Abstract
Wetlands provide many essential ecosystem services for human well-being. The ecological assessment of wetland ecosystem services is problematic and thus is an important focus in the field of ecological research. In this study, an ecological assessment system containing the ecosystem product value, ecosystem regulation service value, and ecosystem cultural service value was established to calculate the gross ecosystem product in the Nansi Lake Wetland, China. Based on remote sensing images, field studies, and literature reviews, the gross ecosystem product was estimated for the years 1985, 1992, 2005, 2011, and 2017. The results showed that the gross ecosystem product of the Nansi Lake Wetland increased from 40.91 × 108 USD in 1985 to 46.28 × 108 USD in 2017. The gross ecosystem product of the altered wetlands increased by about 8.5 times with a rising linear relationship, while natural wetlands presented a nonlinear relationship. Furthermore, except for the changes in climatic condition, anthropogenic interference factors such as coal mining activities, farming practices, and government policies have promoted significant services in the Nansi Lake Wetland over the past 30 years. This study could provide important insight into the ecological assessment of wetland ecosystems and thus inform policy for the protection and better use of wetland resources.
1. Introduction
Wetlands constitute important and valuable global ecosystems [1,2,3], providing basic living conditions for humankind, animals, plants, and other living organisms [4,5]. Moreover, they play an irreplaceable role for human well-being [6,7,8,9,10]. However, with the intensification of human pressures, especially the acceleration of industrialization and urbanization, the conversion and intensification of land to agriculture [11], the area of wetlands is sharply decreasing worldwide [12,13,14,15]. Furthermore, the large amounts of pollutants entering wetlands from human activities have caused a serious degeneration of the function and structure of wetland ecosystems [16,17,18].
The ecological assessment of wetland ecosystem services has been widely considered [19,20,21,22,23,24,25,26]. In the classification of wetland ecosystem services, the Millennium Ecosystem Assessment divided ecosystem services into provisioning, regulating, cultural, and support services [10]. The functional and economic valuation of wetlands have both been taken into consideration [25,26]. As ecosystem services have a direct impact on decision making, their economic value has become more important [27,28,29,30,31]. Rahman et al. [19] assessed the wetland services for the improved development of decision-making in the mangroves of coastal Bangladesh. Gandarillas et al. [32] adopted the ecosystem serve framework combined with economic valuation to assess five major wetland services of high mountain wetlands. Li and Gao [24] estimated the ecosystem services valuation of a lakeside wetland park beside Chaohu Lake in China. Woodward and Wui [23] evaluated the relative value of different wetland services using a meta-analysis. Some studies have used different methods for determining the economic value of wetland ecosystems such as market value method [23], shadow engineering method [24,33], carbon tax method [34], contingent value method [35], amongst others [36]. These studies provided good references in the classification of wetland ecosystem services and different methods of calculation for the ecological assessment of wetland ecosystems.
Gross ecosystem product (GEP) is a similar economic concept to gross domestic product (GDP), and applied as a practical tool using specific indicators to measure the gross ecosystem product [37]. GEP was first proposed by Hannon in 1985 [38]. By calculating the value of ecosystem products and services provided to humans, GEP indicators can measure the health of ecosystems [39]. The particular concept of GEP and accounting systems were further defined by Ouyang et al. [40] and Ma et al. [41]. Ouyang et al. [40] pointed out that GEP mainly refers to the total value of the direct and indirect use values of ecosystem goods and services including the ecosystem provision value, ecological regulation services value, and ecological culture services value. Ma et al. [41] highlighted two critical points in GEP accounting: changes of ecosystem services and the economic benefits of products from ecosystem-provided services. While there remain some deficiencies of unified indicators of GEP that assess the degree of change in the ecological assessment of wetland ecosystem services, the quantitative assessment of the function and operation of wetland ecosystems through changes in GEP has become a feasible approach [42,43].
To improve wetland ecosystem assessment systems and enrich case studies in wetlands around the world, the purposes of this research are as follows: (1) to establish a reasonable ecological assessment system of wetland ecosystem services, based on GEP, in the Nansi Lake Wetland, China; (2) to estimate the ecological assessment of the Nansi Lake Wetland ecosystem services in the years, 1985, 1992, 2005, 2011, and 2017; and (3) to analyze the characteristics of the spatiotemporal variations of the Nansi Lake Wetland ecosystem services.
2. Materials and Methods
2.1. Study Area
The Nansi Lake Wetland is located in Shandong Province in Eastern China (116°34′–117°21′ E, 34°27′–35°20′ N) [44] and contains various types of wetlands: lakes, rivers, swamps, ponds, paddy fields, building lands, and other lands (Figure 1). It has a continental climate, with warm temperate and semi-humid monsoon regions. Precipitation has an uneven spatial and temporal distribution. The annual average temperature of the wetlands is 13.7 °C, and the average annual sunshine hours are 2273 h [45].
Figure 1.
Location of the study area and landscape photos in the Nansi Lake Wetland. (a) Lakes; (b) Rivers; (c) Ponds; (d) Paddy fields.
Nansi Lake is the largest freshwater and shallow eutrophic lake in North China, providing abundant wetland and biological resources [24]. Water resources can supply Weishan County and the surrounding counties, cities, and districts with industrial and agricultural production. Plant resources include phytoplankton, submerged macrophytes, floating-leaved macrophytes, and emergent macrophytes. Furthermore, floating-leaved macrophytes are dominated by Trapa bispinosa and Euryale ferox. Emergent macrophytes are mainly composed of Phragmites australis and Nelumbo nucifera. Fish resources are dominated by Cyprinus carpio. The population in the Nansi Lake Wetland is mainly engaged in agricultural production based on cofferdam breeding and rice planting. At the same time, the Nansi Lake Wetland port logistics industry is developed and is one of the important hubs of the south-to-north water transfer project [46]. Moreover, the Nansi Lake Wetland is rich in coal resources, and coal mining activities occur under the lake [47].
