Outdoor Thermal Environment Regulation of Urban Green and Blue Infrastructure on Various Types of Pedestrian Walkways
Abstract
1. Introduction
2. Materials and Methods
2.1. Study Site and Mobile Measurements
2.2. Land Cover and Morphological Parameters
2.2.1. Coverage Ratios of Building, Greenery, and Water
2.2.2. Remotely Sensed Green and Blue Indices
2.2.3. Street-View Factors
2.3. Wet-Bulb Temperature
3. Results
3.1. Land Cover and Morphological Characteristics across the Routes
3.2. Spatial Distribution of Route-Suburban Temperature Difference (ΔTa) along the Routes
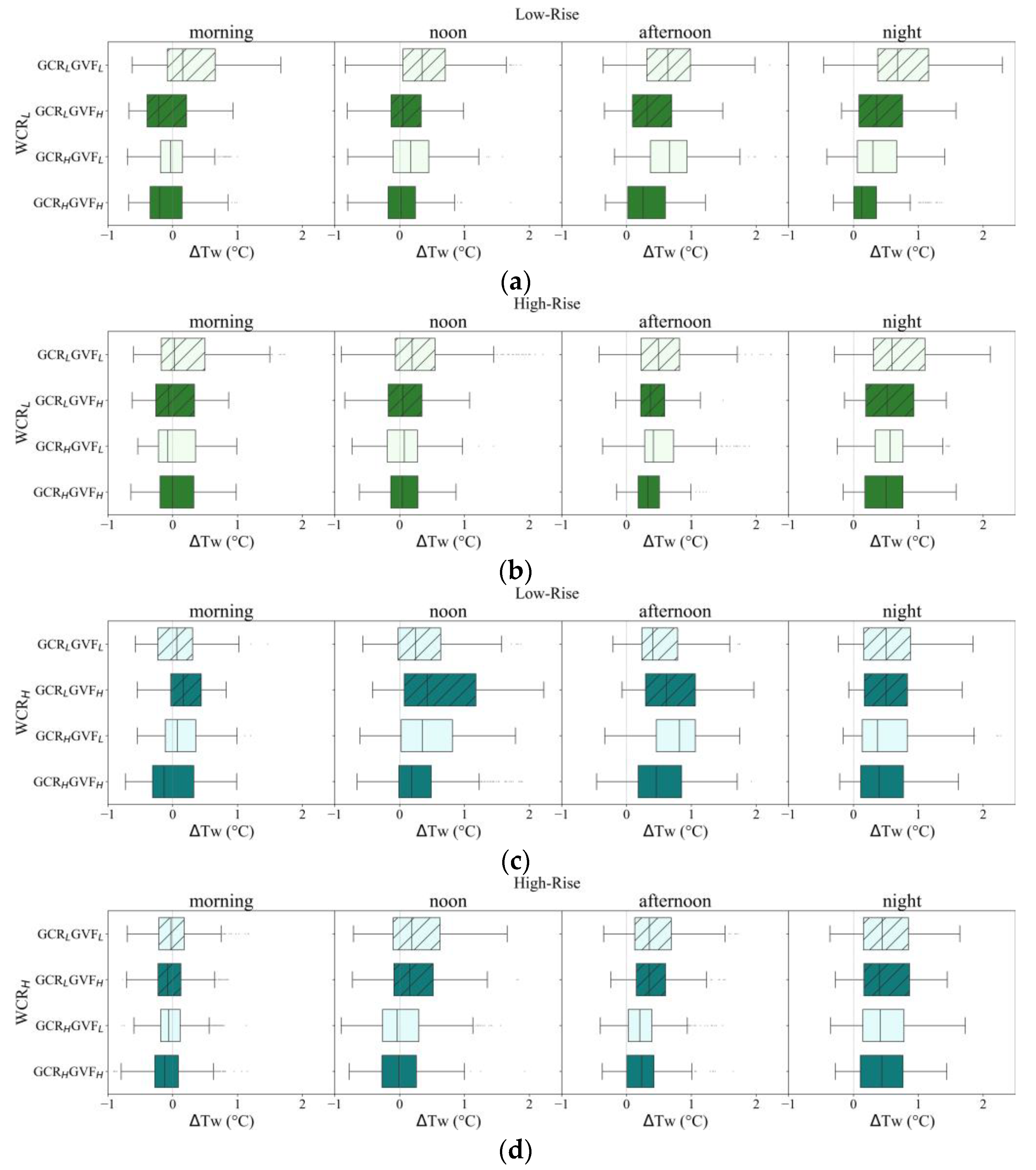
3.3. Spatial Distribution of Route-Suburban Temperature Difference (ΔTw) along the Routes
3.4. Influence of Land Cover and Morphological Parameters on the Microclimate
4. Discussion
4.1. Impacts of GBI on Air Temperature with Different Urban Morphology
4.2. Impacts of GBI on Wet Bulb Temperature with Different Urban Morphology
4.3. Influence of GI and BI under Different Sky Conditions
4.4. Limitations and Future Studies
5. Conclusions
Author Contributions
Funding
Institutional Review Board Statement
Informed Consent Statement
Data Availability Statement
Acknowledgments
Conflicts of Interest
Nomenclature
| BCR | Building coverage ratio |
| BI | Blue infrastructure |
| BVF | Building-view factor |
| CUHI | Canopy urban heat island |
| DistW | Distance to water bodies |
| FAR | Floor area ratio |
| GBI | Green and blue infrastructure |
| GCR | Greenery coverage ratio |
| GI | Green infrastructure |
| GIS | Geographic information system |
| GVF | Greenery-view factor |
| LCZ | Local climate zone |
| LST | Land surface temperature |
| LUR | Land-use regression |
| MeanH | Mean height of buildings |
| MIR | Mid-infrared spectral range |
| NDBI | Normalized difference built-up index |
| NDVI | Normalized difference vegetation index |
| NDWI | Normalized difference water index |
| NIR | Near-infrared spectral range |
| PCE | Park cooling effect |
| RH | Relative humidity |
| PCI | Park cooling island |
| SUHI | Surface urban heat island |
| SVF | Sky-view factor |
| SWIR | Shortwave infrared spectral range |
| Ta | Air temperature |
| Tw | Wet-bulb temperature |
| UCI | Urban cooling island |
| UHI | Urban heat island |
| WCR | Water coverage ratio |
References
