Simulation of the Transient Characteristics of Water Pipeline Leakage with Different Bending Angles
Abstract
1. Introduction
2. Numerical Model
2.1. Governing Equations
2.2. Non-Steady Friction Model
2.3. Method of Characteristics
2.4. Boundary Condition
2.4.1. Leakage Hole Boundary Condition
2.4.2. Upstream Boundary Condition
2.4.3. Downstream Valve Boundary Condition
2.4.4. Pressure Flow Equation at the Pipe Bend
2.5. Flowmaster Calculation Model
3. Model Validation
4. Results and Discussion
4.1. Transient Characteristics of Leakage with a 90° Elbow Water Pipeline
4.1.1. Effect of R/D without Leakage
4.1.2. Influences of R/D When a Leak Occurs
4.1.3. Influences of the Leak Hole Size
4.1.4. Influences of the Leakage Position
4.2. Influence of Different Angles of the Bending Pipe on the Hydraulic Characteristics of a Pipeline
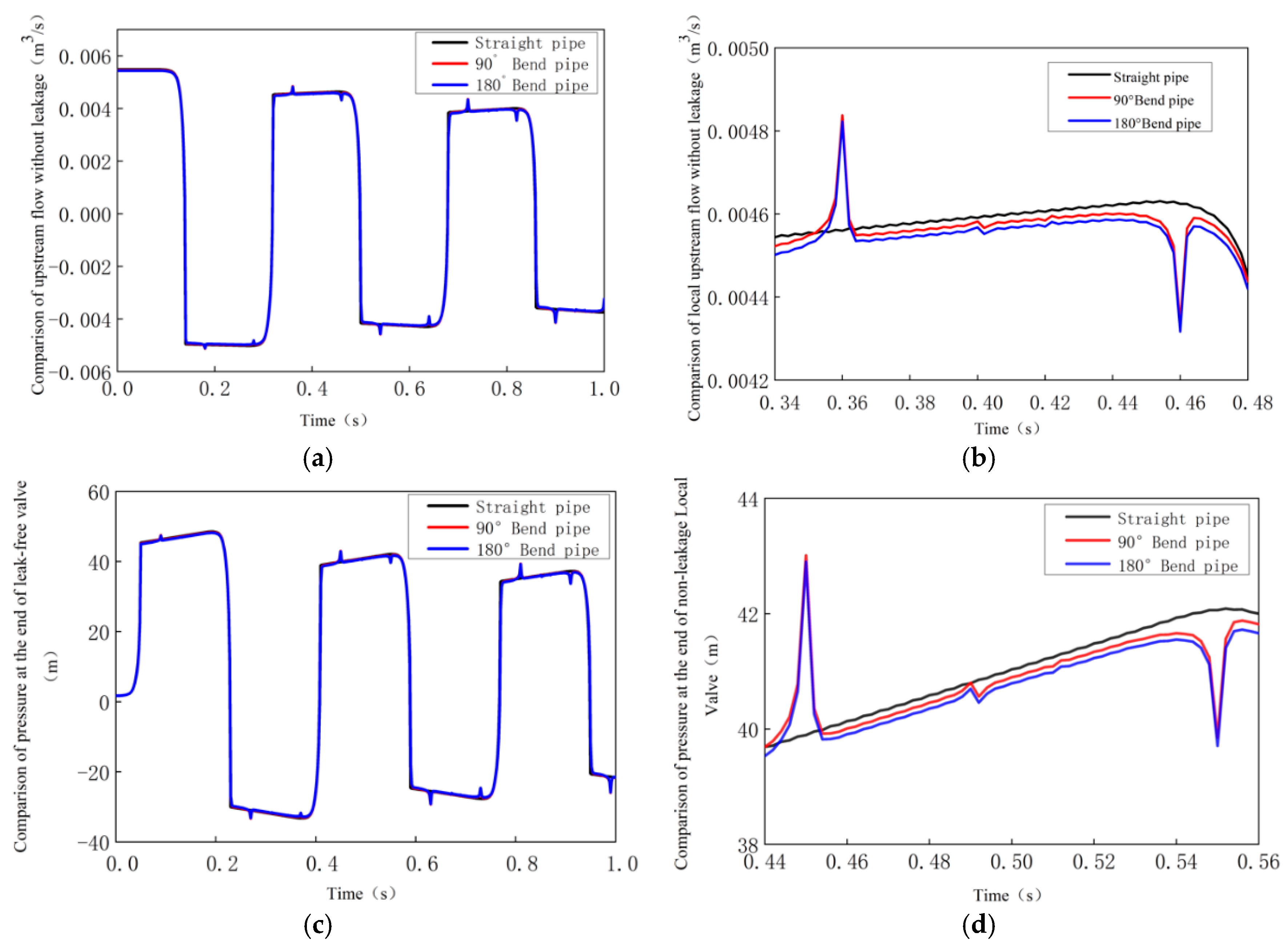
4.2.1. Influence of a Bent Pipe in a Pipeline without Leakage
4.2.2. Influence of the Bending Angle on Pipeline during Leakage
5. Conclusions
Author Contributions
Funding
Acknowledgments
Conflicts of Interest
References
- Zhang, T.T.; Tan, Y.F.; Zhang, X.D.; Zhao, J.H. A novel hybrid technique for leak detectionand locationinstraight pipelines. J. Loss Prev. Process Ind. 2015, 35, 157–168. [Google Scholar] [CrossRef]
- Colombo, A.F.; Lee, P.; Karney, B.W. A selective literature review of transient-based leak detection methods. J. Hydro-Environ. Res. 2009, 2, 212–227. [Google Scholar] [CrossRef]
- Liu, C.W.; Li, Y.X.; Xu, M.H. An integrated detection and location model for leakages in liquid pipelines. J. Pet. Sci. Eng. 2019, 175, 852–867. [Google Scholar] [CrossRef]
- Brunone, B.; Meniconi, S.; Capponi, C. Numerical analysis of the transient pressure damping in a single polymeric pipe with a leak. Urban Water J. 2019, 15, 760–768. [Google Scholar] [CrossRef]
- Wang, X.J.; Lamber, M.F.; Simpson, A.R.; Asce, M.; Liggett, J.A.; Vítkovsk, J.P. Leak detection in pipelines using the damping of fluid transients. J. Hydraul. Eng. 2002, 128, 697–711. [Google Scholar] [CrossRef]
- Wang, X.J.; Simpson, A.R.; Lambert, M.F. An analytical solution for the transients in a pipeline with a variable boundary condition: Leak detection in pipe networks using coded transients. In Proceedings of the 8th Annual Water Distribution Systems Analysis Symposium, Cincinnati, OH, USA, 27–30 August 2006. [Google Scholar]
- Li, J.; Zheng, Q.; Qian, Z.H.; Yang, Z.H.; Xiao, P. A novel location algorithm for pipeline leakage based on the attenuation of negative pressure wave. Process Saf. Environ. Prot. 2019, 123, 309–316. [Google Scholar] [CrossRef]
- Ferrante, M.; Brunone, B. Pipe system diagnosis and leak detection by unsteady-state tests. 1. Harmonic analysis. Adv. Water Resour. 2003, 26, 95–105. [Google Scholar] [CrossRef]
- Ferrante, M.; Btunone, B.; Meniconi, S. Wavelets for the analysis of transient pressure signals for leak detection. J. Hydraul. Eng. 2007, 133, 1274–1282. [Google Scholar] [CrossRef]
