PubMed]
- IPCC. Climate Change 2022—Mitigation of Climate Change—Working Group III Contribution to the Sixth Assessment Report of the Intergovernmental Panel on Climate Change; IPCC: Geneva, Switzerland, 2022.
- Bond, T.C.; Doherty, S.J.; Fahey, D.W.; Forster, P.M.; Berntsen, T.; Deangelo, B.J.; Flanner, M.G.; Ghan, S.; Kärcher, B.; Koch, D.; et al. Bounding the Role of Black Carbon in the Climate System: A Scientific Assessment. J. Geophys. Res. Atmos. 2013, 118, 5380–5552. [Google Scholar] [CrossRef]
- Mitchell, C.E.; Olsen, D.B. Formaldehyde Formation in Large Bore Natural Gas Engines Part 1: Formation Mechanisms. J. Eng. Gas Turbine Power 2000, 122, 603–610. [Google Scholar] [CrossRef]
- Olsen, D.B.; Mitchell, C.E. Formaldehyde Formation in Large Bore Engines Part 2: Factors Affecting Measured CH2O. J. Eng. Gas Turbine Power 2000, 122, 611–616. [Google Scholar] [CrossRef]
- Lehtoranta, K.; Murtonen, T.; Vesala, H.; Koponen, P.; Karjalainen, P.; Ntziachristos, L.; Kuittinen, N.; Alanen, J.; Rönkkö, T.; Keskinen, J.; et al. Particle and Gaseous Emissions from a Dual-Fuel Marine Engine. In Proceedings of the 22nd International Transport and Air Pollution Conference, Zürich, Switzerland, 15–16 November 2017. [Google Scholar]
- Ntziachristos, L.; Saukko, E.; Rönkkö, T.; Lehtoranta, K.; Timonen, H.; Hillamo, R.; Keskinen, J. Impact of Sampling Conditions and Procedure on Particulate Matter Emissions from a Marine Diesel Engine. In Proceedings of the 28th CIMAC World Congress, Helsinki, Finland, 6–10 June 2016. [Google Scholar]
- Lehtoranta, K.; Aakko-Saksa, P.; Murtonen, T.; Vesala, H.; Kuittinen, N.; Rönkkö, T.; Ntziachristos, L.; Karjalainen, P.; Timonen, H.; Teinilä, K. Particle and Gaseous Emissions from Marine Engines Utilizing Various Fuels and Aftertreatment Systems. In Proceedings of the 29th CIMAC World Congress, Vancouver, DC, Canada, 10–14 June 2019. [Google Scholar]
- Alanen, J.; Isotalo, M.; Kuittinen, N.; Simonen, P.; Martikainen, S.; Kuuluvainen, H.; Honkanen, M.; Lehtoranta, K.; Nyyssönen, S.; Vesala, H.; et al. Physical Characteristics of Particle Emissions from a Medium Speed Ship Engine Fueled with Natural Gas and Low-Sulfur Liquid Fuels. Environ. Sci. Technol. 2020, 54, 5376–5384. [Google Scholar] [CrossRef] [PubMed]
- Kwon, H.-S.; Ryu, M.H.; Carlsten, C. Ultrafine Particles: Unique Physicochemical Properties Relevant to Health and Disease. Exp. Mol. Med. 2020, 52, 318–328. [Google Scholar] [CrossRef] [PubMed]
- Schraufnagel, D.E. The Health Effects of Ultrafine Particles. Schraufnagel Exp. Mol. Med. 2020, 52, 311–317. [Google Scholar] [CrossRef] [PubMed]
- Lindstad, E.; Eskeland, G.S.; Rialland, A.; Valland, A. Decarbonizing Maritime Transport: The Importance of Engine Technology and Regulations for LNG to Serve as a Transition Fuel. Sustainability 2020, 12, 8793. [Google Scholar] [CrossRef]





| LNG | |
|---|---|
| methane (mol-%) | 95.1 | 
| ethane (mol-%) | 4.1 | 
| propane (mol-%) | 0.6 | 
| nitrogen (mol-%) | 0.1 | 
| ibutane (mol-%) | 0.07 | 
| nbutane (mol-%) | 0.07 | 
| carbon dioxide (mol-%) | 0.00 | 
| density (kg/m3) | 0.75 | 
| MDO | |
|---|---|
| carbon (m-%) | 84.4 | 
| hydrogen (m-%) | 14.0 | 
| nitrogen (m-%) | 0.06 | 
| sulfur (m-%) | 0.01 | 
| density at 15 °C (kg/m3) | 877.4 | 
| viscosity at 80 °C (mm2/s) | 2.87 | 
| Disclaimer/Publisher’s Note: The statements, opinions and data contained in all publications are solely those of the individual author(s) and contributor(s) and not of MDPI and/or the editor(s). MDPI and/or the editor(s) disclaim responsibility for any injury to people or property resulting from any ideas, methods, instructions or products referred to in the content. | 
© 2023 by the authors. Licensee MDPI, Basel, Switzerland. This article is an open access article distributed under the terms and conditions of the Creative Commons Attribution (CC BY) license (https://creativecommons.org/licenses/by/4.0/).
Share and Cite
Lehtoranta, K.; Kuittinen, N.; Vesala, H.; Koponen, P. Methane Emissions from a State-of-the-Art LNG-Powered Vessel. Atmosphere 2023, 14, 825. https://doi.org/10.3390/atmos14050825
Lehtoranta K, Kuittinen N, Vesala H, Koponen P. Methane Emissions from a State-of-the-Art LNG-Powered Vessel. Atmosphere. 2023; 14(5):825. https://doi.org/10.3390/atmos14050825
Chicago/Turabian StyleLehtoranta, Kati, Niina Kuittinen, Hannu Vesala, and Päivi Koponen. 2023. "Methane Emissions from a State-of-the-Art LNG-Powered Vessel" Atmosphere 14, no. 5: 825. https://doi.org/10.3390/atmos14050825
APA StyleLehtoranta, K., Kuittinen, N., Vesala, H., & Koponen, P. (2023). Methane Emissions from a State-of-the-Art LNG-Powered Vessel. Atmosphere, 14(5), 825. https://doi.org/10.3390/atmos14050825
 
        






 
       