- Sun, Z.; Chen, C.; Yan, M.; Shi, W.; Wang, J.; Ban, J.; Sun, Q.; He, M.Z.; Li, T. Heat Wave Characteristics, Mortality and Effect Modification by Temperature Zones: A Time-Series Study in 130 Counties of China. Int. J. Epidemiol. 2020, 49, 1813–1822. [Google Scholar] [CrossRef] [PubMed]
- Yang, J.; Yin, P.; Sun, J.; Wang, B.; Zhou, M.; Li, M.; Tong, S.; Meng, B.; Guo, Y.; Liu, Q. Heatwave and Mortality in 31 Major Chinese Cities: Definition, Vulnerability and Implications. Sci. Total Environ. 2019, 649, 695–702. [Google Scholar] [CrossRef] [PubMed]
- Burkart, K.; Meier, F.; Schneider, A.; Breitner, S.; Canário, P.; Alcoforado, M.J.; Scherer, D.; Endlicher, W. Modification of Heat-Related Mortality in an Elderly Urban Population by Vegetation (Urban Green) and Proximity to Water (Urban Blue): Evidence from Lisbon, Portugal. Environ. Health Perspect. 2016, 124, 927–934. [Google Scholar] [CrossRef] [PubMed]
- Chen, L.; Ng, E.; An, X.; Ren, C.; Lee, M.; Wang, U.; He, Z. Sky View Factor Analysis of Street Canyons and Its Implications for Daytime Intra-Urban Air Temperature Differentials in High-Rise, High-Density Urban Areas of Hong Kong: A GIS-Based Simulation Approach. Int. J. Climatol. 2012, 32, 121–136. [Google Scholar] [CrossRef]
- He, C.; Zhou, L.; Yao, Y.; Ma, W.; Kinney, P.L. Estimating Spatial Effects of Anthropogenic Heat Emissions upon the Urban Thermal Environment in an Urban Agglomeration Area in East China. Sustain. Cities Soc. 2020, 57, 102046. [Google Scholar] [CrossRef]
- Jiang, Z.; Cheng, H.; Zhang, P.; Kang, T. Influence of Urban Morphological Parameters on the Distribution and Diffusion of Air Pollutants: A Case Study in China. J. Environ. Sci. 2021, 105, 163–172. [Google Scholar] [CrossRef]
- Yuan, C.; Zhu, R.; Tong, S.; Mei, S.; Zhu, W. Impact of Anthropogenic Heat from Air-Conditioning on Air Temperature of Naturally Ventilated Apartments at High-Density Tropical Cities. Energy Build. 2022, 268, 112171. [Google Scholar] [CrossRef]
- Zhou, L.; Hu, F.; Wang, B.; Wei, C.; Sun, D.; Wang, S. Relationship between Urban Landscape Structure and Land Surface Temperature: Spatial Hierarchy and Interaction Effects. Sustain. Cities Soc. 2022, 80, 103795. [Google Scholar] [CrossRef]
- Gunawardena, K.R.; Wells, M.J.; Kershaw, T. Utilising Green and Bluespace to Mitigate Urban Heat Island Intensity. Sci. Total Environ. 2017, 584–585, 1040–1055. [Google Scholar] [CrossRef]
