The Influence of Terrain Smoothing on Simulated Convective Boundary-Layer Depths in Mountainous Terrain
Abstract
1. Introduction
2. Numerical Model
2.1. Two-Year Output from WRF-4DWX
2.2. Data Selection for Two-Year Output
2.3. Quasi-Idealized Simulations
3. Methods
3.1. Aggregation Approach and Subgrid Terrain Properties
3.2. PBL Parameterization and CBL Top Derivation
3.3. Influence of Terrain Smoothing
4. Results and Interpretation
4.1. Sensitivity to PBL Parameterization
4.2. Sensitivity to Terrain Smoothing
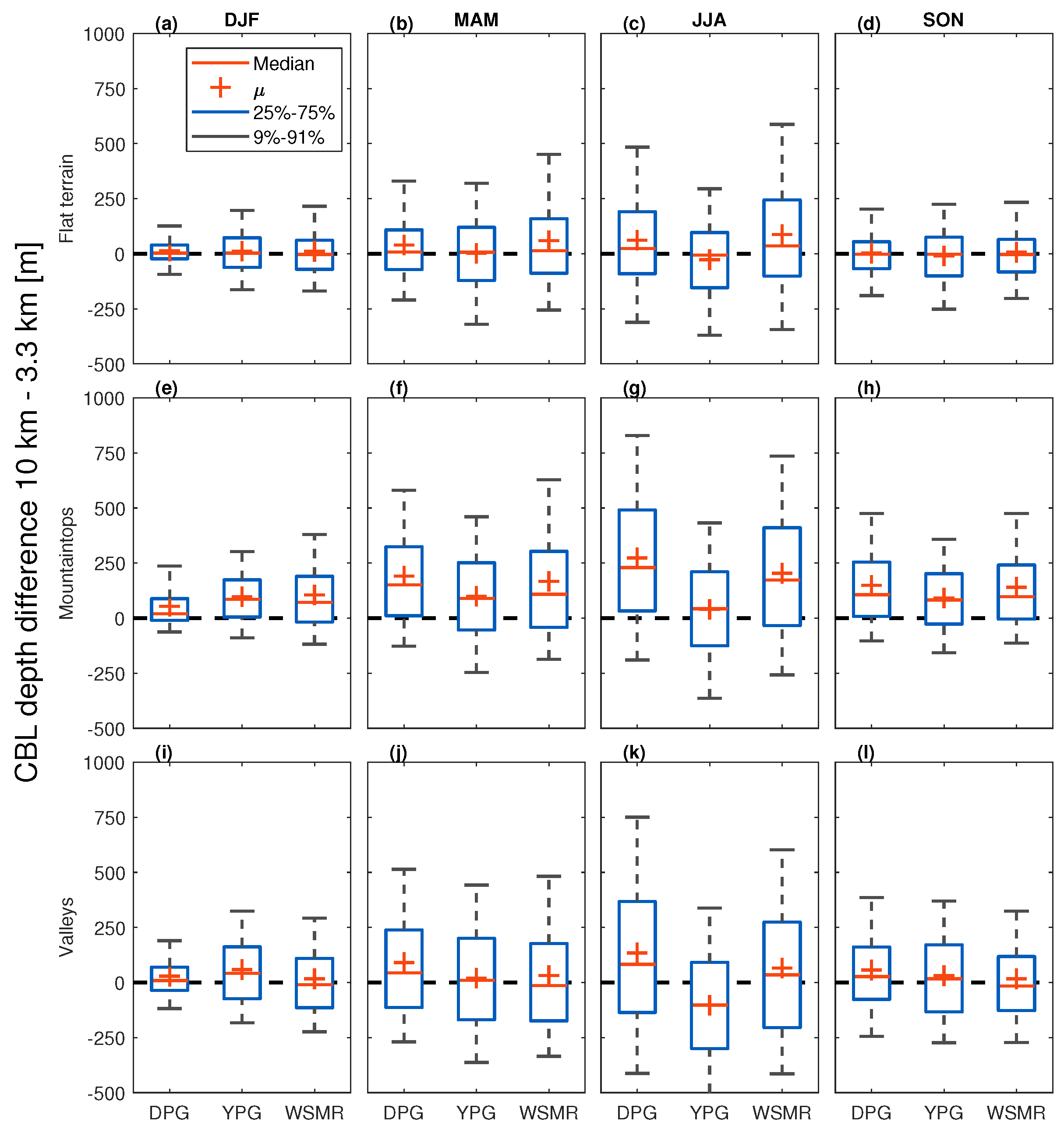
4.3. CBL Evolution in Three Study Areas
4.4. Sensitivity to Grid Spacing and Grid Spacing Ratios
4.5. CBL Depths, Heights, and Interpolation in Mountainous Terrain
5. Conclusions and Potential Implications
- PBL evaluation studies:Studies that use coarse domains (i.e., grid spacing on the order of several 10 s km) typically neglect analysis over mountainous terrain [32,33,37]. Ref. [32] showed that coarse models overestimate PBL depths when compared to observations (their Figure 8). Part of the overestimation in complex terrain can be directly attributed to the terrain smoothing on the coarse grid. PBL evaluation studies in situations with deep CBLs would clearly benefit from including subgrid terrain variability for improved estimates of CBL depths.
- Climate studies:Many climate studies use global circulation models to investigate future and past states of the climate. An example is the category of research that aims to correctly project the impact of anthropogenic forcing onto future climate. Models that are used for these studies typically have grid spacings on the order of 10 s of km. From our study, we conclude that such configurations might lead to artificially deep CBLs in mountainous terrain. Through feedback mechanisms in the boundary layer (e.g., enhanced entrainment through deeper CBLs), one could expect different projections for e.g., surface temperature as a consequence of deeper CBLs.
- Trace gas transport modeling: Coarse models, often used in inverse modeling for greenhouse gas (GHG) emission estimates, may present challenges when assimilating mountaintop GHG observations; therefore, such data are typically not incorporated [38,39,40]. However, an increasing number of GHG concentration observations are located at mountaintops [41,42,43,44,45]. Ref. [46] suggested to include mountaintop GHG concentration observations in atmospheric inversion models through assimilation in coarse models during the afternoon, rather than during the night [47]. A systemic overestimation