- Witness, M.; Chaudhry, M.H.; Gassman, S.L. Leak detection in pipes by frequency response method using a step excitation. J. Hydraul. Res. 2002, 40, 55–62. [Google Scholar]
- Gong, J.Z.; Lamber, M.F.; Simpson, A.R.; Zecchin, A.C. Single-event leak detection in pipeline using first three resonant responses. J. Hydraul. Eng. 2013, 139, 645–655. [Google Scholar] [CrossRef]
- Gong, J.Z.; Zecchin, A.C.; Simpson, A.R.; Lambert, M.F. Frequency response diagram for pipeline leak detection: Comparing the odd and even harmonics. J. Water Resour. Plan. Manag. 2014, 140, 65–74. [Google Scholar] [CrossRef]
- Kim, S. Holistic diagnosis of pipeline system with impedance method. Procedia Eng. 2014, 70, 924–933. [Google Scholar] [CrossRef][Green Version]
- He, G.X.; Liang, Y.T.; Li, Y.S. A method for simulating the entire leaking process and calculating the liquid leakage volume of a damaged pressurized pipeline. J. Hazard. Mater. 2017, 332, 19–32. [Google Scholar] [CrossRef] [PubMed]
- Ayadi, A.; Ghorbel, O.; Bensalah, M.S.; Abib, M. Kernelized technique for outliers detection to monitoring water pipeline based on WSNs. Comput. Netw. 2019, 150, 179–189. [Google Scholar] [CrossRef]
- Shucksmith, J.D.; Boxall, J.B.; Staszewski, W.J.; Seth, A.B.; Stephen, B.M. Onsite leak location in a pipe network by cepstrum analysis of pressure transients. J. Awwa 2012, 104, 457–465. [Google Scholar] [CrossRef]
- Lee, P.J.; Lambert, M.F.; Simpson, A.R.; Vitkovsky, J.P.; Liggett, J. Experimental verification of the frequency response method of leak detection. J. Hydraul. Res. 2006, 44, 693–707. [Google Scholar] [CrossRef]
- Ge, C.; Wang, G.; Ye, H. Analysis of the smallest detectable leakage flow rate of negative pressure wave-based leak detection systems for liquid pipelines. Comput. Chem. Eng. 2008, 32, 1669–1680. [Google Scholar] [CrossRef]
- Liang, S.; Ning, C. Integrated-signal-based leak location method for liquid pipelines. J. Loss Prev. Process Ind. 2014, 32, 311–318. [Google Scholar]
- Meseguer, J.; Mirats-Tur, J.M.; Cembrano, G.; Puig, V.; Quevedo, J.; Perez, R.; Sanz, G.; Ibarra, D. A decision support system for on-line leakage localization. Environ. Model. Softw. 2014, 60, 331–345. [Google Scholar] [CrossRef]
- Lu, W.Q.; Liang, W.; Zhang, L.B.; Liu, W. A novel noise reduction method applied in negative pressure wave for pipeline leakage localization. Process Saf. Environ. Prot. 2016, 104, 142–149. [Google Scholar] [CrossRef]
- Diao, X.; Shen, G.D.; Jiang, J.C.; Chen, Q.; Wang, Z.R.; Ni, L.; Mebarki, A.; Dou, Z. Leak detection and location in liquid pipelines by analyzing the first transient pressure wave with unsteady friction. J. Loss Prev. Process Ind. 2019, 60, 303–310. [Google Scholar] [CrossRef]
- Li, S.Z.; Song, Y.J.; Zhou, G.Q. Leak detection of water distribution pipeline subject to failure of socket joint based on acoustic emission and pattern recognition. Measurement 2018, 115, 39–44. [Google Scholar] [CrossRef]