- Saaroni, H.; Amorim, J.H.; Hiemstra, J.A.; Pearlmutter, D. Urban Green Infrastructure as a Tool for Urban Heat Mitigation: Survey of Research Methodologies and Findings across Different Climatic Regions. Urban Clim. 2018, 24, 94–110. [Google Scholar] [CrossRef]
- Geng, X.; Yu, Z.; Zhang, D.; Li, C.; Yuan, Y.; Wang, X. The Influence of Local Background Climate on the Dominant Factors and Threshold-Size of the Cooling Effect of Urban Parks. Sci. Total Environ. 2022, 823, 153806. [Google Scholar] [CrossRef]
- Lu, J.; Li, Q.; Zeng, L.; Chen, J.; Liu, G.; Li, Y.; Li, W.; Huang, K. A Micro-Climatic Study on Cooling Effect of an Urban Park in a Hot and Humid Climate. Sustain. Cities Soc. 2017, 32, 513–522. [Google Scholar] [CrossRef]
- Park, J.; Kim, J.-H.; Lee, D.K.; Park, C.Y.; Jeong, S.G. The Influence of Small Green Space Type and Structure at the Street Level on Urban Heat Island Mitigation. Urban For. Urban Green. 2017, 21, 203–212. [Google Scholar] [CrossRef]
- Bowler, D.E.; Buyung-Ali, L.; Knight, T.M.; Pullin, A.S. Urban Greening to Cool Towns and Cities: A Systematic Review of the Empirical Evidence. Landsc. Urban Plan. 2010, 97, 147–155. [Google Scholar] [CrossRef]
- Skelhorn, C.; Lindley, S.; Levermore, G. The Impact of Vegetation Types on Air and Surface Temperatures in a Temperate City: A Fine Scale Assessment in Manchester, UK. Landsc. Urban Plan. 2014, 121, 129–140. [Google Scholar] [CrossRef]
- Vaz Monteiro, M.; Doick, K.J.; Handley, P.; Peace, A. The Impact of Greenspace Size on the Extent of Local Nocturnal Air Temperature Cooling in London. Urban For. Urban Green. 2016, 16, 160–169. [Google Scholar] [CrossRef]
- Lemoine-Rodríguez, R.; Inostroza, L.; Falfán, I.; MacGregor-Fors, I. Too Hot to Handle? On the Cooling Capacity of Urban Green Spaces in a Neotropical Mexican City. Urban For. Urban Green. 2022, 74, 127633. [Google Scholar] [CrossRef]
- Yu, Z.; Guo, X.; Jørgensen, G.; Vejre, H. How Can Urban Green Spaces Be Planned for Climate Adaptation in Subtropical Cities? Ecol. Indic. 2017, 82, 152–162. [Google Scholar] [CrossRef]
- He, C.; Zhou, L.; Yao, Y.; Ma, W.; Kinney, P.L. Cooling Effect of Urban Trees and Its Spatiotemporal Characteristics: A Comparative Study. Build. Environ. 2021, 204, 108103. [Google Scholar] [CrossRef]
- Doick, K.J.; Peace, A.; Hutchings, T.R. The Role of One Large Greenspace in Mitigating London’s Nocturnal Urban Heat Island. Sci. Total Environ. 2014, 493, 662–671. [Google Scholar] [CrossRef]