2.2. Ecological Assessment Systems of Wetland Ecosystem Services in Nansi Lake Wetland, China
The assessment of wetland ecosystem services in the Nansi Lake Wetlands involved estimates of gross ecosystem product (GEP) [40,41]. Furthermore, this study considered the individual characteristics, structure, and ecological processes. The ecosystem service accounting index of the GEP of Nansi Lake Wetland was divided into three major categories and nine smaller classes [48,49,50,51]. The functions of wetland ecosystem products include water and biological resources. The functions of wetland ecosystem regulation services are divided into five kinds: climate adjustment, water conservation, soil and water conservation, flood regulation, and water purification. In addition, the functions of wetland ecosystem cultural services include entertainment and cultural education.
The accounting framework for the GEPs of the Nansi Lake Wetland is shown in Figure 2. It was divided into four steps. First, the ecosystem product values (EPVs) were calculated by obtaining the output and price of water and biological resources in the Nansi Lake Wetland (Equation (1)). Second, we assessed the ecosystem regulation service values (ERVs) of the Nansi Lake Wetland by obtaining the quantity and price of five regulation services (Equation (2)). Third, we accounted for the ecosystem cultural service values (ECVs) of the Nansi Lake Wetland by obtaining the functional quantity and price of entertainment and cultural education (Equation (3)). Finally, the values of the GEPs of the Nansi Lake Wetland was summed up by the product value, regulation service value, and cultural service value (Equation (4)).
where is the value of the wetland gross ecosystem product; is the value of the wetland ecosystem products; is the value of the wetland ecosystem regulation service; is the value of the wetland ecosystem ecological cultural service; is the output of the i-th product of the wetland ecosystem; is the price of the i-th product of the wetland ecosystem; is the functional quantity of the j-th ecosystem regulation service; is the price of the j-th ecosystem regulation service function; is the functional quantity of the k-th ecosystem cultural service; and is the price of the k-th ecosystem cultural service function. The detailed accounting indicators and equations are shown in Table 1. The values of the GEPs were calculated using the United States dollar (USD).
Figure 2.
The accounting framework for the GEP of the Nansi Lake Wetland.
Table 1.
Accounting indicators and formulas for the gross ecosystem product in the Nansi Lake Wetland 1.
2.3. Data Collection and Processing
In this research, data were obtained from three channels: interpreting remote sensing images, using field surveys, and reviewing the literature.
Remote sensing images were used for the classification of landscape type, the calculation of landscape area, and the estimation of water depth inversion. They were selected mainly from Landsat5 TM and Sentinel-2 data. The remote sensing images from 1985, 1992, 2005, and 2011 were interpreted from Landsat5 TM images, and the images of 2017 were obtained from Sentinel-2 data. To better interpret the changes in the Nansi Lake Wetland, the most vigorous season of vegetation growth was selected from June to September, when cloud cover was less than 10%. ENVI 5.3 software was used for the atmospheric correction of remote sensing images. Landsat images, corrected by the FLAASH atmospheric correction method, were used. Sen2Cor images were used for the Sentinel-2 images. Landsat images covered the entire study area without inlays. However, as the Sentinel-2 images did not contain all the research areas, the three scene images with the same shooting date were spliced, and finally, uniform cutting was performed using the vector boundary of the nature reserve.
Field surveys from 5 to 20 January 2018 were implemented by the Nansi Lake Wetland Ecological Investigation Team of the China University of Mining and Technology. The team investigated the current ecological environment in the Nansi Lake Wetland (Figures S1 and S3). The following data were obtained by collating the average cost of irrigation farmland and the price of waterworks; the average unit price of the fish product; unit price of the floating-leaved macrophytes and the emergent macrophytes; rice price; average cost of constructing a cubic meter of the reservoir; and price of fertilizer (Table S1). Those field data, which were used to calculate the gross ecosystem product, were gathered through face-to-face interview surveys with local residents (Figure S2).
Other data were collected from reviewing the literature [49,53]. These data were the floating-leaved macrophytes and emergent macrophytes biomass; fish resource biomass; rice yield; maximum lake area; average surface runoff of Nansi Lake; medium depth of erosion, without vegetation; soil bulk density; average content of soil nutrient; the maximum amount of flood season of Nansi Lake; area of Phragmites australis distribution; and area used for entertainment and cultural education (Tables S2 and S3).
All of the analyses were conducted using ENVI 5.3 (ESRI, San Diego, CA, USA) and SPSS 20.0 (IBM, New York, NY, USA). Charts and graphs were constructed using ArcGIS 10.2 (ESRI, San Diego, CA, USA), Origin 9.1 (OriginLab, Northampton, MA, USA) or the R project (R Development Core Team, Vienna, Austria).
3. Results
3.1. Timing Variation of the Gross Ecosystem Product in the Nansi Lake Wetland
According to the ecological assessment systems of wetland ecosystem services in the Nansi Lake Wetland and the data obtained from the remote sensing images, field surveys, and the literature, the gross ecosystem product (GEP) of the Nansi Lake Wetland was estimated for the years 1985, 1992, 2005, 2011, and 2017 (Table S4).
