Integrated Modeling of Water Supply and Demand Under Climate Change Impacts and Management Options in Tributary Basin of Tonle Sap Lake, Cambodia
Abstract
1. Introduction
2. Materials and Methods
2.1. Study Area
2.2. Intergrated Model Approach
2.3. Data and Model Parameterization
2.4. The SWAT and WEAP Modeling Approach
2.4.1. SWAT Modeling Approach
2.4.2. WEAP Modeling Approach
2.5. Climate Change and Water Mangement Scenarios
2.6. Environmental Flow Requirement
2.7. Safety Level of the Water Balance
3. Results
3.1. Impacts of Climate Change on Flow regime and Hydrological Extreme
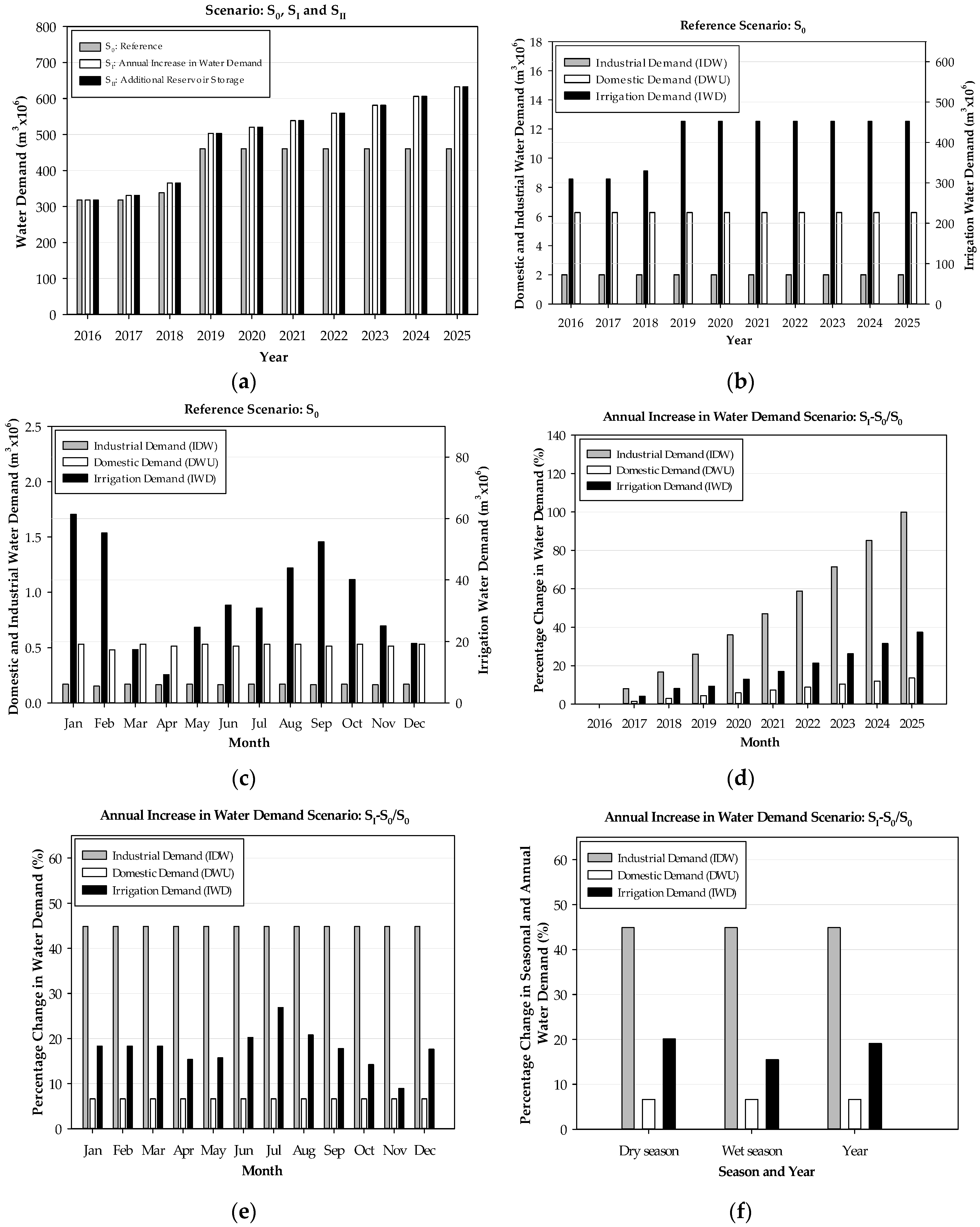
3.2. Water Supply and Demand under E-Flow Maitenance and Management Options
3.3. The Effects of Climate Change on Water Demand and Supply under E-Flows maintenance and Mangement Options
3.4. Safety Level of Water Balance
4. Discussion
4.1. Impacts of Climate Change on Flow Regime and Hydrological Extreme
4.2. Water Demand and Supply Relations in Current Scenario
4.3. Climate Change Impacts on Water Demand and Supply Relations
5. Conclusions
Author Contributions
Funding
Acknowledgments
Conflicts of Interest
References
- Ty, T.V.; Sunada, K.; Ichikawa, Y.; Oishi, S. Scenario-based Impact Assessment of Land Use/Cover and Climate Changes on Water Resources and Demand: A Case Study in the Srepok River Basin, Vietnam—Cambodia. Water Resour. Manag. 2012, 26, 1387–1407. [Google Scholar] [CrossRef]
- Amin, A.; Iqbal, J.; Asghar, A.; Ribbe, L. Analysis of Current and Future Water Demands in the Upper Indus Basin under IPCC Climate and Socio-Economic Scenarios Using a Hydro-Economic WEAP Model. Water 2018, 10, 537. [Google Scholar] [CrossRef]
- IPCC. Climate Change 2013: The Physical Science Basis. Contribution of Working Group I to the Fifth Assessment Report of the Intergovernmental Panel on Climate Change; Cambridge University Press: Cambridge, UK; New York, NY, USA, 2013; pp. 19–20. [Google Scholar]
- Reshmidevi, T.V.; Nagesh Kumar, D.; Mehrotra, R.; Sharma, A. Estimation of the climate change impact on a catchment water balance using an ensemble of GCMs. J. Hydrol. 2018, 556, 1192–1204. [Google Scholar] [CrossRef]
- Muttiah, R.S.; Wurbs, R.A. Modeling the Impacts of Climate Change on Water Supply Reliabilities. Water Int. 2002, 27, 407–419. [Google Scholar] [CrossRef]
- Ahmadaali, J.; Barani, G.-A.; Qaderi, K.; Hessari, B. Analysis of the Effects of Water Management Strategies and Climate Change on the Environmental and Agricultural Sustainability of Urmia Lake Basin, Iran. Water 2018, 10, 160. [Google Scholar] [CrossRef]
- Zhou, Y.; Ching, L. Embedding Innovation: Bricolage and the Case of the Phnom Penh Water Supply Authority. In Institutional Entrepreneurship and Policy Change: Theoretical and Empirical Explorations; Bakir, C., Jarvis, D.S.L., Eds.; Springer International Publishing: Cham, Switzerland, 2018; pp. 221–242. [Google Scholar] [CrossRef]