of CBL depth in coarse models can potentially have serious consequences when GHG concentrations are assimilated in mountainous terrain. D17 found that, using a simplified boundary layer model, a difference of 10% in CBL depth would lead to a difference in CO2 CBL concentration of 1 ppm which can result in large differences in carbon emission estimates. Adjusting for elevation mismatches, as suggested by [46], is effective mainly in the afternoon when CBLs are highly convective. For shallow CBL scenarios (e.g., winter or early morning), this adjustment might actually result in even larger overestimates of the CBL depth, especially if the CBL follows small-scale terrain features in reality. Our findings underscore the importance of considering the time of day and year for GHG concentration assimilation, reinforcing the need for finer grid spacing in simulating atmospheric CO2 transport for more accurate simulation of CBL depth. Similarly, studies that investigate integrated water vapor transport (IWVT) to determine atmospheric moisture sources and sinks, rely on the PBL depth as the separation between the moister boundary layer and the drier, free atmosphere in a similar way as in inverse modeling approaches. These studies use grid spacing of 10 km or higher [48,49]. Unlike inverse modeling approaches, IWVT studies deal with active tracers, thereby complicating the significance of the PBL depth signal in the final outcome, as surface water vapor concentration has less correlation with the PBL depth, for instance.
- Air pollution studies: A realistic CBL depth is important to air pollution studies for two main reasons: first, pollutant concentrations are fairly well-mixed within the CBL, and therefore, inversely related to the depth of the CBL. A CBL that is too deep—as expected in coarse-grid models in mountainous terrain—would lead to an underestimation of critical values for pollutant concentration. Second, misplacing the entrainment zone too high might introduce different background air into the CBL, introducing a bias in air pollutant concentration. This, in turn, could lead to different estimates of pollutant concentrations when atmospheric stability is high, for example at night. The degree to which different CBL depths play a role in calculating pollutant concentration as a consequence of terrain smoothing has yet to be determined. Nevertheless, a 10% difference in CBL depth could lead to large errors in pollution concentrations in the PBL, either below or above a certain threshold value for air pollution warnings.