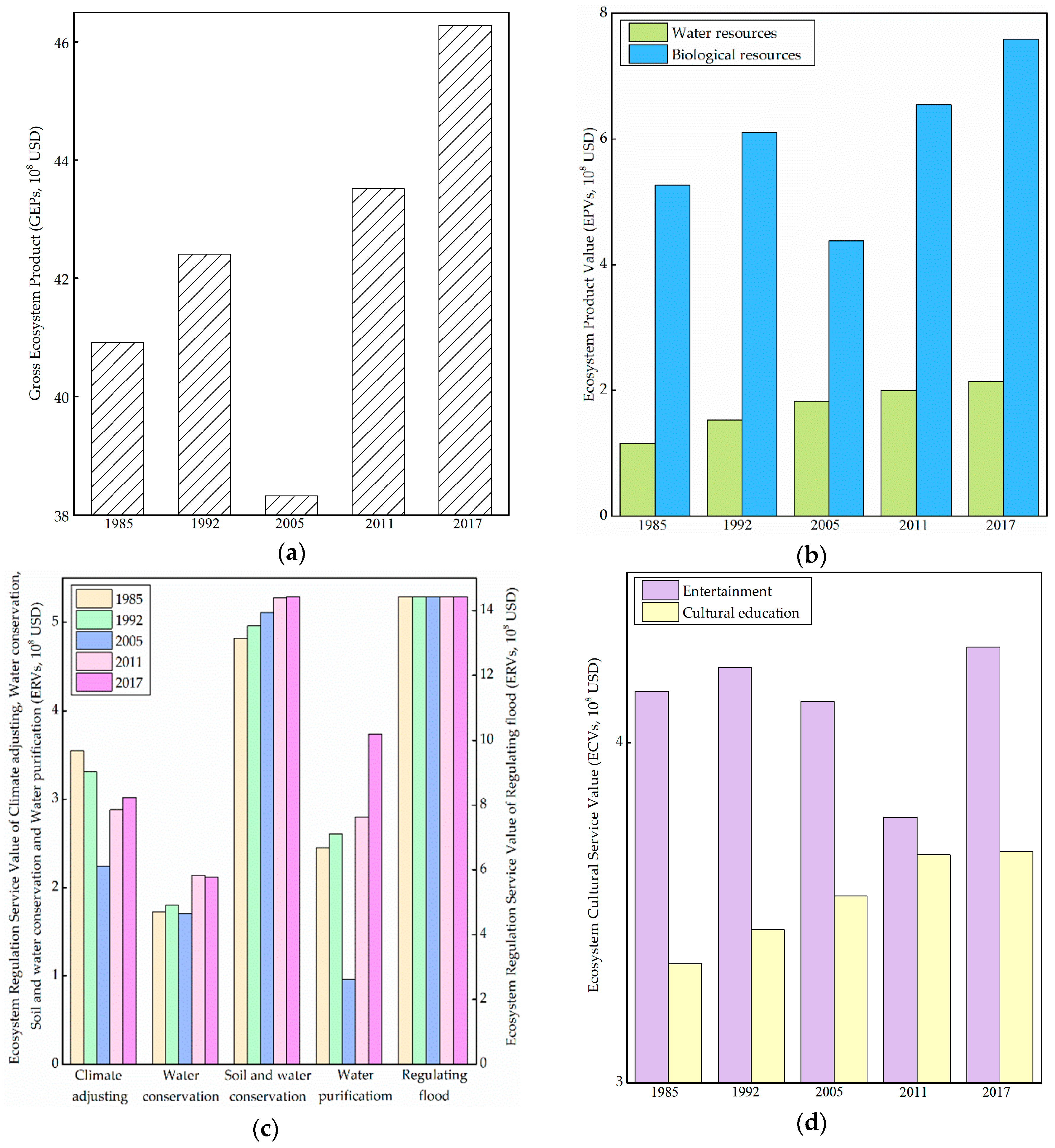
The GEPs of the Nansi Lake Wetland increased by more than 5.37 × 108 USD in 2017 when compared with 1985. The variation in GEPs showed a wave-like trend. GEPs rose from 40.91 × 108 USD in 1985 to 42.41 × 108 USD in 1992, then fell to 38.32 × 108 USD in 2005. After 2005, they showed an upward trend and reached 46.28 × 108 USD in 2017 (Figure 3a).
Figure 3.
Variations of the gross ecosystem product in the Nansi Lake Wetland. (a) Gross Ecosystem Product, GEPs; (b) Ecosystem Product Value, EPVs; (c) Ecosystem Regulation Service Value, ERVs; (d) Ecosystem Cultural Service Value, ECVs.
The ecosystem product value (EPV) fluctuated during the years of the study. Overall, the EPVs accounted for 15–21% of the GEPs. The value of biological resources was one of the core value functions of the EPVs. The value of water resources doubled from 1.16 × 108 USD in 1985 to 2.14 × 108 USD in 2017. Furthermore, the EPVs showed a downward trend from 1992 to 2005, similar to the declining variation of GEPs (Figure 3b).
The ecosystem regulation service value (ERV) comprised more types and complex changes, accounting for 61–66% of the GEPs in the Nansi Lake Wetland. There was a significant decline from 1992 to 2005, which was due to the significant decline in the value of water purification functions. The value of climate adjusting was maximal at 3.55 × 108 USD in 1985, then declined, reaching its lowest of 2.24 × 108 USD in 2005, and then increased to 3.02 × 108 USD in 2017. The value of water conservation showed an overall growth trend, which peaked at 2.14 × 108 USD in 2011. This change was similar to the value of water purification, but with a peak of 3.74 × 108 USD in 2017. Moreover, the value of soil and water conservation increased from 4.82 × 108 USD in 1985 to 5.29× 108 USD in 2017. However, there was no change in the value of flood regulation function, since this calculation was estimated using the maximum amount of flood season in Nansi Lake (Figure 3c).
The ecosystem cultural service value (ECVs) increased a little overall from 1985 to 2017. The value of entertainment functions increased in a wave pattern, reaching its lowest of 3.78× 108 USD in 2011 and peaking at 4.28 × 108 USD in 2017. The value of the entertainment function was consistently higher than that of cultural education (Figure 3d).