- Leong, C. Ek Sonn Chan and the Transformation of the Phnom Penh Water Supply Authority. Ssrn Electron. J. 2010. [Google Scholar] [CrossRef]
- Dore, J.; Lebel, L. Deliberation and Scale in Mekong Region Water Governance. Environ. Manag. 2010, 46, 60–80. [Google Scholar] [CrossRef]
- World Bank. World Development Report 2010: Development and Climate Change; World Bank: Washington, DC, USA, 2010. [Google Scholar]
- IPCC. Climate Change 2007: Impacts, Adaptation and Vulnerability. Contribution of Working Group II to the Fourth Assessment Report of the IPCC.; Cambridge University Press: Cambridge, UK, 2007. [Google Scholar]
- Mertz, O.; Halsnæs, K.; Olesen, J.; Rasmussen, K. Adaptation to Climate Change in Developing Countries. Environ. Manag. 2009, 43, 743–752. [Google Scholar] [CrossRef]
- Arief Anshory, Y.; Herminia, F. Climate Change Vulnerability Mapping for Southeast Asia; Economy and Environment Program for Southeast Asia (EEPSEA): South Bridge Court, Singapore, 2009. [Google Scholar]
- Wada, Y.; Wisser, D.; Eisner, S.; Flörke, M.; Gerten, D.; Haddeland, I.; Hanasaki, N.; Masaki, Y.; Portmann, F.T.; Stacke, T. Multimodel projections and uncertainties of irrigation water demand under climate change. Geophys. Res. Lett. 2013, 40, 4626–4632. [Google Scholar] [CrossRef]
- Frederick, K.D.; Major, D.C. Climate Change and Water Resources. In Climate Change and Water Resources Planning Criteria; Frederick, K.D., Major, D.C., Stakhiv, E.Z., Eds.; Springer: Dordrecht, The Netherlands, 1997; pp. 7–23. [Google Scholar] [CrossRef]
- Kirby, J.M.; Mainuddin, M.; Mpelasoka, F.; Ahmad, M.D.; Palash, W.; Quadir, M.E.; Shah-Newaz, S.M.; Hossain, M.M. The impact of climate change on regional water balances in Bangladesh. Clim. Chang. 2016, 135, 481–491. [Google Scholar] [CrossRef]
- Rowshon, M.K.; Dlamini, N.S.; Mojid, M.A.; Adib, M.N.M.; Amin, M.S.M.; Lai, S.H. Modeling climate-smart decision support system (CSDSS) for analyzing water demand of a large-scale rice irrigation scheme. Agric. Water Manag. 2019, 216, 138–152. [Google Scholar] [CrossRef]
- Oeurng, C.; Cochrane, T.A.; Chung, S.; Kondolf, M.G.; Piman, T.; Arias, M.E. Assessing Climate Change Impacts on River Flows in the Tonle Sap Lake Basin, Cambodia. Water 2019, 11, 618. [Google Scholar] [CrossRef]
- Ngo, L.A.; Masih, I.; Jiang, Y.; Douven, W. Impact of reservoir operation and climate change on the hydrological regime of the Sesan and Srepok Rivers in the Lower Mekong Basin. Clim. Chang. 2018, 149, 107–119. [Google Scholar] [CrossRef]
- Ng, G.-H.C.; McLaughlin, D.; Entekhabi, D.; Scanlon, B.R. Probabilistic analysis of the effects of climate change on groundwater recharge. Water Resour. Res. 2010, 46. [Google Scholar] [CrossRef]
