Effects of Travel Speed and Collector on Evaluation of the Water Application Uniformity of a Center Pivot Irrigation System
Abstract
1. Introduction
2. Materials and Methods
2.1. Experiment Sites and System Descriptions
2.2. Experimental Setup and Test Procedures
2.3. Data Analysis
3. Results and Discussion
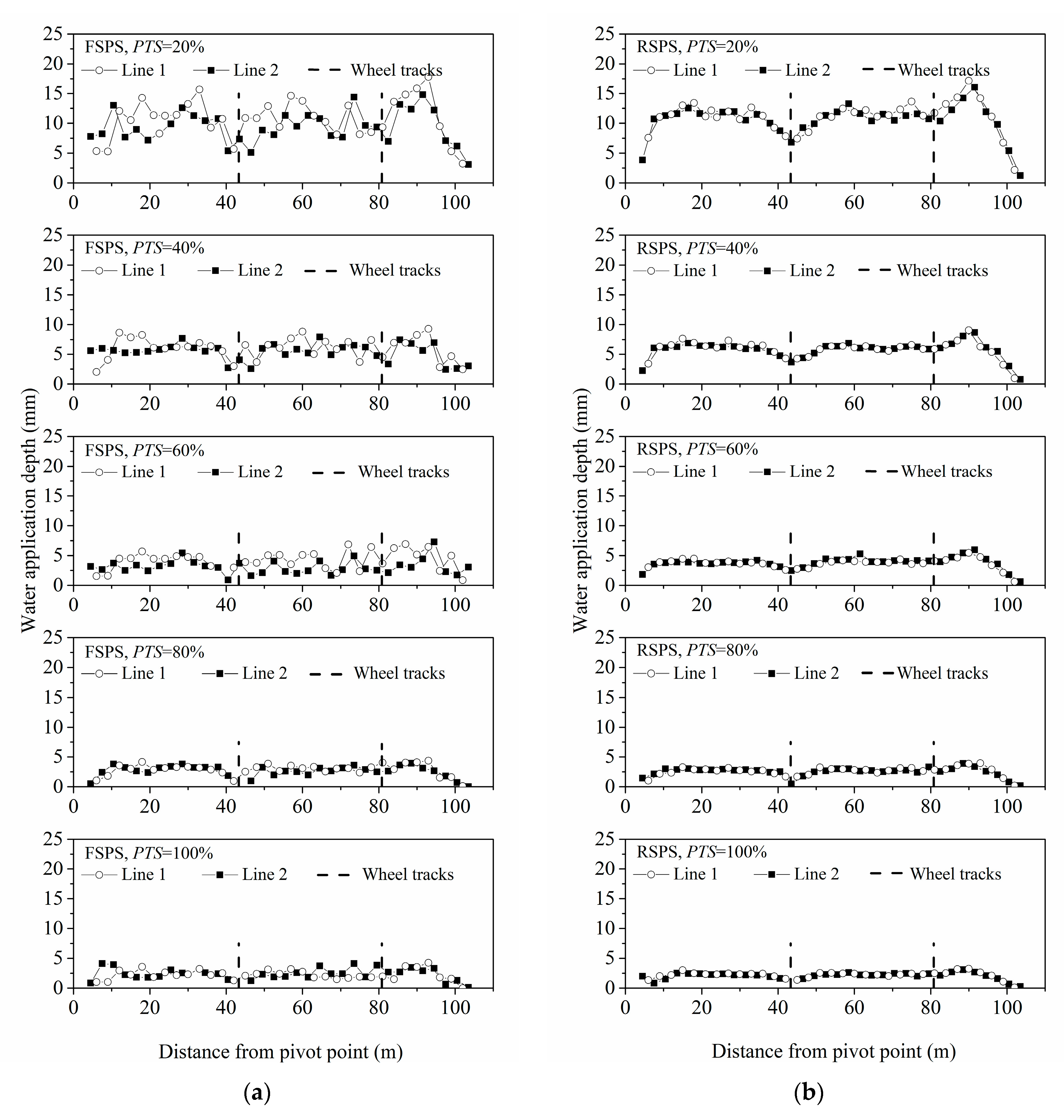
3.1. Effect of Travel Speed on Water Distribution and Application Uniformity
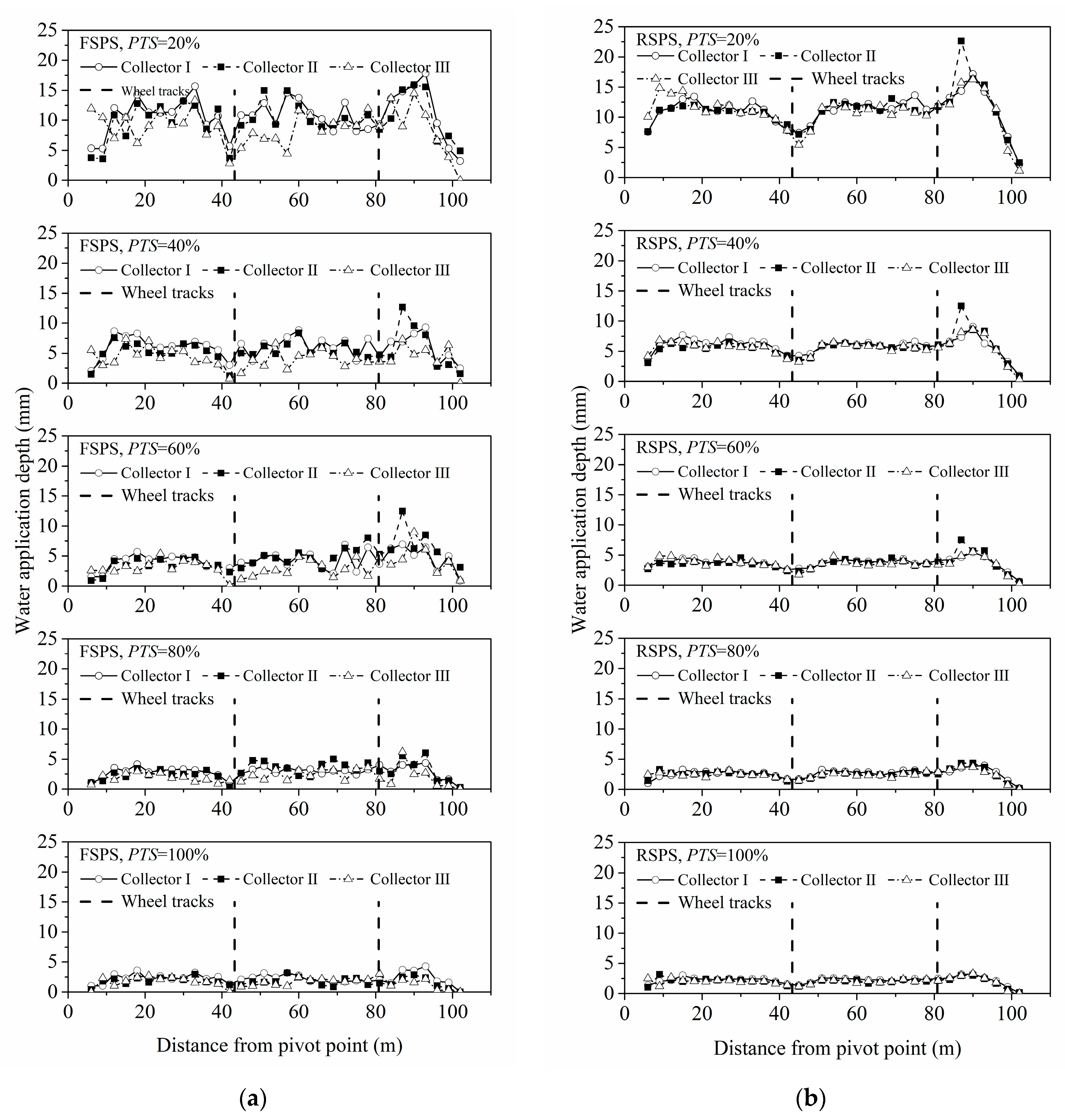
3.2. Effect of Collector Size and Setting Height on Water Distribution and Application Uniformity
3.3. Analysis of Variance Results for the Effect of Various Factors on Water Application Uniformity
3.4. Water Application Rate
4. Conclusions
Author Contributions
Funding
Conflicts of Interest
References
- Martin, D.L.; Kincaid, D.C.; Lyle, W.M. Design and operation of sprinkler systems. In Design and Operation of Farm Irrigation Systems; Hoffman, G.J., Evans, R.G., Jensen, M.E., Martin, D.L., Elliott, R.L., Eds.; American Society of Agricultural and Biological Engineers: St. Joseph, MI, USA, 2007; pp. 557–631. [Google Scholar]
- Jiao, J.; Su, D.R.; Wang, Y.D. Dynamics of water vapor content around isolated sprinklers: Description and validation of model. Water 2017, 9, 307. [Google Scholar] [CrossRef]
- Zhang, Y.S.; Sun, B.; Fang, H.Y.; Zhu, D.L.; Yang, L.X.; Li, Z.S. Experimental and simulation investigation on the kinetic energy dissipation rate of a fixed spray-plate sprinkler. Water 2018, 10, 1365. [Google Scholar] [CrossRef]
- Yan, H.J.; Hui, X.; Li, M.N.; Xu, Y.C. Development in sprinkler irrigation technology in China. Irrig. Drain. 2020, 1–13. [Google Scholar] [CrossRef]
- Li, Y.C.; Bai, G.; Yan, H.J. Development and validation of a modified model to simulate the sprinkler water distribution. Comput. Electron. Agr. 2015, 111, 38–47. [Google Scholar] [CrossRef]
- Henggeler, J.C.; Vories, E.D. Evaluating center pivot distribution uniformity from catch can tests. In Proceedings of the 2009 ASABE Annual International Meeting, Reno, NV, USA, 21–24 June 2009; pp. 2416–2429. [Google Scholar]
- Dukes, M.D.; Perry, C. Uniformity testing of variable-rate center pivot irrigation control systems. Precis. Agric. 2006, 7, 205–218. [Google Scholar] [CrossRef]