- Hathway, E.A.; Sharples, S. The Interaction of Rivers and Urban Form in Mitigating the Urban Heat Island Effect: A UK Case Study. Build. Environ. 2012, 58, 14–22. [Google Scholar] [CrossRef]
- Theeuwes, N.E.; Solcerová, A.; Steeneveld, G.J. Modeling the Influence of Open Water Surfaces on the Summertime Temperature and Thermal Comfort in the City. J. Geophys. Res. Atmos. 2013, 118, 8881–8896. [Google Scholar] [CrossRef]
- Sun, R.; Chen, L. How Can Urban Water Bodies Be Designed for Climate Adaptation? Landsc. Urban Plan. 2012, 105, 27–33. [Google Scholar] [CrossRef]
- Steeneveld, G.J.; Koopmans, S.; Heusinkveld, B.G.; Theeuwes, N.E. Refreshing the Role of Open Water Surfaces on Mitigating the Maximum Urban Heat Island Effect. Landsc. Urban Plan. 2014, 121, 92–96. [Google Scholar] [CrossRef]
- Du, H.; Cai, W.; Xu, Y.; Wang, Z.; Wang, Y.; Cai, Y. Quantifying the Cool Island Effects of Urban Green Spaces Using Remote Sensing Data. Urban For. Urban Green. 2017, 27, 24–31. [Google Scholar] [CrossRef]
- Stewart, I.D.; Oke, T.R. Local Climate Zones for Urban Temperature Studies. Bull. Am. Meteorol. Soc. 2012, 93, 1879–1900. [Google Scholar] [CrossRef]
- Pigliautile, I.; Pisello, A.L. A New Wearable Monitoring System for Investigating Pedestrians’ Environmental Conditions: Development of the Experimental Tool and Start-up Findings. Sci. Total Environ. 2018, 630, 690–706. [Google Scholar] [CrossRef] [PubMed]
- Cao, C.; Yang, Y.; Lu, Y.; Schultze, N.; Gu, P.; Zhou, Q.; Xu, J.; Lee, X. Performance Evaluation of a Smart Mobile Air Temperature and Humidity Sensor for Characterizing Intra-City Thermal Environment. J. Atmos. Ocean. Technol. 2020, 37, 1891–1905. [Google Scholar] [CrossRef]
- Ulpiani, G. On the Linkage between Urban Heat Island and Urban Pollution Island: Three-Decade Literature Review towards a Conceptual Framework. Sci. Total Environ. 2021, 751, 141727. [Google Scholar] [CrossRef]
- Kousis, I.; Manni, M.; Pisello, A.L. Environmental Mobile Monitoring of Urban Microclimates: A Review. Renew. Sustain. Energy Rev. 2022, 169, 112847. [Google Scholar] [CrossRef]
- Cassano, J.J. Weather Bike: A Bicycle-Based Weather Station for Observing Local Temperature Variations. Bull. Am. Meteorol. Soc. 2014, 95, 205–209. [Google Scholar] [CrossRef]
- Climate Bulletin of Guangzhou. Available online: http://www.tqyb.com.cn/gz/climaticprediction/bulletin/2022-03-10/9924.html (accessed on 1 June 2023).
