Energy Head Dissipation and Flow Pressures in Vortex Drop Shafts
Abstract
1. Introduction
2. Materials and Methods
2.1. Physical Device Layout
2.2. Instrumentation
- the approach discharge Q entering the vortex drop shaft structure
- the flow depths h along the inlet channel and the outlet tunnel
- the pressures p registered on the bottom of the dissipation chamber
2.3. Experimental Dataset
3. Results
3.1. Energy Head Dissipation
- the formation of standing and shock waves due to the perturbance of the approach supercritical flow [27] in the inlet device, and particularly in the spiral as occurred in the present physical devices
- the roughness effect along the vertical shaft
- the impact of the falling flow outing from the vertical shaft onto the bottom of the dissipation chamber
- turbulence in the dissipation chamber, due to which a complex internal flow pattern occurs and the turbulent kinetic energy is rapidly dissipated
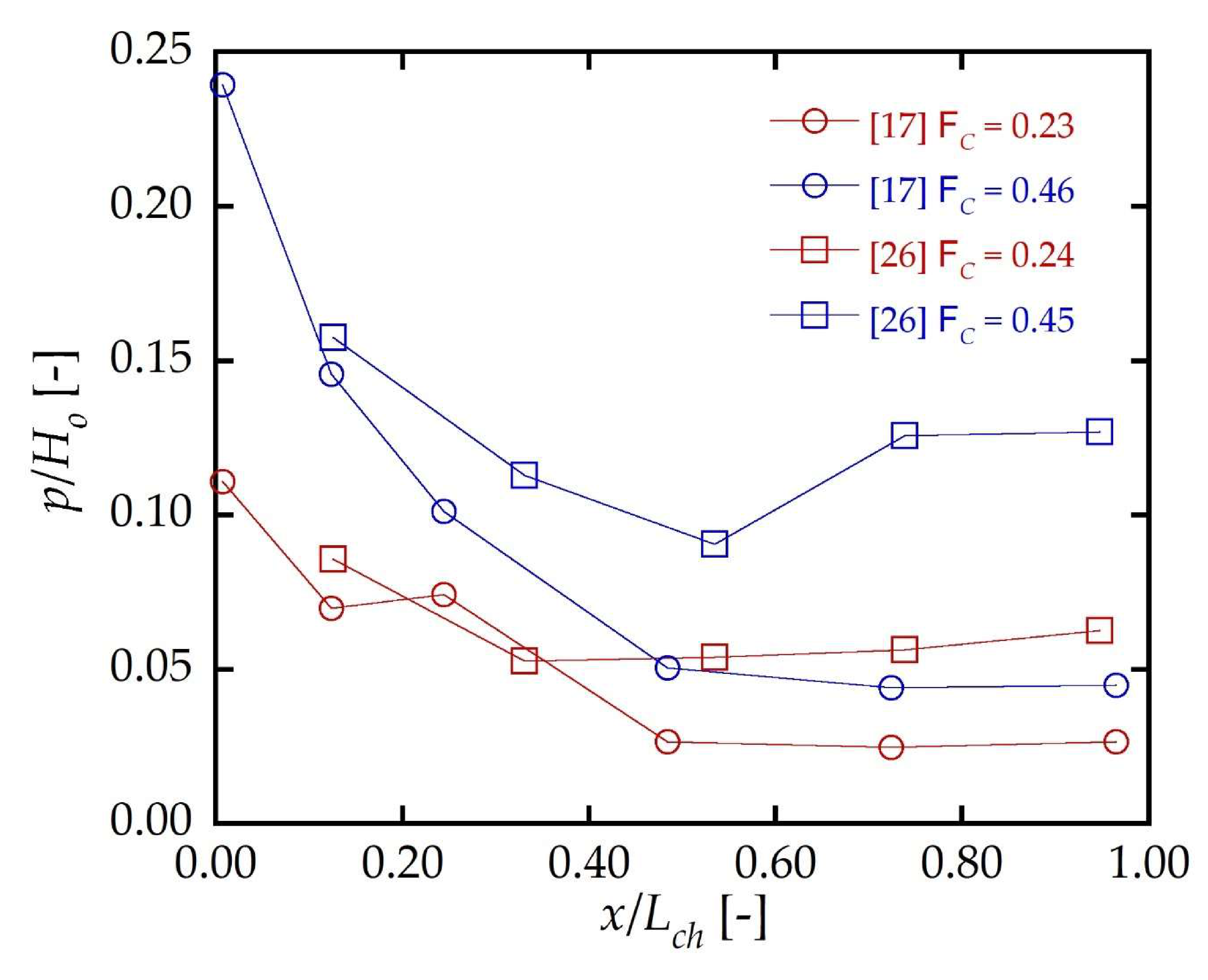
3.2. Pressure Forces in the Dissipation Chamber
4. Discussion
- As in the investigations considered in the present paper, the inlet device can be standardly chosen between the tangential and the spiral inlet devices. Their geometry parameters are described in detail by [37]. The tangential inlet device has a simpler geometry and it is more compact [16] than the spiral inlet, but it is characterized by an eccentric straight-walled contraction which may provoke undesirable effects as blockages when the rainwater flow carries debris.