- Silva, L.L. The effect of spray head sprinklers with different deflector plates on irrigation uniformity, runoff and sediment yield in a Mediterranean soil. Agr. Water Manage. 2006, 85, 243–252. [Google Scholar] [CrossRef]
- Burt, C.M.; Clemmens, A.J.; Strelkoff, T.S.; Solomon, K.H.; Bliesner, R.D.; Hardy, L.A.; Howell, T.A.; Eisenhauer, D.E. Irrigation performance measures: Efficiency and uniformity. J. Irrig. Drain. Eng. 1997, 123, 423–442. [Google Scholar] [CrossRef]
- Ortiz, J.N.; de Juan, J.A.; Tarjuelo, J.M. Analysis of water application uniformity from a centre pivot irrigator and its effect on sugar beet (Beta vulgaris L.) yield. Biosyst. Eng. 2010, 105, 367–379. [Google Scholar] [CrossRef]
- Zhang, Y.S.; Guo, J.J.; Sun, B.; Fang, H.Y.; Zhu, D.L.; Wang, H.L. Modeling and dynamic-simulating the water distribution of a fixed spray-plate sprinkler on a lateral-move sprinkler irrigation system. Water 2019, 11, 2296. [Google Scholar] [CrossRef]
- Rovelo, C.O.R.; Ruiz, N.Z.; Tolosa, J.B.; Felix, J.R.F.; Latorre, B. Characterization and simulation of a low-pressure rotator spray plate sprinkler used in center pivot irrigation systems. Water 2019, 11, 1684. [Google Scholar] [CrossRef]
- Jiao, J.; Wang, Y.D.; Han, L.L.; Su, D.R. Comparison of water distribution characteristics for two kinds of sprinklers used for center pivot irrigation systems. Appl Sci 2017, 7, 421. [Google Scholar] [CrossRef]
- Hills, D.J.; Barragan, J. Application uniformity for fixed and rotating spray plate sprinklers. Appl. Eng. Agric. 1998, 14, 33–36. [Google Scholar] [CrossRef]
- Li, Y.; Yan, H.; Cai, D.; Gu, T.; Sui, R.; Chen, D. Evaluating the water application uniformity of center pivot irrigation systems in Northern China. Int. Agr. Eng. J. 2019, 28, 1–9. [Google Scholar]
- Yan, H.; Jin, H.; Qian, Y. Characterizing center pivot irrigation with fixed spray plate sprinklers. Sci. China. Technol, Sc. 2010, 53, 1398–1405. [Google Scholar] [CrossRef]
- Ouazaa, S.; Latorre, B.; Burguete, J.; Serreta, A.; Playán, E.; Salvador, R.; Paniagua, P.; Zapata, N. Effect of the start-stop cycle of center-pivot towers on irrigation performance: Experiments and simulations. Agr. Water Manage. 2015, 147, 163–174. [Google Scholar] [CrossRef]
- Abd El-Wahed, M.H.; Medici, M.; Lorenzini, G. Harvesting water in a center pivot irrigation system: Evaluation of distribution uniformity with varying operating parameters. J. Eng. Thermophys.-Rus. 2015, 24, 143–151. [Google Scholar] [CrossRef]