- Planning and executing prescribed burns: Predicting the behavior of intentionally ignited fires and the smoke they release depends on several factors, including the CBL depth. We have shown that coarse models often simulate larger CBL depths compared to finer models. Since larger CBL depths generally create more favorable conditions for prescribed burning, relying on a coarse model for CBL depth in complex terrain could incorrectly indicate acceptable conditions. Thus, models that excessively smooth terrain are unsuitable for accurate decision-making in this context.
- Orographic precipitation studies: One result of our study is that coarse models tend to unrealistically advance the morning heating of the boundary layer. Ref. [50] showed from observations that this advanced heating enhances convective initiation, which in turn could lead to premature cloud formation, precipitation, and thunderstorm development in mountainous terrain when coarse-grid models are used. Other processes affected by grid spacing include stability [51] and mechanical and thermal forcings [52]. Whether early convective initiation due to coarser grid spacing affects cloud evolution and precipitation characteristics, has yet to be determined.
Supplementary Materials
Author Contributions
Funding
Institutional Review Board Statement
Informed Consent Statement
Data Availability Statement
Conflicts of Interest
Abbreviations
| 4DWX | Four-Dimensional Weather System |
| ACM2 | Asymmetrical Convective Model version 2 |
| AGL | above ground level |
| CBL | Convective Boundary Layer |
| D17 | Duine and De Wekker (2017) |
| DPG | Dugway Proving Ground |
| GHG | Greenhouse Gas |
| IWVT | Integrated Water Vapor Transport |
| MST | Mountain Standard Time |
| MYJ | Mellor–Yamada–Janic |
| MYNN2.5 | Mellory-Yamada-Nakanishi-Niino Level 2.5 |
| PBL | Planetary Boundary Layer |
| QNSE | Quasi-Normal Scale Elimination |
| TKE | Turbulent Kinetic Energy |
| USGS | United States Geological Survey |
| YPG | Yuma Proving Ground |
| YSU | Yonsei University |
| WRF | Weather Research and Forecasting model |
| WSMR | White Sands Missile Range |
Appendix A. Sensitivity to CBL Derivation Method and Vertical Resolution

References
- García-Díez, M.; Fernández, J.; Fita, L.; Yagüe, C. Seasonal dependence of WRF model biases and sensitivity to PBL schemes over Europe. Q. J. Roy. Meteor. Soc. 2013, 139, 501–514. [Google Scholar] [CrossRef]
- Cohen, A.E.; Cavallo, S.M.; Coniglio, M.C.; Brooks, H.E. A review of planetary boundary layer parameterization schemes and their sensitivity in simulating southeastern US cold season severe weather environments. Weather Forecast 2015, 30, 591–612. [Google Scholar] [CrossRef]
- Kalverla, P.; Duine, G.J.; Steeneveld, G.J.; Hedde, T. Evaluation of the Weather Research and Forecasting model for contrasting diurnal cycles in the Durance Valley complex terrain during the KASCADE field campaign. J. Appl. Meteorol. Clim. 2016, 55, 861–882. [Google Scholar] [CrossRef]
- Duine, G.J.; Jones, C.; Carvalho, L.M.; Fovell, R.G. Simulating Sundowner Winds in Coastal Santa Barbara: Model Validation and Sensitivity. Atmosphere 2019, 10, 155. [Google Scholar] [CrossRef]