- Yaykiran, S.; Cuceloglu, G.; Ekdal, A. Estimation of Water Budget Components of the Sakarya River Basin by Using the WEAP-PGM Model. Water 2019, 11, 271. [Google Scholar] [CrossRef]
- Lu, H.; Ge, S.; Yongqiang, L.; Hong, Q. Integrated modeling of water supply and demand under management options and climate change scenarios in Chifeng City, China. Jawra J. Am. Water Resour. Assoc. 2015, 51, 655–671. [Google Scholar] [CrossRef]
- Maliehe, M.; Mulungu, D.M.M. Assessment of water availability for competing uses using SWAT and WEAP in South Phuthiatsana catchment, Lesotho. Phys. Chem. Earth 2017, 100, 305–316. [Google Scholar] [CrossRef]
- Neitsch, S.L.; Arnold, J.G.; Kiniry, J.R.; Williams, J.R.; King, K.W. Soil and Water Assessment Tool Theoretical Documentation, Ver. 2009; Blackland Research Center, Texas Agricultural Experiment Station: Temple, TX, USA, 2011. [Google Scholar]
- Yates, D.; Sieber, J.; Purkey, D.; Huber-Lee, A. WEAP21-A demand-, priority-, and preference-driven water planning model: Part 1: Model characteristics. Water Int. 2005, 30, 487–500. [Google Scholar] [CrossRef]
- CNMC. Profile of the Tonle Sap Sub-area (SA-9C); Cambodia National Mekong Committee: Phnom Penh, Cambodia, 2012. [Google Scholar]
- JICA. Brief Progress Report on the Water Balance Examination Study for Pursat and Baribor River Basins; Japan International Cooperation Agency: Yokosuka, Japan; Ministry of Water Resources and Meteorology: Phnom Penh, Cambodia, 2013. [Google Scholar]
- JICA. Misahiko H. Report on Examination of Impact of New Dam Plans on the West Tonle Sap Irrigation Rehabilitation Projects in Pursat River Basin; Japan International Cooperation Agency: Yokosuka, Japan; Ministry of Water Resources and Meteorology: Phnom Penh, Cambodia, 2011. [Google Scholar]
- JICA. Land Use Map of Cambodia; Japan International Cooperation Agency: Tokyo, Japan, 2002. [Google Scholar]
- MK16. Fostering Evidence-Based IWRM in Stung Pursat Catchment (Tonle Sap Great Lake) Cambodia; Hatfield Consultants and CEPA: British Columbia, BC, Canada; Ministry of Water Resources and Meteorology: Phnom Penh, Cambodia, 2013. [Google Scholar]
- JICA. Water Balance Examination Study on Pursat and Baribor River Basins; Japan International Cooperation Agency: Yokosuka, Japan; Ministry of Water Resources and Meteorology: Phnom Penh, Cambodia, 2013. [Google Scholar]
- MOWRAM. Feasibility Study on Stung Pursat Dam No. 3 and No. 5 Development Project; Gangdong Foreign Construction Company Ltd.: Seoul, Korea; Ministry of Water Resources and Meteorology: Phnom Penh, Cambodia, 2010. [Google Scholar]
- MIME. Stung Pursat 1: Hydroelectric Project. In Proceedings of the 1st MSP Meeting, Buenos Aires, Argentina, 24–25 January 2015. [Google Scholar]