- Dogan, E.; Kirnak, H.; Doyan, Z. Effect of varying the distance of collectors below a sprinkler head and travel speed on measurements of mean water depth and uniformity for a linear move irrigation sprinkler system. Biosyst. Eng. 2008, 99, 190–195. [Google Scholar] [CrossRef]
- Salih, S.A.R. Evaluation of speed effect on center pivot irrigation system performance at Waha project under Sudan north state conditions. In Proceedings of the International Conference on Civil and Architecture Engineering, Kuala Lumpur, Malaysia, 6–7 May 2013; pp. 41–42. [Google Scholar]
- Hills, D.J.; Gu, Y.; Rumsey, J.W.; Wallender, W.W. Lateral move water application uniformity relative to machine speed. Trans. ASAE 1988, 31, 527–530. [Google Scholar] [CrossRef]
- Rogers, D.H.; Alam, M.; Shaw, L.K.; Clark, G.A. Impact of collector size and spacing on center pivot uniformity evaluations. In Proceedings of the 2009 ASABE Annual International Meeting, Reno, NV, USA, 21–24 June 2009; pp. 4168–4180. [Google Scholar]
- ASAE Standard. Test Procedure for Determining the Uniformity of Water Distribution of Center Pivot and Lateral Move Irrigation Machines Equipped with Spray or Sprinkler Nozzles; (R2012); ASAE: St. Joseph, MI, USA, 1996; Volume ANSI/ASAE S436.1. [Google Scholar]
- ISO. Agricultural Irrigation Equipment—Center-Pivot and Moving Lateral Irrigation Machines with Sprayer or Sprinkler Nozzles—Determination of Uniformity of Water Distribution; ISO: Geneva, Switzerland, 2009; Volume ISO 11545. [Google Scholar]
- Kincaid, D.C. Application rates from center pivot irrigation with current sprinkler types. Appl. Eng. Agric. 2005, 21, 605–610. [Google Scholar] [CrossRef]
- Zhu, X.Y.; Fordjour, A.; Yuan, S.Q.; Dwomoh, F.; Ye, D.X. Evaluation of hydraulic performance characteristics of a newly designed dynamic fluidic sprinkler. Water 2018, 10, 1301. [Google Scholar] [CrossRef]
- Heermann, D.F.; Hein, P.R. Performance characteristics of self-propelled center-pivot sprinkler irrigation system. Trans. ASAE 1968, 2, 11–15. [Google Scholar] [CrossRef]
- Li, Y. Theoretical and experimental research on hydraulic performance of center pivot irrigation systems and its optimal design. Ph.D Thesis, China Agricultural University, Beijing, China, June 2016. [Google Scholar]