- Shi, Y.; Xiang, Y.; Zhang, Y. Urban Design Factors Influencing Surface Urban Heat Island in the High-Density City of Guangzhou Based on the Local Climate Zone. Sensors 2019, 19, 3459. [Google Scholar] [CrossRef] [PubMed]
- Baidu Map Panorama. Available online: https://map.baidu.com/ (accessed on 3 June 2023).
- Shi, Y.; Lau, K.K.-L.; Ng, E. Developing Street-Level PM2.5 and PM10 Land Use Regression Models in High-Density Hong Kong with Urban Morphological Factors. Environ. Sci. Technol. 2016, 50, 8178–8187. [Google Scholar] [CrossRef] [PubMed]
- Qi, M.; Hankey, S. Using Street View Imagery to Predict Street-Level Particulate Air Pollution. Environ. Sci. Technol. 2021, 55, 2695–2704. [Google Scholar] [CrossRef]
- Zeng, L.; Hang, J.; Wang, X.; Shao, M. Influence of Urban Spatial and Socioeconomic Parameters on PM2.5 at Subdistrict Level: A Land Use Regression Study in Shenzhen, China. J. Environ. Sci. 2022, 114, 485–502. [Google Scholar] [CrossRef]
- Gong, F.-Y.; Zeng, Z.-C.; Ng, E.; Norford, L.K. Spatiotemporal Patterns of Street-Level Solar Radiation Estimated Using Google Street View in a High-Density Urban Environment. Build. Environ. 2019, 148, 547–566. [Google Scholar] [CrossRef]
- Liang, J.; Gong, J.; Sun, J.; Zhou, J.; Li, W.; Li, Y.; Liu, J.; Shen, S. Automatic Sky View Factor Estimation from Street View Photographs—A Big Data Approach. Remote Sens. 2017, 9, 411. [Google Scholar] [CrossRef]
- Brown, M.J.; Grimmond, S.; Ratti, C. Comparison of Methodologies for Computing Sky View Factor in Urban Environments. In Proceedings of the 2001 International Symposium on Environmental Hydraulics, Tempe, AZ, USA, 5–8 December 2001; p. 6. [Google Scholar]
- Johnson, G.T.; Watson, I.D. The Determination of View-Factors in Urban Canyons. J. Appl. Meteorol. Clim. 1984, 23, 329–335. [Google Scholar] [CrossRef]
- Watson, I.D.; Johnson, G.T. Graphical Estimation of Sky View-Factors in Urban Environments. J. Climatol. 1987, 7, 193–197. [Google Scholar] [CrossRef]
- Zeng, L.; Lu, J.; Li, W.; Li, Y. A Fast Approach for Large-Scale Sky View Factor Estimation Using Street View Images. Build. Environ. 2018, 135, 74–84. [Google Scholar] [CrossRef]
- Sherwood, S.C.; Huber, M. An Adaptability Limit to Climate Change Due to Heat Stress. Proc. Natl. Acad. Sci. USA 2010, 107, 9552–9555. [Google Scholar] [CrossRef]
- World Meteorological Organization. Guide to Meteorological Instruments and Methods of Observation: Preliminary Seventh Edition; Secretariat of the World Meteorological Organization: Geneva, Switzerland, 2006. [Google Scholar]
- Moratiel, R.; Soriano, B.; Centeno, A.; Spano, D.; Snyder, R.L. Wet-Bulb, Dew Point, and Air Temperature Trends in Spain. Theor. Appl. Climatol. 2017, 130, 419–434. [Google Scholar] [CrossRef]
- Chen, T.; Pan, H.; Lu, M.; Hang, J.; Lam, C.K.C.; Yuan, C.; Pearlmutter, D. Effects of Tree Plantings and Aspect Ratios on Pedestrian Visual and Thermal Comfort Using Scaled Outdoor Experiments. Sci. Total Environ. 2021, 801, 149527. [Google Scholar] [CrossRef]