- Ang, R.; Oeurng, C. Simulating Streamflow in an Ungauged Catchment of Tonlesap Lak Basin Using Soil and Water Assessment Tool (SWAT) Model. Water Sci. 2018. [Google Scholar] [CrossRef]
- JICA. Special Assistance for Project Implementation for West Tonle Sap Irrigation and Drainage Rehabilitation and Improvement Project in the Kingdom of Cambodia; Japan International Coorperation Agency: Phnom Penh, Cambodia, 2012. [Google Scholar]
- Allen, R.G.; Pereira, L.S.; Raes, D.; Smith, M. Crop Evapotranspiration (Guidelines for Computing Crop Water Requirements); United Nations Food and Agriculture Organization: Rome, Italy, 1998. [Google Scholar]
- Blaney, H.F.; Griddle, W.D. Determining consumptive use and irrigation water requirements. Tech. Bull. 1962, 25, 369–373. [Google Scholar]
- National Institute of Statistics. General Population Census of Cambodia 2008; Ministry of Planning: Phnom Penh, Cambodia, 2008. [Google Scholar]
- Oeurng, C.; Sauvage, S.; Sánchez-Pérez, J.-M. Temporal variability of nitrate transport through hydrological response during flood events within a large agricultural catchment in south-west France. Sci. Total Environ. 2010, 409, 140–149. [Google Scholar] [CrossRef] [PubMed]
- Arnold, J.G.; Allen, P.M.; Bernhardt, G. A comprehensive surface-groundwater flow model. J. Hydrol. 1993, 142, 47–69. [Google Scholar] [CrossRef]
- Priestley, H.B.; Taylor, R.J. On the Assessment of Surface Heat Flux and Evaporation Using Large Scale Parameters. Mon. Weather Rev. 1972, 100, 81–92. [Google Scholar] [CrossRef]
- Monteith, J.L. Evaporation and environment. Symp. Soc. Exp. Biol. 1965, 19, 205–234. [Google Scholar]
- Hargreaves, G.H.; Samani, Z. Reference Crop Evapotranspiration from Temperature. Appl. Eng. Agric. 1985, 1, 96–99. [Google Scholar] [CrossRef]
- Sieber, J.; Purkey, D. User Guide for WEAP 21; SEI [Stockholm Environment Institute]: Somerville, MA, USA, 2005. [Google Scholar]
- MRC. 1st Draft Report on Defining Basin-Wide Climate Change Scenarios for the Lower Mekong Basin; Mekong River Commission: Vientiane, Laos, 2015. [Google Scholar]
- Shrestha, B.; Cochrane, T.A.; Caruso, B.S.; Arias, M.E.; Piman, T. Uncertainty in flow and sediment projections due to future climate scenarios for the 3S Rivers in the Mekong Basin. J. Hydrol. 2016, 540, 1088–1104. [Google Scholar] [CrossRef]
- Oeurng, C.; Cochrane, T.A.; Arias, M.E.; Shrestha, B.; Piman, T. Assessment of changes in riverine nitrate in the Sesan, Srepok and Sekong tributaries of the Lower Mekong River Basin. J. Hydrol. Reg. Stud. 2016, 8, 95–111. [Google Scholar] [CrossRef]
- Dufresne, J.-L.; Foujols, M.-A.; Denvil, S.; Caubel, A.; Marti, O.; Aumont, O.; Balkanski, Y.; Bekki, S.; Bellenger, H.; Benshila, R.; et al. Climate change projections using the IPSL-CM5 Earth System Model: From CMIP3 to CMIP5. Clim. Dyn. 2013, 40, 2123–2165. [Google Scholar] [CrossRef]