- LeMone, M.A.; Tewari, M.; Chen, F.; Dudhia, J. Objectively determined fair-weather CBL depths in the ARW-WRF model and their comparison to CASES-97 observations. Mon. Weather Rev. 2013, 141, 30–54. [Google Scholar] [CrossRef]
- Duine, G.J.; De Wekker, S. The effects of horizontal grid spacing on simulated daytime boundary layer depths in an area of complex terrain in Utah. Environ. Fluid Mech. 2020, 20, 1313–1331. [Google Scholar] [CrossRef]
- Skamarock, W.C.; Klemp, J.B. A time-split nonhydrostatic atmospheric model for weather research and forecasting applications. J. Comput. Phys. 2008, 227, 3465–3485. [Google Scholar] [CrossRef]
- Davis, C.; Warner, T.; Astling, E.; Bowers, J. Development and application of an operational, relocatable, mesogamma-scale weather analysis and forecasting system. Tellus A 1999, 51, 710–727. [Google Scholar] [CrossRef]
- Liu, Y.; Warner, T.T.; Bowers, J.F.; Carson, L.P.; Chen, F.; Clough, C.A.; Davis, C.A.; Egeland, C.H.; Halvorson, S.F.; Huck, T.W., Jr.; et al. The operational mesogamma-scale analysis and forecast system of the US Army Test and Evaluation Command. Part I: Overview of the modeling system, the forecast products, and how the products are used. J. Appl. Meteorol. Climatol. 2008, 47, 1077–1092. [Google Scholar] [CrossRef]
- Kottek, M.; Grieser, J.; Beck, C.; Rudolf, B.; Rubel, F. World map of the Köppen-Geiger climate classification updated. Meteorol. Z. 2006, 15, 259–263. [Google Scholar] [CrossRef]
- Hong, S.Y.; Noh, Y.; Dudhia, J. A new vertical diffusion package with an explicit treatment of entrainment processes. Mon. Weather Rev. 2006, 134, 2318–2341. [Google Scholar] [CrossRef]
- Chen, F.; Dudhia, J. Coupling an advanced land surface-hydrology model with the Penn State-NCAR MM5 modeling system. Part I: Model implementation and sensitivity. Mon. Weather Rev. 2001, 129, 569–585. [Google Scholar] [CrossRef]
- Janjić, Z.I. Nonsingular implementation of the Mellor–Yamada level 2.5 scheme in the NCEP Meso model. NCEP Off. Note 2002, 437, 61. [Google Scholar]
- Dudhia, J. Numerical study of convection observed during the winter monsoon experiment using a mesoscale two-dimensional model. J. Atmos. Sci. 1989, 46, 3077–3107. [Google Scholar] [CrossRef]
- Mlawer, E.J.; Taubman, S.J.; Brown, P.D.; Iacono, M.J.; Clough, S.A. Radiative transfer for inhomogeneous atmospheres: RRTM, a validated correlated-k model for the longwave. J. Geophys. Res.-Atmos. 1997, 102, 16663–16682. [Google Scholar] [CrossRef]
- Kain, J.S. The Kain–Fritsch convective parameterization: An update. J. Appl. Meteorol. 2004, 43, 170–181. [Google Scholar] [CrossRef]
- Thompson, G.; Rasmussen, R.M.; Manning, K. Explicit forecasts of winter precipitation using an improved bulk microphysics scheme. Part I: Description and sensitivity analysis. Mon. Weather Rev. 2004, 132, 519–542. [Google Scholar] [CrossRef]
- Kalthoff, N.; Binder, H.J.; Kossmann, M.; Vögtlin, R.; Corsmeier, U.; Fiedler, F.; Schlager, H. Temporal evolution and spatial variation of the boundary layer over complex terrain. Atmos. Environ. 1998, 32, 1179–1194. [Google Scholar] [CrossRef]