- Ref. [14] provided simple equations to define the height Lch, the length Sch and the width Bch of the dissipation chamber as a function of the largest value of either Ds or the outlet tunnel characteristic dimension Du or bu. The three dimensions of the dissipation chamber can be, thus, derived. In the experiments herein considered the chamber geometry agreed with the recommendations of [14], and during the corresponding test-runs the flow behavior in the chamber was acceptable.
- Given the chamber height Lch, the shaft length Ls is calculated as Ls = Δz − Lch.
- The vortex shaft drop parameter is now derived as Dv = [g(Ls+Lch)]0.5/Vo. This allows to compute the total head loss coefficient K through the Equation (9) and, consequently, to obtain the energy head Hu of the flow in the outlet tunnel. According to the present experimental dataset, it was demonstrated that 95% of the predicted head loss coefficients is in the range between 0.97 and 1.05 times the observed value. The error in the estimation of Hu is, thus, negligible.
- The computation of the outflow energy head Hu leads to some considerations about the energetic content in the outlet tunnel. This is a fundamental stage, during which the hydraulic conditions of the flow outing from the dissipation chamber must be compared with the given features of the uniform flow of the existing outlet tunnel. For instance, an excessive head velocity Vu2/2g would implicate the occurrence of abrasion phenomena, possibly intolerable by the existing outlet tunnel conditions [38].
- In the end, Equation (13) is available to estimate the maximum pressure p acting on the chamber bottom. This phase is needed to select the chamber material, by comparing the maximum material resistance with p and, if necessary, to consider a specific bottom chamber armor just in correspondence of the shaft outflow in order to prevent scour phenomena. The last aspect is particularly significant also for non-conventional applications, as in a beach drainage system [39]. In such a configuration, the vortex drop shaft can substitute the traditional deep cockpit collecting several drainage pipes: in fact, due to the mixture of seawater with trace of sand, this element is significantly affected by abrasive phenomena.