- Shindell, D.T.; Pechony, O.; Voulgarakis, A.; Faluvegi, G.; Nazarenko, L.; Lamarque, J.F.; Bowman, K.; Milly, G.; Kovari, B.; Ruedy, R.; et al. Interactive ozone and methane chemistry in GISS-E2 historical and future climate simulations. Atmos. Chem. Phys. 2013, 13, 2653–2689. [Google Scholar] [CrossRef]
- Levy, H., II; Horowitz, L.W.; Schwarzkopf, M.D.; Ming, Y.; Golaz, J.-C.; Naik, V.; Ramaswamy, V. The roles of aerosol direct and indirect effects in past and future climate change. J. Geophys. Res. Atmos. 2013, 118, 4521–4532. [Google Scholar] [CrossRef]
- Pastor, A.V.; Ludwig, F.; Biemans, H.; Hoff, H.; Kabat, P. Accounting for environmental flow requirements in global water assessments. Hydrol. Earth Syst. Sci. 2014, 18, 14987–15032. [Google Scholar] [CrossRef]
- Sapkota, P.; Bharati, L.; Gurung, P.; Kaushal, N.; Smakhtin, V. Environmentally sustainable management of water demands under changing climate conditions in the Upper Ganges Basin, India. Hydrol. Process. 2013, 27, 2197–2208. [Google Scholar] [CrossRef]
- Babel, M.S.; Nguyen Dinh, C.; Mullick, M.R.A.; Nanduri, U.V. Operation of a hydropower system considering environmental flow requirements: A case study in La Nga river basin, Vietnam. J. Hydro-Environ. Res. 2012, 6, 63–73. [Google Scholar] [CrossRef]
- Chem, P.; Someth, P. Use of Hydrological Knowledge and Community Participation for Improving Decision-Making on Irrigation Water Allocation. Cdri Work. Pap. 2011, 59, 36–37. [Google Scholar]
- Piman, T.; Cochrane, T.A.; Arias, M.E.; Dat, N.D.; Vonnarart, O. Managing Hydropower Under Climate Change in the Mekong Tributaries. In Managing Water Resources under Climate Uncertainty: Examples from Asia, Europe, Latin America, and Australia; Shrestha, S., Anal, A.K., Salam, P.A., van der Valk, M., Eds.; Springer International Publishing: Cham, Switzerland, 2015; pp. 223–248. [Google Scholar] [CrossRef]
- Huang, S.; Krysanova, V.; Zhai, J.; Su, B. Impact of Intensive Irrigation Activities on River Discharge Under Agricultural Scenarios in the Semi-Arid Aksu River Basin, Northwest China. Water Resour. Manag. 2015, 29, 945–959. [Google Scholar] [CrossRef]
- Swiech, T.; Ertsen, M.W.; Pererya, C.M. Estimating the impacts of a reservoir for improved water use in irrigation in the Yarabamba region, Peru. Phys. Chem. EarthParts A/B/C 2012, 47–48, 64–75. [Google Scholar] [CrossRef]
- Huang, S.; Wortmann, M.; Duethmann, D.; Menz, C.; Shi, F.; Zhao, C.; Su, B.; Krysanova, V. Adaptation strategies of agriculture and water management to climate change in the Upper Tarim River basin, NW China. Agric. Water Manag. 2018, 203, 207–224. [Google Scholar] [CrossRef]