- Jin, H.; Cui, P.; Wong, N.; Ignatius, M. Assessing the Effects of Urban Morphology Parameters on Microclimate in Singapore to Control the Urban Heat Island Effect. Sustainability 2018, 10, 206. [Google Scholar] [CrossRef]
- Probst, N.; Bach, P.M.; Cook, L.M.; Maurer, M.; Leitão, J.P. Blue Green Systems for Urban Heat Mitigation: Mechanisms, Effectiveness and Research Directions. Blue-Green Syst. 2022, 4, 348–376. [Google Scholar] [CrossRef]
- Park, C.Y.; Lee, D.K.; Asawa, T.; Murakami, A.; Kim, H.G.; Lee, M.K.; Lee, H.S. Influence of Urban Form on the Cooling Effect of a Small Urban River. Landsc. Urban Plan. 2019, 183, 26–35. [Google Scholar] [CrossRef]
- Jiang, L.; Liu, S.; Liu, L.; Liu, C. Revealing the Spatiotemporal Characteristics and Drivers of the Block-Scale Thermal Environment near a Large River: Evidences from Shanghai, China. Build. Environ. 2022, 226, 109728. [Google Scholar] [CrossRef]
- Hou, J.; Mao, H.; Li, J.; Sun, S. Spatial Simulation of the Ecological Processes of Stormwater for Sponge Cities. J. Environ. Manag. 2019, 232, 574–583. [Google Scholar] [CrossRef] [PubMed]
- Jacobs, C.; Klok, L.; Bruse, M.; Cortesão, J.; Lenzholzer, S.; Kluck, J. Are Urban Water Bodies Really Cooling? Urban Clim. 2020, 32, 100607. [Google Scholar] [CrossRef]
- Cao, X.; Onishi, A.; Chen, J.; Imura, H. Quantifying the Cool Island Intensity of Urban Parks Using ASTER and IKONOS Data. Landsc. Urban Plan. 2010, 96, 224–231. [Google Scholar] [CrossRef]
- Motazedian, A.; Coutts, A.M.; Tapper, N.J. The Microclimatic Interaction of a Small Urban Park in Central Melbourne with Its Surrounding Urban Environment during Heat Events. Urban For. Urban Green. 2020, 52, 126688. [Google Scholar] [CrossRef]













| Parameters | Instruments | Response Time | Accuracy | Range |
|---|---|---|---|---|
| Ta | Smart-T 1 | ~8 s | −0.01~0.23 °C | −40~60 °C |
| RH | −1.4~1.9% | 10~90% | ||
| Tastation | IRGASON | / | ±0.17 °C | −80~60 °C |
| RHstation | ±1.0% (0~90%) or ±1.7% (90~100%) | 0~100% |
| WCR | MeanH | GCR, GVF | Morning | Noon | Afternoon | Evening |
|---|---|---|---|---|---|---|
| Low | Low-rise | Low, low | / 1 | / 1 | / 1 | / 1 |
| Low, high | −0.52 | −0.45 | −0.50 | −0.53 | ||
| High, low | −0.61 | −0.46 | −0.27 | −0.42 | ||
| High, high | −0.63 | −0.75 | −0.76 | −0.69 | ||
| High-rise | Low, low | / 2 | / 2 | / 2 | / 2 | |
| Low, high | −0.13 | −0.20 | −0.28 | −0.13 | ||
| High, low | −0.04 | −0.20 | −0.17 | −0.07 | ||
| High, high | −0.14 | −0.27 | −0.43 | −0.18 | ||
| High | Low-rise | Low, low | −0.53 | −0.48 | −0.53 | −0.63 |
| Low, high | −0.44 | −0.35 | −0.34 | −0.68 | ||
| High, low | −0.66 | −0.49 | −0.29 | −0.72 | ||
| High, high | −0.73 | −0.66 | −0.72 | −0.78 | ||
| High-rise | Low, low | −0.29 | −0.17 | −0.35 | −0.46 | |