- De Wekker, S.F.; Kossmann, M. Convective boundary layer heights over mountainous terrain—A review of concepts. Front. Earth Sci. 2015, 3, 77. [Google Scholar] [CrossRef]
- Pleim, J.E. A combined local and nonlocal closure model for the atmospheric boundary layer. Part I: Model description and testing. J. Appl. Meteorol. Clim. 2007, 46, 1383–1395. [Google Scholar] [CrossRef]
- Mellor, G.L.; Yamada, T. Development of a turbulence closure model for geophysical fluid problems. Rev. Geophys. 1982, 20, 851–875. [Google Scholar] [CrossRef]
- Nakanishi, M.; Niino, H. An improved Mellor–Yamada level-3 model: Its numerical stability and application to a regional prediction of advection fog. Bound.-Lay. Meteorol. 2006, 119, 397–407. [Google Scholar] [CrossRef]
- Sukoriansky, S.; Galperin, B.; Perov, V. Application of a new spectral theory of stably stratified turbulence to the atmospheric boundary layer over sea ice. Bound.-Lay. Meteorol. 2005, 117, 231–257. [Google Scholar] [CrossRef]
- Kleczek, M.A.; Steeneveld, G.J.; Holtslag, A.A. Evaluation of the weather research and forecasting mesoscale model for GABLS3: Impact of boundary-layer schemes, boundary conditions and spin-up. Bound.-Lay. Meteorol. 2014, 152, 213–243. [Google Scholar] [CrossRef]
- Beljaars, A. The parametrization of surface fluxes in large-scale models under free convection. Q. J. Roy. Meteor. Soc. 1995, 121, 255–270. [Google Scholar]
- Janjic, Z.I. The step-mountain eta coordinate model: Further developments of the convection, viscous sublayer, and turbulence closure schemes. Mon. Weather Rev. 1994, 122, 927–945. [Google Scholar] [CrossRef]
- Pleim, J.E. A simple, efficient solution of flux-profile relationships in the atmospheric surface layer. J. Appl. Meteorol. Clim. 2006, 45, 341–347. [Google Scholar] [CrossRef]
- Vogelezang, D.; Holtslag, A. Evaluation and model impacts of alternative boundary-layer height formulations. Bound.-Lay. Meteorol. 1996, 81, 245–269. [Google Scholar] [CrossRef]
- Stull, R.B. An Introduction to Boundary Layer Meteorology; Kluwer Academic Publishers: Dordrecht, The Netherlands, 1988; 666p. [Google Scholar]
- Nielsen-Gammon, J.W.; Powell, C.L.; Mahoney, M.J.; Angevine, W.M.; Senff, C.; White, A.; Berkowitz, C.; Doran, C.; Knupp, K. Multisensor estimation of mixing heights over a coastal city. J. Appl. Meteorol. Clim. 2008, 47, 27–43. [Google Scholar] [CrossRef]
- Seibert, P.; Beyrich, F.; Gryning, S.E.; Joffre, S.; Rasmussen, A.; Tercier, P. Review and intercomparison of operational methods for the determination of the mixing height. Atmos. Environ. 2000, 34, 1001–1027. [Google Scholar] [CrossRef]
- Seidel, D.J.; Zhang, Y.; Beljaars, A.; Golaz, J.C.; Jacobson, A.R.; Medeiros, B. Climatology of the planetary boundary layer over the continental United States and Europe. J. Geophys. Res.-Atmos. 2012, 117, D17106. [Google Scholar] [CrossRef]