- Joyce, B.A.; Mehta, V.K.; Purkey, D.R.; Dale, L.L.; Hanemann, M. Modifying agricultural water management to adapt to climate change in California’s central valley. Clim. Chang. 2011, 109, 299–316. [Google Scholar] [CrossRef]











| Hydropower Dam and Reservoir Characteristics | Dam No. 1 | Dam No.3 | Dam No.5 |
|---|---|---|---|
| Rated Gross Head (m) | 122 | - | - |
| Installed Capacity (MW) | 40 | - | - |
| Overall Efficiency at Gross Head (-) | 0.9 | - | - |
| Full Supply level (m asl) | 195 | - | - |
| Low Supply level (m asl) | 170 | - | - |
| Tail Water Level (m asl) | 65 | - | - |
| Design Discharge (m3/s) | 38.8 | - | - |
| Live Storage (m3 × 106) | 1014 | 24.5 | 25.5 |
| Dead Storage (m3 × 106) | 306 | - | - |
| Irrigation Scheme | Command Area (ha) | Existing | Planned |
|---|---|---|---|
| Damnak Cheukrom | 16,100 | - | Yes |
| Damnak Ampil extension | 7500 | Yes | Yes |
| Damnak Ampil | 2519 | - | Yes |
| Orokar | 4700 | Yes | - |
| Loloksar | 580 | Yes | - |
| Wat Loung | 2410 | - | Yes |
| Kbal Houng (right bank) | 1200 | Yes | - |
| Kbal Houng (left bank) | 2000 | Yes | - |
| Charek | 11,000 | Yes | - |
| Svay Doun Keo | 815 | Yes | Yes |
| Boeung Khnar | 6714 | Yes | Yes |
| Total command area | 55,538 |
| Station Name | Calibration (2001–2008) | Validation (2009–2011) | ||||
|---|---|---|---|---|---|---|
| Bak Trokoun | NSE | PBIAS | RSR | NSE | PBIAS | RSR |
| 0.59 | 1.15 | 0.63 | 0.55 | 1.2 | 0.85 | |
| No. | Crop Variety | Duration | Start Date | End Date | Area (ha) |
|---|---|---|---|---|---|
| 1 | Early Wet Season Rice Direct Sowing (A) | 90 days | 1 April | 16 July | 10,181 |
| 2 | Wet Season Rice Transplanting (B) | 115 days | 16 July | 11 Nov | 21,029 |
| 3 | Wet Season Rice Transplanting (B1) | 140 days | 1 June | 21 Oct | - |
| 4 | Wet Season Rice Transplanting (B1-15) | 140 days | 16 May | 6 Oct | 15,980 |
| 5 | Wet Season Rice Transplanting (B1 + 15) | 140 days | 16 June | 6 Nov | 11,000 |
| 6 | Dry Season Direct Sowing (B2) | 90 days | 1 Dec | 2 Mar | 14,589 |
| 7 | Upland Crop (UC-1) | 75 days | 1 Dec | 16 Feb | - |
| Scenarios | Crop Irrigation Demand | Domestic and Industrial Water Demand | Additional Reservoir Storage | Environment Flow Requirement |
|---|---|---|---|---|
| Reference (S0) | Existing and planned irrigation scheme and command area, including the irrigated area in the neighboring catchment. | Current status of population number and industrial site. | No | No |
| Annual Increase in Water Demand (SI) | Planting area annually increase by 18% in the neighboring catchment and by 8% in an irrigated area extension project from 2016 to 2025. | Future population projected based on historical data (both urban and rural population) with a 1.4% growth rate, and industrial water demands increase from 2016 to 2025. | No | No |