3.2. Spatial Variation of the Gross Ecosystem Product of the Nansi Lake Wetland
In this study, the landscape types of the Nansi Lake Wetland were classified by interpreting the remote sensing image data. According to the Ramsar Convention [54] and WET health tool box [55], Nansi Lake Wetland was divided into seven landscape types: lakes, rivers, swamps, ponds, paddy fields, building lands, and other types of land uses (Table 2). Lakes, rivers, and swamps were classified as natural wetlands. Ponds and paddy fields were classified as altered wetlands. The landscape classification map is shown in Figure 4. During recent years of human disturbance, the landscape of the Nansi Lake Wetland has undergone tremendous changes. The area of lakes and swamps has decreased, while the area of ponds and paddy fields has been extended (Table S5).
Table 2.
Classification and definition of landscape types in Nansi Lake.
Figure 4.
Landscape type classification map in the Nansi Lake Wetland (landscape changes in the years 1985, 1992, 2005, 2011, and 2017 are shown from left to right).
The value of the flood regulation function was estimated using the maximum amount of the flood season in Nansi Lake, but could not be well divided in terms of natural wetlands and altered wetlands, so areas for these types were considered together. Compared with lakes, rivers, and swamps, the values of water conservation and water purification services in altered wetlands were neglected because of their relatively small values. Furthermore, when the biomass of animal and plant resources was divided into natural wetlands and altered wetlands, this was mainly calculated according to the proportion of the wetland area. As P. australis and N. nucifera (the main components of the emergent macrophytes) are mainly grown in natural wetlands, the biomass of the emergent macrophytes in altered wetlands was ignored. Moreover, the yield of paddy fields was incorporated into the gross ecosystem product calculation of the altered wetlands (Tables S6 and S7).
From 1985 to 2017, the GEPs of the natural wetlands were always higher than those of the altered wetlands. The GEPs of the altered wetlands increased sharply year by year, while the GEPs of the natural wetlands showed an upward trend, after a period of decline in 1992. The GEPs of the altered wetlands increased about 8.6-fold, changing from 1.37× 108 USD in 1985 to 11.74 × 108 USD in 2017. However, the GEPs of natural wetlands showed a downward trend from 25.12 × 108 USD in 1985, but their value has gradually recovered in recent years and reached 20.12× 108 USD in 2017 (Figure 5a).
Figure 5.
Comparison of gross ecosystem product in natural and altered wetlands. (a) Gross ecosystem product in natural and altered wetlands; (b) Gross ecosystem product in altered wetlands; (c) Gross ecosystem product in natural wetlands.
The value of all kinds of ecological service types of the altered wetlands showed a rising tendency (Figure 5b). The value of entertainment increased significantly from 0.07 × 108 USD in 1985 to 2.18 × 108 USD in 2017, a more than 30-fold rise. The value of soil and water conservation changed from 0.38 × 108 USD in 1985 to 3.01 × 108 USD in 2017, which was the highest percentage of the total value in the altered wetlands. Except for the value of entertainment, which had a linear increase, the others were maximal in 2011. Furthermore, the changes in all values were relatively stable after 2011, apart from the increase in the entertainment value in altered wetlands.
The value of ecological service types of the natural wetlands showed a more complicated trend than that of the altered wetlands. The values of the water resources, biological resource, water conservation, and water purification all increased, then decreased, and finally increased again. Moreover, the value of soil and water conservation, entertainment, and cultural education decreased. Except for the value of regulating flood, the value of biological resources comprised about 25% of the largest percentage. However, water resources had the smallest proportion of about 7% in natural wetlands. Taken together, all product values of the natural wetlands increased in 2017 (Figure 5c).
4. Discussion
In this study, it was found that wetland ecosystem services have changed in both time and spatial scales in the Nansi Lake Wetland. During the period from 1992 to 2005, the gross ecosystem product of the Nansi Lake Wetland decreased markedly. Previous studies found that changes in climatic conditions might play an important role in these changes, which would make future efforts to manage wetlands more complex [56,57,58]. It has been reported that the extreme drought at Nansi Lake in 2002 caused lakes to dry up and blocked rivers, which indicated a reduction in characteristic wetland diversity, vegetation degradation, and wetland landscape changes [59,60].
Moreover, there are abundant coal resources under Nansi Lake. Since 1992, a large number of companies have been licensed for coal mining. Coal mining activities under the lake have had a tremendous impact on the biological resources of the wetlands, especially water pollution, the reduction of the biomass of phytoplankton, and a decline in the yield of P. australis [61,62,63]. For example, the biomass of phytoplankton decreased from 2629 tons in 1992 to 2111 tons in 2005, and the production of P. australis decreased from 86,230 tons in 1992 to 31,700 tons in 2005. The large reduction in P. australis production has affected the water purification function of the Nansi Lake Wetland, which has directly caused a reduction of the regulation service value in Nansi Lake.
However, this is different from the downward trend value of ecosystem services found by the research results concerning mining areas [64,65]. Although the study area was affected by coal mining activities under the lake, the value of the gross ecosystem product was not affected much. Coal mining under the lake leads to an increase in water depth and water storage capacity, which might promote the growth of floating or submerged aquatic plants. The water level in the wetlands has changed, and the water depth has increased. A number of submerged aquatic plants were able to grow after the increase in water depth, resulting in the recovery of gross ecosystem product.
The gross ecosystem product of the Nansi Lake Wetland has gradually increased since 2005. These changes have mainly been due to the influence of the government on the Nansi Lake Wetland. In 2003, the Nansi Lake Water Resources Administration was established as a provincial nature reserve by the Shandong Provincial government. The overall goal is to protect the typical lake wetland ecosystem [55]. In recent years, a series of policies have been introduced by the Nansi Lake Water Resources Administration, for example, the Ecological Environmental Protection Program (2011–2015), Nature Reserve Management Regulations, Water Pollution Control Scheme, and Ecosystem Control Scheme.