- Cheng, W.P.; Fang, H.J.; Chen, M.J.; Xu, G. Using SCADA to detect and locate bursts in a long-distance water pipeline. Water 2018, 10, 1727. [Google Scholar] [CrossRef]
- Cheng, W.P.; Xu, G.; Fang, H.J.; Zhao, D.D. Study on pipe burst detection frame based on water distribution model and monitoring system. Water 2019, 11, 1363. [Google Scholar] [CrossRef]
- Shao, Y.; Yao, T.; Gong, J.Z.; Liu, J.; Zhang, T.; Yu, T. Impact of main pipe flow velocity on leakage and intrusion flow: An experimental study. Water 2019, 11, 118. [Google Scholar] [CrossRef]
- Al-washali, T.; Sharma, S.; Al-nozaily, F.; Haidera, M.; Kennedy, M. Modelling the leakage rate and reduction using minimum night flow analysis in an intermittent supply system. Water 2019, 11, 48. [Google Scholar] [CrossRef]
- Adedeji, K.B.; Hamam, Y.; Abe, B.T.; Abu-Mahfouz, A.M. Leakage detection and estimation algorithm for loss reduction in water piping networks. Water 2017, 9, 773. [Google Scholar] [CrossRef]
- Laven, L.; Lambert, A.O. What do we Know About Real Losses on Transmission Mains? In Proceedings of the IWA Specialised Conference Water Loss, Manila (RP), Manila, Philippines, 26–29 February 2012. [Google Scholar]
- Meniconi, S.; Brunone, B.; Frisinghelli, M. On the role of minor branches, energy dissipation, and small defects in the transient response of transmission mains. Water 2018, 10, 187. [Google Scholar] [CrossRef]
- Chang, W.N. Numerical Simulation and Experimental Study on Leak Detection of Water Pipeline Based on Unsteady Friction; Xi’an University of Technology: Xi’an, China, 2018. (In Chinese) [Google Scholar]
- Guo, X.L.; Yang, K.L.; Guo, Y.X.; Wang, T.; Fu, H. Transient pressure rise method for leak detection in pipeline systems. J. Basic Sci. Eng. 2001, 19, 20–28. (In Chinese) [Google Scholar]












© 2019 by the authors. Licensee MDPI, Basel, Switzerland. This article is an open access article distributed under the terms and conditions of the Creative Commons Attribution (CC BY) license (http://creativecommons.org/licenses/by/4.0/).
Share and Cite
Zhang, Q.; Wu, F.; Yang, Z.; Li, G.; Zuo, J. Simulation of the Transient Characteristics of Water Pipeline Leakage with Different Bending Angles. Water 2019, 11, 1871. https://doi.org/10.3390/w11091871
Zhang Q, Wu F, Yang Z, Li G, Zuo J. Simulation of the Transient Characteristics of Water Pipeline Leakage with Different Bending Angles. Water. 2019; 11(9):1871. https://doi.org/10.3390/w11091871
Chicago/Turabian StyleZhang, Qiaoling, Feng Wu, Zhendong Yang, Guodong Li, and Juanli Zuo. 2019. "Simulation of the Transient Characteristics of Water Pipeline Leakage with Different Bending Angles" Water 11, no. 9: 1871. https://doi.org/10.3390/w11091871
APA StyleZhang, Q., Wu, F., Yang, Z., Li, G., & Zuo, J. (2019). Simulation of the Transient Characteristics of Water Pipeline Leakage with Different Bending Angles. Water, 11(9), 1871. https://doi.org/10.3390/w11091871