| Additional Reservoir Storage (SII) | As SI | As SI | Adding Reservoir Dam No.1 from 2021 with capacity of 1014 MCM. | No |
| Environmental Flow (SE) | As SI | As SI | No | Maintaining 30% of annual streamflow for sustaining biodiversity in ecosystem. |
| Environmental Flow (SIE) | As SI | As SI | As SII | As SE |
| Climate Scenarios | Projected Future Streamflow and Irrigation Water Demand | Crop Irrigation, Domestic and Industrial Water Demand | Additional Reservoir Storage | Environment Flow Requirement |
|---|---|---|---|---|
| Scenario: SC | GFDL-CM3: Wet | As SI | No | No |
| GISS-E2-R-CC: Dry | ||||
| IPSL-CM5A-MR: Medium | ||||
| Scenario: SIC | GFDL-CM3: Wet | As SI | As SII | No |
| GISS-E2-R-CC: Dry | ||||
| IPSL-CM5A-MR: Medium | ||||
| Scenario: SIIC | GFDL-CM3: Wet | As SI | No | As SIE |
| GISS-E2-R-CC: Dry | ||||
| ISPL-CM5A-MR: Medium | ||||
| Scenario: SIIIC | GFDL-CM3: Wet | As SI | As SII | As SIE |
| GISS-E2-R-CC: Dry | ||||
| ISPL-CM5A-MR: Medium |
| Flow | Baseline | GFDL-CM3 | GISS-E2-R-CC | IPSL-CM5A-MR | |||
|---|---|---|---|---|---|---|---|
| Stream Flow* | Stream Flow* | Percentage Change (%) | Stream Flow* | Percentage Change (%) | Stream Flow * | Percentage Change (%) | |
| Q5 | 300.7 | 287.2 | −4.5 | 200.9 | −33.2 | 276.9 | −7.9 |
| Q95 | 4.6 | 0.9 | −79 | 0.5 | −88.2 | 0.1 | −96.8 |
| Unmet Demand | SI: Without Reservoir | SII: With Reservoir | ||||
|---|---|---|---|---|---|---|
| Jan | Feb | Jan | Feb | Percentage Change (%) | ||
| Jan | Feb | |||||
| IWUn | 0 | 14.6 ** | 0 | 2 ** | 0 | −86 |
| DWUn | 0 | 860.4 * | 0 | 0 | 0 | −100 |
| IDUn | 0 | 1262 * | 0 | 0 | 0 | −100 |
| Unmet Demand | SE: Without Reservoir | SIE: With Reservoir | ||||
|---|---|---|---|---|---|---|
| Jan | Feb | Jan | Feb | Percentage Change (%) | ||
| Jan | Feb | |||||
| IWUn | 1 | 36.28 ** | 0 | 13.6 ** | −100 | −62.5 |
| DWUn | 0 | 40,402 * | 0 | 1953.9 * | - | −95 |
| IDUn | 0 | 64,915 * | 0 | 1020.7 * | - | −98.4 |
| Irrigation Scheme | Water Balance Safety Level (n = 20: 2051–2070 )If Irrigated Area Increase from 2025 to 2070 (With E-Flow and Reservoir) | Water Balance Safety Level Criteria | |||
|---|---|---|---|---|---|
| Irrigated Area in 2025 (ha) | GFDL-CM3 | GISS-E2-R-CC | IPSL-CM5A-MR | ||
| Svay Dounkeo RS (B2) | 3614 | 1 * | 1 * | 1 * | ≤5/20 (1/4) |
| Boeung Khnar RS (B2) | 6714 | 1 * | 1 * | 1 * | |
| Charek (B2) | 6996 | 1 * | 1 * | 1 * | |
| Charek (A) | 670 | 14/20 * | 19/20 * | 16/20 * | |
| Charek (B1) | 11,074 | 1 * | 1 * | 1 * | |
| Damnak Ampil (B2) | 3500 | 1 * | 1 * | 1 * | |
| D. Ampil Ext. (A) | 4917 | 1 * | 1 * | 1 * | |
| D. Ampil Ext. (B1) | 14,992 | 1 * | 1 * | 1 * | |
| D. Chheukrom (A) | 6000 | 13/20 * | 1 * | 16/20 * | |
| D. Chheukrom (B) | 16,100 | 15/20 * | 1 * | 17/20 * | |