- Koffi, E.; Bergamaschi, P.; Karstens, U.; Krol, M.; Segers, A.; Schmidt, M.; Levin, I.; Vermeulen, A.; Fisher, R.; Kazan, V.; et al. Evaluation of the boundary layer dynamics of the TM5 model over Europe. Geosci. Model Dev. 2016, 9, 3137. [Google Scholar] [CrossRef]
- Wagner, J.S.; Gohm, A.; Rotach, M.W. The impact of horizontal model grid resolution on the boundary layer structure over an idealized valley. Mon. Weather Rev. 2014, 142, 3446–3465. [Google Scholar] [CrossRef]
- Bright, D.R.; Mullen, S.L. The sensitivity of the numerical simulation of the southwest monsoon boundary layer to the choice of PBL turbulence parameterization in MM5. Weather Forecast 2002, 17, 99–114. [Google Scholar] [CrossRef]
- Holzworth, G.C. Estimates of mean maximum mixing depths in the contiguous United States. Mon. Weather Rev. 1964, 92, 235–242. [Google Scholar] [CrossRef]
- Davy, R. The Climatology of the Atmospheric Boundary Layer in Contemporary Global Climate Models. J. Climate 2018, 31, 9151–9173. [Google Scholar] [CrossRef]
- Rödenbeck, C. Estimating CO2 Sources and Sinks from Atmospheric Mixing Ratio Measurements Using a Global Inversion of Atmospheric Transport; MPI-BGC: Jena, Germany, 2005; 53p. [Google Scholar]
- Geels, C.; Gloor, M.; Ciais, P.; Bousquet, P.; Peylin, P.; Vermeulen, A.; Dargaville, R.; Aalto, T.; Brandt, J.; Christensen, J.; et al. Comparing atmospheric transport models for future regional inversions over Europe–Part 1: Mapping the atmospheric CO2 signals. Atmos. Chem. Phys. 2007, 7, 3461–3479. [Google Scholar] [CrossRef]
- Peters, W.; Krol, M.; Van Der Werf, G.; Houweling, S.; Jones, C.; Hughes, J.; Schaefer, K.; Masarie, K.; Jacobson, A.; Miller, J.; et al. Seven years of recent European net terrestrial carbon dioxide exchange constrained by atmospheric observations. Glob. Chang. Biol. 2010, 16, 1317–1337. [Google Scholar] [CrossRef]
- Keeling, C.D.; Bacastow, R.B.; Bainbridge, A.E.; Ekdahl, C.A., Jr.; Guenther, P.R.; Waterman, L.S.; Chin, J.F. Atmospheric carbon dioxide variations at Mauna Loa observatory, Hawaii. Tellus 1976, 28, 538–551. [Google Scholar] [CrossRef]
- Forrer, J.; Rüttimann, R.; Schneiter, D.; Fischer, A.; Buchmann, B.; Hofer, P. Variability of trace gases at the high-Alpine site Jungfraujoch caused by meteorological transport processes. J. Geophys. Res-Atmos. 2000, 105, 12241–12251. [Google Scholar] [CrossRef]
- De Wekker, S.F.; Ameen, A.; Song, G.; Stephens, B.B.; Hallar, A.G.; McCubbin, I.B. A preliminary investigation of boundary layer effects on daytime atmospheric CO2 concentrations at a mountaintop location in the Rocky Mountains. Acta Geophys. 2009, 57, 904–922. [Google Scholar] [CrossRef]
- Lee, T.R.; De Wekker, S.F.; Pal, S.; Andrews, A.E.; Kofler, J. Meteorological controls on the diurnal variability of carbon monoxide mixing ratio at a mountaintop monitoring site in the Appalachian Mountains. Tellus B Chem. Phys. Meteorol. 2015, 67, 25659. [Google Scholar] [CrossRef]
- Zhu, C.S.; Cao, J.J.; Xu, B.Q.; Huang, R.J.; Wang, P.; Ho, K.F.; Shen, Z.X.; Liu, S.X.; Han, Y.M.; Tie, X.X.; et al. Black carbon aerosols at Mt. Muztagh Ata, a high-altitude location in the western Tibetan Plateau. Aerosol Air Qual. Res 2016, 16, 752–763. [Google Scholar] [CrossRef]