5. Conclusions
Author Contributions
Funding
Institutional Review Board Statement
Informed Consent Statement
Data Availability Statement
Acknowledgments
Conflicts of Interest
References
- Jain, S.C. Free-surface swirling flows in vertical dropshaft. J. Hydraul. Eng. 1987, 113, 1277–1289. [Google Scholar] [CrossRef]
- Kellenberger, M. Wirbelfallschächte in der Kanalisationstechnik [Vortex Drops in Sewers]. Ph.D. Thesis, Eidgenössische Technische Hochschule, Zurich, Switzerland, 1988. [Google Scholar]
- Hager, W.H. Vortex drop inlet for supercritical approaching flow. J. Hydraul. Eng. 1990, 116, 1048–1054. [Google Scholar] [CrossRef]
- Vischer, D.L.; Hager, W.H. Vortex Drops. In Energy Dissipators: Hydraulic Structures Design Manual; A.A. Balkema: Rotterdam, The Netherlands, 1995; Volume 9, Chapter 9; pp. 167–181. [Google Scholar]
- Rajaratnam, N.; Mainali, A.; Hsung, C.Y. Observations on flow in vertical dropshafts in urban drainage systems. J. Environ. Eng. 1997, 123, 486–491. [Google Scholar] [CrossRef]
- Del Giudice, G.; Gisonni, C.; Rasulo, G. Design of a scroll vortex inlet for supercritical approach flow. J. Hydraul. Eng. 2010, 136, 837–841. [Google Scholar] [CrossRef]
- Liu, Z.P.; Guo, X.; Xia, Q.F.; Fu, H.; Wang, T.; Dong, X.L. Experimental and numerical investigation of flow in a newly developed vortex drop shaft spillway. J. Hydraul. Eng. 2018, 144, 04018014. [Google Scholar] [CrossRef]
- Pfister, M.; Crispino, G.; Fuchsmann, T.; Ribi, J.M.; Gisonni, C. Multiple inflow branches at supercritical-type vortex drop shaft. J. Hydraul. Eng. 2018, 144, 05018008. [Google Scholar] [CrossRef]
- Rhee, D.S.; Park, Y.S.; Park, I. Effects of the bottom slope and guiding wall length on the performance of a vortex drop inlet. Water Sci. Technol. 2018, 78, 1287–1295. [Google Scholar] [CrossRef]
- Yang, Q.; Yang, Q. Experimental investigation of hydraulic characteristics and energy dissipation in a baffle-drop shaft. Water Sci. Technol. 2020, 82, 1603–1613. [Google Scholar] [CrossRef]
- Wang, H.; Mei, C.; Liu, J.; Shao, W. A new strategy for integrated urban water management in China: Sponge city. Sci. China Ser. E Technol. Sci. 2018, 61, 317–329. [Google Scholar] [CrossRef]
- Mulligan, S.; Plant, J.; Nash, S.; Clifford, E. Vortex Drop Shaft Structures: State-Of-The-Art and Future Trends. In Proceedings of the 38th IAHR World Congress, Panama City, Panama, 1–6 September 2019; 2019. [Google Scholar] [CrossRef]
- Jain, S.C.; Ettema, R. Vortex-flow Intakes. In IAHR Hydraulic Structures Design Manual; A.A. Balkema: Rotterdam, The Netherlands, 1987; Volume 1. [Google Scholar]
- Hager, W.H.; Kellenberger, M. Die Dimensionierung des Wirbelfallschachtes [The design of the vortex drop]. Gwf Wasser 1987, 585–590. [Google Scholar]
- Del Giudice, G.; Gisonni, C.; Rasulo, G. Vortex Shaft Outlet. In Advances in Water Resources and Hydraulic Engineering, Proceedings of the 16th IAHR-APD Congress and 3rd Symposium of IAHR-ISHS, Nanjing, China, 20–23 October 2008; Zhang, C., Tang, H., Eds.; Springer: Berlin/Heidelberg, Germany, 2009; pp. 2053–2058. [Google Scholar]
- Yu, D.; Lee, J.H. Hydraulics of tangential vortex intake for urban drainage. J. Hydraul. Eng. 2009, 135, 164–174. [Google Scholar] [CrossRef]
- Crispino, G.; Pfister, M.; Gisonni, C. Hydraulic design aspects for supercritical flow in vortex drop shafts. Urban. Water J. 2019, 16, 225–234. [Google Scholar] [CrossRef]
- Mulligan, S.; Casserly, J.; Sherlock, R. Effects of geometry on strong free-surface vortices in subcritical approach flows. J. Hydraul. Eng. 2016, 142, 04016051. [Google Scholar] [CrossRef]