A comparison of the gross ecosystem product of natural wetlands and altered wetlands showed that the gross natural wetland ecosystem product showed a similar trend as the gross ecosystem product in the Nansi Lake Wetland. The gross altered wetlands ecosystem product increased year by year. This area is a traditional farming area that has been affected by human activities such as reclamation for a long time. More and more, swamps and tidal flat wetland are being replaced by ponds and rice fields. The area of ponds has increased significantly since 1992, rising from 18 km2 to 549 km2, an increase of 531 km2 (Table 3).
Table 3.
Variation of altered wetlands in Nansi Lake (km2).
The increase in the area of ponds and paddy fields directly affects the product value of the Nansi Lake Wetland. Moreover, because a large number of natural wetlands have been replaced by altered wetlands, the increased gross ecosystem product of altered wetlands was much greater than the reduced ecosystem value of natural wetlands. This indicated that altered wetlands play an increasingly important role in driving the growth of the gross ecosystem product of the Nansi Lake Wetland.
The results of the wetland ecological services value in Nansi Lake in this study showed both similarities and differences to other research results (Table 4). The accounting indicators of the ecological functions used by the authors are basically the same as those used by other researchers [48,49,50,51]. However, there are two main differences. First, the authors did not consider the biological habitat (Evaluation index ⑧ in Table 4) as a service factor for the evaluation of the Nansi Lake Wetland ecosystem services. This is mainly because the gross ecosystem product usually does not include eco-supporting service functions. Supportive service capabilities support the functionality and ecological adjustment of products and not directly for human well-being, and the role of these functions can be reflected in the product functions and adjusting functions, so the calculations should not be repeated. Second, Nansi Lake is the main source of the drinking, agricultural, and industrial water of the surrounding cities. The value of water resources (Evaluation index ① in Table 4) cannot be ignored. Therefore, the calculation results in this paper were relatively high, which was different from the index system and calculation method as chosen by other scholars working on the Nansi Lake Wetland [48,50,51]. Moreover, when calculating the value of the ecological assets of the Nansi Lake Wetland, the influence of inflation factors was taken into account. In this study, the 2017 constant price was the base year for calibration.
Table 4.
Differences to other studies on the assessment of wetland ecological services in the Nansi Lake Wetland 1.
5. Conclusions
In this study, remote sensing image data, field research data, and literature data were used to estimate the changes of gross ecosystem product in the Nansi Lake Wetland. The study presents the following conclusions:
First, a complete and suitable system for the ecological assessment of wetland ecosystem services in the Nansi Lake Wetland was established. In this assessment system, there were three indicators and nine sub-indicators. The ecosystem product value was divided into water resources and biological resources. The ecosystem regulation service value contained climate adjustment, water conservation, soil and water conservation, flood regulation, and water purification. The ecosystem cultural service value comprised entertainment and cultural education.
Second, the gross ecosystem product (GEPs) of the Nansi Lake Wetland estimated for 1985, 1992, 2005, 2011, and 2017 increased from 40.91 × 108 USD in 1985 to 46.28 × 108 USD in 2017. The ecosystem regulation service value occupied the largest part, accounting for about two-thirds of the total economic value of the Nansi Lake Wetland. The ecological value of altered wetlands increased from 1.37 × 108 USD in 1985 to 11.74 × 108 USD in 2017, while natural wetlands presented a nonlinear relationship, which first decreased to 15.54 × 108 USD in 2005, and then increased to 20.12 × 108 USD in 2017.
In addition, human activities, especially coal mining under the lake and changes in climatic conditions, played important roles in the ecological services changes in the Nansi Lake Wetland. Therefore, in order to ensure the sustainable development of the Nansi Lake Wetland and human social economy, the rational utilization and effective protection of existing wetlands, under the guidance of the accounting of the gross ecosystem product, is recommended.
It is anticipated that the results of this research will provide new insight into the future of the ecological assessment of wetlands. This information will assist stakeholders in the scientific management of the Nansi Lake Wetland and attract more attention to the utility of its resources.
Supplementary Materials
The following are available online at https://www.mdpi.com/2073-4441/11/4/788/s1, Figure S1: Current ecological environment in the Nansi Lake Wetland; Figure S2: Field surveys with different respondents in the Nansi Lake Wetland; Figure S3: Questionnaire on the current ecological environment in the Nansi Lake Wetland; Table S1: The average price of various ecosystem products and service functions in the Nansi Lake Wetland; Table S2: Average biomass of biological resources in the Nansi Lake Wetland; Table S3: Other related indicators of regulation service in the Nansi Lake Wetland; Table S4: Variation of gross ecosystem product in the Nansi Lake Wetland; Table S5: Landscape type classification area in the Nansi Lake Wetland; Table S6: Variation of gross ecosystem product of natural wetlands in the Nansi Lake Wetland; Table S7: Variation of gross ecosystem product of altered wetlands in the Nansi Lake Wetland.
Author Contributions
F.W., S.Z., H.H., Y.Y., and Y.G. participated in all investigations and drafted the manuscript. All authors participated in the design of this study and analysis of results. F.W. and S.Z. conceived and coordinated this study.
Funding
This research was funded by the Major Project in the Fundamental Research Funds for the Central Universities (2017XKD14).
Acknowledgments
The authors would like to thank the Nansi Lake Water Resources Administration for their support during the research. In addition, the authors would like to thank the Nansi Lake Wetland Ecological Investigation Team of the China University of Mining and Technology in the field survey. The authors would also like to thank MDPI English Service for providing linguistic assistance during the preparation of this manuscript.
Conflicts of Interest
The authors declare no conflict of interest. The funders had no role in the design of the study; in the collection, analyses, or interpretation of data; in the writing of the manuscript, and in the decision to publish the results.