| Low, high | −0.21 | −0.24 | −0.39 | −0.36 | ||
| High, low | −0.27 | −0.59 | −0.69 | −0.62 | ||
| High, high | −0.35 | −0.58 | −0.64 | −0.54 |
| WCR | MeanH | GCR, GVF | Morning | Noon | Afternoon | Evening |
|---|---|---|---|---|---|---|
| Low | Low-rise | Low, low | / 1 | / 1 | / 1 | / 1 |
| Low, high | −0.37 | −0.30 | −0.32 | −0.32 | ||
| High, low | −0.19 | −0.17 | 0.03 | −0.38 | ||
| High, high | −0.36 | −0.33 | −0.38 | −0.55 | ||
| High-rise | Low, low | / 2 | / 2 | / 2 | / 2 | |
| Low, high | −0.09 | −0.14 | −0.12 | −0.07 | ||
| High, low | −0.10 | −0.12 | −0.08 | −0.03 | ||
| High, high | −0.03 | −0.15 | −0.16 | −0.09 | ||
| High | Low-rise | Low, low | −0.09 | −0.10 | −0.23 | −0.17 |
| Low, high | 0.01 | 0.08 | −0.02 | −0.18 | ||
| High, low | −0.08 | 0.00 | 0.18 | −0.31 | ||
| High, high | −0.29 | −0.16 | −0.18 | −0.29 | ||
| High-rise | Low, low | −0.06 | 0.00 | −0.14 | −0.15 | |
| Low, high | −0.11 | −0.03 | −0.14 | −0.19 | ||
| High, low | −0.09 | −0.23 | −0.29 | −0.18 | ||
| High, high | −0.15 | −0.20 | −0.26 | −0.15 |
Disclaimer/Publisher’s Note: The statements, opinions and data contained in all publications are solely those of the individual author(s) and contributor(s) and not of MDPI and/or the editor(s). MDPI and/or the editor(s) disclaim responsibility for any injury to people or property resulting from any ideas, methods, instructions or products referred to in the content. |
© 2023 by the authors. Licensee MDPI, Basel, Switzerland. This article is an open access article distributed under the terms and conditions of the Creative Commons Attribution (CC BY) license (https://creativecommons.org/licenses/by/4.0/).
Share and Cite
Pan, H.; Luo, Y.; Zeng, L.; Shi, Y.; Hang, J.; Zhang, X.; Hua, J.; Zhao, B.; Gu, Z.; Buccolieri, R. Outdoor Thermal Environment Regulation of Urban Green and Blue Infrastructure on Various Types of Pedestrian Walkways. Atmosphere 2023, 14, 1037. https://doi.org/10.3390/atmos14061037
Pan H, Luo Y, Zeng L, Shi Y, Hang J, Zhang X, Hua J, Zhao B, Gu Z, Buccolieri R. Outdoor Thermal Environment Regulation of Urban Green and Blue Infrastructure on Various Types of Pedestrian Walkways. Atmosphere. 2023; 14(6):1037. https://doi.org/10.3390/atmos14061037
Chicago/Turabian StylePan, Haonan, Yihan Luo, Liyue Zeng, Yurong Shi, Jian Hang, Xuelin Zhang, Jiajia Hua, Bo Zhao, Zhongli Gu, and Riccardo Buccolieri. 2023. "Outdoor Thermal Environment Regulation of Urban Green and Blue Infrastructure on Various Types of Pedestrian Walkways" Atmosphere 14, no. 6: 1037. https://doi.org/10.3390/atmos14061037
APA StylePan, H., Luo, Y., Zeng, L., Shi, Y., Hang, J., Zhang, X., Hua, J., Zhao, B., Gu, Z., & Buccolieri, R. (2023). Outdoor Thermal Environment Regulation of Urban Green and Blue Infrastructure on Various Types of Pedestrian Walkways. Atmosphere, 14(6), 1037. https://doi.org/10.3390/atmos14061037