| Kbal Hong R (B1) | 2000 | 3/20 | 9/20 * | 5/20 | |
| O Rorkar (B1) | 4700 | 13/20 * | 19/20 * | 15/20 * | |
| All Others | 5580 | 1/20 | 1/20 | 1/20 | |
| Irrigation Scheme | If Irrigated Area Increase from 2025 to 2070 (With E-Flow and Reservoir) | |||||||
|---|---|---|---|---|---|---|---|---|
| Limited Irrigated Area (ha) | Startup Year of Deficits | |||||||
| No Climate Change | GFDL-CM3 | GISS-E2-R-CC | IPSL-CM5A-MR | No Climate Change | GFDL-CM3 | GISS-E2-R-CC | IPSL-CM5A-MR | |
| Svay Dounkeo (B2) | 60,268 | 60,268 | 36,681 | 43,284 | 2043 | 2043 | 2040 | 2041 |
| Boeung Khnar (B2) | 6714 * | 6714 * | 6714 * | 6714 * | 2043 | 2043 | 2040 | 2042 |
| Charek (B2) | 27,958 | 25,887 | 20,550 | 23,970 | 2044 | 2043 | 2040 | 2042 |
| Charek (A) | 8869 | 8211 | 5589 | 7040 | 2059 | 2058 | 2053 | 2056 |
| Charek (B1) | 11,439 | 75,843 | 51,618 | 70,225 | 2056 | 2051 | 2046 | 2050 |
| Damnak Ampil (B2) | 3500 * | 3500 * | 3500 * | 3500 * | 2044 | 2043 | 2040 | 2042 |
| D. Ampil Ext. (A) | 24,754 | 36,371 | 15,599 | 16,847 | 2047 | 2046 | 2041 | 2042 |
| D. Ampil Ext. (B1) | 75,470 | 59,910 | 44,036 | 47,559 | 2047 | 2044 | 2040 | 2041 |
| D. Chheukrom (A) | 6000 * | 6000 * | 6000 * | 6000 * | 2060 | 2059 | 2052 | 2056 |
| D. Chheukrom (B) | 16,100 * | 16,100 * | 16,100 * | 16,100 * | 2062 | 2057 | 2051 | 2055 |
| Kbal Hong R (B1) | 2000* | 2000 * | 2000 * | 2000 * | 2070 | 2069 | 2063 | 2067 |
| O Rorkar (B1) | 4700* | 4700 * | 4700 * | 4700 * | 2063 | 2058 | 2052 | 2057 |
© 2020 by the authors. Licensee MDPI, Basel, Switzerland. This article is an open access article distributed under the terms and conditions of the Creative Commons Attribution (CC BY) license (http://creativecommons.org/licenses/by/4.0/).
Share and Cite
Touch, T.; Oeurng, C.; Jiang, Y.; Mokhtar, A. Integrated Modeling of Water Supply and Demand Under Climate Change Impacts and Management Options in Tributary Basin of Tonle Sap Lake, Cambodia. Water 2020, 12, 2462. https://doi.org/10.3390/w12092462
Touch T, Oeurng C, Jiang Y, Mokhtar A. Integrated Modeling of Water Supply and Demand Under Climate Change Impacts and Management Options in Tributary Basin of Tonle Sap Lake, Cambodia. Water. 2020; 12(9):2462. https://doi.org/10.3390/w12092462
Chicago/Turabian StyleTouch, Tharo, Chantha Oeurng, Yanan Jiang, and Ali Mokhtar. 2020. "Integrated Modeling of Water Supply and Demand Under Climate Change Impacts and Management Options in Tributary Basin of Tonle Sap Lake, Cambodia" Water 12, no. 9: 2462. https://doi.org/10.3390/w12092462
APA StyleTouch, T., Oeurng, C., Jiang, Y., & Mokhtar, A. (2020). Integrated Modeling of Water Supply and Demand Under Climate Change Impacts and Management Options in Tributary Basin of Tonle Sap Lake, Cambodia. Water, 12(9), 2462. https://doi.org/10.3390/w12092462