References
- Costanza, R.; d’Arge, R.; De Groot, R.; Farber, S.; Grasso, M.; Hannon, B.; Limburg, K.; Naeem, S.; O’neill, R.V.; Paruelo, J. The value of the world’s ecosystem services and natural capital. Nature 1997, 387, 253. [Google Scholar] [CrossRef]
- Clarkson, B.R.; Ausseil, A.-G.E.; Gerbeaux, P. Wetland Ecosystem Services. In Ecosystem Services in New Zealand: Conditions and Trends; Manaaki Whenua Press: Lincoln, New Zealand, 2013; pp. 192–202. [Google Scholar]
- Costanza, R.; Farber, S.C.; Maxwell, J. Valuation and management of wetland ecosystems. Ecol. Econ. 1989, 1, 335–361. [Google Scholar] [CrossRef]
- Mitsch, W.J.; Gosselink, J.G. The value of wetlands: Importance of scale and landscape setting. Ecol. Econ. 2000, 35, 25–33. [Google Scholar] [CrossRef]
- Aber, J.S.; Pavri, F.; Aber, S. Wetland Environments: A Global Perspective; Wiley: Hoboken, NJ, USA, 2012. [Google Scholar]
- McCartney, M.P.; Rebelo, L.-M.; Sellamuttu, S.S. Wetlands, Livelihoods and Human Health; Springer: Dordrecht, The Netherlands, 2015; pp. 123–148. [Google Scholar]
- Horwitz, P.; Finlayson, C.M.; Kumar, R. Interventions Required to Enhance Wetlands as Settings for Human Well-Being. In Wetlands and Human Health; Springer: Dordrecht, The Netherlands, 2015; pp. 193–225. [Google Scholar]
- Pedersen, E.; Weisner, S.E.; Johansson, M. Wetland areas’ direct contributions to residents’ well-being entitle them to high cultural ecosystem values. Sci. Total Environ. 2019, 646, 1315–1326. [Google Scholar] [CrossRef]
- Maltby, E.; Acreman, M.C. Ecosystem services of wetlands: Pathfinder for a new paradigm. Hydrol. Sci. J. 2011, 56, 1341–1359. [Google Scholar] [CrossRef]
- MEA (Millennium Ecosystem Assessment). Millennium Ecosystem Assessment. Ecosystems and Human Well-Being:Biodiversity Synthesis. Available online: http://wedocs.unep.org/bitstream/handle/20.500.11822/8755/Ecosystem_and_human_well_being_biodiversity_synthesis.pdf?sequence=3&isAllowed=y (accessed on 27 March 2019).
- Verhoeven, J.T.A.; Setter, T.L. Agricultural use of wetlands: Opportunities and limitations. Ann. Bot. 2010, 105, 155–163. [Google Scholar] [CrossRef]
- Herbert, E.R.; Boon, P.; Burgin, A.J.; Neubauer, S.C.; Franklin, R.B.; Hopfensperger, K.N.; Lamers, L.P.M.; Gell, P.; Ardón, M. A global perspective on wetland salinization: Ecological consequences of a growing threat to freshwater wetlands. Ecosphere 2016, 6, 1–43. [Google Scholar] [CrossRef]
- Davidson, N.C. How much wetland has the world lost? Long-term and recent trends in global wetland area. Mar. Freshw. Res. 2014, 65, 936–941. [Google Scholar] [CrossRef]
- Uwimana, A.; van Dam, A.A.; Irvine, K. Effects of conversion of wetlands to rice and fish farming on water quality in valley bottoms of the Migina catchment, southern Rwanda. Ecol. Eng. 2018, 125, 76–86. [Google Scholar] [CrossRef]
- Asselen, S.v.; Verburg, P.H.; Vermaat, J.E.; Janse, J.H. Drivers of Wetland Conversion: A Global Meta-Analysis. PLoS ONE 2013, 8, e81292. [Google Scholar] [CrossRef] [PubMed]
- Alam, M.Z.; Carpenter-Boggs, L.; Rahman, A.; Haque, M.M.; Miah, M.R.U.; Moniruzzaman, M.; Qayum, M.A.; Abdullah, H.M. Water quality and resident perceptions of declining ecosystem services at Shitalakka wetland in Narayanganj city. Sustain. Water Qual. Ecol. 2017, 9–10, 53–66. [Google Scholar] [CrossRef]
- Kang, H.; Na, X.; Zang, S. Research on the evaluation of wetland ecosystem services of Songnen Plain during 1980–2010. Remote Land Resour. 2017, 29, 193–200. (In Chinese) [Google Scholar]
- Gichana, Z.; Njiru, M.; Raburu, P.O.; Masese, F.O. Effects of human activities on benthic macroinvertebrate community composition and water quality in the upper catchment of the Mara River Basin, Kenya. Lakes Reserv. Res. Manag. 2015, 20, 128–137. [Google Scholar] [CrossRef]
- Rahman, M.M.; Jiang, Y.; Irvine, K. Assessing wetland services for improved development decision-making: A case study of mangroves in coastal Bangladesh. Wetl. Ecol. Manag. 2018, 26, 563–580. [Google Scholar] [CrossRef]
- White, J.; Irvine, K. The use of littoral mesohabitats and their macroinvertebrate assemblages in the ecological assessment of lakes. Aquat. Conserv. Mar. Freshw. Ecosyst. 2003, 13, 331–351. [Google Scholar] [CrossRef]
- Oigara, D.K.; Masese, F.O. Evaluation of the South African Scoring System (SASS 5) Biotic Index For Assessing The Ecological Condition of the Mara River, Kenya. Afr. J. Educ. Sci. Technol. 2017, 4, 41–51. [Google Scholar]
- Craft, C.; Clough, J.; Ehman, J.; Joye, S.; Park, R.; Pennings, S.; Guo, H.; Machmuller, M. Forecasting the effects of accelerated sea-level rise on tidal marsh ecosystem services. Front. Ecol. Environ. 2009, 7, 73–78. [Google Scholar] [CrossRef]
- Woodward, R.T.; Wui, Y.-S. The economic value of wetland services: A meta-analysis. Ecol. Econ. 2001, 37, 257–270. [Google Scholar] [CrossRef]
- Li, T.; Gao, X. Ecosystem Services Valuation of Lakeside Wetland Park beside Chaohu Lake in China. Water 2016, 8, 301. [Google Scholar] [CrossRef]
- Baker, C.; Baker, T.; Digby, U.; Hogan, D. Functional Assessment of Wetlands: Towards Evaluation of Ecosystem Services; Woodhead Publishing: Cambridge, UK, 2009. [Google Scholar]
- Russi, D.; Brink, P.T.; Farmer, A.; Badura, T.; Coates, D.; Förster, J.; Kumar, R.; Davidson, N. The Economics of Ecosystems and Biodiversity for Water and Wetlands; IIEP: London, UK; Brussels, Belgium, 2013; Available online: http://www.teebweb.org/publication/the-economics-of-ecosystems-and-biodiversity-teeb-for-water-and-wetlands/ (accessed on 27 March 2019).