- Jain, S.C. Tangential vortex-inlet. J. Hydraul. Eng. 1984, 110, 1693–1699. [Google Scholar] [CrossRef]
- Zhao, C.-H.; Zhu, D.Z.; Sun, S.K.; Liu, Z.P. Experimental study of flow in a vortex drop shaft. J. Hydraul. Eng. 2006, 132, 61–68. [Google Scholar] [CrossRef]
- Jain, S.C.; Kennedy, J.F. Vortex-flow Drop Structures. In Proceedings of the 1984 International Symposium on Urban Hydrology, Hydraulics and Sediment Control, University of Kentucky, Lexington, KY, USA, 23–26 July 1984; pp. 115–120. [Google Scholar]
- Mahmoudi-Rad, M.; Khanjani, M.J. Energy dissipation of flow in the vortex structure: Experimental investigation. J. Pipeline Syst. Eng. Pract. 2019, 10, 04019027. [Google Scholar] [CrossRef]
- Zhang, W.; Wang, J.; Zhou, C.B.; Dong, Z.; Zhou, Z. Numerical simulation of hydraulic characteristics in a vortex drop shaft. Water 2018, 10, 1393. [Google Scholar] [CrossRef]
- Carty, A.; Neill, C.O.; Nash, S.; Clifford, E.; Mulligan, S. Hydrodynamic modelling approaches to assess mechanisms affecting the structural performance and maintenance of vortex drops shaft structures. J. Struct. Integr. Maint. 2019, 4, 162–178. [Google Scholar] [CrossRef]
- Del Giudice, G.; Gisonni, C.; Rasulo, G. Vortex Drop Shaft for Supercritical Flow. In Advances in Water Resources and Hydraulic Engineering, Proceedings of the 16th IAHR-APD Congress and 3rd Symposium of IAHR-ISHS, Nanjing, China, 20–23 October 2008; Zhang, C., Tang, H., Eds.; Springer: Berlin/Heidelberg, Germany; pp. 1515–1520.
- Fernandes, J.N.; Jónatas, R. Experimental flow characterization in a spiral vortex drop shaft. Water Sci. Technol. 2019, 80, 274–281. [Google Scholar] [CrossRef]
- Crispino, G.; Pfister, M.; Gisonni, C. Supercritical flow in junction manholes under invert- and obvert-aligned set-ups. J. Hydraul. Res. 2019, 57, 534–546. [Google Scholar] [CrossRef]
- Crispino, G.; Contestabile, P.; Vicinanza, D.; Pfister, M.; Gisonni, C. Hydraulics of Swirling Flows along Vortex Drop Shafts. In Proceedings of the 8th IAHR International Symposium on Hydraulic Structures (ISHS 2020), Santiago, Chile, 12–15 May 2020; p. 11. [Google Scholar] [CrossRef]
- Camino, G.A.; Zhu, D.Z.; Rajaratnam, N. Flow observations in tall plunging flow dropshafts. J. Hydraul. Eng. 2015, 141, 06014020. [Google Scholar] [CrossRef]
- Fereshtehpour, M.; Chamani, M.R. Flow characteristics of a drop manhole with an internal hanging baffle wall in a storm drainage system: Numerical and experimental modeling. J. Irrig. Drain. Eng. 2020, 146, 04020022. [Google Scholar] [CrossRef]
- Christodoulou, G.C. Drop manholes in supercritical pipelines. J. Irrig. Drain. Eng. 1991, 117, 37–47. [Google Scholar] [CrossRef]
- Camino, G.A.; Zhu, D.Z.; Rajaratnam, N. Hydraulics of stacked drop manholes. J. Irrig. Drain. Eng. 2011, 137, 537–552. [Google Scholar] [CrossRef]
- Granata, F.; De Marinis, G.; Gargano, R.; Hager, W.H. Hydraulics of circular drop manholes. J. Irrig. Drain. Eng. 2011, 137, 102–111. [Google Scholar] [CrossRef]
- Zheng, F.; Li, Y.; Zhao, J.; An, J. Energy dissipation in circular drop manholes under different outflow conditions. Water 2017, 9, 752. [Google Scholar] [CrossRef]
- Del Giudice, G.; Gisonni, C. Vortex dropshaft retrofitting: Case of Naples city (Italy). J. Hydraul. Res. 2011, 49, 804–808. [Google Scholar] [CrossRef]
- BIPM. JCGM 200:2012: International Vocabulary of Metrology—Basic and General Concepts and Associated Terms (VIM) (2008 Version with Minor Corrections), 3rd ed.; Joint Committee for Guides in Metrology (JCGM): Sèvres, France, 2012; Available online: www.bipm.org/en/publications/guides/vim.html (accessed on 19 November 2020).