- Lin, J.C.; Mallia, D.V.; Wu, D.; Stephens, B.B. How can mountaintop CO2 observations be used to constrain regional carbon fluxes? Atmos. Chem. Phys. 2017, 17, 5561–5581. [Google Scholar] [CrossRef]
- Peters, W.; Jacobson, A.R.; Sweeney, C.; Andrews, A.E.; Conway, T.J.; Masarie, K.; Miller, J.B.; Bruhwiler, L.M.; Pétron, G.; Hirsch, A.I.; et al. An atmospheric perspective on North American carbon dioxide exchange: CarbonTracker. Proc. Natl. Acad. Sci. USA 2007, 104, 18925–18930. [Google Scholar] [CrossRef]
- Yang, Z.; Dominguez, F. Investigating land surface effects on the moisture transport over South America with a moisture tagging model. J. Clim. 2019, 32, 6627–6644. [Google Scholar] [CrossRef]
- Insua-Costa, D.; Miguez-Macho, G. A new moisture tagging capability in the Weather Research and Forecasting model: Formulation, validation and application to the 2014 Great Lake-effect snowstorm. Earth Syst. Dynam. 2018, 9, 167–185. [Google Scholar] [CrossRef]
- Henkes, A.; Fisch, G.; Toledo Machado, L.A.; Chaboureau, J.P. Morning boundary layer conditions for shallow to deep convective cloud evolution during the dry season in the central Amazon. Atmos. Chem. Phys. Discuss. 2021, 2021, 1–29. [Google Scholar] [CrossRef]
- Kirshbaum, D.J.; Adler, B.; Kalthoff, N.; Barthlott, C.; Serafin, S. Moist orographic convection: Physical mechanisms and links to surface-exchange processes. Atmosphere 2018, 9, 80. [Google Scholar] [CrossRef]
- Göbel, M.; Serafin, S.; Rotach, M.W. Adverse impact of terrain steepness on thermally-driven initiation of orographic convection. Weather Clim. Dyn. 2023, 2023, 1–28. [Google Scholar] [CrossRef]
- Daniels, M.H.; Lundquist, K.A.; Mirocha, J.D.; Wiersema, D.J.; Chow, F.K. A new vertical grid nesting capability in the Weather Research and Forecasting (WRF) Model. Mon. Weather Rev. 2016, 144, 3725–3747. [Google Scholar] [CrossRef]













| Grid Spacing [km] | Number of Grid Cells | ||
|---|---|---|---|
| DPG | YPG | WSMR | |
| 30 | 97 × 83 | 97 × 83 | 97 × 83 |
| 10 | 75 × 75 | 114 × 105 | 114 × 105 |
| 3.3 | 78 × 78 | 105 × 105 | 105 × 105 |
| DPG | DPG | DPG | YPG | YPG | YPG | WSMR | WMSR | WSMR | |
|---|---|---|---|---|---|---|---|---|---|
| 10–3.3 km | 30–10 km | 30–3.3 km | 10–3.3 km | 30–10 km | 30–3.3 km | 10–3.3 km | 30–10 km | 30–3.3 km | |
| DJF | 84 | 45 | 76 | 134 | 67 | 135 | 123 | 69 | 129 |
| MAM | 78 | 52 | 88 | 139 | 39 | 144 | 95 | 20 | 115 |
| JJA | 61 | 97 | 84 | 83 | 8 | 105 | 21 | 39 | 39 |
| SON | 97 | 93 | 104 | 145 | 61 | 151 | 102 | 76 | 113 |
| Area | DPG | DPG | DPG | YPG | YPG | YPG | WSMR | WSMR | WSMR | |
|---|---|---|---|---|---|---|---|---|---|---|
| Coarse-Fine | ||||||||||
| Domain [km] | 10–3.3 | 30–10 | 30–3.3 | 10–3.3 | 30–10 | 30–3.3 | 10–3.3 | 30–10 | 30–3.3 | |
| Terrain type | [m] | Number of aggregated grid points | ||||||||
| Mountaintop | −40 | 53 | 87 | 22 | 44 | 137 | 37 | 47 | 112 | 25 |
| Slopes (around mountains) | −40 −10 | 91 | 81 | 2 | 147 | 165 | 4 | 122 | 186 | 15 |
| Flat | −10 10 | 318 | 207 | 8 | 829 | 618 | 17 | 864 | 661 | 19 |