- Bockstael, N.E.; Freeman, A.M.; Kopp, R.J.; Portney, P.R.; Smith, V.K. On Measuring Economic Values for Nature. Environ. Sci. Technol. 2000, 34, 1384–1389. [Google Scholar] [CrossRef]
- De Groot, R.; Stuio, M.A.M.; Finlayson, C.M.; Davidson, N. Valuing Wetlands: Guidance for Valuing the Benefits Derived from Wetland Ecosystem Services; International Water Management Institute: Battaramulla, Sri Lanka, 2006. [Google Scholar]
- Bateman, I.J.; Mace, G.M.; Fezzi, C.; Atkinson, G.; Turner, K. Economic Analysis for Ecosystem Service Assessments. Environ. Resour. Econ. 2011, 48, 177–218. [Google Scholar] [CrossRef]
- Lucas, P.L.; Kok, M.T.J.; Nilsson, M.; Alkemade, R. Integrating Biodiversity and Ecosystem Services in the Post-2015 Development Agenda: Goal Structure, Target Areas and Means of Implementation. Sustainability 2013, 6, 193–216. [Google Scholar] [CrossRef]
- Daily, G.C.; Polasky, S.; Goldstein, J.; Kareiva, P.M.; Mooney, H.A.; Pejchar, L.; Ricketts, T.H.; Salzman, J.; Shallenberger, R.; Ruffo, S. Ecosystem services in decision making: Time to deliver. Front. Ecol. Environ. 2009, 7, 21–28. [Google Scholar] [CrossRef]
- Gandarillas, V.; Jiang, Y.; Irvine, K. Assessing the services of high mountain wetlands in tropical Andes: A case study of Caripe wetlands at Bolivian Altiplano. Ecosyst. Serv. 2016, 19, 51–64. [Google Scholar] [CrossRef]
- Li, Y.; Deng, H.; Dong, R. Prioritizing protection measures through ecosystem services valuation for the Napahai Wetland, Shangri-La County, Yunnan Province, China. Int. J. Sustain. Dev. World Ecol. 2015, 22, 142–150. [Google Scholar] [CrossRef]
- Li, X.; Yu, X.; Jiang, L.; Li, W.; Liu, Y.; Hou, X. How important are the wetlands in the middle-lower Yangtze River region: An ecosystem service valuation approach. Ecosyst. Serv. 2014, 10, 54–60. [Google Scholar] [CrossRef]
- Whitehead, J.C. Measuring willingness-to-pay for wetlands preservation with the contingent valuation method. Wetlands 1990, 10, 187–201. [Google Scholar] [CrossRef]
- Pandeya, B.; Buytaert, W.; Zulkafli, Z.; Karpouzoglou, T.; Mao, F.; Hannah, D.M. A comparative analysis of ecosystem services valuation approaches for application at the local scale and in data scarce regions. Ecosyst. Serv. 2016, 22, 250–259. [Google Scholar] [CrossRef]
- IUCN Gross Ecosystem Product (GEP). Available online: https://www.iucn.org/asia/countries/china/gross-ecosystem-product-gep%EF%BC%89 (accessed on 27 March 2019).