- Nakawuka, P.; Okwany, R.O.; Peters, T.R.; Desta, K.; Sadeghi, S.H. Efficacy of boom systems in controlling runoff under center pivots and linear move irrigation systems. Appl. Eng. Agric. 2014, 30, 797–801. [Google Scholar] [CrossRef][Green Version]
- Zhao, W.; Zhang, M.; Li, J.; Li, Y. Influence of sprinkler height on irrigation performance of center pivot irrigator. Trans. CSAE 2018, 34, 107–112. [Google Scholar] [CrossRef]
- Bjorneberg, D.L.; Aase, J.K. Multiple polyacrylamide applications for controlling sprinkler irrigation runoff and erosion. Appl. Eng. Agric. 2000, 16, 501–504. [Google Scholar] [CrossRef]









| Item | Value | Item | Value |
|---|---|---|---|
| Pivot length (m) | 97.3 | Motor input speed (rpm) | 1425 |
| Area irrigated (hm2) | 3.0 | Motor reducer gear ratio | 40:1 |
| System design discharge (m3 h−1) | 25 | Wheel reducer gear ratio | 50:1 |
| System design pressure (kPa) | 200 | Outermost tower velocity (m min−1) | 2.78 |
| Tire specification | 14.9–24 | Minimum hours per revolution (h) | 3.04 |
| Dynamic radius of tire (m) | 0.609 | Minimum application depth per revolution (mm) | 2.56 |
| Sprinkler | PTS (%) | Average Air Temperature (℃) | Average Relative Humidity (%) | Average Wind Speed (m/s) | Prevailing Wind Direction |
|---|---|---|---|---|---|
| FSPS | 20 | 25.0 | 25.0 | 0.8 | Southwest |
| 40 | 24.7 | 32.0 | 0.3 | West | |
| 60 | 22.5 | 38.0 | 0 | - | |
| 80 | 25.0 | 27.0 | 0.4 | Southwest | |
| 100 | 16.0 | 61.0 | 0.4 | Southeast | |
| RSPS | 20 | 23.4 | 43.5 | 0.5 | East |
| 40 | 23.0 | 47.5 | 0.1 | Northeast | |
| 60 | 24.0 | 37.7 | 0.2 | Southeast | |
| 80 | 25.0 | 33.7 | 1.3 | South | |
| 100 | 25.0 | 30.0 | 0.2 | East |
| Sprinkler | PTS (%) | CUH (%) | ||
|---|---|---|---|---|
| Line 1 | Line 2 | Overall | ||
| FSPS | 20 | 72.5 | 73.2 | 72.8 |
| 40 | 72.8 | 73.5 | 73.1 | |
| 60 | 67.1 | 67.9 | 67.4 | |
| 80 | 70.8 | 69.2 | 70.1 | |
| 100 | 65.7 | 64.3 | 65.0 | |
| Mean | 69.8 | 69.6 | 69.7 | |
| RSPS | 20 | 80.6 | 80.0 | 80.3 |
| 40 | 80.4 | 79.9 | 80.1 | |
| 60 | 80.0 | 79.0 | 79.5 | |
| 80 | 76.6 | 74.5 | 75.6 | |
| 100 | 77.4 | 76.5 | 77.0 | |
| Mean | 79.0 | 78.0 | 78.5 | |
| Sprinkler | PTS (%) | Dw (mm) | ||
|---|---|---|---|---|