| Slopes (around valleys) | 10 40 | 186 | 140 | 6 | 192 | 255 | 25 | 170 | 257 | 29 |
| Valley | 40 | 28 | 110 | 26 | 13 | 155 | 38 | 22 | 114 | 33 |
| Total cells | 676 | 625 | 64 | 1225 | 1330 | 121 | 1225 | 1330 | 121 | |
| Mean terrain elevation difference coarse—fine [m] | ||||||||||
| Mountaintop | −40 | −114.2 | −88.4 | −41.4 | −82.2 | −92.3 | −21.6 | −83.2 | −92.1 | −69.2 |
| Slopes (around mountains) | −40 −10 | −13.2 | −8.0 | 40.0 | −24.1 | −11.0 | −20.1 | −24.1 | −16.4 | 11.3 |
| Flat | −10 10 | 3.6 | 2.3 | 10.5 | 3.8 | −0.1 | −6.1 | 1.2 | 0.1 | 10.6 |
| Slopes (around valleys) | 10 40 | 26.1 | 13.4 | −25.8 | 18.8 | 22.7 | 5.8 | 26.6 | 23.5 | 9.3 |
| Valley | 40 | 51.3 | 48.5 | 38.9 | 40.9 | 65.1 | 19.4 | 45.5 | 68.9 | 25.6 |
| PBL Scheme | Surface-Layer Scheme |
|---|---|
| YSU | MM5 [25] |
| MYJ | Eta [26] |
| QNSE | QNSE |
| MYNN2.5 | MYNN |
| ACM2 | Pleim-Xiu [27] |
| Research Focus | Area | Domains Compared [km] | Period or Date |
|---|---|---|---|
| PBL parameterization (Section 4.1) | DPG | 30–10; 10–3.3; 30–3.3 | 1 July 2013; 10 July 2013 |
| Terrain smoothing (Section 4.2) | DPG | 30–10; 10–3.3; 30–3.3 | 1 July 2013; 10 July 2013 |
| Area (Section 4.3) | DPG, YPG, WSMR | 30–10; 10–3.3; 30–3.3 | 1 July 2012–30 June 2014 |
| Grid spacing and ratio (Section 4.4) | DPG, YPG, WSMR | 30–10; 10–3.3; 30–3.3 | 1 July 2012–30 June 2014 |
| CBL derivation method | DPG, YPG, WSMR | 30–10; 10–3.3; 30–3.3 | 1 July 2013; 1 July 2012–30 June 2014 |
| (Appendix A) | |||
| Vertical resolution | DPG | 10–3.3 | 1 July 2013 |
| (Appendix A) |
Disclaimer/Publisher’s Note: The statements, opinions and data contained in all publications are solely those of the individual author(s) and contributor(s) and not of MDPI and/or the editor(s). MDPI and/or the editor(s) disclaim responsibility for any injury to people or property resulting from any ideas, methods, instructions or products referred to in the content. |
© 2024 by the authors. Licensee MDPI, Basel, Switzerland. This article is an open access article distributed under the terms and conditions of the Creative Commons Attribution (CC BY) license (https://creativecommons.org/licenses/by/4.0/).
Share and Cite
Duine, G.-J.; De Wekker, S.F.J.; Knievel, J.C. The Influence of Terrain Smoothing on Simulated Convective Boundary-Layer Depths in Mountainous Terrain. Atmosphere 2024, 15, 145. https://doi.org/10.3390/atmos15020145
Duine G-J, De Wekker SFJ, Knievel JC. The Influence of Terrain Smoothing on Simulated Convective Boundary-Layer Depths in Mountainous Terrain. Atmosphere. 2024; 15(2):145. https://doi.org/10.3390/atmos15020145
Chicago/Turabian StyleDuine, Gert-Jan, Stephan F. J. De Wekker, and Jason C. Knievel. 2024. "The Influence of Terrain Smoothing on Simulated Convective Boundary-Layer Depths in Mountainous Terrain" Atmosphere 15, no. 2: 145. https://doi.org/10.3390/atmos15020145
APA StyleDuine, G.-J., De Wekker, S. F. J., & Knievel, J. C. (2024). The Influence of Terrain Smoothing on Simulated Convective Boundary-Layer Depths in Mountainous Terrain. Atmosphere, 15(2), 145. https://doi.org/10.3390/atmos15020145