- Hannon, B. Ecosystem flow analysis. Can. Bull. Fish. Aquat. Sci. 1985, 97–118. [Google Scholar] [CrossRef]
- Yu, F.; Li, X.; Wang, H.; Zhang, L.; Xu, W.; Fu, R. Accounting of Gross Ecosystem Product based on emergy analysis and ecological land classification in China. Acta Ecol. Sin. 2016, 36, 1663–1675. (In Chinese) [Google Scholar]
- Ouyang, Z.; Zhu, C.; Yang, G.; Xu, W.; Zheng, H.; Zhang, Y.; Xiao, Y. Gross ecosystem product: Concept, accounting framework and case study. Acta Ecol. Sin. 2013, 33, 6747–6761. (In Chinese) [Google Scholar] [CrossRef]
- Ma, G.; Zhao, X.; Wu, Q.; Pan, T. Concept definition and system construction of gross ecosystem product. Resour. Sci. 2015, 37, 1709–1715. (In Chinese) [Google Scholar]
- Bai, Y.; Hui, L.I.; Wang, X.Y.; Malatalo, J.; Jiang, B.; Wang, M.; Liu, W.J. Evaluating Natural Resource Assets and Gross Ecosystem Products Using Ecological Accounting System: A Case Study in Yunnan Province. J. Nat. Resour. 2017. (In Chinese) [Google Scholar] [CrossRef]
- Mageau, M.T.; Costanza, R.; Ulanowicz, R. The Development and Initial Testing a Quantitative Assessment of Ecosystem Health. Ecosyst. Health 1995, 1, 201–213. [Google Scholar]
- Liu, J.; Wang, R. Effects of flooding on the germination of seed banks in the Nansi Lake wetlands, China AU–Ge, Xiuli. J. Freshw. Ecol. 2013, 28, 225–237. [Google Scholar] [CrossRef]
- Sun, X.; Guo, H.; Lian, L.; Liu, F.; Li, B. The Spatial Pattern of Water Yield and Its Driving factors in Nansi Lake Basin. J. Nat. Resour. 2017, 32, 669–679. (In Chinese) [Google Scholar]
- Zhang, D.; Gao, H.; Yang, J.; Xi, J.; Li, X. Assessment for the Ecological Vulnerability of Nansihu Wetland Based on GIS Technology. Resour. Sci. 2014, 36, 874–882. (In Chinese) [Google Scholar]
- Zhang, L.X.; Ulgiati, S.; Yang, Z.F.; Chen, B. Emergy evaluation and economic analysis of three wetland fish farming systems in Nansi Lake area, China. J. Environ. Manag. 2011, 92, 683–694. [Google Scholar] [CrossRef] [PubMed]
- Ma, Z.; Gao, H.; Yang, J.; Xi, J.; Li, X.; Ge, Q. Valuation of Nansihu Lake Wetland Ecosystem Services Based on Multi-Sources Data Fusion. Resour. Sci. 2014, 36, 840–847. (In Chinese) [Google Scholar]
- Liang, C. The Structure, Function and Servuces Value of Lake Nansi Wetland Ecosystem in Shandong of China; Shandong Normal University: Jinan, China, 2010. [Google Scholar]
- Deng, L. Valuation of Ecosystem Services in Nansi Lake Wetland. J. Northwest For. Univ. 2011, 26, 214–219. (In Chinese) [Google Scholar]
- Xu, J.; Dong, J. Response of Ecosystem in Service Value to Changes in Landscape Pattern of the Nansi Lake Wetland. J. Ecol. Rural Environ. 2013, 29, 471–477. (In Chinese) [Google Scholar]
- Cui, L. Evaluation on functions of Poyang Lake ecosystem. Chin. J. Ecol. 2004, 23, 47–51. (In Chinese) [Google Scholar]
- Weishan County Bureau of Statistics. Weishan Statistical Yearbook; Weishan County: Shandon, China, 2018.
- Convention on Wetlands of International Importance Especially as Waterfowl Habitat. Available online: https://www.ramsar.org/sites/default/files/documents/library/scan_certified_e.pdf (accessed on 27 March 2019).
- Macfarlane, G.; Kotze, D.; Batchelor, A.; Lindley, D.; Collins, N. WET-EcoServices: A Technique for Rapidly Assessing Ecosystem Services Supplied by Wetlands; Report No. TT 339/08; Water Research Commission: Pretoria, South Africa, 2009. [Google Scholar]
- Mortsch, L.D. Assessing the Impact of Climate Change on the Great Lakes Shoreline Wetlands. Clim. Chang. 1998, 40, 391–416. [Google Scholar] [CrossRef]
- Erwin, K.L. Wetlands and global climate change: The role of wetland restoration in a changing world. Wetl. Ecol. Manag. 2008, 17, 71. [Google Scholar] [CrossRef]
- McMenamin, S.K.; Hadly, E.A.; Wright, C.K. Climatic change and wetland desiccation cause amphibian decline in Yellowstone National Park. Proc. Natl. Acad. Sci. USA 2008, 105, 16988–16993. [Google Scholar] [CrossRef]
- Yu, Q.; Liang, C.; Zhang, Z. NDVI changes and control factors of the wetland in the Lake Nansi, Shandong Province, in the past 40 years. J. Lake Sci. 2014, 26, 455–463. (In Chinese) [Google Scholar]
- Yu, Q.; Liu, Y.; Liang, C.; Zhou, L.; Zhang, Z.; Wang, Y. Drought Response Characteristics in the Nansi Lake Wetlands Based on Remote Sensing. Resour. Sci. 2014, 36, 1519–1526. (In Chinese) [Google Scholar]
- Hu, J.; Liu, Z.; Yang, Y. Influence of coal exploitation in Nansihu area to surface subsidence. North China Earthq. Sci. 2008, 26, 42–45. (In Chinese) [Google Scholar]
- Dhakate, R.; Modi, D.; Rao, V.V.S.G. Impact assessment of coal mining on river water and groundwater and its interaction through hydrological, isotopic characteristics, and simulation flow modeling. Arab. J. Geosci. 2018, 12, 8. [Google Scholar] [CrossRef]
- Lee, A.A.; Bukaveckas, P.A. Surface water nutrient concentrations and litter decomposition rates in wetlands impacted by agriculture and mining activities. Aquat. Bot. 2002, 74, 273–285. [Google Scholar] [CrossRef]
- Bian, Z.; Lu, Q. Ecological effects analysis of land use change in coal mining area based;on ecosystem service valuing: A case study in Jiawang. Environ. Earth Sci. 2013, 68, 1619–1630. [Google Scholar] [CrossRef]
- Li, F.; Liu, X.; Zhao, D.; Wang, B.; Jin, J.; Hu, D. Evaluating and modeling ecosystem service loss of coal mining: A case study of Mentougou district of Beijing, China. Ecol. Complex. 2011, 8, 139–143. [Google Scholar] [CrossRef]
© 2019 by the authors. Licensee MDPI, Basel, Switzerland. This article is an open access article distributed under the terms and conditions of the Creative Commons Attribution (CC BY) license (http://creativecommons.org/licenses/by/4.0/).