| Collector I | Collector II | Collector III | ||
| FSPS | 20 | 10.9 | 10.4 | 8.5 |
| 40 | 6.0 | 5.6 | 4.1 | |
| 60 | 4.4 | 5.3 | 3.5 | |
| 80 | 2.9 | 3.1 | 2.1 | |
| 100 | 2.2 | 1.7 | 1.5 | |
| Mean | 5.3 | 5.2 | 3.9 | |
| RSPS | 20 | 11.2 | 11.4 | 10.7 |
| 40 | 5.8 | 5.8 | 5.4 | |
| 60 | 3.7 | 3.7 | 3.4 | |
| 80 | 2.7 | 2.5 | 2.4 | |
| 100 | 2.2 | 1.9 | 2.0 | |
| Mean | 5.1 | 5.1 | 4.8 | |
| Factor | Sum of Square of Deviation | Degree of Freedom | Mean Square Deviation | F Value | P Value |
|---|---|---|---|---|---|
| Travel speed | 287.679 | 4 | 71.920 | 1.159 | 0.352 |
| Collector size | 73.728 | 1 | 73.728 | 2.102 | 0.164 |
| Collector setting height | 69.192 | 1 | 69.192 | 0.969 | 0.338 |
| Sprinkler type | 964.467 | 1 | 964.467 | 30.885 | 0.000 |
| Factor | Sum of Square of Deviation | Degree of Freedom | Mean Square Deviation | F Value | P Value |
|---|---|---|---|---|---|
| Travel speed | 280.640 | 4 | 70.160 | 151.468 | 0.000 |
| Collector size | 0.018 | 1 | 0.018 | 0.002 | 0.969 |
| Collector setting height | 3.042 | 1 | 3.042 | 0.295 | 0.594 |
| Sprinkler type | 0.225 | 1 | 0.225 | 0.022 | 0.884 |
© 2020 by the authors. Licensee MDPI, Basel, Switzerland. This article is an open access article distributed under the terms and conditions of the Creative Commons Attribution (CC BY) license (http://creativecommons.org/licenses/by/4.0/).
Share and Cite
Li, Y.; Hui, X.; Yan, H.; Chen, D. Effects of Travel Speed and Collector on Evaluation of the Water Application Uniformity of a Center Pivot Irrigation System. Water 2020, 12, 1916. https://doi.org/10.3390/w12071916
Li Y, Hui X, Yan H, Chen D. Effects of Travel Speed and Collector on Evaluation of the Water Application Uniformity of a Center Pivot Irrigation System. Water. 2020; 12(7):1916. https://doi.org/10.3390/w12071916
Chicago/Turabian StyleLi, Yongchong, Xin Hui, Haijun Yan, and Diyi Chen. 2020. "Effects of Travel Speed and Collector on Evaluation of the Water Application Uniformity of a Center Pivot Irrigation System" Water 12, no. 7: 1916. https://doi.org/10.3390/w12071916
APA StyleLi, Y., Hui, X., Yan, H., & Chen, D. (2020). Effects of Travel Speed and Collector on Evaluation of the Water Application Uniformity of a Center Pivot Irrigation System. Water, 12(7), 1916. https://doi.org/10.3390/w12071916