- Gisonni, C.; Hager, W.H. Idraulica dei Sistemi Fognari—Dalla Teoria alla Pratica [Wastewater Hydraulics—Theory and Practice]; Springer: Milan, Italy, 2012; pp. 416–431. [Google Scholar]
- Hager, W.H.; Gisonni, C. Supercritical flow in sewer manholes. J. Hydraul. Res. 2005, 43, 660–667. [Google Scholar] [CrossRef]
- Contestabile, P.; Aristodemo, F.; Vicinanza, D.; Ciavola, P. Laboratory study on a beach drainage system. Coast. Eng. 2012, 66, 50–64. [Google Scholar] [CrossRef]
- Dhakal, S.; Timilsina, A.B.; Dhakal, R.; Fuyal, D.; Bajracharya, T.R.; Pandit, H.P.; Amatya, N.; Nakarmi, A.M. Comparison of cylindrical and conical basins with optimum position of runner: Gravitational water vortex power plant. Renew. Sustain. Energy Rev. 2015, 48, 662–669. [Google Scholar] [CrossRef]
- Mulligan, S. Experimental and Numerical Analysis of Three-Dimensional Free-Surface Turbulent Vortex Flows with Strong Circulation. Ph.D. Thesis, Institute of Technology Sligo, Sligo, Ireland, September 2015. [Google Scholar]
- Contestabile, P.; Crispino, G.; Di Lauro, E.; Ferrante, V.; Gisonni, C.; Vicinanza, D. Overtopping breakwater for wave Energy Conversion: Review of state of art, recent advancements and what lies ahead. Renew. Energy 2020, 147, 705–718. [Google Scholar] [CrossRef]






| Authors | Fo [-] | FC [-] | Q* [-] | b/Ds [-] | Inlet Device Type | Ls/Ds [-] | Du/Ds [-] | Lch/Ds [-] | Sch/Ds [-] |
|---|---|---|---|---|---|---|---|---|---|
| [8] | 2.38—7.00 | 0.04—0.62 | 0.06—0.87 | 0.83 | Spiral | 23.52 | 0.88 | 2.08 | 4.12 |
| [15,25] | 0.29—0.44 | 0.91—1.51 | 0.25—0.411 | 1.40 | Tangential | 12.00 | 1.682 | 5.30 | 7.00 |
| [17,22] | 1.77—2.32 | 0.30—0.85 | 0.17—0.481 | 1.12 | Tangential | 10.00—16.00 | 1.252 | 2.18 | 4.75 |
| [26] | 1.31—1.90 | 0.12—0.45 | 0.12—0.45 | 0.89 | Spiral | 4.55 | 1.00 | 1.98 | 4.00 |
| με | σε | με − 1.95σε | με + 1.95σε |
| 0.00245 | 0.0091 | −0.01527 | 0.02017 |
Publisher’s Note: MDPI stays neutral with regard to jurisdictional claims in published maps and institutional affiliations. |
© 2021 by the authors. Licensee MDPI, Basel, Switzerland. This article is an open access article distributed under the terms and conditions of the Creative Commons Attribution (CC BY) license (http://creativecommons.org/licenses/by/4.0/).
Share and Cite
Crispino, G.; Contestabile, P.; Vicinanza, D.; Gisonni, C. Energy Head Dissipation and Flow Pressures in Vortex Drop Shafts. Water 2021, 13, 165. https://doi.org/10.3390/w13020165
Crispino G, Contestabile P, Vicinanza D, Gisonni C. Energy Head Dissipation and Flow Pressures in Vortex Drop Shafts. Water. 2021; 13(2):165. https://doi.org/10.3390/w13020165
Chicago/Turabian StyleCrispino, Gaetano, Pasquale Contestabile, Diego Vicinanza, and Corrado Gisonni. 2021. "Energy Head Dissipation and Flow Pressures in Vortex Drop Shafts" Water 13, no. 2: 165. https://doi.org/10.3390/w13020165
APA StyleCrispino, G., Contestabile, P., Vicinanza, D., & Gisonni, C. (2021). Energy Head Dissipation and Flow Pressures in Vortex Drop Shafts. Water, 13(2), 165. https://doi.org/10.3390/w13020165

